[LeetCode94题二叉树的中序遍历] | 刷题打卡

796 阅读4分钟

前言

在做题之前我们先来大概了解下二叉树的遍历方式。

为什么叫前序、后序、中序?

一棵二叉树由根结点、左子树和右子树三部分组成,若规定 D、L、R 分别代表遍历根结点、遍历左子树、遍历右子树,则二叉树的遍历方式有 6 种:DLR、DRL、LDR、LRD、RDL、RLD。由于先遍历左子树和先遍历右子树在算法设计上没有本质区别,所以,只讨论三种方式:

DLR--前序遍历(根在前,从左往右,一棵树的根永远在左子树前面,左子树又永远在右子树前面 )

LDR--中序遍历(根在中,从左往右,一棵树的左子树永远在根前面,根永远在右子树前面)

LRD--后序遍历(根在后,从左往右,一棵树的左子树永远在右子树前面,右子树永远在根前面)

前序遍历

前序遍历首先访问根结点然后遍历左子树,最后遍历右子树。在遍历左、右子树时,仍然先访问根结点,然后遍历左子树,最后遍历右子树。

若二叉树为空则结束返回,否则:

  • (1)访问根结点。
  • (2)前序遍历左子树。
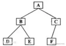
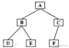
  • (3)前序遍历右子树 。 需要注意的是:遍历左右子树时仍然采用前序遍历方法。 如图所示二叉树

image.png 前序遍历结果:ABDECF 已知后序遍历和中序遍历,就能确定前序遍历。

前序遍历

中序遍历

中序遍历首先遍历左子树,然后访问根结点,最后遍历右子树。若二叉树为空则结束返回,否则:

  • (1)中序遍历左子树

  • (2)访问根结点

  • (3)中序遍历右子树

image.png

如图所示二叉树,中序遍历结果:DBEAFC

中序遍历

后序遍历

后序遍历首先遍历左子树,然后遍历右子树,最后访问根结点,在遍历左、右子树时,仍然先遍历左子树,然后遍历右子树,最后遍历根结点。即:

若二叉树为空则结束返回,否则:

  • (1)后序遍历左子树
  • (2)后序遍历右子树
  • (3)访问根结点

image.png

如图所示二叉树 后序遍历结果:DEBFCA 已知前序遍历和中序遍历,就能确定后序遍历

后序遍历

题目介绍

题目地址: 94. 二叉树的中序遍历

给定一个二叉树的根节点 root ,返回它的 中序 遍历。

示例 1:

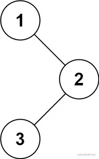
image.png

输入:root = [1,null,2,3]
输出:[1,3,2]

示例 2:

输入:root = []
输出:[]

示例 3:

输入:root = [1]
输出:[1]

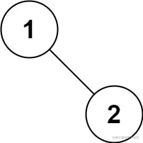
示例 4:

image.png

输入:root = [1,2]
输出:[2,1]

示例 5:

image.png

输入:root = [1,null,2]
输出:[1,2]

提示:

  • 树中节点数目在范围 [0, 100] 内
  • -100 <= Node.val <= 100

解题思路

题目要求返回给定二叉树root的中序遍历,根据前言中的关于中序遍历的描述,这道题的解法我们就按照这样的顺序来。

我们用递归函数inOrder来模拟二叉树遍历的过程。

根据上文中的定义,我们解题步骤如下:

  • 递归调用 inOrder(root.left) 来遍历 root 节点的左子树
  • 然后root 节点的值val加入答案
  • 再递归调用inOrder(root.right) 来遍历 root 节点的右子树即可。

解题代码

var inorderTraversal = function(root) {
    const res = []
    const inOrder = (root) => {
        if (!root) {
            return;
        }
        inOrder(root.left);
        res.push(root.val);
        inOrder(root.right);
    }
    inOrder(root);
    return res;
};

刷题打卡记录

这里是之前的刷题打卡记录,大家有兴趣的可以看下,如果有什么不同的见解和看法或者觉得有什么错误的,欢迎在评论区留言!🙏🙏🙏

[LeetCode0303题区域和检索 - 数组不可变] | 刷题打卡

[LeetCode1200. 最小绝对差] | 刷题打卡

[LeetCode0304题二维区域和检索 - 矩阵不可变] | 刷题打卡

[LeetCode11题盛最多水的容器] | 刷题打卡

[LeetCode0338题比特位计数] | 刷题打卡

[LeetCode209题长度最小的子数组] | 刷题打卡

[LeetCode236题二叉树的最近公共祖先] | 刷题打卡

[LeetCode141题环形链表] | 刷题打卡

[LeetCode53题最大子序和] | 刷题打卡

[LeetCode48题旋转图像] | 刷题打卡

[LeetCode155题最小栈] | 刷题打卡

[LeetCode1124题表现良好的最长时间段] | 刷题打卡

[LeetCode274题H指数] | 刷题打卡

[LeetCode367题有效的完全平方数] | 刷题打卡

[LeetCode1047题删除字符串中的所有相邻重复项] | 刷题打卡

[LeetCode160题相交链表] | 刷题打卡

[LeetCode1438题绝对差不超过限制的最长连续子数组] | 刷题打卡

[LeetCode434题字符串中的单词数] | 刷题打卡

[LeetCode75题颜色分类] | 刷题打卡

[LeetCode513题找树左下角的值] | 刷题打卡

总结

加油!hxdm!!!💪💪💪

本文正在参与「掘金 2021 春招闯关活动」, 点击查看 活动详情