精通-Pandas-四-

125 阅读1小时+

精通 Pandas(四)

原文:Mastering Pandas

协议:CC BY-NC-SA 4.0

八、贝叶斯统计简介

在本章中,我们将简要介绍称为贝叶斯统计的另一种统计推断方法。 它不打算作为完整的入门手册,而只是对贝叶斯方法的介绍。 我们还将探讨相关的 Python 相关库,如何使用 Pandas 以及matplotlib来帮助进行数据分析。 将讨论的各种主题如下:

  • 贝叶斯统计概论
  • 贝叶斯统计的数学框架
  • 概率分布
  • 贝叶斯统计与频率统计
  • PyMC 和蒙特卡洛仿真简介
  • 贝叶斯推理的示例 – 切换点检测

贝叶斯统计概论

贝叶斯统计领域建立在 18 世纪统计学家,哲学家和长老会牧师托马斯·贝叶斯牧师的工作基础上。 他著名的贝叶斯定理(构成贝叶斯统计的理论基础)于 1763 年死后出版,以解决逆概率问题。 有关此主题的更多详细信息,请参考这里

逆概率问题在 18 世纪初期风行一时,通常表述如下:

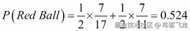
假设您和朋友一起玩游戏。 袋子 1 中有 10 个绿色球和 7 个红色球,袋子 2 中有 4 个绿色和 7 个红色球。您的朋友背离您的视线,扔硬币并从其中一个袋子中随机捡起一个球,并显示给您。 球是红色的。 球从袋子 1 中抽出的概率是多少?

这些问题被称为逆概率问题,因为我们试图根据随后的事件(球是红色)来估计已经发生的事件(球从哪个袋子抽出)的概率。

Introduction to Bayesian statistics

贝叶斯球图

让我们快速说明一下如何解决前面说明的逆概率问题。 考虑到球是红色的,我们希望计算从袋子 1 中抽出球的概率。 这可以表示为 Introduction to Bayesian statistics

让我们从计算选择红球的概率开始。 如上图所示,可以通过遵循红色的两条路径来计算。 因此,我们有 Introduction to Bayesian statistics

现在,从袋子 1 中选择红色球的概率仅是通过上方路径,并给出如下:

Introduction to Bayesian statistics

并且,从袋 2 中选择红色球的概率如下所示:

Introduction to Bayesian statistics

注意,该概率可以写成如下形式:

Introduction to Bayesian statistics

通过检查我们可以看到 Introduction to Bayesian statistics 和树的最后一个分支只有在球首先位于袋 1 中并且是红色球时才被遍历。 因此,从直观上讲,我们将得到以下结果:

Introduction to Bayesian statistics

贝叶斯统计的数学框架

利用贝叶斯方法,我们提出了进行统计推断的另一种方法。 我们首先介绍贝叶斯定理,这是从其得出所有贝叶斯推断的基本方程式。

关于概率的几个定义是有序的:

  • Mathematical framework for Bayesian statistics:这些事件可能以一定概率发生。
  • Mathematical framework for Bayesian statisticsMathematical framework for Bayesian statistics:这是发生特定事件的概率。
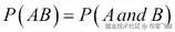
  • Mathematical framework for Bayesian statistics:鉴于 B 发生,这是 A 发生的概率。 这称为条件概率。
  • Mathematical framework for Bayesian statistics:这是 A 和 B 一起出现的概率。

我们从基本假设开始,如下所示:

Mathematical framework for Bayesian statistics

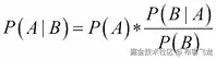
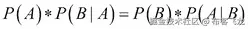
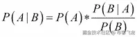
前面的方程将联合概率P(AB)与条件概率P(A | B)和边际概率P(B)关联起来。 如果重写方程式,则条件概率表达式如下:

Mathematical framework for Bayesian statistics

这在某种程度上很直观-给定 B 的概率是通过将 A 和 B 都出现的概率除以 B 发生的概率而获得的。 这个想法是给定的,所以我们除以它的概率。 可以在这个链接中找到对此方程式的更严格的处理,标题为概率:联合概率,边际概率和条件概率

类似地,通过对称我们有 Mathematical framework for Bayesian statistics。 因此,我们有 Mathematical framework for Bayesian statistics。 通过在两侧将表达式除以 Mathematical framework for Bayesian statistics 并假设P(B) != 0,我们得到:

Mathematical framework for Bayesian statistics

前面的等式称为贝叶斯定理,这是所有贝叶斯统计推断的基础。 为了将贝叶斯定理与推论统计联系起来,我们将等式重铸为所谓的历时解释,如下所示:

Mathematical framework for Bayesian statistics

其中,Mathematical framework for Bayesian statistics 代表一个假设。

Mathematical framework for Bayesian statistics 代表已经发生的事件,我们将其用于统计研究中,也称为数据

然后,Mathematical framework for Bayesian statistics 是我们的假设在观察数据之前的概率。 这称为先验概率。 贝叶斯统计学家经常认为使用先验概率是一种优势,因为先验知识或先前的结果可以用作当前模型的输入,从而提高了准确性。 有关此的更多信息,请参考这里

Mathematical framework for Bayesian statistics 是获得与假设无关的观测数据的概率。 这称为归一化常数。 并非总是需要计算归一化常数,尤其是在许多流行的算法(例如 MCMC)中,我们将在本章后面进行讨论。

给定我们观察到的数据,Mathematical framework for Bayesian statistics 是假设成立的概率。 这称为后验。

考虑到我们的假设,Mathematical framework for Bayesian statistics 是获得数据的概率。 这称为可能性。

因此,贝叶斯统计等于应用贝叶斯规则来解决推论统计中的问题,其中 H 代表我们的假设,D 代表数据。

贝叶斯统计模型是根据参数进行转换的,这些参数的不确定性由概率分布表示。 这与将值视为确定性的频率论方法不同。 替代表示如下:

Mathematical framework for Bayesian statistics

其中 Mathematical framework for Bayesian statistics 是我们的未知数据,Mathematical framework for Bayesian statistics 是我们的观测数据

在贝叶斯统计中,我们对先验数据进行假设,并使用贝叶斯规则使用可能性来更新后验概率。 作为说明,让我们考虑以下问题。 这是通常称为问题的经典案例:

  • 两个包含彩球
  • 一个包含 50 个红色和 50 个蓝色球
  • n 个包含 30 个红色和 70 个蓝色球
  • 随机选择两个中的一个(概率为 50%),然后从两个中的一个随机抽出一个球

如果画了一个红色的球,那么它来自的概率是多少? 我们想要 Mathematical framework for Bayesian statisticsMathematical framework for Bayesian statistics

在这里,Mathematical framework for Bayesian statistics 表示从 Ur 中抽出球,Mathematical framework for Bayesian statistics 表示被抽出的球是红色:

Mathematical framework for Bayesian statistics

我们知道 Mathematical framework for Bayesian statisticsMathematical framework for Bayesian statisticsMathematical framework for Bayesian statisticsMathematical framework for Bayesian statistics

因此,我们得出结论 Mathematical framework for Bayesian statistics

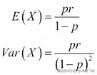
贝叶斯理论与赔率

贝叶斯定理有时可以通过使用称为赔率的概率的替代表示形式,以更自然,更方便的形式表示。 赔率通常用比率表示,并且经常使用。 一匹马在比赛中获胜的赔率为 3 比 1(通常为 3:1),这表示该马有望以 75% 的概率获胜。

给定概率 p,可以将几率计算为几率= Bayes theory and odds,在 p = 0.75 的情况下,该几率变为 0.75:0.25,即 3:1。

我们可以通过使用赔率来重写贝叶斯定理的形式:

Bayes theory and odds

贝叶斯统计的应用

贝叶斯统计可以应用于经典统计中遇到的许多问题,例如:

  • 参数估计
  • 预测
  • 假设检验
  • 线性回归

研究贝叶斯统计数据有许多令人信服的理由。 其中一些是利用先验信息更好地告知当前模型。 贝叶斯方法适用于概率分布而不是点估计,因此产生了更现实的预测。 贝叶斯推断是基于可用数据的假设 -- P(假设|数据)。 惯常方法试图根据假设拟合数据。 可以说,贝叶斯方法是更逻辑和经验的方法,因为它试图将信念建立在事实之上,而不是反过来。 有关此的更多信息,请参考这里

概率分布

在本节中,我们将简要检查各种概率分布的属性。 这些分布中有许多用于贝叶斯分析。 因此,需要简要的提要。 我们还将说明如何使用matplotlib生成和显示这些分布。 为了避免在每个部分的每个代码段重复导入语句,我将介绍以下标准的 Python 代码导入集,这些代码需要在以下命令中提到的任何代码段之前运行。 您只需在每个会话中运行一次这些导入。 导入如下:

In [1]: import pandas as pd
 import numpy as np
 from matplotlib import pyplot as plt
 from matplotlib import colors
 import matplotlib.pyplot as plt
 import matplotlib
 %matplotlib inline

