六六力扣刷题链表之 删除排序链表中的重复元素 II

1,628 阅读3分钟

携手创作,共同成长!这是我参与「掘金日新计划 · 8 月更文挑战」的第3天,点击查看活动详情

前言

之前小六六一直觉得自己的算法比较菜,算是一个短板吧,以前刷题也还真是三天打鱼,两台晒网,刷几天,然后就慢慢的不坚持了,所以这次,借助平台的活动,打算慢慢的开始开刷,并且自己还会给刷的题总结下,谈谈自己的一些思考,和自己的思路等等,希望对小伙伴能有所帮助吧,也可以借此机会把自己短板补一补,希望自己能坚持下去呀

链表

链表的理论基础

链表的种类主要为:单链表,双链表,循环链表 链表的存储方式:链表的节点在内存中是分散存储的,通过指针连在一起。 链表是如何进行增删改查的。 数组和链表在不同场景下的性能分析。 可以说把链表基础的知识都概括了,但又不像教科书那样的繁琐。

虚拟头结点

链表的一大问题就是操作当前节点必须要找前一个节点才能操作。这就造成了,头结点的尴尬,因为头结点没有前一个节点了。

每次对应头结点的情况都要单独处理,所以使用虚拟头结点的技巧,就可以解决这个问题。

题目

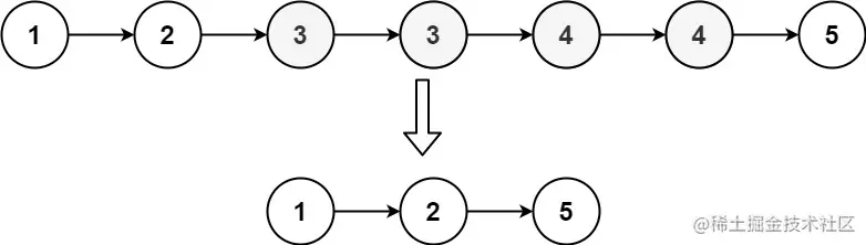
给定一个已排序的链表的头 head , 删除原始链表中所有重复数字的节点,只留下不同的数字 。返回 已排序的链表 。

image.png

输入: head = [1,2,3,3,4,4,5]
输出: [1,2,5]

题解

/**
 * Definition for singly-linked list.
 * public class ListNode {
 *     int val;
 *     ListNode next;
 *     ListNode() {}
 *     ListNode(int val) { this.val = val; }
 *     ListNode(int val, ListNode next) { this.val = val; this.next = next; }
 * }
 */
class Solution {
    public ListNode deleteDuplicates(ListNode head) {
   if (null == head || null == head.next) {
            return head;
        }

        ListNode dumy = new ListNode(0);
        dumy.next = head;
        ListNode current = dumy;

        while (current.next != null && current.next.next != null) {
            if (current.next.val == current.next.next.val) {
                int vaal = current.next.val;
                while (current.next!=null&&vaal==current.next.val){
                    current.next=current.next.next;
                }
            }else {
                current=current.next;
            }
        }
        
        return dumy.next;
    }
}

image.png

思路与算法

由于给定的链表是排好序的,因此重复的元素在链表中出现的位置是连续的,因此我们只需要对链表进行一次遍历,就可以删除重复的元素。由于链表的头节点可能会被删除,因此我们需要额外使用一个哑节点(dummy node)指向链表的头节点。

具体地,我们从指针 cur 指向链表的哑节点,随后开始对链表进行遍历。如果当前cur.next 与 cur.next.next 对应的元素相同,那么我们就需要将 cur.next 以及所有后面拥有相同元素值的链表节点全部删除。我们记下这个元素值 xx,随后不断将 cur.next 从链表中移除,直到 cur.next 为空节点或者其元素值不等于 xx 为止。此时,我们将链表中所有元素值为 xx 的节点全部删除。

如果当前cur.next 与cur.next.next 对应的元素不相同,那么说明链表中只有一个元素值为 cur.next 的节点,那么我们就可以将 cur 指向 cur.next。

当遍历完整个链表之后,我们返回链表的的哑节点的下一个节点 dummy.next 即可。

结束

好了,今天就到这了,这题其实有点老六,等用2个while循环,哈哈,我是小六六,三天打鱼,两天晒网!