Python-仿真建模实用指南-三-

63 阅读1小时+

Python 仿真建模实用指南(三)

原文:Hands-On Simulation Modeling with Python

协议:CC BY-NC-SA 4.0

九、使用神经网络仿真物理现象

神经网络在获得高度结构化数据的良好特性方面非常有效。物理现象受到许多变量的制约,这些变量可以通过现代传感器轻松测量。这样,就产生了难以用经典技术处理的大数据。神经网络适于仿真复杂环境。

在本章中,我们将学习如何开发基于人工神经网络人工神经网络)的模型来仿真物理现象。我们将从探索神经网络的基本概念开始,然后我们将研究它们的体系结构和主要元素。我们将演示如何训练网络以更新其权重。然后,我们将把这些概念应用到一个实际用例中,以解决回归问题。在本章的最后一部分,我们将分析深层神经网络。

在本章中,我们将介绍以下主题:

  • 介绍神经网络的基础知识
  • 理解前馈神经网络
  • 用人工神经网络仿真翼型自噪声
  • 探索深层神经网络

技术要求

在本章中,我们将学习如何使用 ANN 仿真复杂环境。要理解这些主题,需要代数和数学建模的基础知识。

要使用本章中的 Python 代码,您需要以下文件(可在 GitHub 的上获得)https://github.com/PacktPublishing/Hands-On-Simulation-Modeling-with-Python

  • Airfoil Self-Noise.py

介绍神经网络的基础知识

人工神经网络是一种数值模型,旨在再现人脑的简单神经活动,如物体识别和语音识别。神经网络的结构是由节点组成的,这些节点与人脑中的神经元类似,通过加权连接相互连接,从而重现神经元之间的突触。

系统输出将更新,直到通过连接权重迭代收敛。从实验活动中获得的信息用作输入数据,网络处理的结果作为输出返回。输入节点代表预测变量,输出神经元代表因变量。我们使用预测变量来处理因变量。

人工神经网络在仿真回归和分类问题方面用途广泛。他们可以通过分析一系列例子来学习解决问题的过程。通过这种方式,研究人员从建立物理系统的数学模型的困难任务中解脱出来,在某些情况下,这是不可能表示的。

理解生物神经网络

人工神经网络基于一个模型,该模型从人脑的功能原理以及人脑如何处理来自周围器官的信息中获得灵感。事实上,人工神经网络由一系列神经元组成,这些神经元可以被认为是独立的处理器,因为它们的基本任务是处理输入端提供给它们的信息。这种处理类似于生物神经元的功能,生物神经元接收电信号,对其进行处理,然后将结果传输给下一个神经元。生物神经元的基本元素包括以下内容:

  • 树突
  • 突触
  • 体细胞
  • 轴突

该信息由生物神经元按照以下步骤进行处理:

  1. 树突以电信号的形式从其他神经元获取信息。
  2. 信息的流动是通过突触进行的。
  3. 树突将这些信息传递给细胞体。
  4. 在单元体中,信息被添加到一起。
  5. 如果结果超过阈值限制,该单元将通过将信号传递给另一个单元来作出反应。信息通过轴突传递。

下图显示了生物神经元结构的基本元素:

Figure 9.1: Structure of a neuron

图 9.1–神经元的结构

突触扮演神经递质的角色;事实上,它们可以对紧随其后的神经元施加兴奋或抑制作用。这种效应由突触通过与其相关的重量进行调节。通过这种方式,每个神经元可以对输入进行加权和,如果这个和超过某个阈值,它就会激活下一个神经元。

重要提示

神经元执行的处理过程持续几毫秒。从计算的角度来看,它代表了一个相对较长的时间。所以,我们可以说,这个处理系统,单独来看,是相对缓慢的。然而,我们知道,这是一个基于数量的模型;它是由大量同时并行工作的神经元和突触组成的。

这样,执行的处理操作非常有效,并且允许我们在相对较短的时间内获得结果。我们可以说神经网络的力量在于神经元的团队合作。单独来看,它们并不代表一个特别有效的处理系统;然而,综合起来,它们代表了一个非常高性能的仿真模型。