拟合分布

贝叶斯分析中必须采取的步骤之一是使我们的数据适合概率分布。 选择正确的分发可能有点技巧,并且通常需要统计知识和经验,但是我们可以遵循一些准则来帮助我们。 这些如下:

  • 确定数据是离散数据还是连续数据
  • 检查数据的偏斜度/对称性,如果偏斜,请确定方向
  • 确定下限和上限(如果有)
  • 确定观察分布中极值的可能性

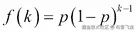
统计试验是具有一组明确定义的结果(称为样本空间)的可重复实验。 伯努利试验是“是/否”实验,如果是,则将随机 X 变量的值分配为 1,如果否,则将其分配为 0。抛硬币并查看其是否朝正面方向的事件是伯努利审判的例子。

有两类概率分布:离散分布和连续分布。 在以下各节中,我们将讨论这两类分布之间的差异,并浏览主要分布。

离散概率分布

在这种情况下,变量只能采用某些不同的值,例如整数。 离散随机变量的一个例子是当我们掷硬币 5 次时获得的正面数。 可能的值为{0,1,2,3,4,5}。 例如,我们无法获得 3.82 个平面。 随机变量可以采用的值的范围由概率质量函数pmf)指定。

离散均匀分布

离散均匀分布是一种对事件进行建模的分布,该事件具有一组有限的可能结果,其中每个结果均可能被观察到。 对于 Discrete uniform distributions 结果,每个结果都有 Discrete uniform distributions 发生的可能性。

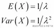
这方面的一个例子就是投掷均匀的色子。 六个结果中任何一个的概率为 Discrete uniform distributions。 PMF 由 Discrete uniform distributions 给出,期望值和方差分别由 Discrete uniform distributionsDiscrete uniform distributions 给出。

In [13]: from matplotlib import pyplot as plt
 import matplotlib.pyplot as plt
 X=range(0,11)
 Y=[1/6.0 if x in range(1,7) else 0.0 for x in X]
 plt.plot(X,Y,'go-', linewidth=0, drawstyle='steps-pre', 
 label="p(x)=1/6")
 plt.legend(loc="upper left")
 plt.vlines(range(1,7),0,max(Y), linestyle='-')
 plt.xlabel('x')
 plt.ylabel('p(x)')
 plt.ylim(0,0.5)
 plt.xlim(0,10)
 plt.title('Discrete uniform probability distribution with 
 p=1/6')
 plt.show()

Discrete uniform distributions

离散均匀分布

伯努利分布

伯努利分布用于衡量试验成功的可能性; 例如,硬币抛起头或尾的概率。 这可以用一个随机的 X 变量来表示,如果硬币正面朝上,则取值为 1,反之则为 0。 出现头部或尾部的概率分别由pq = 1-p表示。

可以通过以下 pmf 表示:

The Bernoulli distribution

期望值和方差由以下公式给出:

The Bernoulli distribution

此信息的参考位于这里

现在,我们使用matplotlibscipy.stats绘制伯努利分布,如下所示:

In [20]:import matplotlib
 from scipy.stats import bernoulli
 a = np.arange(2)

 colors = matplotlib.rcParams['axes.color_cycle']
 plt.figure(figsize=(12,8))
 for i, p in enumerate([0.0, 0.2, 0.5, 0.75, 1.0]):
 ax = plt.subplot(1, 5, i+1)
 plt.bar(a, bernoulli.pmf(a, p), label=p, color=colors[i], alpha=0.5)
 ax.xaxis.set_ticks(a)

 plt.legend(loc=0)
 if i == 0:
 plt.ylabel("PDF at $k$")

 plt.suptitle("Bernoulli probability for various values of $p$")
Out[20]:

The Bernoulli distribution

二项分布

二项分布用于表示 n 个独立伯努利试验即 The binomial distribution 中的成功次数。

以掷硬币为例,此分布模拟了 The binomial distribution 试验获得 X 正面攻击的机会。 对于 100 次抛掷,二项分布模拟了 0 头(极不可能)至 50 头(最高可能性)至 100 头(也极不可能)的可能性。 当赔率完全均匀时,这最终使二项分布对称,而当赔率远不那么均匀时,则使二项分布偏斜。 pmf 由以下表达式给出:

The binomial distribution

期望和方差分别由以下表达式给出:

The binomial distribution

In [5]: from scipy.stats import binom
 clrs = ['blue','green','red','cyan','magenta']     plt.figure(figsize=(12,6))
 k = np.arange(0, 22)
 for p, color in zip([0.001, 0.1, 0.3, 0.6, 0.999], clrs):
 rv = binom(20, p)
 plt.plot(k, rv.pmf(k), lw=2, color=color, label="$p$=" + str(round(p,1)))

 plt.legend()
 plt.title("Binomial distribution PMF")
 plt.tight_layout()
 plt.ylabel("PDF at $k$")
 plt.xlabel("$k$")
Out[5]:

The binomial distribution

二项分布

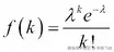
泊松分布

泊松分布对给定时间间隔内多个事件的概率进行建模,假设这些事件以已知的平均速率发生,并且连续事件的发生与自上一个事件以来的时间无关。

可以由泊松分布模型化的过程的一个具体示例是,如果一个人平均每天收到 23 封电子邮件。 如果我们假设电子邮件的到达时间是相互独立的,则个人每天收到的电子邮件总数可以通过泊松分布来建模。

另一个示例可能是每小时在特定车站停靠的火车数量。 泊松分布的 pmf 由以下表达式给出:

The Poisson distribution

其中 The Poisson distribution 是速率参数,代表每单位时间发生的预期事件/到达次数,The Poisson distribution 是随机变量,代表事件/到达次数。

期望值和方差分别由以下公式给出:

The Poisson distribution

The Poisson distribution

有关更多信息,请参考这里

使用matplotlib将 pmf 绘制为各种值,如下所示:

In [11]: %matplotlib inline
 import numpy as np
 import matplotlib
 import matplotlib.pyplot as plt
 from scipy.stats import poisson
 colors = matplotlib.rcParams['axes.color_cycle']
 k=np.arange(15)
 plt.figure(figsize=(12,8))
 for i, lambda_ in enumerate([1,2,4,6]):
 plt.plot(k, poisson.pmf(k, lambda_), '-o', 
 label="$\lambda$=" + str(lambda_), color=colors[i])
 plt.legend()
 plt.title("Possion distribution PMF for various $\lambda$")
 plt.ylabel("PMF at $k$")
 plt.xlabel("$k$")
 plt.show()
Out[11]:

The Poisson distribution

鱼类分布

几何分布

对于独立的伯努利试验,几何分布测量获得成功所需的试验次数 X。 它还可以表示首次成功之前的失败次数 The Geometric distribution

pmf 由以下表达式给出:

The Geometric distribution

The Geometric distribution 以来,上述表达式是有意义的,并且如果需要 k 次尝试才能获得一个成功(p),则意味着我们必须有等于 The Geometric distributionThe Geometric distribution 失败。

期望值和方差如下:

The Geometric distribution

以下命令清楚地解释了前面的公式:

In [12]: from scipy.stats import geom
 p_vals=[0.01,0.2,0.5,0.8,0.9]
 x = np.arange(geom.ppf(0.01,p),geom.ppf(0.99,p))
 colors = matplotlib.rcParams['axes.color_cycle']
 for p,color in zip(p_vals,colors):
 x = np.arange(geom.ppf(0.01,p),geom.ppf(0.99,p))
 plt.plot(x,geom.pmf(x,p),'-o',ms=8,label='$p$=' + str(p))
 plt.legend(loc='best')
 plt.ylim(-0.5,1.5)
 plt.xlim(0,7.5)
 plt.ylabel("Pmf at $k$")
 plt.xlabel("$k$")
 plt.title("Geometric distribution PMF")
Out[12]:

The Geometric distribution

几何分布

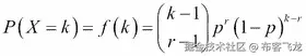
负二项分布

同样对于独立的伯努利试验,负二项分布测量在指定的成功次数 r 发生之前的尝试次数 The negative binomial distribution。 一个例子是要获得 5 个硬币的掷硬币次数。 pmf 给出如下:

The negative binomial distribution

期望和方差分别由以下表达式给出:

The negative binomial distribution

我们可以看到负二项是几何分布的概括,几何分布是负二项的特殊情况,其中 The negative binomial distribution

代码和图解如下所示:

In [189]: from scipy.stats import nbinom
 from matplotlib import colors
 clrs = matplotlib.rcParams['axes.color_cycle']
 x = np.arange(0,11)
 n_vals = [0.1,1,3,6]
 p=0.5
 for n, clr in zip(n_vals, clrs):
 rv = nbinom(n,p)
 plt.plot(x,rv.pmf(x), label="$n$=" + str(n), color=clr)
 plt.legend()
 plt.title("Negative Binomial Distribution PMF")
 plt.ylabel("PMF at $x$")
 plt.xlabel("$x$")

