LeetCode-145. 二叉树的后序遍历(day34)

171 阅读5分钟

Offer 驾到,掘友接招!我正在参与2022春招打卡活动,点击查看活动详情

一、前言

👨‍🎓作者:bug菌

✏️博客:CSDN掘金

💌公众号:猿圈奇妙屋

🚫特别声明:原创不易,转载请附上原文出处链接和本文声明,谢谢配合。

🙏版权声明:文章里可能部分文字或者图片来源于互联网或者百度百科,如有侵权请联系bug菌处理。

        哈喽,小伙伴们,我是bug菌呀👀。金三银四,又到了刷题月啦。所以不管你是准备跳槽还是在职,都一起行动起来,顺应这个时代月干点该干的事儿👣。所以,赶紧跟着bug菌的步伐卷起来吧⏰,变强从这一刻开始➕🧈。

       小伙伴们在批阅文章的过程中如果觉得文章对您有一丝丝帮助,还请别吝啬您手里的赞呀,大胆的把文章点亮👍吧,您的点赞三连(收藏⭐️+关注👨‍🎓+留言📃)就是对bug菌我创作道路上最好的鼓励与支持😘。时光不弃🏃🏻‍♀️,掘金不停💕,加油☘️

二、题目描述:

题目:

    给你一棵二叉树的根节点 root ,返回其节点值的 后序遍历 。

具体请看如下示例:

示例 1:

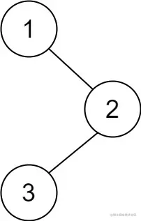
输入:root = [1,null,2,3]
输出:[3,2,1]

示例 2:

输入:root = []
输出:[]

示例 3:

输入:root = [1]
输出:[1]

**提示:
**

  • 树中节点的数目在范围 [0, 100]
  • -100 <= Node.val <= 100

题目来源:LeetCode官网
题目难度:⭐⭐

三、思路分析:

       这是二叉树的后序遍历,像前几期我是细讲了二叉树的前序遍历与中序遍历,不记得的小伙伴可以参考我如下这两篇,写法都大差不差,唯独就是遍历顺序有点不同,这也是前中后序三法的唯一区别之处。

       那什么是后序遍历呢?所谓二叉树的前序遍历:它是按照访问左子树->右子树->根节点顺序方式来遍历这棵树,而在访问二叉树的左子树或者右子树的时候,我们按照同样的顺序遍历,直到遍历完整棵树即可。这不就是你们喜欢的递归法,纯天然契合,套娃模式开启。

四、算法实现:

AC代码

具体算法代码实现如下:

class Solution {
    public List<Integer> postorderTraversal(TreeNode root) {

        //定义一个全局变量。用于存放节点
        List<Integer> res = new ArrayList<Integer>();
        preorder(root, res);
        return res;
    }

    //按根节点->左子树->右子树顺序遍历
    public void preorder(TreeNode root, List<Integer> res) {
        //遇空直接返回
        if (root == null) {
            return;
        }
        //根节点->左子树->右子树顺序
        preorder(root.left, res);
        preorder(root.right, res);
        res.add(root.val);
    }
}

五、总结:

leetcode提交运行结果截图如下:

复杂度分析:

  • 时间复杂度:O(n),其中 n 是二叉搜索树的节点数。每一个节点恰好被遍历一次。
  • 空间复杂度:O(n),为递归过程中栈的开销,平均情况下为 O(logn),最坏情况下树呈现链状,为 O(n)。

       综上,我是把二叉树的前中后序遍历都讲解了一遍,要是遇到面试题,那你们做不出真就对不起我了啊。虽然这三题写法都一直,唯独就是递归函数里头对左右节点及根节点前后顺序的问题,其他的都一致,不知道你们写了这么久,其实我都是同一道解题,然后换了下顺序罢了,但是对于初学者来说肯定是不能偷懒啊,我是因为写多了,自然就熟悉。

       再者,解题道路千万条,欢迎小伙伴们脑洞大开,如果你们有啥更好的想法或者思路,欢迎评论区告诉我哦,大家一起互相借鉴互相学习,方能成长的更快。

       好啦,以上就是本期的所有内容啦,咱们下期见咯。

六、往期推荐:

七、文末:

       如果你还想要学习更多,小伙伴们大可关注bug菌专门为大家创建的专栏《LeetCode每日一题》!带着你一块儿刷题,专栏每一篇都附带详细解法,手把手带你解题。

       一个人刷可能会觉得很累很难坚持,但是一群人刷就会觉得它是一件很有意义的事儿,互相督促互相鼓励,一起变强。

       我是bug菌,一名想走👣出大山改变命运的程序猿。接下来的路还很长,都等待着我们去突破、去挑战。来吧,小伙伴们,我们一起加油!未来皆可期,fighting!

最后送大家两句我很喜欢的话,与诸君共勉!

**************************************************

☘️做你想做的人,没有时间限制,只要愿意,什么时候都可以start,

🍀你能从现在开始改变,也可以一成不变,这件事,没有规矩可言,你可以活出最精彩的自己。

**************************************************

💌如果文章对您有所帮助,就请留下您的吧!(#^.^#);

💝如果喜欢bug菌分享的文章,就请给bug菌点个关注吧!(๑′ᴗ‵๑)づ╭❤~;

💗如果对文章有任何疑问,还请文末留言或者加群吧【QQ交流群:708072830】;

💞鉴于个人经验有限,所有观点及技术研点,如有异议,请直接回复参与讨论(请勿发表攻击言论,谢谢);

💕版权声明:原创不易,转载请附上原文出处链接和本文声明,版权所有,盗版必究!!!谢谢。