大脑的功能是由神经元调节的,它代表了一种优化的机器,甚至可以解决复杂的问题。这是一个简单的结构,随着时间的推移,通过物种的进化而得到改善。它没有中央控制;大脑的各个区域都在积极地执行一项旨在解决问题的任务。大脑所有部分的工作都是以一种有贡献的方式进行的,每个部分都对结果有贡献。除此之外,人脑还配备了一个非常有效的误差调节系统。事实上,如果大脑的一部分停止工作,整个系统的操作将继续进行,即使性能较低。

探索人工神经网络

如前所述,一个基于人工神经网络的模型从人脑的功能中获得灵感。事实上,人工神经元与生物神经元相似,它接收来自另一个神经元的信息作为输入。神经元的输入表示神经元的输出,该输出在基于神经网络的模型结构中被发现。

然后将神经元的每个输入信号乘以相应的权重。然后将其添加到其他神经元获得的结果中,以处理下一个神经元的激活水平。基于 ANN 的模型架构的基本要素包括与输入神经元不同的神经元,以及通过突触层数和这些神经元之间的连接区分的输出神经元。下图显示了 ANN 的典型体系结构:

图 9.2–人工神经网络的体系结构

表示环境检测到的信息的输入信号被发送到 ANN 的输入层。通过这种方式,它们与连接一起并行移动,通过系统的内部节点,直至输出。因此,网络的体系结构从系统返回响应。简单地说,在神经网络中,每个节点只能处理局部信息,不知道处理的最终目标,也不保留对后者的任何记忆。获得的结果取决于网络的结构和人工突触假设的值。

在某些情况下,单个突触层无法对输入端提供的信号返回适当的网络响应。在这些情况下,需要多层突触,因为单层是不够的。这些网络称为深层神经网络。网络响应是通过一次处理一层神经元的激活,然后从输入到输出,通过中间层获得的。

重要提示

ANN 目标是所有神经元输出计算的结果,因此 ANN 被表示为一组数学函数近似。

在 ANN 架构中,以下元素是必不可少的:

  • 砝码
  • 偏见
  • 激活函数

在以下部分中,我们将加深对这些概念的理解。

描述层的结构

在 ANN 的体系结构中,可以识别代表神经元的节点,这些神经元以提供一系列层的形式分布。在 ANN 的简单结构中,可以识别输入层、中间层(隐藏层)和输出层,如下图所示:

Figure 9.3: The various layers of an ANN

图 9.3–ANN 的各个层

每一层都有它自己的任务,它通过它所包含的神经元的动作来执行。输入层旨在将初始数据引入系统,以便后续层进一步处理。从输入级开始,ANN 的工作流程。

重要提示

在输入层,人工神经元以某种被动的方式扮演着不同的角色,因为它们不接收来自先前层次的信息。一般来说,它们接收一系列输入,并首次将信息引入系统。然后这个级别将数据发送到下一个级别,在那里神经元接收加权输入。

ANN 中的隐藏层介于输入级和输出级之间。隐藏层的神经元接收一组加权输入,并根据从激活函数接收到的指示产生输出。它代表了整个网络的重要部分,因为正是在这里,输入数据转化为输出响应的魔力才得以实现。

隐藏级别可以以多种方式操作。在某些情况下,输入随机加权,而在另一些情况下,通过迭代过程对其进行校准。一般来说,隐藏层的神经元在大脑中起着生物神经元的作用。也就是说,它接收概率输入信号,对其进行处理,并将其转换为与生物神经元轴突对应的输出。

最后,输出层为模型生成某些输出。尽管它们与神经网络中的其他人工神经元非常相似,但输出层神经元的类型和数量取决于系统必须提供的响应类型。例如,如果我们正在设计一个用于对象分类的神经网络,输出层将由一个节点组成,该节点将为我们提供该值。事实上,该节点的输出必须简单地提供输入数据中存在或不存在目标的正或负指示。例如,如果我们的网络必须执行对象分类任务,那么该层将只包含一个注定要返回该值的神经元。这是因为这个神经元必须返回一个二进制信号,也就是说,在作为输入提供的数据中,一个正向或负向的响应表示对象的存在或不存在。

