大数据-278 Spark MLib-GBDT梯度提升决策树详解:从原理到实战案例

59 阅读5分钟

TL;DR

  • 场景:机器学习初学者理解GBDT梯度提升决策树的核心原理与训练流程
  • 结论:GBDT通过多轮迭代、拟合残差、学习率控制,逐步构建强学习器,适合分类与回归任务
  • 产出:完整GBDT训练流程解析,含初始化、学习率收缩、弱学习器叠加的工程实现细节

请添加图片描述

版本矩阵

功能状态说明
GBDT原理详解✅ 已验证梯度提升、Shrinkage机制完整解析
案例数据训练✅ 已验证平方损失函数、均值初始化、负梯度计算
回归树构建✅ 已验证最佳划分节点选择、平方损失最小化
预测流程✅ 已验证多轮迭代预测值叠加

GBDT梯度提升决策树封面

GBDT案例

GBDT 是一种集成学习方法,全称为 梯度提升决策树(Gradient Boosting Decision Tree),属于 Boosting 家族的模型。它通过多个弱学习器(通常是决策树)逐步叠加,不断优化前一次模型的预测误差,从而形成一个强学习器,常用于分类、回归等任务。

GBDT 的基本思想是:

  • 初始化一个模型,通常预测一个常数(如均值)。
  • 计算残差(即真实值与当前模型预测值的差值)。
  • 训练一棵决策树来拟合这个残差。
  • 将新树的输出加到原模型上(带上学习率系数)。
  • 重复以上步骤,直到迭代次数达到设定值或误差足够小。

每一轮都是在减少前一轮模型的误差,而这个误差的减少过程可以看作是在目标损失函数上的梯度下降过程(所以叫"梯度"提升)。

数据介绍

根据如下数据,预测最后一个样本的身高。 身高预测数据集表格:包含编号、年龄、体重和标签值四列

模型训练

设置参数: ● 学习率 learning_rate = 0.1 ● 迭代次数 n_trees = 5 ● 树的深度 max_depth = 3

开始训练 初始化弱学习器: GBDT初始化公式:f0(x)等于使损失函数最小的常数c

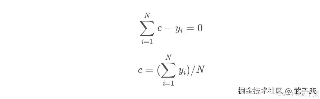
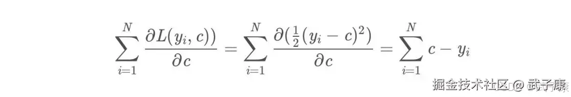
损失函数为平方损失,因为平方损失函数是一个凸函数,直接求导,导数等于0,得到c。 平方损失函数对参数c求偏导的推导过程

令导数等于0: 由残差和为零推导均值定义的数学公式

所以初始化时,c取值为所有训练样本标签的均值,c = (1.1+1.3+1.7+1.8)/4=1.475c=(1.1+1.3+1.7+1.8)/4=1.475 此时得到初始的学习率为: f0(x) = c = 1.475

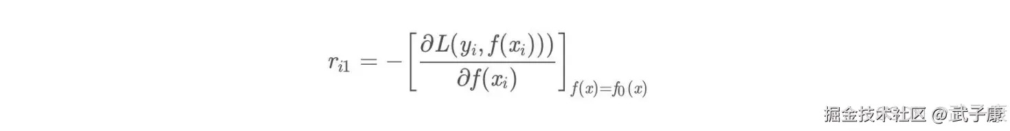
对于迭代轮数 m = 1,2...M: 由于我们设置了迭代次数,n_trees = 5, 这里 M = 5,计算负梯度,根据上文的损失函数为平方损失时,负梯度就是残差,再直白一点就是y与上一轮得到的学习器的差值: GBDT伪残差计算公式:损失函数负梯度

残差在下表: GBDT初始残差计算表:展示真实值、初始预测值及残差 此时残差作为样本的真实值来训练弱学习器 f1(x),即下面的数据: 以残差作为标签值训练第一棵决策树的数据表 接着,寻找回归树的最佳划分节点,遍历每个特征的每个可能得取值。 从年龄特征的5开始,到体重特征的70结束,分别计算分裂后两组数据的平方损失(Square Error),SEL左节点平方损失,SER右节点平方损失,找到哦啊使平方损失 SEsum = SEL + SER 最小的那个划分节点,即为最佳划分节点。

