大数据-273 Spark MLib-决策树分类算法详解:ID3、C4.5、CART 与剪枝原理

55 阅读7分钟

TL;DR

  • 场景:需要构建可解释的分类模型,或进行特征分箱与规则提取
  • 结论:决策树通过信息增益、基尼系数等指标选择最优分裂属性,ID3/C4.5/CART 分别采用不同分裂准则,集成方法(随机森林、GBDT)可显著提升泛化能力
  • 产出:掌握决策树核心原理,理解熵、条件熵、信息增益率计算方法,能根据业务场景选择合适的决策树算法

大数据-273 Spark MLib-决策树分类算法详解:ID3、C4.5、CART 与剪枝原理

版本矩阵

功能状态说明
ID3 算法(信息增益)✅ 已验证使用信息熵增益选择分裂属性,倾向于选择值较多的特征
C4.5 算法(信息增益率)✅ 已验证用信息增益除以特征熵,克服信息增益的偏向问题
CART 算法(基尼系数)✅ 已验证既可用于分类也可用于回归,二叉树结构
决策树剪枝✅ 已验证预剪枝(提前停止)、后剪枝(先生成后修剪)
随机森林集成✅ 已验证Bagging + 决策树,多棵树投票/平均提升泛化能力
GBDT 系列(XGBoost/LightGBM/CatBoost)✅ 已验证梯度提升框架,序列化构建提升模型性能

决策树简介

基本介绍

决策树是一种非线性有监督分类模型,程序设计中的条件分支结构就是 if-else 结构

决策树的特点: ● 是一种树形结构,本质上一颗由多个判断节点组成的树 ● 其中每个内部节点表示一个属性上的判断 ● 每个分支代表一个判断结果的输出 ● 最后每个叶节点比代表一种分类结果

下面是一个简单的例子: 决策树示例

核心思想

通过一系列"如果 … 那么 …"的分裂规则,把复杂的决策过程拆解成若干简单判断,最终落到叶节点给出预测或决策。

适用任务

分类(Classification)与 回归(Regression)皆可;也常用于特征工程(如自动分箱)与可解释性分析。

代表算法

ID3、C4.5、CART(最常用),以及衍生的集成方法:随机森林(Random Forest)、梯度提升树(GBDT / XGBoost / LightGBM / CatBoost)。

结构与术语

            root
          ┌─┴───────┐
     internal     internal
      node1         node2
    ┌──┴──┐          │
  leaf  leaf       leaf
  • 根节点 (root):包含完整样本集
  • 内部节点 (internal/decision node):依据某特征和阈值把样本划分成更"纯净"的子集
  • 叶节点 (leaf / terminal node):输出类别标签或数值预测结果
  • 路径 (path):从根到叶的一条决策链,相当于一个规则组合

分类原则

天气作为分类条件 要按照前四列的信息,使用决策树预测车祸的发生,如何选择根节点呢?

按照天气

按照"天气"列作为根节点,使用决策树预测,如图:

按照温度

按照"温度"列作为根节点,使用决策树预测,如图: 温度作为分类条件

温度决策树结果

按照湿度

湿度作为分类条件

按照风

风速作为分类条件

简单总结

只有使用天气作为根节点时,决策树的高度相对低而且树的两边能将数据分类的更彻底(其他列作为根节点时,树两边分类不纯粹,都有天气)

分类原则总结: 决策树构建过程就是数据不断分裂的递归过程,每一次分裂,尽可能让类别一样的数据在树的一边,当树的叶子节点的数据都是一类的时候,则停止分类。这样分类的数据,每个节点两边的数据不同,将相同的数据分类到树的一侧,能将数据分类的更加纯粹,减少树的高度和训练决策树的迭代次数。