The negative binomial distribution

连续概率分布

在连续概率分布中,变量可以采用任何实数。 与离散概率分布一样,它不限于一组有限的值。 例如,一个健康的新生婴儿的平均体重大约在 6-9 磅之间。 例如,其重量可以是 7.3 磅。 连续概率分布的特征在于概率密度函数PDF)。

随机变量可以假定的所有概率之和为 1。因此,概率密度函数图的面积为 1。

连续均匀分布

均匀分布对随机变量 X 建模,该随机变量 X 可以以相等的概率采用 The continuous uniform distribution 范围内的任何值。

PDF 由 The continuous uniform distribution 给出,否则由 The continuous uniform distributionThe continuous uniform distribution 给出。

期望和方差由以下表达式给出:

The continuous uniform distribution

The continuous uniform distribution

在下面的代码和图中,生成了连续均匀的概率分布,并针对各种样本大小绘制了该图:

In [11]: np.random.seed(100)  # seed the random number generator
 # so plots are reproducible
 subplots = [111,211,311]
 ctr = 0 
 fig, ax = plt.subplots(len(subplots), figsize=(10,12))
 nsteps=10
 for i in range(0,3):
 cud = np.random.uniform(0,1,nsteps) # generate distrib
 count, bins, ignored = ax[ctr].hist(cud,15,normed=True)
 ax[ctr].plot(bins,np.ones_like(bins),linewidth=2, color='r')
 ax[ctr].set_title('sample size=%s' % nsteps)
 ctr += 1
 nsteps *= 100
 fig.subplots_adjust(hspace=0.4)
 plt.suptitle("Continuous Uniform probability distributions for various sample sizes" , fontsize=14)

The continuous uniform distribution

指数分布

指数分布模拟了泊松过程中两个事件之间的等待时间。 泊松过程是遵循泊松分布的过程,在该过程中,事件以已知的平均速率不可预测地发生。 指数分布可以描述为几何分布的连续极限,并且也是马尔科夫的(无记忆)。

无记忆的随机变量表现出这样的特性,即其未来状态仅取决于有关当前时间的相关信息,而不取决于过去的信息。 建模马尔科夫/无记忆随机变量的示例是对短期股票价格行为及其遵循随机游走的思想进行建模。 这导致了所谓的金融有效市场假说。 有关更多信息,请参见这里

指数分布的 PDF 由 The exponential distribution = The exponential distribution 给出。 期望和方差由以下表达式给出:

The exponential distribution

有关参考,请参考这个链接

分布图和代码如下:

In [15]: import scipy.stats
 clrs = colors.cnames
 x = np.linspace(0,4, 100)
 expo = scipy.stats.expon
 lambda_ = [0.5, 1, 2, 5]
 plt.figure(figsize=(12,4))
 for l,c in zip(lambda_,clrs):
 plt.plot(x, expo.pdf(x, scale=1./l), lw=2,
 color=c, label = "$\lambda = %.1f$"%l)
 plt.legend()
 plt.ylabel("PDF at $x$")
 plt.xlabel("$x$")
 plt.title("Pdf of an Exponential random variable for various $\lambda$");

The exponential distribution

正态分布

统计中最重要的分布可以说是正态/高斯分布。 它对中心值周围的概率分布进行建模,而没有左右偏倚。 遵循正态分布的现象有很多示例,例如:

  • 婴儿的出生体重
  • 测量误差
  • 血压
  • 考试分数

正态分布的重要性由中心极限定理强调,该极限定理指出,独立于同一分布而绘制的许多随机变量的均值近似正态,而与原始分布的形式无关。 其期望值和方差如下:

The normal distribution

正态分布的 PDF 由以下表达式给出:

The normal distribution

以下代码和图解说明了公式:

In [54]: import matplotlib
 from scipy.stats import norm
 X = 2.5
 dx = 0.1
 R = np.arange(-X,X+dx,dx)

 L = list()
 sdL = (0.5,1,2,3)
 for sd in sdL:
 f = norm.pdf
 L.append([f(x,loc=0,scale=sd) for x in R])

 colors = matplotlib.rcParams['axes.color_cycle']
 for sd,c,P in zip(sdL,colors,L):
 plt.plot(R,P,zorder=1,lw=1.5,color=c,
 label="$\sigma$=" + str(sd))
 plt.legend()
 ax = plt.axes()
 ax.set_xlim(-2.1,2.1)
 ax.set_ylim(0,1.0)
 plt.title("Normal distribution Pdf")
 plt.ylabel("PDF at $\mu$=0, $\sigma$")

The normal distribution

可以在这个位置找到有关绘制分布图的 Python 代码的参考。

正态分布也可以视为二项分布的连续极限,而其他分布则可以视为 The normal distribution。 我们可以在命令中看到二项分布,并绘制如下:

In [18]:from scipy.stats import binom
 from matplotlib import colors
 cols = colors.cnames
 n_values = [1, 5,10, 30, 100]

 subplots = [111+100*x for x in range(0,len(n_values))]
 ctr = 0 
 fig, ax = plt.subplots(len(subplots), figsize=(6,12))
 k = np.arange(0, 200)
 p=0.5

 for n, color in zip(n_values, cols):
 k=np.arange(0,n+1)
 rv = binom(n, p)
 ax[ctr].plot(k, rv.pmf(k), lw=2, color=color)
 ax[ctr].set_title("$n$=" + str(n))
 ctr += 1

 fig.subplots_adjust(hspace=0.5)
 plt.suptitle("Binomial distribution PMF (p=0.5) for various values of n", fontsize=14)

The normal distribution

随着 n 的增加,二项分布接近正态分布。 实际上,对于n >= 30,可以在前面的图中清楚地看到。

贝叶斯统计与频率统计

在当今的统计中,关于如何解释数据和进行统计推断有两种思路。 迄今为止,经典且占主导地位的方法是所谓的“惯常方法”(请参阅​​第 7 章,“统计学之旅 -– 经典方法”),本章中的贝叶斯方法。

概率是多少?

贝叶斯和频繁主义世界观之间的辩论的核心是问题—我们如何定义概率?

在频率论世界观中,概率是从重复事件的发生频率得出的概念。 例如,当我们定义抛掷均匀硬币时获胜的概率等于一半。 这是因为当我们反复抛掷一个均匀的硬币时,当抛硬币的数量足够大时,正面数除以抛硬币的总数将接近 0.5。

贝叶斯世界观是不同的,概率的概念是它与一个人对事件发生的信念程度有关。 因此,对于贝叶斯统计学家而言,认为均匀色子概率为 5 的可能性为 What is probability?,这与我们对该事件发生的可能性的信念有关。

如何定义模型

从模型定义的角度来看,常客通过使用重复的实验来分析数据和计算的度量标准如何变化,同时保持模型参数不变。 另一方面,贝叶斯算法利用固定的实验数据,但是改变了他们对模型参数的置信度,其解释如下:

  • 频率论:如果模型固定,则数据会有所不同
  • 贝叶斯:如果数据固定,则模型会有所不同

惯常方法使用所谓的最大似然方法来估计模型参数。 它涉及从一组独立且分布均匀的观测值生成数据,并将观测到的数据拟合到模型中。 最适合该数据的模型参数的值是最大似然估计器MLE),有时可能是所观察数据的函数。

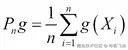
贝叶斯主义对这个问题的看法不同于概率框架。 概率分布用于描述值的不确定性。 贝叶斯实践者使用观察到的数据估计概率。 为了计算这些概率,它们使用单​​个估计量,即贝叶斯公式。 与“惯常”方法一样,这产生的是分布而不是点估计。

置信(频率)与可信(贝叶斯)区间

让我们比较一下 95% 的置信区间的含义,贝叶斯(Bayesian)练习者使用了 95% 可信区间的常用术语,可信区间为 95% 。

在频率论框架中,置信区间为 95% 意味着如果您无限次重复实验,并在过程中生成间隔,则其中 95% 的间隔将包含我们尝试估计的参数,通常称为 θ。 在这种情况下,时间间隔是随机变量,而不是参数估计值θ,该值在频率论世界观中是固定的。

在贝叶斯可信区间的情况下,我们的解释与归因于频繁置信区间的常规解释更加一致。 因此,我们有 Confidence (Frequentist) versus Credible (Bayesian) intervals。 在这种情况下,我们可以正确地得出结论:θ在此区间内的可能性为 95% 。

有关更多信息,请参阅频率论和贝叶斯主义:有什么大不了的?| SciPy 2014,Jake VanderPlas

进行贝叶斯统计分析

进行贝叶斯统计分析涉及以下步骤:

  1. 指定概率模型:在这一步中,我们使用概率分布充分描述模型。 根据我们采集的样本的分布,我们尝试为其拟合模型,并尝试将概率分配给未知参数。
  2. 计算后验分布:后验分布是我们根据观察到的数据计算出的分布。 在这种情况下,我们将直接应用贝叶斯公式。 将根据上一步中指定的概率模型来指定它。
  3. 检查我们的模型:这是我们进行推断之前检查模型及其输出的必要步骤。 贝叶斯推断方法使用概率分布将概率分配给可能的结果。

