自控原理 考试版总结

3,548 阅读12分钟

1:sp16.1:给一个传函,画伯德图,求GM,PM,求临界K值;劳斯判据求临界K值,画根轨迹确定临界K值

2:化简结构图

3:画根轨迹,根据要求确定K的范围

4:时域分析:一阶、二阶、高阶,

①给一个阶跃响应图,让你写出各个性能参数

②降阶

交给matlab和计算器

matlab: 劳斯判据中解辅助方程用matlab/计算器

根轨迹验证 伯德图验证:

  • ①曲线光滑只能近似比较(起点和终点可以用来检验!!)
  • ②可输出幅值裕度、相位裕度、对应的截止频率、穿越频率!!☆☆

计算器

  • 传递函数解极点
  • 解多项式方程

传递函数以及结构图的化简

结构图化简

传递函数的形式和注意点:juejin.cn/post/684490…

  • 分母的阶数是系统的阶数
  • even_form最高阶系数为1(二阶系统使用),bode_form常数项为1(一节系统、伯德图分析、高阶系统降阶时使用)

结构图化简:

★步骤:

  • Step1:按照上图找反馈(按住一个比较点然后对比上图),串联,并联等基本环节
  • Step2:没有就进行比较点和引出点的移动,然后重新进行Step1

补充:

  • 反馈:在输入点做加减,输出引回;“正向通道做分子,1±正向通道×反馈通道做分母(综合点不动它,若没有其他输入则可以去掉)”
  • ★★反馈口诀:分子×分母做分子,分母乘积-+分子乘积做分母单位反馈则直接将分子写在分母
  • ★★引出点移动:多啥除啥
  • ★★比较点移动:多啥补啥
  • 相邻的引出点可以互换、合并;相邻的综合点可以互换、合并
  • 相邻的引出点和综合店不建议变换位置

special case
扰动量误差传递函数法二求法:

做题格式:

梅森公式

系统的时域分析

一阶系统

  • 最重要的是:化成标准形式Bode form,求出时间常数T

稳态误差的求解

阶跃响应

特点:

  • 稳态误差e_{ss}=r(t)-c(t)=0
  • 可用τ来确定一阶系统,经过一个时间常数τ,响应可以达到final value(A*1)的63%

斜坡响应

  • 稳态误差=A\tau

一阶闭环系统

  • K'和\tau'

标准二阶系统

若不是标准二阶系统,而是如下的二阶系统,要求PO的话就得看高阶系统二阶分析的PO-γ图!

  • 最重要的是:化成标准形式even form 求出w_{n}\zeta

二阶系统性能的改善

引入速度反馈,通过增大ζ,降低了PO,改善了系统的动态性能;但是会增大稳态误差!解决办法:加大原系统的开环增益K,从而降低稳态误差

高阶系统

见到如下两种情况要求求超调的话才去看另一个笔记:三阶系统消极点成为标准二阶;二阶系统消零点成为标准二阶

通用降阶方法:(如果只要求降阶就根据如下方法)

  • ①分母因式分解(二次式能拆一阶就拆,有复数根则不拆)
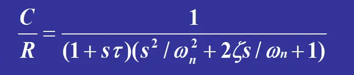
  • ②化Bode_form:(1+s \tau)\left(s^{2} / \omega_{n}^{2}+2 \zeta s / \omega_{n}+1\right)
  • 比较极点相对距离,差五倍则可舍去非主导极点(从Bodeform中将非主导极点对应项直接去掉);一对零极点很近则两个一起消掉
  • 若不能消去,则画图要考虑附加闭环零极点的影响,画图做出一点调整:附加闭环零点会使系统的峰值时间提前,超调量增加;附加闭环极点会使Tp滞后,降低超调量

★2 三阶系统实例分析

研究对象:

2.1 实极点的作用

实极点的作用:make reponse sluggish(迟缓)(阻力),越靠近虚轴越有阻力作用

2.2 极点的影响

定义一个参数:\beta = \frac{1/\tau}{\zeta\omega_{n}}

★★★结论:

  • β>=10,便可降为二阶系统,实极点未发挥【阻力】的作用,响应的超调满足二阶系统PO与ζ的关系图
  • β<=0.1,降为一阶系统,不再有超调
  • 0.1<β<=1,实极点发挥【阻力】的作用,响应不再有【超调】
  • 1<β<10,三阶系统不能直接降阶,要考虑实极点【阻力】的作用,根据上图中由不同的ζ来确定PO,以此来做题画图

★3 二阶系统实例分析

3.1 闭环零点的作用

研究对象:

例子:二阶系统零点的影响 实零点的作用:make reponse more-oscillatory(振荡)(动力),越靠近虚轴越有动力作用

\Phi(s)=\frac{1+\tau s}{A(s)},s=\frac{1}{\tau}是零点

3.2 零点的影响

定义一个参数:\gamma = \frac{1/\tau}{\zeta\omega_{n}}

★★★结论:

  • γ>=10,,实零点未发挥【动力】的作用,响应的超调满足二阶系统PO与ζ的关系图
  • γ<10,要考虑实零点【动力】的作用,根据上图中由不同的ζ来确定PO,以此来做题画图

