大数据-207 如何应对多重共线性:使用线性回归中的最小二乘法时常见问题与解决方案

179 阅读10分钟

TL;DR

在使用最小二乘法求解线性回归时,多重共线性会影响模型稳定性,导致系数估计不可靠。解决方法包括使用正则化技术(如岭回归、Lasso回归)。通过引入正则化项,可以有效避免矩阵不可逆问题,稳定回归结果。

大数据-207 如何应对多重共线性:使用线性回归中的最小二乘法时常见问题与解决方案

版本矩阵

功能scikit-learn 版本说明
线性回归0.24+支持标准的线性回归模型训练与评估
多重共线性处理0.24+通过岭回归、Lasso回归等方法解决共线性问题
MSE计算0.24+使用 mean_squared_error 计算模型误差
R²计算0.24+使用 r2_score 评估模型拟合度

代码实现

使用 scikit-learn 算法库实现线性回归算法,并计算相应评价指标。回顾前文介绍的相关知识进行下述计算。

from sklearn.linear_model import LinearRegression
reg = LinearRegression()
reg.fit(data.iloc[:,:-1].values,data.iloc[:,-1].values)
reg.coef_ # 查看方程系数
reg.intercept_ # 查看系数

对比手动计算的 ws,其结果高度一致。 然后计算模型 MSE 和判别系数:

from sklearn.metrics import mean_squared_error,r2_score
yhat = reg.predict(data.iloc[:,:-1])
mean_squared_error(y,yhat)
r2_score(y,yhat)

多重共线性

虽然在线性回归求解过程中,通过借助最小二乘法能够迅速找到全域最优解,但最小二乘法本身的使用条件较为苛刻。这种方法要求设计矩阵X必须满足严格的条件才能保证解的稳定性和唯一性。

具体来说,最小二乘法的应用必须满足以下关键条件:

  1. 矩阵X^TX必须是满秩矩阵(即行列式不为零)
  2. 矩阵X^TX必须可逆或存在广义逆矩阵

在实际应用中,经常会遇到以下导致最小二乘法失效的情况:

  • 当样本量n小于特征数p时(n<p),矩阵X^TX必然是奇异矩阵
  • 当X的各列存在严格或近似的线性相关关系时(即多重共线性问题)
  • 当数据中存在高度相关的特征变量时

特别是当遇到多重共线性问题时,最小二乘法的求解会面临以下挑战:

  1. 参数估计值变得极不稳定,小的数据扰动可能导致估计值发生巨大变化
  2. 参数估计的方差会异常增大
  3. 解可能不唯一,存在无穷多解的情况

例如,在经济学数据分析中,当使用GDP、居民收入和消费支出等多个高度相关的指标作为预测变量时,就很容易出现上述问题。此时传统的OLS(普通最小二乘)估计将无法给出可靠的结果。

针对这些问题,统计学家们发展出了多种改进方法,包括:

  • 岭回归(Ridge Regression)
  • Lasso回归
  • 主成分回归(PCR)
  • 偏最小二乘回归(PLSR)

这些方法通过引入正则化项或降维技术,可以有效处理矩阵不可逆和多重共线性问题,从而获得更稳定可靠的回归结果。

这里需要注意是,在进行数据采集的过程中,数据集各列是对同一个客观事物进行客观描述,很难避免多重共线性的存在,因此存在共线性是很多数据集的一般情况。当然更为极端的情况则是数据集的列比行多,此时最小二乘法无法对其进行求解。因此,寻找性回归算法的优化方案势在必行。 首先我们来了解多重共性,在第二节中我们曾推导了多元线性回归使用最小二乘法的求解原理,我们对多元线性回归的损失函数求导,并得出求解系数 w 得式子和过程:

多重共线性 在最后一步中我们需要左乘 XTX 的逆矩阵,而矩阵存在得充分必要条件是特征不存在多重共线性。

矩阵存在的充分必要条件

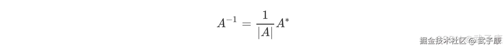
首先,我们需要先理解逆矩阵存在与否的意义和影响,一个矩阵什么情况下会有逆矩阵? 根据逆矩阵的定理,若 |A| != 0,则矩阵A 可逆,且:

矩阵存在的充分必要条件

其中 A* 是矩阵 A 的伴随矩阵,任何矩阵都可以有伴随矩阵,因此这一部分不影响逆矩阵的存在性,而分母上行列式|A|就不同了,位于分母变量不能为 0,一旦为 0 则无法计算出逆矩阵。因此逆矩阵存在的充分必要条件是:矩阵的行列式不能为 0,对于线性回归而言,即是说|XTX|不能为 0,这是使用最小二乘法求解线性回归的核心条件之一。

