【算法之路】😎 吃透对称性递归 (三)

1,000 阅读3分钟

Offer 驾到,掘友接招!我正在参与2022春招系列活动-刷题打卡任务,点击查看活动详情

前言

数据结构与算法属于开发人员的内功,不管前端技术怎么变,框架怎么更新,版本怎么迭代,它终究是不变的内容。 始终记得在参加字节青训营的时候,月影老师说过的一句话,不要问前端学不学算法。计算机学科的每一位都有必要了解算法,有写出高质量代码的潜意识

一、二叉树的层次遍历 II

1.1 问题描述

给你二叉树的根节点 root ,返回其节点值 自底向上的层序遍历 。 (即按从叶子节点所在层到根节点所在的层,逐层从左向右遍历)

示例 1:

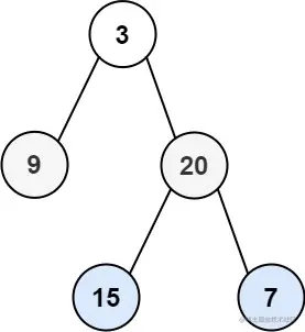
输入:root = [3,9,20,null,null,15,7]
输出:[[15,7],[9,20],[3]]

示例 2:

输入:root = [1]
输出:[[1]]

示例 3:

输入:root = []
输出:[]

1.2 题解思路

二叉树的层序遍历问题,一般都是通过index记录层级的方式去解决问题的。这道题的不同之处在于层级是自底向上的去计算的,那首先我们可以想到最简单的解法就是自上向下的将结果存储在数组中。然后再通过reverse方法来将数组翻转。

1.3 AC代码

var levelOrderBottom = function(root) {
    const res = []
    const rec = (root,index)=>{
        if(!root) return
        if(!res[index]){
            res[index] = []
        }
        res[index].push(root.val)
        rec(root.left,index+1)
        rec(root.right,index+1)
    }
    rec(root,0)
    return res.reverse()
};

二、二叉树中第二小的节点

2.1 问题描述

给定一个非空特殊的二叉树,每个节点都是正数,并且每个节点的子节点数量只能为 2 或 0。如果一个节点有两个子节点的话,那么该节点的值等于两个子节点中较小的一个。

更正式地说,即 root.val = min(root.left.val, root.right.val) 总成立。

给出这样的一个二叉树,你需要输出所有节点中的 第二小的值 。

如果第二小的值不存在的话,输出 -1 。

示例 1:

输入:root = [2,2,5,null,null,5,7]
输出:5
解释:最小的值是 2 ,第二小的值是 5

示例 2:

输入:root = [2,2,2]
输出:-1
解释:最小的值是 2, 但是不存在第二小的值

2.2 题解思路

最简单的做法,去递归将所有的节点存储在res数组中,再记录所有节点中的最小值。

  • 再对res进行排序,从小到大
  • 一旦发现比最小的要大的值就直接返回
  • 否则返回-1

2.3 AC代码

var findSecondMinimumValue = function(root) {
    const res = []
    let min = Infinity
    const rec = (root)=>{
        if(!root) return
        res.push(root.val)
        min = Math.min(root.val,min)
        rec(root.left)
        rec(root.right)
    }
    rec(root)
    res.sort((a,b)=>a-b)
    for(const val of res){
        if(val>min){
            return val
        }
    }
    return -1
};

优化,既然只需要找到最小的和第二小的那么我们就可以省去res数组存储值这样一个过程了。实现思路如下

  • 记录所有节点中最小的值
  • 因为题目的特殊性,该二叉树的根节点的值,一定大于等于左侧两节点的值,所以我们只需要记录一次大于最小值就可以退出递归了
var findSecondMinimumValue = function(root) {
    let ans = -1 
    let rootVal = root?.val  // 根节点就是最小值
    const rec = (root)=>{
        if(!root) return 
        if(ans!=-1&&root.val>ans){ // 发现比目前第二小的值大的
            return
        }
        if(root.val>rootVal){ 
            ans = root.val // ans 记录了目前第二小的值。
        }
        rec(root.left)
        rec(root.right)
    }
    rec(root)
    return ans
};

总结

对称性质的算法一共有六个系列

好了,本篇 【算法之路】😎 吃透对称性递归 (三)到这里就结束了,我是邵小白,一个在前端领域摸爬滚打的大三学生,欢迎👍评论。