LeetCode-112. 路径总和(day26)

122 阅读6分钟

Offer 驾到,掘友接招!我正在参与2022春招打卡活动,点击查看活动详情

一、前言

👨‍🎓作者:bug菌

✏️博客:CSDN掘金

💌公众号:猿圈奇妙屋

🚫特别声明:原创不易,转载请附上原文出处链接和本文声明,谢谢配合。

🙏版权声明:文章里可能部分文字或者图片来源于互联网或者百度百科,如有侵权请联系bug菌处理。

       哈喽,小伙伴们,我是bug菌呀👀。金三银四,又到了刷题月啦。所以不管你是准备跳槽还是在职,都一起行动起来,顺应这个时代月干点该干的事儿👣。所以,赶紧跟着bug菌的步伐卷起来吧⏰,变强从这一刻开始➕🧈。

       小伙伴们在批阅文章的过程中如果觉得文章对您有一丝丝帮助,还请别吝啬您手里的赞呀,大胆的把文章点亮👍吧,您的点赞三连(收藏⭐️+关注👨‍🎓+留言📃)就是对bug菌我创作道路上最好的鼓励与支持😘。时光不弃🏃🏻‍♀️,掘金不停💕,加油☘️

二、题目描述:

题目:

       给你二叉树的根节点 root 和一个表示目标和的整数 targetSum 。
判断该树中是否存在 根节点到叶子节点 的路径,这条路径上所有节点值相加等于目标和 targetSum 。

  • 如果存在,返回 true ;
  • 否则,返回 false 。

叶子节点 是指没有子节点的节点。

具体请看如下示例:

示例 1:

输入:root = [5,4,8,11,null,13,4,7,2,null,null,null,1], targetSum = 22
输出:true
解释:等于目标和的根节点到叶节点路径如上图所示。

示例 2:

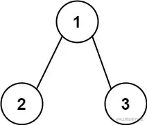
输入:root = [1,2,3], targetSum = 5
输出:false
解释:树中存在两条根节点到叶子节点的路径:
(1 --> 2): 和为 3
(1 --> 3): 和为 4
不存在 sum = 5 的根节点到叶子节点的路径。

示例 3:

输入:root = [], targetSum = 0
输出:false
解释:由于树是空的,所以不存在根节点到叶子节点的路径。

提示:

  •  树中节点的数目在范围 [0, 5000] 内
  •  -1000 <= Node.val <= 1000
  •  -1000 <= targetSum <= 1000 

题目来源:LeetCode官网
题目难度:⭐⭐

三、思路分析:

       这题我刚拿到,我也是楞了一下,询问是否有从「根节点」到某个「叶子节点」经过的路径上的节点之和等于目标值(targetSum)。其核心思想就是对树进行一次遍历,在遍历时记录从根节点到当前节点的路径和(防止重复计算)。

       假定从根节点到当前节点的值之和为 val,我们可以将这个大问题转化为一个小问题:是否存在从当前节点的子节点到叶子的路径,满足其路径和为 sum - val

       其实这就是满足递归思路了

  • 若当前节点就是叶子节点,那么我们直接判断 sum 是否等于 val 即可。(因为目标值(targetSum)题目已给,就是当前节点的值,我们只需要判断该路径和是否满足条件)。
  • 若当前节点不是叶子节点,接着递归地询问它的子节点是否能满足条件即可。
  • 需要注意,root可能为空。

四、算法实现:

AC代码

具体算法代码实现如下:

class Solution {
    public boolean hasPathSum(TreeNode root, int sum) {
        //若节点为空,直接返回null。
        if (root == null) {
            return false;
        }
        //若左右节点都为空,直接判断
        if (root.left == null && root.right == null) {
            return sum == root.val;
        }
        //递归查找
        return hasPathSum(root.left, sum - root.val) || hasPathSum(root.right, sum - root.val);
    }
}

五、总结:

leetcode提交运行结果截图如下:

复杂度分析:

  • 时间复杂度:O(n),其中 n 是树的节点数。对每个节点访问一次。
  • 空间复杂度:O(h),其中 h 是树的高度。空间复杂度主要取决于递归时栈空间的开销,最坏情况下,树呈现链状,空间复杂度为 O(n)。平均情况下树的高度与节点数的对数正相关,空间复杂度为 O(logn)。

       这题我刚开始运行也是踏坑了,测试用例有个[] 0 ,我一开始考虑到了,直接返回0,但是还是过不了测试用例,这不是耍赖嘛,所以做算法题,最重要的不仅仅是解题思路,还有值域边界,这点我是屡试不爽。不知道小伙伴们拿到这道题,有没有挂在这里的,有的评论区举个手,让我也开心开心。

       再者,解题道路千万条,欢迎小伙伴们脑洞大开,如果你们有啥更好的想法或者思路,欢迎评论区告诉我哦,大家一起互相借鉴互相学习,方能成长的更快。

好啦,以上就是本期的所有内容啦,咱们下期见咯。

六、往期推荐:

七、文末:

       如果你还想要学习更多,小伙伴们大可关注bug菌专门为大家创建的专栏《LeetCode每日一题》!带着你一块儿刷题,专栏每一篇都附带详细解法,手把手带你解题。

       一个人刷可能会觉得很累很难坚持,但是一群人刷就会觉得它是一件很有意义的事儿,互相督促互相鼓励,一起变强。

       我是bug菌,一名想走👣出大山改变命运的程序猿。接下来的路还很长,都等待着我们去突破、去挑战。来吧,小伙伴们,我们一起加油!未来皆可期,fighting!

最后送大家两句我很喜欢的话,与诸君共勉!

**************************************************

☘️做你想做的人,没有时间限制,只要愿意,什么时候都可以start,

🍀你能从现在开始改变,也可以一成不变,这件事,没有规矩可言,你可以活出最精彩的自己。

**************************************************

💌如果文章对您有所帮助,就请留下您的吧!(#^.^#);

💝如果喜欢bug菌分享的文章,就请给bug菌点个关注吧!(๑′ᴗ‵๑)づ╭❤~;

💗如果对文章有任何疑问,还请文末留言或者加群吧【QQ交流群:708072830】;

💞鉴于个人经验有限,所有观点及技术研点,如有异议,请直接回复参与讨论(请勿发表攻击言论,谢谢);

💕版权声明:原创不易,转载请附上原文出处链接和本文声明,版权所有,盗版必究!!!谢谢。