LeetCode-94. 二叉树的中序遍历(day19)

370 阅读5分钟

Offer 驾到,掘友接招!我正在参与2022春招打卡活动,点击查看活动详情

一、前言

👨‍🎓作者:bug菌

✏️博客:CSDN掘金

💌公众号:猿圈奇妙屋

🚫特别声明:原创不易,转载请附上原文出处链接和本文声明,谢谢配合。

🙏版权声明:文章里可能部分文字或者图片来源于互联网或者百度百科,如有侵权请联系bug菌处理。

       哈喽,小伙伴们,我是bug菌呀👀。金三银四,又到了刷题月啦。所以不管你是准备跳槽还是在职,都一起行动起来,顺应这个时代月干点该干的事儿👣。所以,赶紧跟着bug菌的步伐卷起来吧⏰,变强从这一刻开始➕🧈。

       小伙伴们在批阅文章的过程中如果觉得文章对您有一丝丝帮助,还请别吝啬您手里的赞呀,大胆的把文章点亮👍吧,您的点赞三连(收藏⭐️+关注👨‍🎓+留言📃)就是对bug菌我创作道路上最好的鼓励与支持😘。时光不弃🏃🏻‍♀️,掘金不停💕,加油☘️

二、题目描述:

**题目:
**       给定一个二叉树的根节点 root ,返回它的 中序 遍历。

具体请看如下示例:

示例 1:

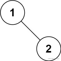
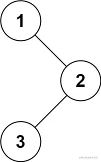
输入:root = [1,null,2,3]
输出:[1,3,2]

示例 2:

输入:root = []
输出:[]

示例 3:

输入:root = [1]
输出:[1]

****示例 4:


输入:root = [1,2]
输出:[2,1]

****示例 5:


输入:root = [1,null,2]
输出:[1,2]

**提示:
**

  • 树中节点数目在范围 [0, 100]
  • -100 <= Node.val <= 100

题目来源:LeetCode官网
题目难度:⭐⭐

三、思路分析:

       前几期做了也有两仨道数据结构-二叉树题了,不知小伙伴们第一眼看到这题,有何想法,或者心中早已无码?其实这题题意已经很明确了,中序遍历(递归),这就要求小伙伴对二叉树的哪几种遍历要有个概念了。

       什么是中序遍历?敲黑板!就是:访问顺序按照先左子树—>根节点—>右子树遍历这棵树,而在访问左子树或者右子树的时候我们按照同样的顺序方式遍历,直到遍历完这颗数。然整个遍历过程非常契合递归调用。

所以具体递归思路如下:

定义一个 inorder(root) 表示当前遍历到root节点,那么递归如下:

  • 先递归调用 inorder(root.left)来遍历root 节点的左子树,然后将root 节点的值加入答案。
  • 再递归调用inorder(root.right)来遍历root 节点的右子树,然后同上。碰到空节点则递归结束。 

四、算法实现:

AC代码

具体算法代码实现如下:

class Solution {
    public List<Integer> inorderTraversal(TreeNode root) {
        //定义一个全局变量。用于存放节点
        List<Integer> res = new ArrayList<Integer>();
        preorder(root, res);
        return res;
    }

    //按左子树-> 根节点 ->右子树顺序遍历    public void preorder(TreeNode root, List<Integer> res) {
        //遇空直接返回
        if (root == null) {
            return;
        }
        //左子树-> 根节点 ->右子树顺序
        preorder(root.left, res);
        res.add(root.val);
        preorder(root.right, res);
    }
}

五、总结:

leetcode提交运行结果截图如下:

复杂度分析:

  • 时间复杂度:O(n)。其中n 为二叉树节点的个数。二叉树的遍历中每个节点会被访问一次且只会被访问一次。
  • 空间复杂度:O(n)。空间复杂度取决于递归的栈深度,而栈深度在二叉树为一条链的情况下会达到O(n) 的级别。

       这题其实就很明确,就是考察你对二叉树的前中后序遍历,如果你懂它的遍历顺序,其实这几道题都是一样的,举一反三。你们完全可以再去尝试一下实现二叉树的前序遍历等。

       再者,解题道路千万条,欢迎小伙伴们脑洞大开,如果你们有啥更好的想法或者思路,欢迎评论区告诉我哦,大家一起互相借鉴互相学习,方能成长的更快。

       好啦,以上就是本期的所有内容啦,咱们下期见咯。

六、往期推荐:

七、文末:

       如果你还想要学习更多,小伙伴们大可关注bug菌专门为大家创建的专栏《LeetCode每日一题》!带着你一块儿刷题,专栏每一篇都附带详细解法,手把手带你解题。

       一个人刷可能会觉得很累很难坚持,但是一群人刷就会觉得它是一件很有意义的事儿,互相督促互相鼓励,一起变强。

最后送大家两句话,与诸君共勉!

**************************************************

☘️做你想做的人,没有时间限制,只要愿意,什么时候都可以start,

🍀你能从现在开始改变,也可以一成不变,这件事,没有规矩可言,你可以活出最精彩的自己。

**************************************************

💌如果文章对您有所帮助,就请留下您的吧!(#^.^#);

💝如果喜欢bug菌分享的文章,就请给bug菌点个关注吧!(๑′ᴗ‵๑)づ╭❤~;

💗如果对文章有任何疑问,还请文末留言或者加群吧【QQ交流群:708072830】;

💞鉴于个人经验有限,所有观点及技术研点,如有异议,请直接回复参与讨论(请勿发表攻击言论,谢谢);

💕版权声明:原创不易,转载请附上原文出处链接和本文声明,版权所有,盗版必究!!!谢谢。