大数据-277 Spark MLib-梯度提升树(GBDT)算法原理与工程实现指南

31 阅读6分钟

TL;DR

  • 场景:结构化表格数据的分类与回归问题,需要捕捉特征间复杂非线性关系
  • 结论:GBDT通过梯度下降逐步拟合残差,将多棵弱决策树累加为强学习器,是Kaggle等竞赛的常胜方案
  • 产出:掌握GBDT核心思想、XGBoost/LightGBM/CatBoost实现差异,能快速选择合适框架

大数据-277 Spark MLib-梯度提升树(GBDT)算法原理与工程实现指南

版本矩阵

框架版本发布时间核心特性
XGBoost2.0+2023二阶近似、稀疏感知、Block直方图、L1/L2正则
LightGBM4.0+2023GOSS行采样、EFB特征捆绑、叶子优先生长
CatBoost5.0+2024有序目标编码、对称树、文本特征支持

梯度提升树概念图

Gradient Boosting

梯度提升树(Gradient Boosting)是提升树(Boosting Tree)的一种改进算法,所以在讲梯度提升树之前先来说一下提升树。

先来例子理解:假如有个人30岁,我们首先用20岁去拟合,发现损失有10岁,这时我们用6岁去拟合剩下的损失,发现差距还有4岁,第三轮我们用3岁拟合剩下的差距,差距就只有一岁了。

如果我们迭代轮数还没有完,可以继续迭代下面,每一轮迭代,拟合的岁数误差都会减小,最后将每次拟合的岁数加起来便是模型输出的结果

提升树算法:

初始化 f0(x)= 0

对 m = 1,2...M,计算残差 rmi = yi - fm - 1(x) , i = 1,2...N

拟合残差 rmi 学习一个回归树,得到 hm(x)

更新 fx(m) = fm - 1 + hm(x)

得到回归问题提升树:

提升树算法伪代码

上面伪代码中的残差是什么?

在提升树算法中:

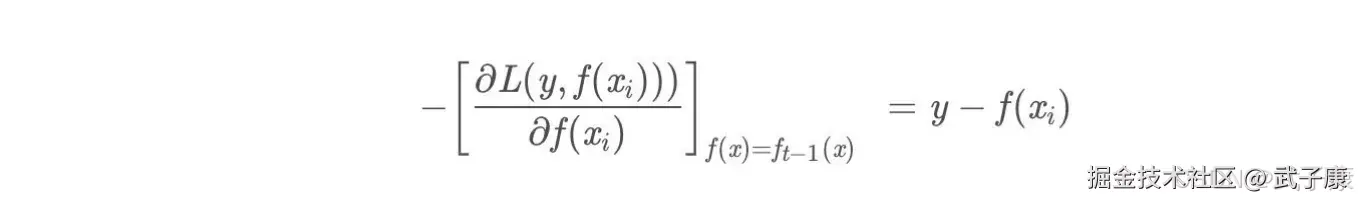
假设前一轮迭代得到的强学习器是:ft-1(x)

损失函数是:L(y, ft-1(x))

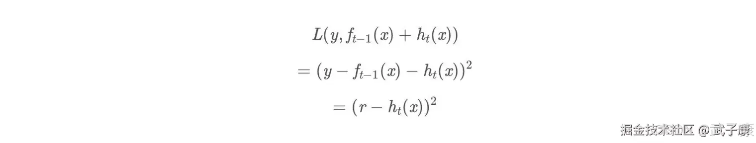
本轮迭代的目标是找到一个弱学习器:ht(x)

最小化本轮的损失:L(y, ft(x)) = L(y, ft- 1(x) + ht(x))

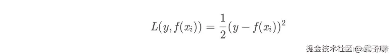
当采用平方损失函数时:

残差计算公式

这里,r = y - ft -1(x) 是当前模型拟合数据的残差(residual)

所以,对于提升树来说只需要简单你和当前模型的残差

当损失函数是平方损失和指数损失函数时,梯度提升树每一步优化都是很简单的,但是对于一般损失函数而言,往往每一步优化起来都不那么容易。

针对这一问题,Friedman 提出了梯度提升树算法,这是利用最速下降的近似方法,其关键是利用损失函数的负梯度作为提升算法树中的残差的近似值。

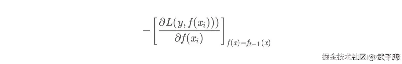
那么负梯度长什么样子呢?

