大数据-276 Spark MLib-深入理解Bagging与Boosting:集成学习核心算法对比与GBDT实战

35 阅读6分钟

TL;DR

  • 场景:机器学习工程师理解集成学习中Bagging与Boosting的核心差异,以及GBDT梯度提升树的原理与实战
  • 结论:Bagging通过并行采样提升泛化能力解决过拟合,Boosting通过串行加权提升训练精度解决欠拟合;GBDT作为Boosting代表算法,使用CART回归树和梯度下降优化
  • 产出:掌握Bagging与Boosting区别,理解GBDT算法流程,具备回归决策树实战能力

请添加图片描述

版本矩阵

功能状态说明
Bagging与Boosting对比✅ 已验证数据/投票/学习顺序三维度对比
GBDT算法原理✅ 已验证CART回归树与梯度提升
回归决策树算法流程✅ 已验证切分点选择与输出值计算
实战案例分析✅ 已验证年龄预测完整计算过程

Bagging和Boosting区别

数据方面

● Bagging:对数据进行采样训练 ● Boosting:根据前一轮学习结果调整数据的重要性

投票方面

● Bagging:所有学习器平权投票 ● Boosting:对学习器进行加权投票

学习顺序

● Bagging:学习是并行的,每个学习器没有依赖关系 ● Boosting:学习是串行的,学习有先后顺序

主要作用

● Bagging:主要用于提高泛化性能,解决过拟合 ● Boosting:主要用于提高训练精度,解决欠拟合

GBDT

基本介绍

GBDT的全称是:Gradient Boosting Decision Tree,梯度提升树,在传统机器学习算法中,GBDT算的上是TOP3的算法。

Decision Tree

无论是处理回归问题还是二分类还是多分类问题,GBDT使用的决策树统统都是CART回归树。 对于回归树算法来说最重要的是寻找最佳的划分点,那么回归树中可划分点包含了所有的特征的所有可取的值。 在分类树中最佳划分点的判断标准是熵或者基尼系数,都是纯度来衡量的,但是在回归树中的样本标签华四连续数值,所以再使用熵之类的指标不再合适,取而代之的是平方误差,他能很好的评判拟合程度。

回归决策树

不管是回归决策树还是分类决策树,都会存在两个问题:

● 如何选择划分点? ● 如何决定叶节点的输出值?

一个回归树对应输入空间(即特征空间)的一个划分以及在划分单元上的输出值。分类决策树中,采用的信息论中的方法信息增益以及信息增益率,通过计算选择最佳划分点。

在回归树中,采用的是启发式的方法,假设数据集有 n 个特征:

回归决策树特征空间划分示意

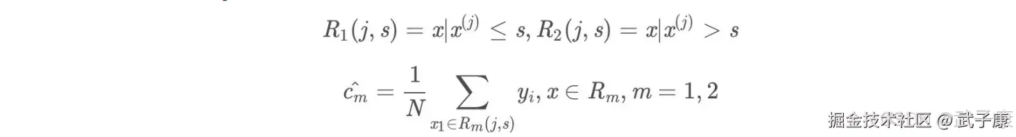
假设将输入空间划分为M个单元,R1、R2...Rm,那么每个区域的输出值就是:cm = avg(yi | xi ∈ Rm) 也就是该区域内所有点y值的平均数

举例: 如下图,加入要对楼内居民的年龄进行回归,将楼划分为3个区域R1,R2,R3,那么R1的输出就是第一列居民年龄的平均值,R2输出的就是第二列居民年龄的平均值,R3的输出就是第三、四列八个居民年龄的平均值

居民年龄回归划分示例

算法流程

输入:训练数据集D 输出:回归树 f(x) 在训练数据集所在的输入空间中,递归的将每个区域划分为两个子区域并决定每个子区域上的输出值,构建二叉决策树:

