六六力扣刷题链表之移除链表元素

1,746 阅读2分钟

“持续创作,加速成长!这是我参与「掘金日新计划 · 6 月更文挑战」的第29天,点击查看活动详情

前言

之前小六六一直觉得自己的算法比较菜,算是一个短板吧,以前刷题也还真是三天打鱼,两台晒网,刷几天,然后就慢慢的不坚持了,所以这次,借助平台的活动,打算慢慢的开始开刷,并且自己还会给刷的题总结下,谈谈自己的一些思考,和自己的思路等等,希望对小伙伴能有所帮助吧,也可以借此机会把自己短板补一补,希望自己能坚持下去呀

贪心

数组

链表

今天开始,我们来做几个链表的题目吧

题目

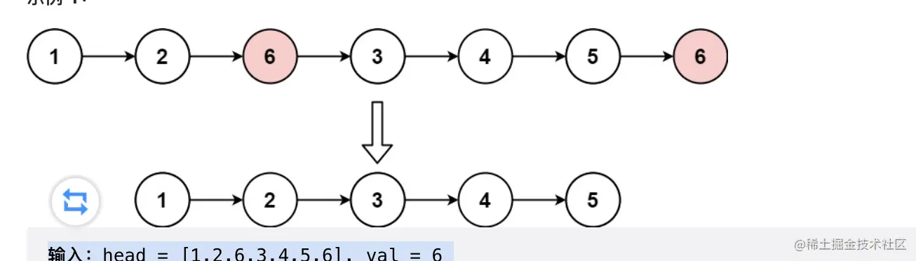
给你一个链表的头节点 head 和一个整数 val ,请你删除链表中所有满足 Node.val == val 的节点,并返回 新的头节点 。

输入: head = [1,2,6,3,4,5,6], val = 6
输出: [1,2,3,4,5]

image.png

解析

链表的定义具有递归的性质,因此链表题目常可以用递归的方法求解。这道题要求删除链表中所有节点值等于特定值的节点,可以用递归实现。

public ListNode1 removeElements(ListNode1 head, int val) {
    if (head==null){
        return head;
    }
    head.next = removeElements(head.next, val);
    return head.val == val ? head.next : head;
}

也可以用迭代的方法删除链表中所有节点值等于特定值的节点。

public ListNode1 removeElements1(ListNode1 head, int val) {
    if (head==null){
        return new ListNode1();
    }
    ListNode1 dummyHead = new ListNode1(0);
    dummyHead.next=head;

    ListNode1 temp=dummyHead;
    while (temp.next!=null){
        if (temp.next.val==val){
            temp.next=temp.next.next;
        }else {
            temp=temp.next;
        }
    }

    return  dummyHead.next;

}

其实我觉得吧,做链表的题目,其实也不是很难,难的是我们的不知道怎么去定义临时节点,在node.next.next中迷路

  • 直接使用原来的链表来进行删除操作。
  • 设置一个虚拟头结点在进行删除操作。

大家最好断点去理解下链表吧

结束

链表的提,其实也不是那么难,但是大家还是要多学习下,多断点去理解!