行列式不为 0 的充分必要条件

那行列式不为 0,需要满足什么条件?在这里,我们复习一下线性代数中的基本知识,假设我们的特征矩阵 X结构为(m,n),则 XTX 就是结构为(n,m)的矩阵,从而得到结果为(n,n)的矩阵。

因此以下所有的例子都将以方矩阵进行举例,方便大家理解,首先区别一下矩阵和行列式: 行列式不为 0 的充分必要条件

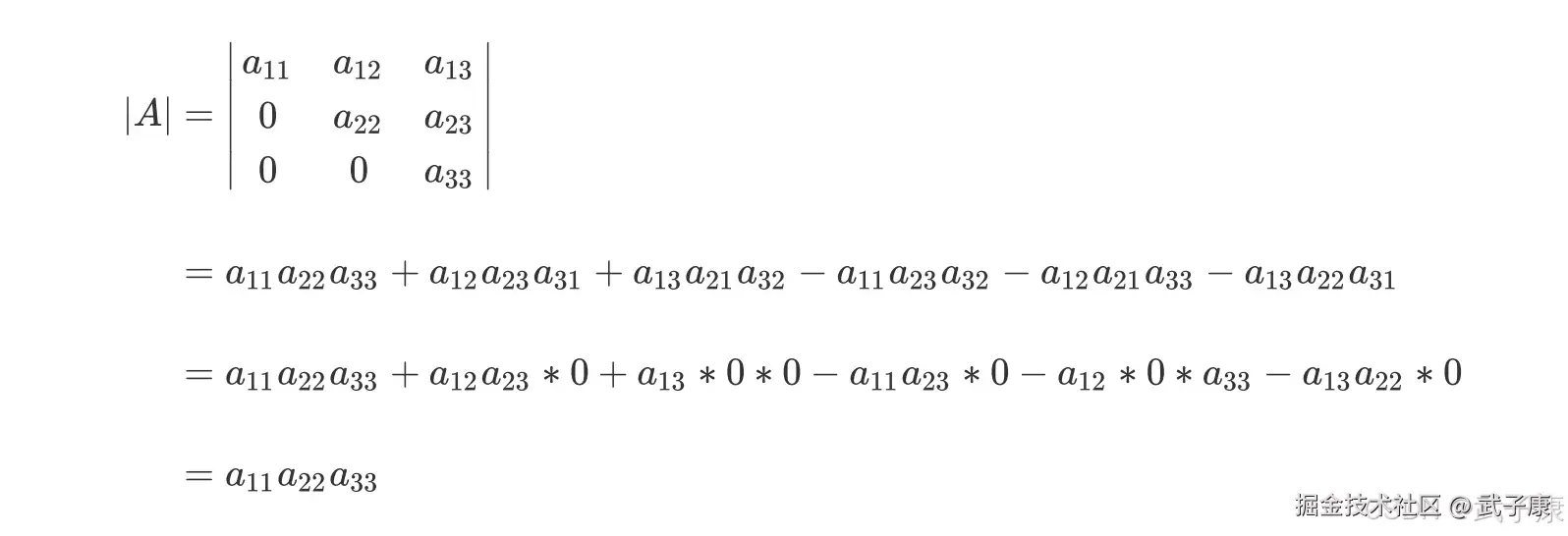
任何矩阵都可以有行列式,以一个 3*3 的行列式为例,我们来看看行列式如何计算的? 行列式不为 0 的充分必要条件 这个式子乍一看非常混乱,其实并非如此,我们把行列式按照下面的方式排列一下,很容易就看出这个式子实际上怎么回事了: 行列式不为 0 的充分必要条件 三个特征的特征矩阵的行列式就有六个交互项,在现实中我们特征矩阵不可能是如此低维度数据,因此使用这样的方式计算就变得异常困难。在线性代数中,我们可以通过行列式的计算将一个行列式整合成一个梯形的行列式: 行列式不为 0 的充分必要条件 梯形的行列式表现为,所有的数字都被整合到对角线的上方或下方(通常是上方),虽然具体的数字发生了变化(比如由 x11 变成了 a11),但是行列式的大小在初等行变换的过程中是不变的,对于梯形行列式,行列式的计算要容易的多: 行列式不为 0 的充分必要条件 不难发现,由于梯形行列式下半部分为 0,整个矩阵的行列式其实就是梯形行列式对角线上的元素相乘。并且此时时刻,只要对角线上的任意元素为 0,整个行列式都会为 0,那只要对角线上没有一个元素为 0,行列式就不会为 0。在这里我们映入一个重要的概念:满秩矩阵。