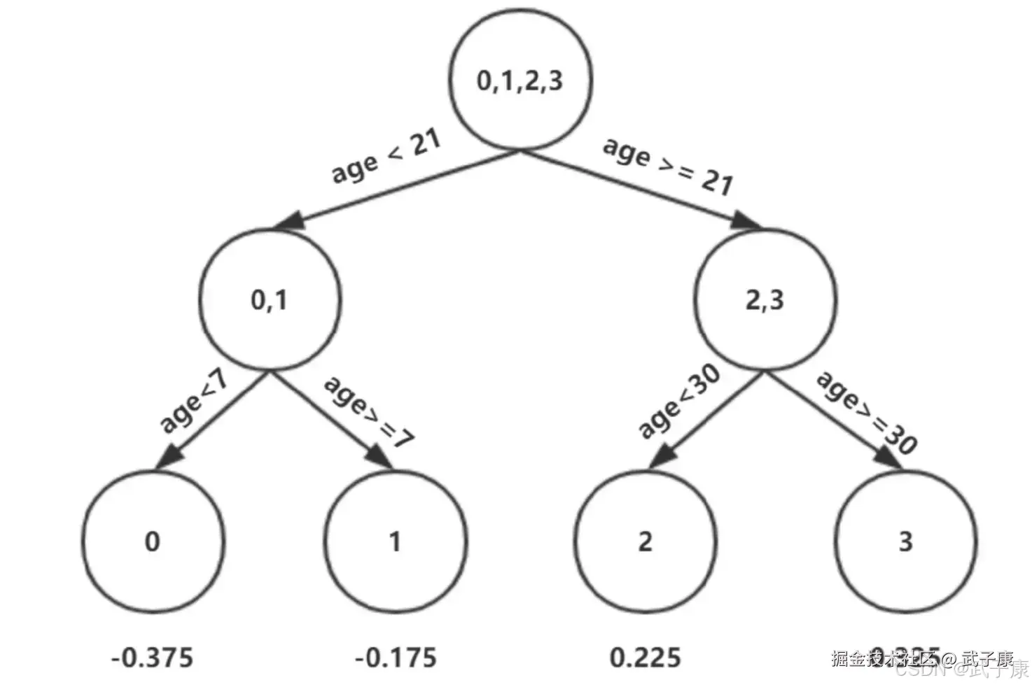
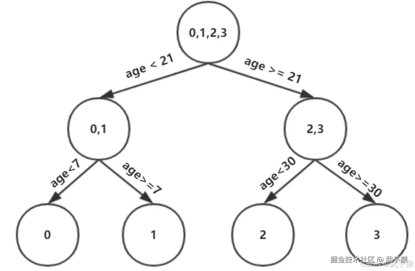
例如: 以年龄21为划分节点,将小于21的样本划分到左节点,大于21的样本划分为右节点。左节点包括x0,x1,右节点包括 x2,x3 决策树根节点分裂示意图:按age<21划分样本 以上划分点是总平方损失最小为0.025有两个划分点:年龄21和体重60,所以随机选一个作为划分点,这里我们选 年龄21 现在我们的第一棵树长这个样子:

第一棵决策树结构:根节点按age<21分裂 我们设置的参数中的树的深度 max_depth = 3,现在树的深度只有2,需要再进行一次划分,这次划分要对左右两个节点分别进行划分:

对于左节点,只含有0,1两个样本,根据下表我们选择年龄7划分: 左节点划分计算表:age<7为最优划分点

对于右节点,只含有2,3两个样本,根据下表我们选择年龄30划分(也可以选体重70): 右节点划分计算表:age<30为最优划分点 现在我们第一棵树长这个样子: 完整第一棵决策树结构:三层四个叶子节点

此时我们树的深度满足了设置,还需要做一件事情,给这每个叶子节点分别赋一个参数Y,来你和残差 叶子节点最优值计算公式:最小化区域损失

这里其实和上面初始化学习器是一个道理,平方损失,求导,令导数等于0,化简之后得到每个叶子节点的参数Y,其实就是标签值的值。 这个地方标签值不是原始的Y,而是本轮要拟合的标残差 y - f0(x) 根据上述划分结果,为了方便表示,规定从左到右第1,2,3,4个叶子节点: 四个叶子节点对应的残差拟合值

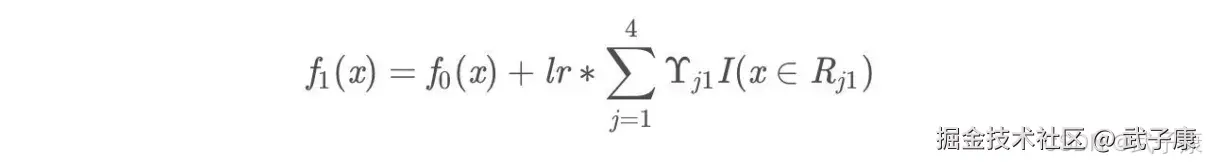
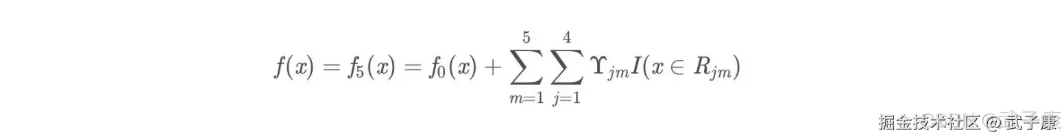
此时的树长这个样子: 带叶子节点权重值的第一棵决策树 此时可更新强学习器,需要用到参数学习率:learning_rate = 0.1 ,用 lr 表示: GBDT第一次迭代模型更新公式 为什么要用学习率呢?这是 Shrinkage 的思想,如果每次都全部加上(学习率为1)很容易一步学到位导致过拟合。 重复此步骤,直到 m > 5 结束,最后生成 5 棵树。 GBDT五轮迭代决策树对比:展示每轮叶子节点权重变化 得到最后的强学习器:

GBDT最终模型公式:五棵树叠加

预测样本

● f0(x) = 1.475 ● 在f1(x)中,样本4的年龄为25,大于划分节点21岁,又小于30岁,所以被预测为 0.2250 ● 在f2(x)中,样本4(省略),被预测为 0.2025 ● 在f3(x)中,样本4(省略),被预测为 0.1823 ● 在f4(x)中,样本4(省略),被预测为 0.1640 ● 在f5(x)中,样本4(省略),被预测为 0.1476

最终预测结果: f(x) = 1.475 + 0.1*(0.225+0.2025+0.1823+0.164+0.1476) = 1.56714


错误速查卡

症状根因定位修复
预测值远偏离真实值学习率过大(接近1),Shrinkage机制失效检查learning_rate参数设置将learning_rate降至0.01~0.1范围
树深度不足但过拟合max_depth设置过小,叶子节点划分不充分观察验证集loss曲线适当增大max_depth至4~6
残差计算结果为0初始化学习器错误,非样本均值检查f0(x)初始化逻辑平方损失下初始化为标签均值
迭代5轮后误差未下降树深度为0,未真正构建决策树检查max_depth是否≥1设置max_depth≥1确保树有分裂能力