似然函数和 PyMC 的蒙特卡洛估计

贝叶斯统计不仅是另一种方法。 它是实践统计的完全替代范例。 给定我们收集的数据,它使用概率模型进行推断。 这可以用基本表达式表示为P(H | D)

在这里,H 是我们的假设,即我们要证明的事物,D 是我们的数据或观察值。

在前面的讨论中提醒我们,贝叶斯定理的历时形式如下:

Monte Carlo estimation of the likelihood function and PyMC

在这里,P(H)是无条件的先验概率,表示我们进行试验之前所知道的。 假设我们的假设是正确的,P(D | H)是我们的似然函数或获得我们观察到的数据的概率。

P(D)是数据的概率,也称为归一化常数。 这可以通过对 H 上的分子进行积分来获得。

似然函数是贝叶斯计算中最重要的部分,它封装了有关数据中未知数的所有信息。 它与逆概率质量函数有些相似。

反对采用贝叶斯方法的一个论点是,先验的计算可能是主观的。 有很多观点支持这种方法。 其中之一是,如先前所述,可以包括外部先验信息。

似然值表示未知积分,在简单情况下可以通过解析积分获得。

对于涉及高维积分的更复杂的用例,需要蒙特卡洛MC)积分,并且可以用于计算似然函数。

MC 集成可以通过多种采样方法来计算,例如统一采样,分层采样和重要性采样。 在蒙特卡洛积分中,我们可以将积分近似如下:

Monte Carlo estimation of the likelihood function and PyMC

我们可以通过以下有限和来近似积分:

Monte Carlo estimation of the likelihood function and PyMC

其中,x 是来自 g 的样本向量。 可以根据大量定律并通过确保模拟误差较小来获得这一估计的好证据。

在 Python 中进行贝叶斯分析时,我们需要一个模块,该模块使我们能够使用前面所述的蒙特卡洛方法来计算似然函数。 PyMC库满足了这一需求。 它提供了通常称为马尔可夫链蒙特卡洛MCMC)的蒙特卡洛方法。 我不会进一步研究 MCMC 的技术细节,但是有兴趣的读者可以在以下参考文献的PyMC中找到有关 MCMC 实现的更多信息:

MCMC 不是通用的灵丹妙药; 该方法存在一些缺点,其中之一是算法收敛缓慢。

贝叶斯分析示例 -– 切换点检测

在这里,我们将尝试使用贝叶斯推理并为一个有趣的数据集建模。 所涉及的数据集包含作者的 FacebookFB)过去的历史记录。 我们已经清理了 FB 历史数据并将日期保存在fb_post_dates.txt文件中。 文件中的数据如下所示:

head -2 ../fb_post_dates.txt 
Tuesday, September 30, 2014 | 2:43am EDT
Tuesday, September 30, 2014 | 2:22am EDT

因此,我们看到一个日期时间序列,代表作者在 FB 上发布的日期和时间。 首先,我们将文件读入数据帧,将时间戳分为“日期”和“时间”列:

In [91]: filePath="./data/fb_post_dates.txt"
 fbdata_df=pd.read_csv(filePath,  sep='|', parse_dates=[0], header=None,names=['Date','Time'])

接下来,我们检查数据如下:

In [92]: fbdata_df.head()  #inspect the data
Out[92]:   Date       Time
0  2014-09-30   2:43am EDT
1  2014-09-30   2:22am EDT
2  2014-09-30   2:06am EDT
3  2014-09-30   1:07am EDT
4  2014-09-28   9:16pm EDT

现在,我们按日期对数据编制索引,创建一个DatetimeIndex,以便可以对其进行重采样以按月进行计数,如下所示:

In [115]: fbdata_df_ind=fbdata_df.set_index('Date')
 fbdata_df_ind.head(5)
Out[115]:                      Time
 Date
 2014-09-30  2:43am EDT
 2014-09-30  2:22am EDT
 2014-09-30  2:06am EDT
 2014-09-30  1:07am EDT
 2014-09-28  9:16pm EDT

我们显示有关索引的信息,如下所示:

In [116]: fbdata_df_ind.index
Out[116]: <class 'pandas.tseries.index.DatetimeIndex'>
 [2014-09-30, ..., 2007-04-16]
 Length: 7713, Freq: None, Timezone: None

现在,我们使用重新采样按月获取帖子数:

In [99]: fb_mth_count_=fbdata_df_ind.resample('M', how='count')
 fb_mth_count_.rename(columns={'Time':'Count'},
 inplace=True)   # Rename 
 fb_mth_count_.head()
Out[99]:            Count
 Date
 2007-04-30  1
 2007-05-31  0
 2007-06-30  5
 2007-07-31  50
 2007-08-31  24 

日期格式显示为每月的最后一天。 现在,我们创建一个 2007-2015 年 FB 帖子计数的散点图,并使点的大小与matplotlib中的值成比例:

In [108]: %matplotlib inline
 import datetime as dt
#Obtain the count data from the DataFrame as a dictionary
 year_month_count=fb_bymth_count.to_dict()['Count'] 
 size=len(year_month_count.keys())
#get dates as list of strings
 xdates=[dt.datetime.strptime(str(yyyymm),'%Y%m') 
 for yyyymm in year_month_count.keys()] 
 counts=year_month_count.values()
 plt.scatter(xdates,counts,s=counts)
 plt.xlabel('Year')
 plt.ylabel('Number of Facebook posts')
 plt.show() 

Bayesian analysis example – Switchpoint detection

我们要调查的问题是,在一段时间内,行为是否有所改变。 具体来说,我们希望确定是否在特定时期内更改了 FB 职位的平均人数。 在时间序列中,这通常称为切换点或更改点。

我们可以利用泊松分布对此建模。 您可能还记得,泊松分布可用于对时间序列计数数据进行建模。 (有关更多信息,请参考这里。)

如果我们用 Bayesian analysis example – Switchpoint detection 表示我们每月的 FB 职位数,则可以如下表示我们的模型:

Bayesian analysis example – Switchpoint detection

Bayesian analysis example – Switchpoint detection 参数是泊松分布的rate参数,但我们不知道它的值是多少。 如果我们查看 FB 时间序列计数数据的散点图,我们可以看到在 2010 年中后期左右某个时候的帖子数量有所增加,这可能与 2010 年南非世界杯的开始恰好相吻合。 作者参加了。

Bayesian analysis example – Switchpoint detection 参数是切换点,即速率参数更改时的时间,而 Bayesian analysis example – Switchpoint detectionBayesian analysis example – Switchpoint detection 分别是切换点之前和之后的 Bayesian analysis example – Switchpoint detection 参数的值。 可以表示如下:

Bayesian analysis example – Switchpoint detection

注意,上面 Bayesian analysis example – Switchpoint detection 中指定的变量都是贝叶斯随机变量。 对于代表人们对其值的信念的贝叶斯随机变量,我们需要使用概率分布对它们进行建模。 我们想推断 Bayesian analysis example – Switchpoint detectionBayesian analysis example – Switchpoint detection 的值,这些值是未知的。 在PyMC中,我们可以使用随机和确定性类表示随机变量。 我们注意到,指数分布是泊松事件之间的时间量。 因此,在 Bayesian analysis example – Switchpoint detectionBayesian analysis example – Switchpoint detection 的情况下,我们选择指数分布来对其建模,因为它们可以是任何正数:

Bayesian analysis example – Switchpoint detection

Bayesian analysis example – Switchpoint detection

Bayesian analysis example – Switchpoint detection 的情况下,我们将选择使用均匀分布对其进行建模,这反映了我们的信念,即切换点很有可能在整个时间段的任何一天发生。 因此,我们有:

Bayesian analysis example – Switchpoint detection

在此,Bayesian analysis example – Switchpoint detectionBayesian analysis example – Switchpoint detection 对应于年份 Bayesian analysis example – Switchpoint detection 的上下边界。 现在让我们使用PyMC表示我们先前开发的模型。 现在,我们将使用PyMC来查看是否可以在 FB 发布数据中检测到切换点。 除了散点图,我们还可以在条形图中显示数据。 为了做到这一点,首先,我们需要获取列表中按月排序的 FB 帖子数:

In [69]: fb_activity_data = [year_month_count[k] for k in 
 sorted(year_month_count.keys())]
 fb_activity_data[:5]

Out[70]: [1, 0, 5, 50, 24]

In [71]: fb_post_count=len(fb_activity_data)

我们使用matplotlib渲染条形图:

In [72]: from IPython.core.pylabtools import figsize
 import matplotlib.pyplot as plt
 figsize(8, 5)
 plt.bar(np.arange(fb_post_count),
 fb_activity_data, color="#49a178")
 plt.xlabel("Time (months)")
 plt.ylabel("Number of FB posts")
 plt.title("Monthly Facebook posts over time")
 plt.xlim(0,fb_post_count);

Bayesian analysis example – Switchpoint detection

查看前面的条形图,可以得出结论,FB 频率发布行为是否随时间变化? 我们可以在开发的模型上使用PyMC来帮助我们找出更改,如下所示:

