[LeetCode160题相交链表] | 刷题打卡

327 阅读4分钟

题目描述

160. 相交链表

编写一个程序,找到两个单链表相交的起始节点。

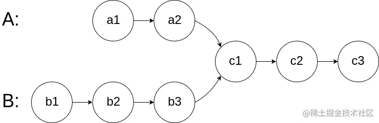
如下面的两个链表:

在节点 c1 开始相交。

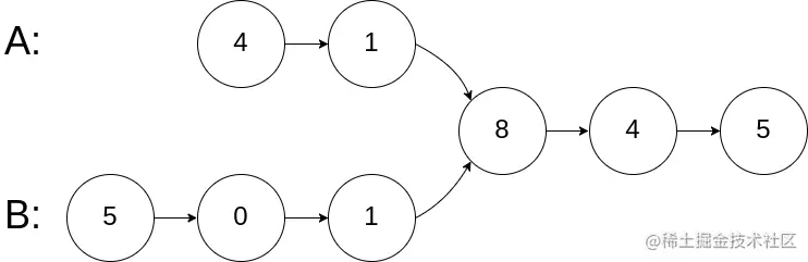
示例 1:

输入:intersectVal = 8, listA = [4,1,8,4,5], listB = [5,0,1,8,4,5], skipA = 2, skipB = 3
输出:Reference of the node with value = 8
输入解释:相交节点的值为 8 (注意,如果两个链表相交则不能为 0)。从各自的表头开始算起,链表 A[4,1,8,4,5],链表 B[5,0,1,8,4,5]。在 A 中,相交节点前有 2 个节点;在 B 中,相交节点前有 3 个节点。

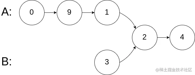
示例 2:

输入:intersectVal = 2, listA = [0,9,1,2,4], listB = [3,2,4], skipA = 3, skipB = 1
输出:Reference of the node with value = 2
输入解释:相交节点的值为 2 (注意,如果两个链表相交则不能为 0)。从各自的表头开始算起,链表 A[0,9,1,2,4],链表 B[3,2,4]。在 A 中,相交节点前有 3 个节点;在 B 中,相交节点前有 1 个节点。

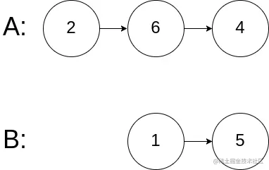
示例 3:

输入:intersectVal = 0, listA = [2,6,4], listB = [1,5], skipA = 3, skipB = 2
输出:null
输入解释:从各自的表头开始算起,链表 A[2,6,4],链表 B[1,5]。由于这两个链表不相交,所以 intersectVal 必须为 0,而 skipA 和 skipB 可以是任意值。
解释:这两个链表不相交,因此返回 null。

注意:

  • 如果两个链表没有交点,返回 null.
  • 在返回结果后,两个链表仍须保持原有的结构。
  • 可假定整个链表结构中没有循环。
  • 程序尽量满足 O(n) 时间复杂度,且仅用 O(1) 内存。

解题思路

找到两个单链表相交的起始节点,我们可以用以下几种方式来解答这道题:

标记法

对两个链表进行两次while遍历,先遍历一个链表,给链表中的每个节点都增加一个标志位flag,然后再去遍历另外一个链表,如果遍历到第一个已被标志过的节点则为两链表相交的起始节点。

如果遍历完都没有发现已被标志过的节点,则两链表不相交,返回 null。

双指针法

初始化两个指针pA和pB分别指向headA和headB,每次pA和pB各走一步,当pA触底后变轨到headB,同理,当pB触底后变轨到headA。这样就只需遍历(A的非公共部分+B的非公共部分+AB的公共部分即可)。

解题代码

标记法

var getIntersectionNode = function(headA, headB) {
    while(headA) {
        headA.flag = true
        headA = headA.next
    }
    while(headB) {
        if (headB.flag) return headB
        headB = headB.next
    }
    return null
};

双指针法

var getIntersectionNode = function(headA, headB) {
    var pA = headA;
    var pB = headB;
    while(pA !== pB){
        pB = pB? pB.next: headA;
        pA = pA? pA.next: headB;
    }
    return pA;
};

刷题打卡记录

这里是之前的刷题打卡记录,大家有兴趣的可以看下,如果有什么不同的见解和看法或者觉得有什么错误的,欢迎在评论区留言!🙏🙏🙏

[LeetCode0303题区域和检索 - 数组不可变] | 刷题打卡

[LeetCode1200. 最小绝对差] | 刷题打卡

[LeetCode0304题二维区域和检索 - 矩阵不可变] | 刷题打卡

[LeetCode11题盛最多水的容器] | 刷题打卡

[LeetCode0338题比特位计数] | 刷题打卡

[LeetCode209题长度最小的子数组] | 刷题打卡

[LeetCode236题二叉树的最近公共祖先] | 刷题打卡

[LeetCode141题环形链表] | 刷题打卡

[LeetCode53题最大子序和] | 刷题打卡

[LeetCode48题旋转图像] | 刷题打卡

[LeetCode155题最小栈] | 刷题打卡

[LeetCode1124题表现良好的最长时间段] | 刷题打卡

[LeetCode274题H指数] | 刷题打卡

[LeetCode367题有效的完全平方数] | 刷题打卡

[LeetCode1047题删除字符串中的所有相邻重复项] | 刷题打卡

总结

加油!hxdm!!!💪💪💪

本文正在参与「掘金 2021 春招闯关活动」, 点击查看 活动详情