六六力扣刷题链表之删除链表的倒数第N个节点

2,292 阅读3分钟

“持续创作,加速成长!这是我参与「掘金日新计划 · 6 月更文挑战」的第32天,点击查看活动详情

前言

之前小六六一直觉得自己的算法比较菜,算是一个短板吧,以前刷题也还真是三天打鱼,两台晒网,刷几天,然后就慢慢的不坚持了,所以这次,借助平台的活动,打算慢慢的开始开刷,并且自己还会给刷的题总结下,谈谈自己的一些思考,和自己的思路等等,希望对小伙伴能有所帮助吧,也可以借此机会把自己短板补一补,希望自己能坚持下去呀

贪心

数组

链表

题目

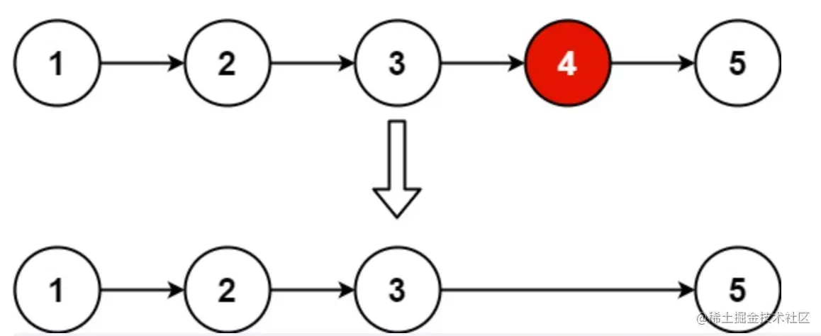
给你一个链表,删除链表的倒数第 n **个结点,并且返回链表的头结点。

image.png

输入: head = [1,2,3,4,5], n = 2
输出: [1,2,3,5]

解析

在对链表进行操作时,一种常用的技巧是添加一个哑节点(dummy node),它的 \textit{next}next 指针指向链表的头节点。这样一来,我们就不需要对头节点进行特殊的判断了。

一种容易想到的方法是,我们首先从头节点开始对链表进行一次遍历,得到链表的长度 LL。随后我们再从头节点开始对链表进行一次遍历,当遍历到第 L-n+1L−n+1 个节点时,它就是我们需要删除的节点。

我直接遍历

/**
 * Definition for singly-linked list.
 * public class ListNode {
 *     int val;
 *     ListNode next;
 *     ListNode() {}
 *     ListNode(int val) { this.val = val; }
 *     ListNode(int val, ListNode next) { this.val = val; this.next = next; }
 * }
 */
class Solution {
     public ListNode removeNthFromEnd(ListNode head, int n) {
        ListNode dummy = new ListNode(0, head);
        int length = getLength(head);
        ListNode cur = dummy;
        for (int i = 1; i < length - n + 1; ++i) {
            cur = cur.next;
        }
        cur.next = cur.next.next;
        ListNode ans = dummy.next;
        return ans;
    }

    public int getLength(ListNode head) {
        int length = 0;
        while (head != null) {
            ++length;
            head = head.next;
        }
        return length;
    }



}

我们再来看看快慢指针

思路:新建dummy节点指向head,指针n1,n2指向head,循环n2指针到n的位置,然后在同时移动n1,n2,直到结尾,n1,n2的距离是n,此时n1的位置就是需要删除元素的位置 复杂度:时间复杂度O(L),L是链表的长度,空间复杂度O(1)

public static ListNode1 removeNthFromEnd1(ListNode1 head, int n) {

   ListNode1 dummy = new ListNode1(0);
   dummy.next = head;
   ListNode1 n1 = dummy;
   ListNode1 n2 = dummy;

   //先移动n2
   for (int i = 0; i <=n ; i++) {
       n2 = n2.next;
   }
   //然后再同时遍历
   while (n2!=null){
       n1=n1.next;
       n2=n2.next;
   }

   n1.next=n1.next.next;
   return  dummy.next;

结束

做了几题链表,对应链表的题目,慢慢的有点感觉了,大家继续加油!