分析权重和偏差

在神经网络中,权重代表将输入信号转换为系统响应的关键因素。它们表示一个因子,例如线性回归线的斜率。事实上,权重乘以输入,结果与其他贡献相加。这些是决定单个神经元在输出形成中的贡献的数值参数。

如果输入为x1、x2、xn,并且要应用于它们的突触权重表示为w1、w2、wn,则神经元返回的输出通过以下公式表示:

前面的公式是一个矩阵乘法,以达到加权和。神经元细化可表示如下:

在前面的公式中,偏差在线性方程中假设了截距的作用。偏差代表一个额外的参数,用于调节输出以及神经元输入的加权和。

下一层的输入是前一层神经元的输出,如下图所示:

Figure 9.4: Output of the neurons

图 9.4–神经元的输出

上图所示的模式解释了权重在神经元形成中所起的作用。注意,提供给神经元的输入用一个真实的数字进行加权,该数字再现了生物神经元突触的活动。当权重值为正值时,信号具有兴奋性活动。另一方面,如果该值为负值,则该信号为抑制信号。权重的绝对值表示对系统响应形成的贡献强度。

解释激活函数的作用

神经网络处理的抽象主要通过激活函数获得。这是一个将输入转换为输出并控制神经网络过程的数学函数。如果没有激活函数的贡献,神经网络可以被同化为线性函数。当输出与输入成正比时,出现线性函数。例如,让我们分析以下等式:

在前面的等式中,x 的指数等于 1。这是函数线性的条件:它必须是一次多项式。这是一条没有曲线的直线。不幸的是,大多数现实问题本质上是非线性和复杂的。为了处理非线性,在神经网络中引入了激活函数。回想一下,对于一个非线性函数,它是一个比第一个高次的多项式函数就足够了。例如,以下等式定义了三次非线性函数:

非线性函数的图形是弯曲的,增加了复杂性因素。激活函数赋予神经网络非线性特性,使其成为真正的普适函数逼近器。

有许多激活函数可供神经网络使用。此处列出了最常用的激活功能:

  • Sigmoid:Sigmoid 函数是一个数学函数,它产生一条 S 形曲线,这是其 S 形的特征曲线。这是最早和最常用的激活功能之一。这会将输入压缩为 0 到 1 之间的任何值,并使模型在本质上具有逻辑性。
  • 单位步:单位步激活函数是神经网络中常用的特征。输出假定负变元的值为 0,正变元的值为 1。范围在(0,1)之间,输出本质上是二进制的。这些类型的激活函数对于二进制方案很有用。
  • 双曲正切:这是一个非线性函数,定义在值的范围(-1,1)内,所以您不需要担心激活爆炸。需要澄清的一件事是,tanh 的梯度比 sigmoid 的更大。选择 S 形和 tanh 将取决于您的梯度强度要求。和乙状结肠一样,tanh 也有缺失坡度的问题。
  • 整流线性单元ReLU):这是一个对存在域的部分具有线性特性的函数,如果输入为正则直接输出;否则,它将输出零。输出的范围在 0 和无穷大之间。ReLU 利用深度神经网络在计算机视觉和语音识别中得到应用。

下图显示了前面列出的激活功能:

Figure 9.5: Representation of activation functions

图 9.5–激活功能的表示

现在我们来看看神经网络的简单结构,它向我们展示了信息流是如何进行的。

了解前馈神经网络

从输入层到隐藏层再到输出层的处理称为前馈传播。在每个隐藏层应用传递函数,然后将激活函数值传播到下一层。下一层可以是另一个隐藏层或输出层。

重要提示

术语“前馈”用于表示每个节点仅从较低层接收连接的网络。这些网络对每个输入模式发出响应,但无法捕获输入信息的可能时间结构或表现出内生时间动态。

探索神经网络训练

ANN 的学习能力体现在训练过程中。这代表了整个算法的关键阶段,因为正是通过训练期间提取的特征,网络才获得了泛化能力。通过比较与已知输出相对应的一系列输入和模型提供的输入,进行培训。至少,在有监督的算法中会发生这种情况,其中标记的数据与模型提供的数据进行比较。