In [88]: # Define data and stochastics
 import pymc as pm
 switchpoint = pm.DiscreteUniform('switchpoint',
 lower=0,
 upper=len(fb_activity_data)-1,
 doc='Switchpoint[month]')
 avg = np.mean(fb_activity_data)
 early_mean = pm.Exponential('early_mean', beta=1./avg)
 late_mean = pm.Exponential('late_mean', beta=1./avg)
 late_mean
Out[88]:<pymc.distributions.Exponential 'late_mean' at 0x10ee56d50>

在这里,我们为速率参数r定义了一种方法,并使用泊松分布对计数数据进行建模,如前所述:

In [89]: @pm.deterministic(plot=False)
 def rate(s=switchpoint, e=early_mean, l=late_mean):
 ''' Concatenate Poisson means '''
 out = np.zeros(len(fb_activity_data))
 out[:s] = e
 out[s:] = l
 return out

 fb_activity = pm.Poisson('fb_activity', mu=rate, 
 value=fb_activity_data, observed=True)
 fb_activity
Out[89]: <pymc.distributions.Poisson 'fb_activity' at 0x10ed1ee50>

在前面的代码片段中,@pm.deterministic是一个修饰符,它表示速率函数是确定性的,这意味着其值完全由其他变量(在这种情况下为esl)确定。 为了告诉PyMC将比率函数转换为确定性对象,装饰器是必需的。 如果不指定装饰器,则会发生错误。 (有关更多信息,请参阅这里,以获取有关 Python 装饰器的信息。)

有关更多信息,请参阅以下网页:

现在,我们使用 FB Count 数据(fb_activity)和 Bayesian analysis example – Switchpoint detection(分别为early_meanlate_meanrate)参数创建一个模型。

接下来,使用Pymc创建一个 MCMC 对象,该对象使我们能够使用马尔科夫链蒙特卡洛方法拟合数据。 然后,我们在所得的 MCMC 对象上调用样本以进行拟合:

In [94]: fb_activity_model=pm.Model([fb_activity,early_mean,
 late_mean,rate])
In [95]: from pymc import MCMC
 fbM=MCMC(fb_activity_model)
In [96]: fbM.sample(iter=40000,burn=1000, thin=20)
 [-----------------100%-----------------] 40000 of 40000 
 complete in 11.0 sec

使用 MCMC 拟合模型涉及使用马尔科夫链蒙特卡洛方法生成后验P(s, e, l | D)的概率分布。 它使用蒙特卡洛过程反复模拟数据采样,并执行此操作,直到基于多个条件该算法似乎收敛到稳态为止。 这是一个马尔可夫过程,因为连续的样本仅取决于先前的样本。 (有关马尔可夫链收敛的更多参考,请参考这里。)

生成的样本称为迹线。 我们可以通过查看迹线的直方图来查看参数的边缘后验分布:

In [97]: from pylab import hist,show
 %matplotlib inline
 hist(fbM.trace('late_mean')[:])
Out[97]: (array([  15.,   61.,  214.,  421.,  517.,  426.,  202.,
 70.,   21.,    3.]),
 array([ 102.29451192,  103.25158404,  104.20865616,
 105.16572829,  106.12280041,  107.07987253,
 108.03694465,  108.99401677,  109.95108889,
 110.90816101,  111.86523313]),
 <a list of 10 Patch objects>)

Bayesian analysis example – Switchpoint detection

In [98]:plt.hist(fbM.trace('early_mean')[:])
Out[98]: (array([  20.,  105.,  330.,  489.,  470.,  314.,  147.,
 60.,    3.,   12.]),
 array([ 49.19781192,  50.07760882,  50.95740571,
 51.83720261,  52.71699951,  53.59679641,
 54.47659331,  55.35639021,  56.2361871 ,
 57.115984  ,  57.9957809 ]),
 <a list of 10 Patch objects>)

Bayesian analysis example – Switchpoint detection

在这里,我们可以看到Switchpoint的月数形式:

In [99]: fbM.trace('switchpoint')[:]
Out[99]: array([38, 38, 38, ..., 35, 35, 35])

In [150]: plt.hist(fbM.trace('switchpoint')[:])
Out[150]: (array([ 1899.,     0.,     0.,     0.,     0.,     0.,
 0., 0., 0.,    51.]),
 array([ 35\. ,  35.3,  35.6,  35.9,  36.2,  36.5,  36.8,
 37.1,  37.4, 37.7,  38\. ]),
 <a list of 10 Patch objects>)

Bayesian analysis example – Switchpoint detection

历史切换点

我们可以看到Switchpoint在第 35-38 个月左右。 在这里,我们使用matplotlib在单个图中显示esl的边际后验分布:

In [141]: early_mean_samples=fbM.trace('early_mean')[:]
 late_mean_samples=fbM.trace('late_mean')[:]
 switchpoint_samples=fbM.trace('switchpoint')[:]
In [142]: from IPython.core.pylabtools import figsize
 figsize(12.5, 10)
 # histogram of the samples:
 fig = plt.figure()
 fig.subplots_adjust(bottom=-0.05)

 n_mths=len(fb_activity_data)
 ax = plt.subplot(311)
 ax.set_autoscaley_on(False)

 plt.hist(early_mean_samples, histtype='stepfilled',
 bins=30, alpha=0.85, label="posterior of $e$",
 color="turquoise", normed=True)
 plt.legend(loc="upper left")
 plt.title(r"""Posterior distributions of the variables
 $e, l, s$""",fontsize=16)
 plt.xlim([40, 120])
 plt.ylim([0, 0.6])
 plt.xlabel("$e$ value",fontsize=14)

 ax = plt.subplot(312)
 ax.set_autoscaley_on(False)
 plt.hist(late_mean_samples, histtype='stepfilled',
 bins=30, alpha=0.85, label="posterior of $l$",
 color="purple", normed=True)
 plt.legend(loc="upper left")
 plt.xlim([40, 120])
 plt.ylim([0, 0.6])
 plt.xlabel("$l$ value",fontsize=14)
 plt.subplot(313)
 w = 1.0 / switchpoint_samples.shape[0] *
 np.ones_like(switchpoint_samples)
 plt.hist(switchpoint_samples, bins=range(0,n_mths), alpha=1,
 label=r"posterior of $s$", color="green",
 weights=w, rwidth=2.)
 plt.xlim([20, n_mths - 20])
 plt.xlabel(r"$s$ (in days)",fontsize=14)
 plt.ylabel("probability")
 plt.legend(loc="upper left")

 plt.show()

Bayesian analysis example – Switchpoint detection

边缘后验分布

PyMC 还具有绘图功能。 (它使用matplotlib。)在下面的图中,我们显示了时间序列图,自相关图(acorr)以及为早期均值,晚期均值和切换点绘制的样本的直方图。 直方图可用于可视化后验分布。 自相关图显示上一周期的值是否与当前周期的值密切相关。

In [100]: from pymc.Matplot import plot
 plot(fbM)
 Plotting late_mean
 Plotting switchpoint
 Plotting early_mean

以下是最新的均值图:

Bayesian analysis example – Switchpoint detection

pymc_comprehensive_late_mean

在这里,我们显示切换点图:

Bayesian analysis example – Switchpoint detection

Pymc 综合切换点

在这里,我们显示早期均值图:

Bayesian analysis example – Switchpoint detection

pymc 综合早期均值

从 PyMC 的输出中,我们可以得出结论,转换点距离时间序列开始大约 35-38 个月。 这对应于 2010 年 3 月至 7 月左右的某个时间。作者可以证明这是他使用 FB 的标志性一年,因为那是在南非举行的足球(足球)世界杯决赛的年份, 他参加了。

参考资料

要更深入地了解我们涉及的贝叶斯统计主题,请查看以下参考资料:

总结

在本章中,我们对过去几年中统计和数据分析中最热门的趋势之一-贝叶斯统计推断方法进行了一次旋风式浏览。 我们在这里覆盖了很多领域。

我们研究了贝叶斯统计方法所需要的内容,并讨论了为什么贝叶斯观点是一种引人注目的观点的各种因素-事实胜于信念。 我们解释了关键的统计分布,并展示了如何使用各种统计包在matplotlib中生成和绘制它们。

我们解决了一个相当困难的话题,但又没有过多简化,并演示了如何使用 PyMC 包和蒙特卡洛模拟方法来展示贝叶斯统计数据的能力,以建立模型,进行趋势分析以及对真实数据集进行推断(Facebook 用户帖子)。 在下一章中,我们将讨论 Pandas 库的架构。

九、Pandas 库架构

在本章中,我们研究了可供 Pandas 用户使用的各种库。 本章旨在作为简短指南,帮助用户围绕 Pandas 提供的各种模块和库进行导航和查找。 它提供了有关库代码组织方式的分解,还提供了有关各个模块的简要说明。 对于感兴趣的用户来说,这对他们下面的 Pandas 的内部工作以及希望为代码库做出贡献的用户来说,将是最有价值的。 我们还将简要演示如何使用 Python 扩展来提高性能。 将讨论的各种主题如下:

  • Pandas 库层次结构简介
  • Pandas 模块和文件的描述
  • 使用 Python 扩展来提高性能

Pandas 文件层次结构简介

通常,在安装时,会将 Pandas 作为 Python 模块安装在第三方 Python 模块的标准位置:

平台标准安装位置示例
Unix/MacOSprefix/lib/pythonX.Y/site-packages/usr/local/lib/Python 2.7/site-packages
Windowsprefix\Lib\site-packagesC:\Python27\Lib\site-packages

安装的文件遵循特定的层次结构:

  • pandas/core:此文件包含用于基本数据结构的文件,例如序列/数据帧和相关函数。
  • pandas/src:包含用于实现基本算法的 Cython 和 C 代码。
  • pandas/io:它包含输入/输出工具(例如平面文件,Excel,HDF5,SQL 等)。
  • pandas/tools:它包含辅助数据算法合并和连接例程,连接,数据透视表等。
  • pandas/sparse:它包含序列,数据帧,面板等的稀疏版本。
  • pandas/stats:包含线性回归和面板回归,以及移动窗口回归。 这应该由 statsmodels 中的功能代替。
  • pandas/util:包含工具,开发和测试工具。
  • pandas/rpy:包含用于连接到 R 的 RPy2 接口。

注意

作为参考,请参见这里

Pandas 模块和文件的描述

在本节中,我们将简要介绍组成 Pandas 库的各个子模块和文件。

Pandas /core

该模块包含 Pandas 的核心子模块。 讨论如下:

  • api.py:这将导入一些关键模块供以后使用。

  • array.py:这可以隔离 Pandas 对 numPy 的暴露,即所有直接的 numPy 使用。

  • base.py:这定义了基本类别,例如StringMixinPandasObject,它们是各种 Pandas 对象(例如PeriodPandasSQLTablesparse.array.SparseArray/SparseListinternals.Blockinternals.BlockManagergeneric.NDFramegroupby.GroupBybase.FrozenListbase.FrozenNDArrayio.sql.PandasSQLio.sql.PandasSQLTabletseries.period.PeriodFrozenListFrozenNDArrayIndexOpsMixinDatetimeIndexOpsMixin

  • common.py:这定义了用于处理数据结构的通用工具方法。 例如,isnull对象检测到缺少的值。

  • config.py:这是用于处理包范围内的可配置对象的模块。 它定义了以下类别:OptionErrorDictWrapperCallableDynamicDocoption_contextconfig_init

  • datetools.py:这是处理 Python 中日期的函数的集合。

  • frame.py:这定义了 Pandas 的数据帧类及其各种方法。数据帧继承自NDFrame。 (见下文)。

  • generic.py:这定义了通用NDFrame基类,它是 Pandas 的数据帧,序列和面板类的基类。 NDFrame源自base.py中定义的 Pandas 对象。 NDFrame可以看作是 Pandas 数据帧的 N 维版本。 有关此的更多信息,请访问这里

  • categorical.py:这定义了分类,这是一个从 Pandas 对象派生的类,它表示分类变量 la R/S-plus。 (我们稍后会扩展您的知识)。

  • format.py:这定义了整个格式化程序类,例如CategoricalFormatterSeriesFormatterTableFormatterDataFrameFormatterHTMLFormatterCSVFormatterExcelCellExcelFormatterGenericArrayFormatterFloatArrayFormatterIntArrayFormatterDatetime64FormatterTimedelta64FormatterEngFormatter

  • groupby.py:这定义了启用groupby函数的各种类。 讨论如下:

    • Splitter classes:这包括DataSplitterArraySplitterSeriesSplitterFrameSplitterNDFrameSplitter
    • Grouper/Grouping classes:这包括GrouperGroupByBaseGrouperBinGrouperGroupingSeriesGroupByNDFrameGroupBy
  • ops.py: 这定义了一个内部 API,用于对 Pandas 对象进行算术运算。 它定义了向对象添加算术方法的函数。 它定义了一个_create_methods元方法,该方法用于使用算术,比较和布尔方法构造器创建其他方法。 add_methods方法采用一些新方法,将它们添加到现有方法列表中,并将其绑定到其相应的类。 add_special_arithmetic_methodsadd_flex_arithmetic_methods方法调用_create_methodsadd_methods将算术方法添加到类中。

    它还定义了_TimeOp类,该类是与日期时间相关的算术运算的包装。 它包含Wrapper函数,用于对序列,数据帧和面板函数进行算术,比较和布尔运算-_arith_method_SERIES(..)_comp_method_SERIES(..)_bool_method_SERIES(..)_flex_method_SERIES(..)_arith_method_FRAME(..)_comp_method_FRAME(..)_flex_comp_method_FRAME(..)_arith_method_PANEL(..)_comp_method_PANEL(..)

  • index.py:这定义了Index类及其相关函数。 所有 Pandas 的对象(序列,数据帧和面板)都使用索引来存储轴标签。 它的下面是一个不可变的数组,提供了可以切片的有序集合。

  • internals.py:这定义了多个对象类。 这些列出如下:

    • Block:这是具有 Pandas 其他功能的同质 N 维numpy.ndarray对象。 例如,它使用__slots__将对象的属性限制为ndimvalues_mgr_locs。 它充当其他Block子类的基类。
    • NumericBlock:这是数字类型的Blocks的基类。
    • FloatOrComplexBlock:这是从NumericBlock继承的FloatBlockComplexBlock的基类
    • ComplexBlock:这是处理具有复杂类型的Block对象的类。
    • FloatBlock:这是处理浮点型Block对象的类。
    • IntBlock:这是处理具有整数类型的Block对象的类。
    • TimeDeltaBlockBoolBlockDatetimeBlock:这些是timedeltaBooleandatetimeBlock类。
    • ObjectBlock:这是为用户定义的对象处理Block对象的类。
    • SparseBlock:这是处理相同类型的稀疏数组的类。
    • BlockManager:这是管理一组Block对象的类。 它不是公共 API 类。
    • SingleBlockManager:这是管理一个Block的类。
    • JoinUnit:这是Block对象的工具类。
  • matrix.py:这将数据帧导入为DataMatrix

  • nanops.py:这些是用于处理 NaN 值的类和函数。

  • ops.py:这定义了 Pandas 对象的算术运算。 它不是公共 API。

  • panel.pypanel4d.pypanelnd.py:这些提供了 Pandas 的面板对象的功能。

  • series.py:它定义序列从NDFrameIndexOpsMixin继承的 pandas Series类及其各种方法。

  • sparse.py:这定义用于处理稀疏数据结构的导入。 稀疏数据结构被压缩,从而省略了与 NaN 匹配或缺少值的数据点。 有关此的更多信息,请访问这里

  • strings.py: 它们具有处理字符串的各种函数。

    pandas/core

Pandas /io

该模块包含用于数据 I/O 的各种模块。 讨论如下:

  • api.py:这定义了数据 I/O API 的各种导入。
  • auth.py:这定义了处理身份验证的各种方法。
  • common.py:这定义了 I/O API 的通用函数。
  • data.py:这定义用于处理数据的类和方法。 DataReader方法从各种在线来源(例如 Yahoo 和 Google)读取数据。
  • date_converters.py:定义日期转换函数。
  • excel.py:此模块解析和转换 Excel 数据。 这定义了ExcelFileExcelWriter类。
  • ga.py:这是 Google Analytics(分析)功能的模块。
  • gbq.py:这是 Google BigQuery 的模块。
  • html.py:这是用于处理 HTML I/O 的模块。
  • json.py:这是用于处理 Pandas 中 json I/O 的模块。 这定义了WriterSeriesWriterFrameWriterParserSeriesParserFrameParser类。
  • packer.py:这是 msgpack 序列化程序支持,用于将 Pandas 数据结构读取和写入磁盘。
  • parsers.py:此模块定义了各种函数和类,这些函数和类用于解析和处理文件以创建 Pandas 的数据帧。 下文讨论的所有三个read_*函数都具有多个可配置的读取选项。 有关更多详细信息,请参见此参考
    • read_csv(..):这定义了pandas.read_csv()函数,可用于将 CSV 文件的内容读取到数据帧中。
    • read_table(..):这会将制表符分隔的表文件读取到数据帧中。
    • read_fwf(..):这会将固定宽度格式的文件读取到数据帧中。
    • TextFileReader:这是用于读取文本文件的类。
    • ParserBase:这是解析器对象的基类。
    • CParserWrapperPythonParser:这些分别是 C 和 Python 的解析器。 它们都继承自ParserBase
    • FixedWidthReader:这是读取固定宽度数据的类。 定宽数据文件包含文件中特定位置的字段。
    • FixedWithFieldParser:这是用于解析从PythonParser继承的固定宽度字段的类。
  • pickle.py:这提供了腌制(序列化)Pandas 对象的方法。 讨论如下:
    • to_pickle(..):这会将对象序列化为文件。
    • read_pickle(..):这将从文件中读取序列化的对象到 pandas 对象。 仅应与受信任的来源一起使用。
  • pytables.py:这是PyTables模块的接口,用于将 Pandas 数据结构读取和写入磁盘上的文件。
  • sql.py:它是类和函数的集合,用于使能够从试图与数据库无关的关系数据库中检索数据。 讨论如下:
    • PandasSQL:这是将 Pandas 与 SQL 连接的基类。 它提供了必须由子类实现的伪read_sqlto_sql方法。
    • PandasSQLAlchemy:这是PandasSQL的子类,它可以使用SQLAlchemy在数据帧和 SQL 数据库之间进行转换。
    • PandasSQLTable类:它将 Pandas 表(数据帧)映射到 SQL 表。
    • pandasSQL_builder(..):这将根据提供的参数返回正确的PandasSQL子类。
    • PandasSQLTableLegacy类:这是PandasSQLTable的旧支持版本。
    • PandasSQLLegacy类:这是PandasSQLTable的旧支持版本。
    • get_schema(..):这将获取给定框架的 SQL 数据库表架构。
    • read_sql_table(..):这将 SQL DB 表读入数据帧。
    • read_sql_query(..):这会将 SQL 查询读取到数据帧中。
    • read_sql(..):这将 SQL 查询/表读入数据帧。
    • to_sql(..):此操作将数据帧中存储的记录写入 SQL 数据库。
  • stata.py:此工具包含用于将Stata文件处理为 Pandas 数据帧的工具。
  • wb.py:这是用于从世界银行网站下载数据的模块。

