人工智能数学基础系列文章
人工智能的学习对于数学要求还是需要一定的功底的,不管是算法还是涉及到的名词概念,都是建立在数学模型的基础上来做训练学习的,所以非常有必要把涉及到的数学知识都理解和梳理一遍,才能把思维从传统的编程方式转变过来。
这里介绍的是 一元函数(标量场)的导数,以后会介绍多元函数(矢量或者多维矩阵场)导数,因为多元函数需要向量和矩阵相关的知识,会先介绍向量和矩阵相关之后,再来详细介绍多元函数导数问题
一、导数
1. 定义
函数导数f'(x0),就是函数f(x)在x0值处的导数,也是函数f(x)在x0这个点的切线斜率,这个点我们这里用P点表示,如图:

2. 求导的推导过程
我们知道高中的时候对于函数斜率的计算公式:y-y0 = m(x - x0),其中m就是函数的斜率。具体我们要怎么求出这斜率值或者导数呢。

P0和Q点的坐标是: P0( x0, f(x0) ),Q( x0+Δx, f(x0+Δx) ) 最开始我们提到了,斜率的计算公式y-y0 = m(x-x0),m = (y - y0) / (x - x0),m = Δf / Δx, 这是割线l的斜率,要求P0的斜率,则要引入极限的概念,斜率或者说导数的如下(当Δx趋近于0的时候,也就是变化量趋于0的时候,Q点和P0点重合):

3. 求导例子
例子一
根据以上公式,举个例子,有函数f(x) = 1/x,求在x0上的导数?

例子二
函数1/x的导数求出来后,我们来解决一个有趣的问题,求出经过在函数f(x) = 1/x的点P的切线与坐标轴交点所围成的三角形的面积,如下图求出三角形AOB的面积:


例子三
既然函数f(x) = 1/x(即x的-1次幂)可以求其导数,f(x) = x^n,也可以求其导数,如下是求导过程:

例子四
下面来推导下三角函数的导数: f(x) = sinx,f '(x) = (sinx)',利用上门的求导公式,解得:

余弦函数f(x) =cosx的求导,f '(x) = (cosx)':

二、高阶导数
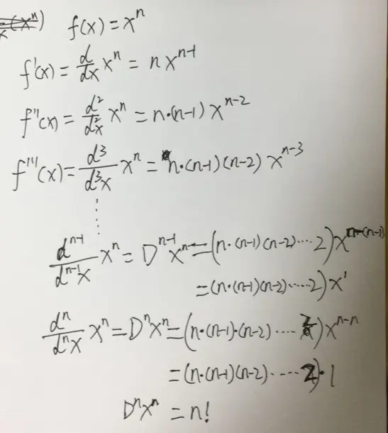
所谓高阶导数就是,函数的一次求导叫一阶导数,对一阶导数再次求导叫二阶导数,对二阶导数再次求导叫三阶导数,对三阶导数再次求导叫四阶导数,如果求导n次就是n阶导数,这些都是高阶导数。这里举个例子,函数f(x) = x^n,的n次导数,求解? 牛顿用f '(x)表示一阶导数,莱布尼茨在微分中使用 d/dx(x^n)来表示一阶导数也可以用D x^n 来表示,(d/dx)d/dx(x^n)表示二阶导数也可以用D ^2 x^n表示,n次导数可以用 D^n x^n


三、常用导数公式

导数知识先介绍到这,关于四则运算的求导,网上已有很多资料,可以上网查找其相关求导法则,万变不离其宗推导方式都可以利用第二小标题的“求导公式”来计算推导。希望这篇文章能对你有所帮助,回忆起高中导数和微分相关的内容。
人工智能数学基础系列文章