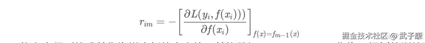
第t轮的第i个样本的损失函数的负梯度为:

负梯度公式

此时不同的损失函数将会得到不同的负梯度,如果选择平方损失:

平方损失函数

负梯度为:

负梯度结果

此时我们发现 GBDT 的负梯度就是残差,所以说对于回归问题,我们要拟合的就是残差。那么对于分类问题呢?二分类和多分类的损失函数都是 logloss

GBDT算法原理

将 Decision Tree 和 Gradient Boosting 这两部分组合在一起就是 GBDT 了。

GBDT(Gradient Boosting Decision Tree,梯度提升决策树)是一类 逐步加法模型+梯度下降优化 的集成学习算法。

  • Boosting:按序列方式训练多个弱学习器(一般是浅决策树),后一个模型专门弥补前面模型的错误。
  • Gradient:把"如何修正错误"形式化为在损失函数上的梯度下降;每一步都在函数空间中向负梯度方向迈出一小步。
  • Decision Tree:最常用的弱学习器是 CART 回归树(可处理回归或分类,经适当编码)。

初始化弱学习器

初始化公式

**对 m = 1,2...M **

对于每个样本 i =1,2...N 计算负梯度(即残差)

负梯度计算

将上步得到的残差作为样本新的真实值,并将数据 (xi, rim), i = 1,2...N 作为下颗树的训练数据,得到一个新的回归树 fm(x) 其对应的叶子节点区域为 Rjm, j = 1,2...J。

其中J为回归树t的叶子节点的个数。

对叶子区域 j = 1,2...J 计算最佳拟合值

最佳拟合值计算

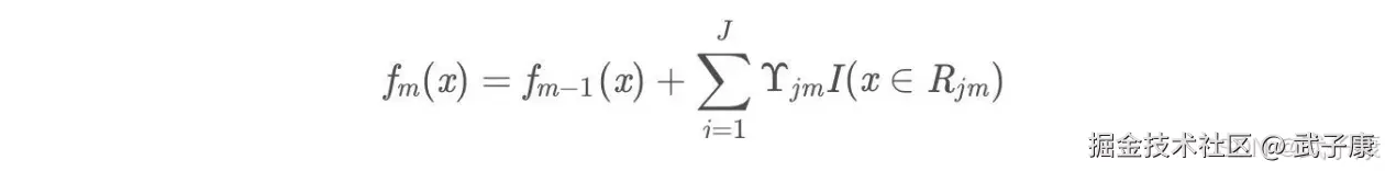
更新强学习器

更新学习器

得到最终学习器

最终模型

为什么效果好

  • 任意可导损失:统一框架下同时处理回归、二分类、多分类、排名、异常检测(自定义损失)。
  • 高阶非线性:树天然捕获特征交互,无需显式交叉特征工程。
  • 抗尺度:对不同量级特征无需标准化。
  • 可解释:基于树的内部结构可做特征重要度、SHAP 解释。

常见高效实现

  • XGBoost:二阶近似、稀疏感知、Block 近似直方图,加 L1/L2 正则。
  • LightGBM:GOSS 行采样+EFB 特征并列,叶子优先生长,高速+低耗内存。
  • CatBoost:针对类别特征的有序目标编码,内置对称树,支持文本特征。

它们都在经典 GBDT 框架上做了大量工程与算法加速,但核心思想(负梯度+浅树叠加)不变。

何时使用 / 何时不用

  • 适用:结构化表格数据、特征之间存在复杂非线性关系、不想做大量特征工程。
  • 不适:高维稀疏文本、图像、语音等深度学习占优场景;数据量极大但特征简单时线性模型更高速。

这里可以放一小段代码:

from xgboost import XGBClassifier
model = XGBClassifier(
    n_estimators=300,
    max_depth=6,
    learning_rate=0.05,
    subsample=0.8,
    colsample_bytree=0.8,
    objective='binary:logistic',
    eval_metric='auc'
)
model.fit(X_train, y_train,
          eval_set=[(X_val, y_val)],
          early_stopping_rounds=50)

错误速查卡

症状根因定位修复
训练集表现好,验证集差过拟合,学习器迭代轮数过多查看 eval_metric 曲线,确认 early_stopping_rounds 是否生效降低 n_estimators,增大学习率,添加正则项
预测全是同一个值学习率过小或迭代轮数不足检查特征重要性,确认树深增大学习率或迭代轮数
类别特征效果差未正确处理类别特征XGBoost需独热编码,CatBoost原生支持使用CatBoost或手动独热编码
内存溢出数据量过大,特征维度高监控内存使用,观察数据稀疏程度使用LightGBM的GOSS采样或减少特征
收敛慢学习率过低或损失函数不平滑观察损失曲线下降速度增大学习率或换用更平滑的损失函数