矩阵满秩的充分必要条件

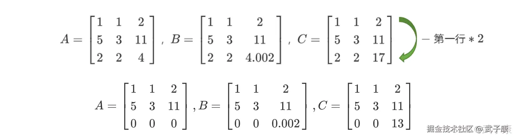
一个矩阵要满秩,则转换为梯形矩阵后的对角线上没有 0,那什么样的矩阵在对角线上没有 0?来看下面的三个矩阵: 矩阵满秩的充分必要条件 我们可以对矩阵做初等行变换和列变换,包括交换行/列顺序,将一列/一行乘以用一个常数后加减到另一个一列/一行上,来将矩阵化为梯形矩阵,对于上面的两个矩阵我们可以有如下变换: 矩阵满秩的充分必要条件 继续进行变换: 矩阵满秩的充分必要条件 如此就转换成了梯形矩阵,我们可以看到,矩阵 A 明显不是满秩的,它有全零行所以行列式会为 0,而矩阵 B 和 C 没有全零行所以满秩。 而矩阵 A 和矩阵 B 的区别在于,A 中存在完全具有线性关系的两行(1,1,2 和 2,2,4),而 B 和 C 中则没有这样的两行。 而矩阵 B 虽然对角线上每个元素都不为 0,但具有非常接近于 0 的元素 0.02,而矩阵 C 的对角线上没有任何元素特别接近于 0。

矩阵 A 中第一行和第三行的关系,被称为:精确相关关系,即完全相关,一行可使另一行为 0,在这种精确相关关系下,矩阵 A 的行列式为 0,则矩阵 A 的逆不可能存在。在我们的最小二乘法中,如果矩阵 XTX 中存在这种精确相关关系,则逆不存在,最小二乘法完全无法使用,线性回归会无法求出结果。

矩阵 A 矩阵 B 中第一行和第三行的关系不太一样,他们之间非常接近于精确相关关系,但又不是完全相关,一行不能使领一行为 0,这种关系被称为 高度相关关系。这种高度相关关系下,矩阵的行列式不为 0,但是一个非常接近 0 数,矩阵 A 的逆存在,不过接近于无限大。在这种情况下,最小二乘法可以使用,不过得到的逆会很大,直接影响我们对参数向量 w 的求解:

矩阵 B 这样求解出来的参数向量 w 会很大,因此会影响建模的结果,造成模型有偏差或者不可用。精确相关关系和高度相关关系并称为多重共线性。在多重共线性下,模型无法建立,或者模型不可用。 相对的,矩阵 C 的行之间结果相互独立,梯形矩阵看起来非常正常,它的对角线上没有任何元素特别接近于 0,因此其行列式也就不会接近0 或者为 0,因此矩阵 C 得出的参数向量 w 就不会有太大的偏差,对于我们拟合而言是比较理想的。

参数向量 从上面的所有过程我们可以看得出来,一个矩阵如果要满秩,则要求矩阵中每个向量之间不能存在多重共线性,这也构成了线性回归算法对于特征矩阵的要求。

参数向量

错误速查

症状根因定位修复
模型参数估计不稳定数据中存在多重共线性,导致设计矩阵 X^T X 不可逆检查特征变量之间是否存在线性相关关系使用岭回归、Lasso回归等正则化方法来稳定解
模型方差过大矩阵 X^T X 近似奇异或共线性问题查看矩阵的行列式,确认是否接近零引入正则化项,如岭回归,来减少参数方差
预测结果误差较大多重共线性导致解的不唯一性确认特征变量是否高度相关,尤其是输入数据集使用主成分回归(PCR)或偏最小二乘回归(PLSR)
解不唯一矩阵 X^T X 为奇异矩阵,无法求逆检查输入数据集的特征数是否大于样本数(n<p)减少特征数,或使用正则化方法来规避该问题

其他系列

🚀 AI篇持续更新中(长期更新)

AI炼丹日志-29 - 字节跳动 DeerFlow 深度研究框斜体样式架 私有部署 测试上手 架构研究,持续打造实用AI工具指南! AI研究-132 Java 生态前沿 2025:Spring、Quarkus、GraalVM、CRaC 与云原生落地

💻 Java篇持续更新中(长期更新)

Java-218 RocketMQ Java API 实战:同步/异步 Producer 与 Pull/Push Consumer MyBatis 已完结,Spring 已完结,Nginx已完结,Tomcat已完结,分布式服务已完结,Dubbo已完结,MySQL已完结,MongoDB已完结,Neo4j已完结,FastDFS 已完结,OSS已完结,GuavaCache已完结,EVCache已完结,RabbitMQ已完结,RocketMQ正在更新... 深入浅出助你打牢基础!

📊 大数据板块已完成多项干货更新(300篇):

包括 Hadoop、Hive、Kafka、Flink、ClickHouse、Elasticsearch 等二十余项核心组件,覆盖离线+实时数仓全栈! 大数据-278 Spark MLib - 基础介绍 机器学习算法 梯度提升树 GBDT案例 详解