分类原理

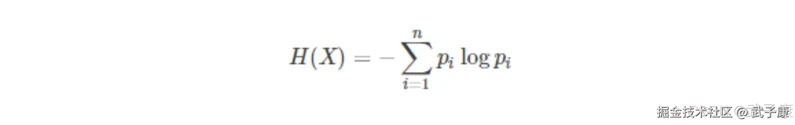
熵的介绍

物理学上,熵 Entropy 是 "混乱"程度的量度,系统越有序,熵值越低,系统越混乱或者分散,熵值越高。1948年香农提出了信息熵的概念。

熵的概念说明 如何衡量纯粹和混乱(信息量的大小)指标,可以使用信息熵或者基尼系数。 信息熵与基尼系数对比 熵的定义如下: 熵的计算公式 ● 某个类别下信息量越多,熵越大 ● 信息量越少,熵越小 ● 假设"有工作"这列下只有"否"这个信息类别,那么"有工作"这列的信息熵为:H=-(1xlog1)=0

上图中,如果按照"有工作"、"年龄"、"信贷情况"、"有房子"列使用决策树来预测"类别"。如何选择决策树的根节点分类条件,就是找到某列作为分类条件时,使"类别"这列分类更彻底,也就是找到在某个列作为分类条件下时,"类别"信息熵相对于没有这个分类条件时信息熵降低最大(降低最大,就是熵越低,分类越彻底),这个条件就是分类节点的分类条件,这里要使用条件熵和信息增益。

条件熵

定义:在某个分类条件下某个类别的信息熵叫做条件熵,在知道Y的情况下,X的不确定性。 条件熵计算公式 条件熵示例

信息增益

定义:代表熵的变化程度,分类前的信息熵减去分类后的信息熵 信息增益公式 在构建决策树时,选择信息增益大的属性作为分类节点的方法也叫ID3分类算法。

基尼系数

基尼系数也可以表示样本的混乱程度,公式如下: 基尼系数公式 其中,K代表当前列表有K个类别。 基尼系数越小代表信息越纯,类别越少,基尼系数越大,代表信息越混乱,类别越多。基尼增益的计算和信息增益相同,假设某列只有一类值,这列基尼系数为0。

信息增益率

信息增益率公式 在上图中,如果将"记录ID"也作为分类条件的话,由于"记录ID"对于"是否贷款"列的条件熵为0,可以得到"是否贷款"在"记录ID"这个分类条件下信息增益最大。如果选择"记录ID"作为分类条件,可以将样本完全分开,分类后的信息熵为0,分类结果完全正确,信息增益最大,这种方式我们得到了一颗庞大的树,这种分类方式是不合理的。 使用信息增益来筛选分类条件,更倾向于更混杂的属性,容易出现你过拟合的问题,可以使用信息增益率来解决这个问题。

信息增益率克服过拟合 例如在"记录ID"条件下,"是否贷款"的信息增益最大,信息熵H(记录ID)也比较大,两者相除就是在"记录ID"条件下的增益率,结果比较小,笑出了当某些属性比较混杂时,使用信息增益来选择分类条件的弊端。 使用信息增益率来构建决策树的算法也叫C4.5算法,一般对于信息增益来说,选择信息增益率选择分类条件比较合适。


错误速查卡

症状根因定位修复
决策树过拟合,训练集准确率高但测试集低树深度过大,节点过多,对训练数据过度拟合观察验证集曲线,检查树的深度和叶节点数量采用预剪枝(max_depth、min_samples_split)或后剪枝,降低模型复杂度
信息增益偏向选择取值多的特征信息增益计算公式倾向于选择分支多的属性分析特征取值数量与信息增益的关系使用 C4.5 算法,采用信息增益率替代信息增益
CART 树二叉树结构导致树过深二叉分裂每次只能将数据分成两部分,可能需要更多层才能达到同等纯度检查树的深度和每个叶节点的样本量结合随机森林或梯度提升方法提升效果
连续值特征处理困难连续变量取值无限,无法直接用于分裂检查连续特征的分裂点计算对连续特征进行离散化(分箱),或使用 C4.5/CART 的连续值处理机制
决策树对数据噪声敏感单个样本的异常值可能影响分裂点的选择检查数据质量,观察异常样本的影响在集成学习方法中使用多棵树降低噪声影响(随机森林)