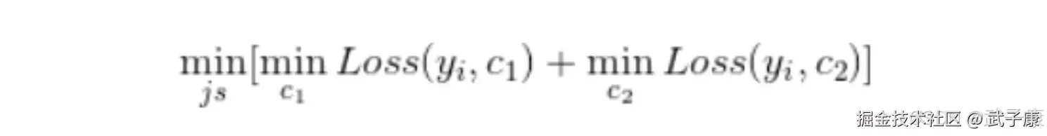
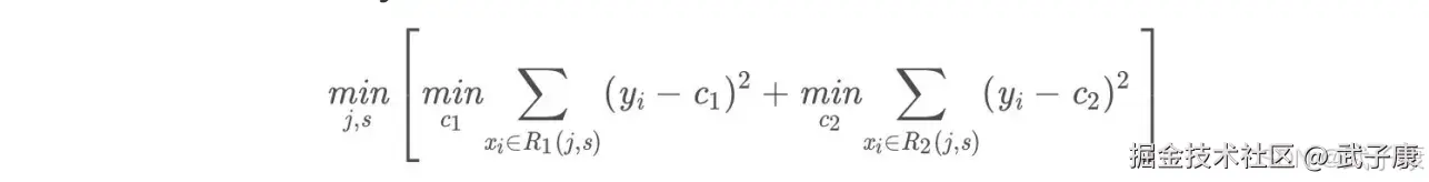
1.选择最优切分特征j与切分点s,求解:

最优切分特征与切分点公式

遍历特征j对固定的切分特征j扫描切分点s,选择使得上式达到最小值的对(j,s)

2.用选定的对(j,s)划分区域并决定相应的输出值:

区域划分与输出值公式

3.继续对两个子区域调用步骤(1)和(2),直到满足停止条件。

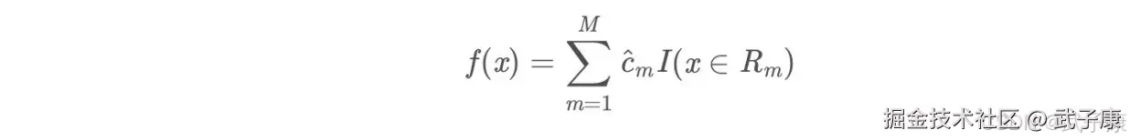
4.将输入空间划分M个区域 R1,R2...Rm,生成决策树:

回归树生成公式

测试案例

通过一个实例加深对回归决策树的理解

训练数据

训练数据见下表

训练数据表格

计算过程

选择最优的切分特征j与最优切分点s:

● 确定第一个问题:选择最优切分特征:在本数据集中,只有一个特征,因此最优切分特征自然是X ● 确定第二个问题:我们考虑9个切分点[1.5,2.5,3.5,4.5,5.5,6.5,7.5,8.5,9.5]:损失函数定义平方损失函数 Loss(y,f(x))= (f(x) - y) -y)^2,将上述9个切分点依次带入下面的公式 cm=avg(yi | xi ∈ Rm)

计算子区域的输出值:

例如:取 s = 1.5,此时 R1 = {1}, R2 = {2,3,4,5,6,7,8,9,10},这两个区域的输出值分别为:

● c1 = 5.56 ● c2 = (省略...) = 7.50

同理,可以得到其他各切分点的子区域输出值,如下表所示:

各切分点输出值表

计算损失函数值,找到最优切分点:

把c1,c2的值代入到同平方损失函数 Loss(y, f(x)) = (f(x)- y) ^ 2 当 s = 1.5 时

损失函数计算示例

同理,计算得到其他各切分点的损失函数值,可获得下表:

各切分点损失函数值表

显然取 s = 6.5 时,m(s)最小,因此,第一个划分变量【j=x, s=6.5】

用选定的 (j, s) 划分区域,并决定输出值:

● 两个区域分别是 R1={1,2,3,4,5,6}, R2={7,8,9,10} ● 输出值 cm = avg(yi | xi ∈ Rm),c1 = 6, c2 = 8.91

调用步骤(1)、(2),继续划分,对R1继续划分:

R1区域继续划分

取切分点[1.5,2.5,3.5,4.5,5.5],则各区域的输出值c如下表:

R1区域输出值表

计算损失函数m(s):

R1区域损失函数计算

s=3.5,m(s)最小。

生成回归树:

假设在生成3个区域之后停止划分,那么最终生成的回归树形式如下:

最终回归树结构


错误速查卡

症状根因定位修复
回归树划分点过多导致过拟合树的深度或叶节点数未约束观察验证集误差曲线设置max_depth、min_samples_leaf等参数
平方误差计算数值不稳定特征尺度差异大检查特征分布提前进行特征标准化
GBDT训练速度慢树的数量过多或每棵树过深监测每轮迭代时间减少n_estimators,降低树深度
Boosting权重偏移异常早期错误样本权重过大观察样本权重分布使用学习率衰减或采样平衡
切分点选择计算量大连续特征切分点过多分析特征基数对连续特征进行分箱处理