Pandas tools

  • util.py:具有定义的其他util函数,例如match(..)cartesian_product(..)compose(..)

  • tile.py:具有一组函数,这些函数可以量化输入数据,从而实现tile函数。 除了cut(..)qcut(..)之外,大多数函数都是内部函数。

  • rplot.py:这是一个模块,提供在 Pandas 中生成网格图的函数。

  • plotting.py: 这提供了一组以序列或数据帧为参数的绘图函数。

    • scatter_matrix(..):这将绘制散点图矩阵

    • andrews_curves(..):此图将多元数据绘制为曲线,这些曲线是使用样本作为傅立叶级数的系数创建的

    • parallel_coordinates(..):这是一种绘图技术,可让您查看数据中的聚类并直观地估计统计信息

    • lag_plot(..):用于检查数据集或时间序列是否随机

    • autocorrelation_plot(..):用于检查时间序列中的随机性

    • bootstrap_plot(..):此图用于以视觉方式确定统计量度的不确定性,例如平均值或中位数

    • radviz(..): 该图用于可视化多元数据

      提示

      以上信息的参考来自这里

  • pivot.py: 此函数用于处理 Pandas 中的数据透视表。 它是主要函数pandas.tools.pivot_table(..),它创建类似于电子表格的数据透视表作为数据帧

    提示

    以上信息的参考来自这里

  • merge.py:提供合并序列,数据帧和面板对象(例如merge(..)concat(..))的函数

  • describe.py:这提供了一个value_range(..)函数,该函数以序列的形式返回数据帧的最大值和最小值。

Pandas /sparse

这是提供序列,数据帧和面板的稀疏实现的模块。 所谓稀疏,是指省略或丢失诸如 0 之类的值的数组。

有关此的更多信息,请访问这里

  • api.py:这是一组便利导入
  • array.py:它是SparseArray数据结构的实现
  • frame.py:它是SparseDataFrame数据结构的实现
  • list.py:它是SparseList数据结构的实现
  • panel.py:它是SparsePanel数据结构的实现
  • series.py:它是SparseSeries数据结构的实现

Pandas stats

  • api.py:这是一组便利导入。
  • common.py:定义模块中其他函数调用的内部函数。
  • fama_macbeth.py:包含 Fama-Macbeth 回归的类定义和函数。 有关 FM 回归的更多信息,请访问这里
  • interface.py:它定义ols(..),它返回普通最小二乘OLS)回归对象。 它从pandas.stats.ols模块导入。
  • math.py:具有有用的函数,定义如下:
    • rank(..)solve(..)inv(..):它们分别用于矩阵秩,解和逆
    • is_psd(..):这检查矩阵的正定性
    • newey_west(..):用于协方差矩阵计算
    • calc_F(..):这将计算 F 统计信息
  • misc.py:用于其他函数。
  • moments.py:这提供了滚动和扩展的统计量度,包括在 Cython 中实现的时刻。 这些方法包括:rolling_count(..)rolling_cov(..)rolling_corr(..)rolling_corr_pairwise(..)rolling_quantile(..)rolling_apply(..)rolling_window(..)expanding_count(..)expanding_quantile(..)expanding_cov(..)expanding_corr(..)expanding_corr_pairwise(..)expanding_apply(..)ewma(..)ewmvar(..)ewmstd(..)ewmcov(..)ewmcorr(..)
  • ols.py:这实现 OLS 并提供 OLS 和MovingOLS类。 OLS 运行完整的样本最小二乘回归,而MovingOLS生成滚动或扩展的简单 OLS。
  • plm.py:这为面板数据提供了线性回归对象。 这些类的讨论如下:
    • PanelOLS:这是面板对象的 OLS
    • MovingPanelOLS:这是面板对象的滚动/扩展 OLS
    • NonPooledPanelOLS:-这是面板对象的非池化 OLS
  • var.py: 这提供了向量自回归类,讨论如下:
    • VAR:这是对序列和数据帧中的多元数据的向量自动回归

    • PanelVAR: 这是面板对象中多元数据的向量自动回归

      提示

      有关向量自回归的更多信息,请访问这里

Pandas /util

  • testing.py:这提供了断言,调试,单元测试以及其他用于测试的类/函数。 它包含许多特殊的断言函数,这些函数使检查序列,数据帧或面板对象是否等效的操作更加容易。 其中一些函数包括assert_equal(..)assert_series_equal(..)assert_frame_equal(..)assert_panelnd_equal(..)pandas.util.testing模块对 Pandas 代码库的贡献者特别有用。 它定义了一个util.TestCase类。 它还提供了用于处理语言环境,控制台调试,文件清除,比较器等的工具,以供潜在的代码库贡献者进行测试。

  • terminal.py:此函数主要是内部函数,与获取有关终端的某些特定详细信息有关。 唯一的暴露函数是get_terminal_size()

  • print_versions.py:它定义了get_sys_info()函数,该函数返回系统信息的字典,以及show_versions(..)函数,显示可用的 Python 库的版本。

  • misc.py:这定义了几个其他工具。

  • decorators.py: 这定义了一些装饰器函数和类。

    提示

    SubstitutionAppender类是装饰器,它们在函数docstrings上执行替换和附加操作,有关 Python 装饰器的更多信息,请访问这里

  • clipboard.py:这包含跨平台剪贴板方法,可通过键盘启用复制和粘贴功能。 Pandas I/O API 包括pandas.read_clipboard()pandas.to_clipboard(..)之类的函数。

Pandas /rpy

如果模块已安装在计算机中,则该模块将尝试提供 R 统计包的接口。 在版本 0.16.0 和更高版本中不推荐使用。 可以使用rpy2模块代替它的功能。

  • base.py:这为 R 中著名的lm函数定义了一个类
  • common.py:这提供了许多函数,可以将 Pandas 对象转换为等效的 R 版本
  • mass.py:这是rlm -- R 的lm函数的未实现版本
  • var.py:其中包含未实现的类VAR

Pandas /test

这个模块为 Pandas 中的各种物体提供了许多测试。 特定库文件的名称是不言自明的,除了邀请读者进行探索之外,在这里我将不进一步详细介绍。

Pandas /compat

与兼容性相关的功能解释如下:

  • chainmap.pychainmap_impl.py:这提供了一个ChainMap类,可以将多个dicts或映射分组,以便生成可以更新的单个视图
  • pickle_compat.py:此函数提供了在 0.12 之前的版本中腌制 Pandas 对象的功能。
  • openpyxl_compat.py:这检查openpyxl的兼容性

Pandas /calc

这是提供计算功能的模块,讨论如下:

  • api.py:这包含evalexpr的导入。
  • align.py:这实现了数据对齐的函数。
  • common.py:它包含几个内部函数。
  • engines.py:这定义了抽象引擎NumExprEnginePythonEnginePythonEngine求值表达式,主要用于测试目的。
  • eval.py:这定义了最重要的eval(..)函数以及其他一些重要函数。
  • expressions.py:通过numexpr提供快速的表达式求值。 numexpr函数用于加速某些数值运算。 它使用多个内核以及智能分块和缓存加速。 它定义了evaluate(..)where(..)方法。
  • ops.py:这定义了eval使用的运算符类。 它们是TermConstantOpBinOpDivUnaryOp
  • pytables.py:这为PyTables查询提供了查询接口。
  • scope.py:这是示波器操作的模块。 它定义了一个Scope类,它是一个保存范围的对象。

