大数据-271 Spark MLib-基础线性回归详解:从原理到损失优化实战

0 阅读7分钟

TL;DR

  • 场景:机器学习入门者学习回归分析,华氏度转摄氏度、房价/销售额/贷款额度预测等回归场景
  • 结论:线性回归通过最小二乘法或梯度下降优化损失函数,找到特征与目标值之间的最优线性关系
  • 产出:掌握线性回归定义、损失函数、正规方程与梯度下降两种优化算法的原理与对比

大数据-271 Spark MLib-基础线性回归详解:从原理到损失优化实战

版本矩阵

功能状态说明
线性回归定义与公式✅ 已验证单变量回归、多元回归概念清晰
线性关系分析✅ 已验证单变量与多变量线性关系图解
非线性关系✅ 已验证非线性关系示意图
损失函数✅ 已验证最小二乘法,总损失函数公式
解析解方式(正规方程)✅ 已验证直接求解最优解,但计算复杂度高
梯度下降法✅ 已验证学习率控制步长,迭代收敛
单变量梯度下降示例✅ 已验证J(θ)=θ² 迭代计算演示
多变量梯度下降示例✅ 已验证J(θ)=θ₁²+θ₂² 迭代计算演示
梯度下降与正规方程对比✅ 已验证特征数量与样本量适用性对比

线性回归场景

● 房价预测 ● 销售额度预测 ● 贷款额度预测

以华氏度与摄氏度之间的转换为例进行描述 华氏度摄氏度转换示意

线性回归定义

定义与公式

线性回归(Linear Regression)是利用回归方程(函数)对一个或多个自变量和因变量之间关系进行建模的一种分析方式

特点:只有一个自变量的情况称为单变量回归,多于一个自变量情况的叫做多元回归 线性回归示意图 如下图的例子: 摄氏度与温度关系 上面两个例子,我们看到特征值与目标值之间建立了一个关系,这个关系可以理解为线性模型。

线性回归特征与目标关系分析

线性回归当中主要两个模型,一种是线性关系,另一种是非线性关系。在这里我们只能画一个平面去理解,所以都用单个特征或者两个特征举例子。

线性关系的单变量线性关系

单变量线性关系

线性关系的多变量线性关系

多变量线性关系

非线性关系

非线性关系

线性回归的损失和优化

假设学习成绩例子,真是的数据之间存在这样的关系:

真实关系:最终成绩 = 0.5x平时成绩 + 0.3x期末成绩

那么现在呢,猜测一个关系:

猜测关系:预测最终成绩 = 0.45x平时成绩 + 0.2x期末成绩

可以想到,真实结果与我们的预测的结果之间存在一定的误差。 误差示意 既然存在这个误差,如何衡量误差呢?

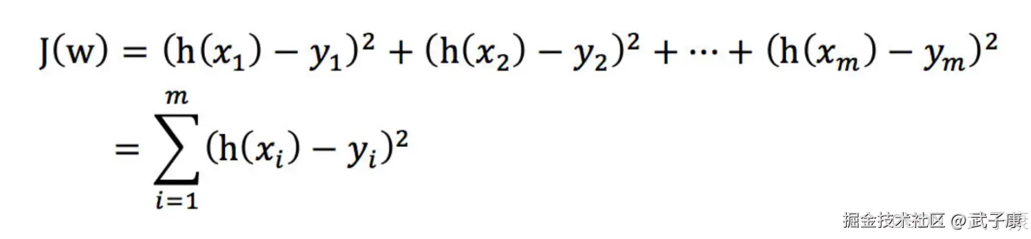
损失函数

总损失函数为: 损失函数公式 ● yi 为第i个训练样本的真实值 ● h(xi)为第i个训练样本特征值组合预测函数 ● 又称最小二乘法

优化算法

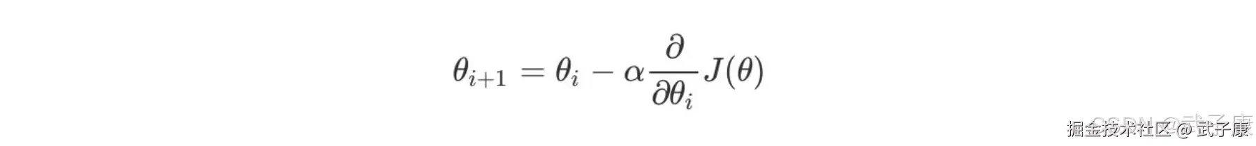
如何去模型当中的W,使得损失最小(目的是找到最小损失对应的W值) 线性回归经常使用的两种优化算法:解析解方式(正规方程)+ 梯度下降法

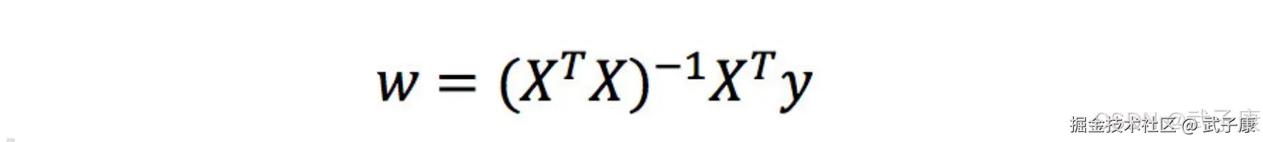
解析解方式

正规方程公式

理解:X为特征值矩阵,Y为目标值矩阵,直接求到最好的结果。 缺点:当特征过多复杂时,求解速度太慢并且得不到结果。

正规方程矩阵推导

梯度下降(Gradient Descent)