4 sample problem 7.1四阶系统降阶实例

给如下四阶系统降阶,井大致画出单位阶跃响应:

通过上述几个参数就可以大致画出阶跃响应了

matlab验证:

讲义

系统的type&稳态误差

稳态误差题型以及对应的求解方法

  • 求稳态误差前要先判断系统是否稳定

  • 知道闭环传递函数:终值定理法

  • *给多输入结构框图求稳态误差:①求出E(s)=R(s)-HC(s);对于单输入普通情况E(s)=R(s)(1-\Phi(s));对于扰动输入E(s)=0-HC_{1}(s)②使用终值定理e_{ss}=limt_{s->0}sE(s)

  • 给开环传递函数求稳态误差:填表,不是单位反馈就化为单位反馈

1终值定理法:

下面这题对于有H的做法有待商榷

2给开环传递函数求稳态误差

★研究对象:单位负反馈H=1的开环传递函数G(s)

判断type: 开环传函分母能提出多少阶1/s就是几型系统

★求解稳态误差:

判断系统阶数:

稳态误差推导:

劳斯判据

【注意】:GH分子有K,则D(s)注意很多都带K!!

  1. 写特征方程 D(s)=0 即 1+GH(s)=0得分母=0
  2. 将最高次系数变为正,保证不缺项系数全为正
  3. 列出劳斯表如下
  4. 技巧:①某一项右列需要使用的的两项如果=0,则此项为0②某一项右列需要使用的的两项中第一项不为0,第二项为0,则此项等于第一项
  5. 判断法则:①系数均>0稳定②变号次数是正实部极点的个数③出现0用e代替用极限逼近

【检验】 在劳斯表第一列的最后一个元素,在不约分的情况下,等于方程的常数项,考试的时候可以验算自己有没有算错劳斯表。

【两种特殊情况:出现0系统肯定不稳定

①第一列出现0,用ε代替继续算劳斯表,最后取极限ε趋近于无穷小的整数(0.0001)(0+),对于缺项的特征方程,仍然可以用劳斯判据判断有几个右半平面极点,如下

②全零行(两行相同则下一行必为全零行)

step1:提上一行系数构造辅助方程F(s)求导后的方程dF/ds的系数即为全0行系数

step2:不用判断就知道系统不稳定;判断第一列是否有变号来判断有多少个极点在右半平面

step3:**解辅助方程F(s),求出极点,说系统在虚轴有共轭复根,所以系统不稳定(解辅助方程用matlab/计算器)

考试模板:

根轨迹

【注意】求K时,必须化成首一多项式,此时分子上的常数项才是开环根轨迹增益=才是你画出来的根轨迹上读出来的数值;matlab读出来的是你给定传函的分子常数的值

\mathrm{G}(\mathrm{s})=\mathbf{K}_{\mathbf{G}}^{*} \frac{\prod_{i=1}^{\mathbf{f}}\left(\mathbf{s}-\mathbf{z}_{\mathbf{i}}\right)}{\prod_{i=1}^{4}\left(\mathbf{S}-\mathbf{p}_{\mathbf{i}}\right)}

研究对象:开环传递函数KG(s)H(s)

Rule1: 起点是开环极点,终点是开环零点或无穷远;有n条根轨迹;有n-m条渐近线

Rule2: 确定实轴上的根轨迹

若有渐近线: Rule3,Rule4:确定渐近线与实轴的夹角和交点(技:关于实轴对称,只求一边)若没有渐近线考试写:rule3 rule4:无

\theta=\frac{\pi(2 k+1)}{n-m}, \mathrm{k}=0...取n-m个数

n-m=3: ±\frac{\pi}{3},\pi;n-m=2: ±\pi\over2;n-m=1:\pi--\sigma无意义不用求

\sigma=\frac{\Sigma p_{i}-\Sigma z_{i}}{n-m}

画渐近线:\frac{\pi}{3}\sigma×1.732在虚轴上确定位置,然后直接连线

\sigma分子只取"实部"累加

若有复数根: Rule5:仅对复数根使用:(极点的)出射角=180-其他极点指向它的向量的与实轴夹角+零点;(零点的)入射角=180-零点+极点(技:关于实轴对称,只求一边)

若根轨迹与虚轴有交点: Rule6:①解出根轨迹和虚轴的交点:s=jω代入1+KGH=0(分子=0)令实部虚部为0解出ω和K(直接看matlab图写出结果,最后有时间再写出s=jω代入后的方程)

1、i的平方为 -1 2、i的三次方为 -i 3、i的四次方位 1 4、i的五次方为 i

{②Rule10根之和(n-m≥2)③劳斯判据令第一列含K项=0 ②③得到K后,代回特征方程D(s)=0,令s=jω解出ω}

☆求分离点: Rule7 Rule8:根轨迹的分离点与分离角:(写第二种方法,直接看matlab输出的结果,最后有时间再写出k对s求导的方程)(分离点有可能是一对共轭复根,有用!)