提示

有关numexpr的更多信息,请访问这里。 有关此模块用法的信息,请访问这里

Pandas /series

  • api.py:这是一组便捷导入

  • converter.py: 这定义了一组用于格式化和转换与日期时间相关的对象的类。 导入后,pandas 向matplotlib注册了一组单位转换器。

    • 这通过register()函数完成,说明如下:

      In [1]: import matplotlib.units as munits
      In [2]: munits.registry
      Out[2]: {}
      
      In [3]: import pandas
      In [4]: munits.registry
      Out[4]: 
      {pandas.tslib.Timestamp: <pandas.tseries.converter.DatetimeConverter instance at 0x7fbbc4db17e8>,
       pandas.tseries.period.Period: <pandas.tseries.converter.PeriodConverter instance at 0x7fbbc4dc25f0>,
       datetime.date: <pandas.tseries.converter.DatetimeConverter instance at 0x7fbbc4dc2fc8>,
       datetime.datetime: <pandas.tseries.converter.DatetimeConverter instance at 0x7fbbc4dc2a70>,
       datetime.time: <pandas.tseries.converter.TimeConverter instance at 0x7fbbc4d61e18>}
      
      
    • Converter:此类包括TimeConverterPeriodConverterDateTimeConverter

    • Formatters:此类包括TimeFormatterPandasAutoDateFormatterTimeSeries_DateFormatter

    • Locators:此类包括PandasAutoDateLocatorMilliSecondLocatorTimeSeries_DateLocator

    FormatterLocator类用于处理 matplotlib 绘图中的刻度。

  • frequencies.py:它定义用于指定时间序列对象的频率(每天,每周,每季度,每月,每年等)的代码。

  • holiday.py:这定义了用于处理假期的函数和类-HolidayAbstractHolidayCalendarUSFederalHolidayCalendar在定义的类中。

  • index.py:这定义了DateTimeIndex类。

  • interval.py:这定义了IntervalPeriodIntervalIntervalIndex类。

  • offsets.py:这定义了各种类别,包括处理与时间有关的时间段的偏移量。 这些解释如下:

    • DateOffset:这是提供日期时间段功能的类的接口,例如WeekWeekOfMonthLastWeekOfMonthQuarterOffsetYearOffsetEasterFY5253FY5253Quarter
    • BusinessMixin:这是业务对象的mixin类,用于提供与时间功能相关的类。 这将由BusinessDay类继承。 BusinessDay子类派生自BusinessMixinSingleConstructorOffset,并提供了营业日的补偿。
    • MonthOffset:这是提供月份时间段功能的类的接口,例如MonthEndMonthBeginBusinessMonthEndBusinessMonthBegin
    • MonthEndMonthBegin:这是一个月底或一个月初的日期偏移量。
    • BusinessMonthEndBusinessMonthBegin:这是一个工作日日历的结尾或开始一个月的日期偏移。
    • YearOffset:此偏移量是提供年份功能的类的接口,例如YearEndYearBeginBYearEndBYearBegin
    • YearEndYearBegin:这是一年末或年初的日期偏移量。
    • BYearEndBYearBegin:这是工作日日历结束或开始时一年的日期偏移。
    • Week:提供 1 周的补偿。
    • WeekDay:这提供了从工作日(Tue)到星期几(= 2)的映射。
    • WeekOfMonthLastWeekOfMonth:描述一个月中的一周中的日期
    • QuarterOffset:这是提供季度功能的类的接口,例如QuarterEndQuarterrBeginBQuarterEndBQuarterBegin
    • QuarterEndQuarterrBeginBQuarterEndBQuarterBegin:与Year*类相同,除了时间段是季度而不是年份。
    • FY5253FY5253Quarter:这些类别描述了 52-53 周的会计年度。 这也称为 4-4-5 日历。 您可以在这个链接中获得更多信息。
    • Easter:这是复活节假期的DateOffset
    • Tick:这是时间单位类的基本类,例如DayHourMinuteSecondMilliMicroNano
  • period.py:这为 PandasTimeSeries定义了PeriodPeriodIndex类。

  • plotting.py:这定义了各种绘图函数,例如tsplot(..),它绘制了一个序列。

  • resample.py:这定义了TimeGrouper,这是用于时间间隔分组的自定义groupby类。

  • timedeltas.py:这定义了to_timedelta(..)方法,该方法将其参数转换为timedelta对象。

  • tools.py:这定义了工具函数,例如to_datetime(..)parse_time_string(..)dateutil_parse(..)format(..)

  • util.py:这定义了更多工具函数,如下所示:

    • isleapyear(..):检查年份是否为闰年
    • pivot_annual(..):这按年份分组,表示闰年

Pandas /sandbox

该模块处理将 Pandas 数据帧集成到 PyQt 框架中。 有关 PyQt 的更多信息,请访问

使用 Python 扩展来提高性能

Python 和 pandas 用户的困扰之一是,语言和模块的易用性和表达性带来显着的缺点-性能-尤其是在数字计算方面。

根据编程基准站点,Python 通常比编译后的语言(例如,用于许多算法或数据结构操作的 C/C++)慢。 例如二进制树操作。 在以下参考中,Python3 的运行速度比 n 体仿真计算的最快 C++ 实现慢 104 倍。

那么,我们如何解决这个合法而令人烦恼的问题呢? 通过编写代码中对性能敏感的部分,我们可以减轻 Python 的这种速度,同时保持我们喜欢的性能(清晰度和生产率)。 例如数字处理,C/C++ 中的算法,并通过编写 Python 扩展模块由我们的 Python 代码调用它们

Python 扩展模块使我们能够从 Python 调用用户定义的 C/C++ 代码或库函数,从而使我们能够提高代码性能,但仍然受益于 Python 的易用性。

为了帮助我们了解什么是 Python 扩展模块,请考虑导入模块时 Python 中发生的情况。 导入语句导入一个模块,但这实际上是什么意思? 共有三种可能性,如下所示:

  • 某些 Python 扩展模块在构建时会链接到解释器。

  • 导入会导致 Python 将.pyc文件加载到内存中。 .pyc文件包含 Python 字节码。例如以下命令:

    In [3]: import pandas
     pandas.__file__
    Out[3]: '/usr/lib/Python 2.7/site-packages/pandas/__init__.pyc'
    
    
  • import语句导致将 Python 扩展模块加载到内存中。 .so(共享库)文件由机器代码组成。 例如,请参考以下命令:

    In [4]: import math
     math.__file__
    Out[4]: '/usr/lib/Python 2.7/lib-dynload/math.so'
    
    

我们将集中讨论第三种可能性。 即使我们正在处理从 C 编译的二进制共享对象,我们也可以将其作为 Python 模块导入,这显示了 Python 扩展的强大功能-应用可以从 Python 机器代码或机器代码导入模块,并且接口相同 。 Cython 和 SWIG 是使用 C 和 C++ 编写扩展的两种最受欢迎​​的方法。 在编写扩展时,我们包装了 C/C++ 机器代码,并将其转换为行为像纯 Python 代码的 Python 扩展模块。 在这个简短的讨论中,我们将仅专注于 Cython,因为它是专门为 Python 设计的。

Cython 是 Python 的超集,旨在允许我们在 C/C++ 中调用外部编译的代码以及在变量上声明类型,从而显着提高 Python 的性能。

Cython 命令从 Cython 源文件生成优化的 C/C++ 源文件,并将此优化的 C/C++ 源编译为 Python 扩展模块。 它提供了对 NumPy 的内置支持,并将 C 的性能与 Python 的可用性结合在一起。

我们将快速演示如何使用 Cython 大大加快代码速度。 让我们定义一个简单的斐波那契函数:

In [17]: def fibonacci(n):
 a,b=1,1
 for i in range(n):
 a,b=a+b,a
 return a
In [18]: fibonacci(100)
Out[18]: 927372692193078999176L
In [19]: %timeit fibonacci(100)
 100000 loops, best of 3: 18.2 µs per loop

使用timeit模块,我们看到每个循环花费 18.2 µs。

现在让我们在 Cython 中重写函数,通过使用以下步骤为变量指定类型:

  1. 首先,我们将 Cython 魔术函数导入 IPython,如下所示:

    In [22]: %load_ext cythonmagic
    
    
  2. 接下来,我们在 Cython 中重写函数,为变量指定类型:

    In [24]: %%cython
     def cfibonacci(int n):
     cdef int i, a,b
     for i in range(n):
     a,b=a+b,a
     return a
    
    
  3. 让我们来计时一下新的 Cython 函数:

    In [25]: %timeit cfibonacci(100)
     1000000 loops, best of 3: 321 ns per loop
    
    In [26]: 18.2/0.321
    Out[26]: 56.69781931464174
    
    
  4. 因此,我们可以看到 Cython 版本比纯 Python 版本快 57 倍!

有关使用 Cython/SWIG 或其他选项编写 Python 扩展的更多参考,请参考以下参考:

总结

总结本章,我们浏览了 Pandas 的库层次结构,试图说明库的内部运作方式。 我们还谈到了使用 Python 扩展模块来提高代码性能的好处。