梯度下降法的基本思想可以类比为一个下山的过程,一个人被困在山上,需要从山上下来(比如,找到山的最底点,也就是山谷),但此时山上的浓雾很大,导致可视度很低。因此,下山的路径无法确定,它必须利用自己周围的信息去找到下山的路径,这个时候,他就可以利用梯度下降算法来帮助自己下山。

具体来说,以它当前所处的位置为基准,寻找这个位置最陡峭的地方,然后朝着山的高度下降的地方走。同理,如果我们的目标是上山,也就是爬山山顶,那么此时应该是朝着最陡峭的方向往上走,然后每走一段距离,都反复采用同一个方法,最后就能成功的抵达山谷。

下山过程示意 梯度下降的基本过程就和下山的场景很类似。梯度是微积分中的一个很重要的概念: ● 在单变量的函数中,梯度其实就是函数的微分,代表着函数在某个定点的切线的斜率 ● 再多变量函数中,梯度是一个向量,向量有方向,梯度的方向就指定了函数在给定点的上升最快的方向 ● 在微积分里面,对多元函数的参数求∂偏导数,把求得的各个参数的偏导数以向量的形式写出来,就是梯度。

梯度概念图 α 的含义:α在梯度下降算法中被称作为学习率或者步长,意味着我们可以通过α来控制每一步走的距离,以保证不要步长跨的太大扯着蛋。其实就是不要走太快,错过了最低点。同时也要保证不要走的太慢,导致太阳下山了,还没有走到山下。所以α的选择在梯度下降中往往是很重要的!α不能太大也不能太小,太小的话,可能导致迟迟走不到最低点,太大的话,会导致错过最低点。

学习率示意

为什么梯度要乘以一个负号

梯度前加一个负号,就意味着朝着梯度相反的方向前进!我们在前文中提过,梯度的方向实际就是函数在此点上升最快的方向,自然就是负的梯度的方向,所以此处需要加上负号。 我们通过两个图更好理解梯度下降的过程。

梯度下降迭代 优化动态图演示 梯度下降动态演示

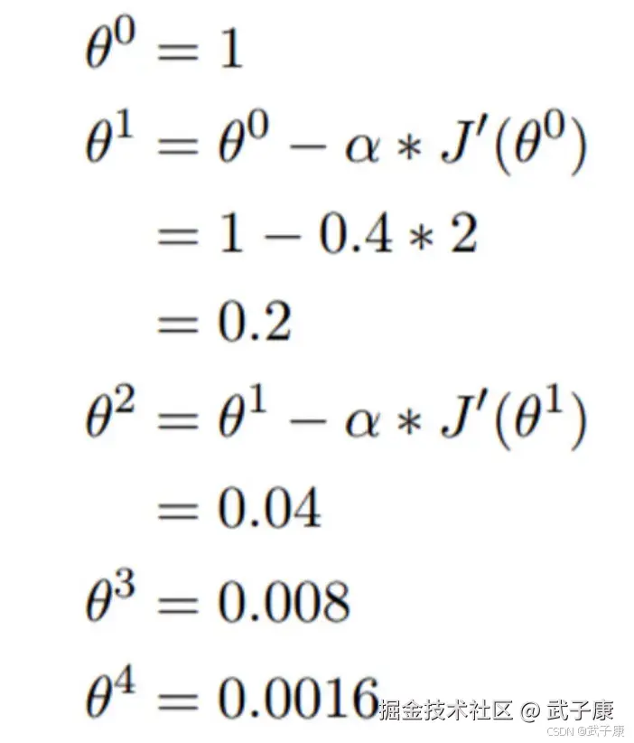
单变量函数的梯度下降:

  • 我们假设有一个单变量的函数 J(θ) = θ2
  • 初始化,起点为 θ0 = 1
  • 学习率 α = 0.4

我们开始进行梯度下降的迭代计算过程: 单变量梯度下降计算

如果,经过四次的运算,也就是走了四步,基本就抵达了函数的最低点,也就是山底。 单变量梯度下降结果

多变量函数的梯度下降

我们假设有一个目标函数:J(θ) = θ12 + θ22

  • 现在要通过梯度下降法计算这个函数的最小值,我们通过观察就能发现最小值其实就是(0,0)点。但是接下来,我们会从梯度下降算法开始一步步计算到这个最小值!我们假设初始的起点为:θ0 = (1, 3)。
  • 初始的学习率为 α = 0.1
  • 函数的梯度为:J(θ) =< 2θ1 ,2θ2>

进行多次迭代: 多变量梯度下降迭代

我们发现,已经基本靠近函数的最小值点: 多变量梯度下降结果 梯度下降和正规方程的对比 两种方法对比


错误速查卡

症状根因定位修复
梯度下降迟迟无法收敛学习率 α 设置过小观察损失函数曲线下降速度适当增大学习率
梯度下降越过最低点来回震荡学习率 α 设置过大观察损失函数曲线发散模式减小学习率或使用衰减学习率
正规方程求解耗时过长特征矩阵维度太高(n过大)观察特征数量与样本量比值改用梯度下降法
正规方程无解或数值不稳定XTX 矩阵奇异或接近奇异检查特征是否存在多重共线性添加正则项或删除冗余特征
预测结果为 NaN特征值未标准化/学习率过大检查输入数据范围先标准化数据,减小学习率
过拟合(训练集好测试集差)模型过于复杂/特征过多对比训练集与测试集误差增加正则化或减少特征