分离角:

与实轴夹角的分离角: 结合对称性,相遇极点个数为l,l条射线之间的夹角为\phi=360/l

或者:

Rule9:给定闭环极点s,计算K

K = 所有开环极点到s连线长度之积/所有开环零点到s连线长度之积

K=\frac{\prod_{i=1}^{n}\left|s_{t}+p_{i}\right|}{\prod_{j=1}^{n}\left|s_{t}+z_{j}\right|}【作图法或s代入1+GH(s)=0解之(用这个!!),用matlab检验

【注】如果没有零点或极点,则对应的分母或分子取1

Rule10:n-m≥2,则闭环极点实部之和=开环极点实部之和;用来求与根轨迹虚轴夹角

分离点是共轭复根:

根轨迹闭合内环

模板:

伯德图

☆☆伯德图画图方法:

由开环传递函数GH绘制开环对数幅频特性曲线做题总结:

  • ①化成bodeform:尾一多项式

  • ②写出所有环节的起点,转折点,(变化斜率)

  • ③列写出转折点变化斜率以及相频曲线的收敛直线

  • ④依次画出每个环节的辐相曲线,曲线旁标注环节

  • ⑤合成曲线:幅频:从(1,20lg(K))画斜率为 -20×v的直线,每遇到一个转折点就改变斜率注意每画一部分就标注斜率;相频:从 -90×v开始画直线,每遇到一个转折点就改变斜率;注意每画一部分就标注斜率

注意

  • 画合成图时,边画边标注斜率!
  • 画典型环节相频和幅频一起画!
  • 【易错点】:1. 典型环节注意不要画在K上!要画在0分贝线上! 2.两个相同的典型环节,注意要画图加倍!!不要忽略!

做题模板:

给伯德图写传递函数

  • step1:列框架:标出所有转折点,写进G(s)里;最小转折点左边的直线的斜率确定v,高度确定K
  • step2:求参数

伯德图判断系统稳定性

找GM,先找相位穿越频率:(相位穿越-180°线的频率),做一条直线,0-dbline则为伯德图的GM(>0稳定)

☆找PM,先找幅值穿越频率(零分贝线),做一条直线,相位值减去-180°则为伯德图的PM(>0稳定)

☆判断系统稳定性只看PM,不看GM!PM>0则系统稳定;GM用来算临界K值

增大K的倍数:NK(N>0),20lgNK=20lgK+20lgN,相当于将Mdb曲线向上平移20lgN,而相位曲线不变(因为相位不发生改变),导致GM减小;gain crossover point会右移,导致PM减小;故系统趋向不稳定。

计算临界K值(K能取得最大值):让GM=0(也就是对应频率PM页=0)!即 20lgN=GM求得N,则K'=NK即为临界K值

系统设计

频域特性与时域特性的联系

两个结论:

PM=\zeta×100,\text {when }0<\zeta<0.6(PM=phase margin)

\omega_{g c}=\omega_{n} \cdot \sqrt{\sqrt{4 \zeta^{4}+1}-2 \zeta^{2}}\text { When } \zeta \text { very small } \omega_{\mathrm{gc}} \approx \omega_{\mathrm{n}}

ω_{gc}:gain crossover frequency,(M_{db}=0的频率)

例题:

solution:真值,下面的是通过伯德图估计出来的ω_{n}\zeta

题型分析

时域分析

  • 高阶系统两种特殊case,求响应的最大值c_{max}:①算出β/γ+ζ,看图判断超调PO②c_{max}=c_{∞}*(1+PO)

  • 标准二阶系统求动态性能指标

  • 辨析一阶系统开环和闭环下的\tau和K,时间常数\tau的物理意义

综合题型:求临界K值:

根轨迹分析系统性能

  • 系统临界稳定:劳斯表第一列为0解出K的取值;根轨迹求出虚轴上的K值
  • 给定一个闭环极点的值,确定对应的K值:Rule9:K = 所有开环极点到s连线长度之积/所有开环零点到s连线长度之积;给定一个闭环极点的值求其他极点,若给的是单实极点,则用长除法,给的是二阶ζ的值,就用比较系数法;若知道二阶极点的值,则用rule10求另一个单实极点
  • 要求ζ=0.5,确定对应K值:①作图法:sinθ=ζ,从原点画一条射线求其与根轨迹相交的点的K值(用Rule9)②计算法,用比较系数法
  • 系统稳定时K的取值范围:0<k<虚轴上K值;系统响应衰减震荡的k的范围:分离点的K值<k<虚轴上K值

伯德图题型

  • 给定一个K画Bode图
  • 求GM,PM

改变伯德图:

  • 根据图计算临界K'值(K能取得最大值):让GM=0!即 20lgN=GM求得N,则K'=NK即为临界K值
  • 根据要求的PM和GM来求K'
  • 让20lgN=一个正值,相当于抬高曲线,等于一个负值相当于降低曲线,如下图
  • 给你伯德图画传递函数

系统建模

前向通路:R->C,两两不能完全包含

独立回路:比较点通过前向通路看能不能形成一个圈,