模型获得的结果受训练阶段使用的数据的影响,为了获得良好的性能,使用的数据必须充分代表该现象。由此,我们可以理解此阶段使用的数据集的重要性,称为训练集。

为了理解神经网络从数据中学习的过程,让我们考虑一个简单的例子。我们将分析单隐层神经网络的训练。假设输入层有一个神经元,网络将不得不面对一个二进制分类问题,只有两个输出值 0 或 1。

网络培训将按照以下步骤进行:

  1. 以数据矩阵的形式输入输入。
  2. 使用随机值初始化权重和偏差。此步骤仅在程序开始时执行一次。稍后的权重和偏差将通过误差传播过程进行更新。
  3. 将输入应用到网络。
  4. 计算每个神经元从输入电平到隐藏电平再到输出电平的输出。
  5. 计算输出上的误差。
  6. 使用输出误差计算前一层的误差信号。激活函数的偏导数用于计算误差信号。
  7. 使用错误信号计算重量调整。
  8. 应用重量调整。
  9. 重复步骤49直到误差最小化。

步骤34表示直接传播阶段,步骤58表示反向传播阶段。

通过调整神经元权重来训练网络最常用的方法是 delta 规则,它将网络输出与期望值进行比较。减去这两个值,差值用于更新所有输入权重,这些权重具有不同的零值。重复该过程,直到达到收敛。

下图显示了重量调整程序:

Figure 9.6: The weight adjustment procedure

图 9.6–重量调整程序

培训过程非常简单:它是计算值和标记值之间的简单比较。通过比较计算加权输入值和预期输出值之间的差值。该差值表示计算值和预期值之间的评估误差,用于重新计算所有输入权重。这是一个重复的过程,直到预期值和计算值之间的误差接近零。

Si利用人工神经网络仿真翼型自噪声

翼型产生的噪音是由于湍流气流和飞机翼型叶片之间的相互作用。预测这些情况下的声场需要能够在复杂环境中运行的气动声学方法。此外,所使用的方法必须避免形成关于几何形状、紧凑性和声源频率内容的粗略假设。因此,湍流产生的声音预测必须正确仿真声音传播的物理现象和湍流。由于这两种现象表现出非常不同长度的能量和尺度,因此湍流产生的声音的正确预测不容易建模。

飞机噪声是航空航天工业的一个重要课题。NASA 兰利研究中心资助了几项研究,以有效地研究自噪声翼型的各种机制。其对宽带直升机旋翼、风力涡轮机和电池噪音的重要性激发了人们的兴趣。这些研究的目标是将飞机整个单元产生的外部噪音降低 10 分贝。

在本例中,我们将详细介绍一个基于 ANN 的模型,以根据风洞中测量的一系列翼型数据预测自噪声翼型。

重要提示

我们将使用的数据集由美国宇航局于 1989 年开发,可在 UCI 机器学习库网站上获得。UCI 机器学习库位于处 https://archive.ics.uci.edu/ml/datasets/Airfoil+自噪声

该数据集是利用在消声风洞中对气动叶片截面进行的一系列气动和声学测试的结果建立的。

以下列表显示了数据集的功能:

  • 实例数:1503
  • 属性数:6
  • 数据集特征:多变量
  • 属性特征:真实
  • 数据集日期:2014-03-04

以下列表给出了属性的简要说明:

  • Frequency:频率单位为赫兹(Hz)
  • AngleAttack:攻角(度)
  • ChordLength:弦长单位为米
  • FSVelox:以米/秒为单位的自由流速度
  • SSDT:**吸入侧位移厚度(SSDT)**单位:米
  • SSP:标度声压级(分贝)

在我们列出的六个属性中,前五个表示预测值,最后一个表示我们要仿真的系统的响应。因此,这是一个回归问题,因为答案具有连续值。事实上,它代表了自噪声机翼,以分贝为单位,在风洞中测量。

使用熊猫导入数据

我们将执行的第一个操作是导入数据,正如我们已经提到的,可以在 UCI 网站上找到这些数据。一如既往,我们将逐行分析代码:

  1. We start by importing the libraries. In this case, we will operate differently from what has been done so far. We will not import all of the necessary libraries at the beginning of the code, but we will introduce them in correspondence with their use and we will illustrate their purposes in detail:

    import pandas as pd
    

    pandas库是一个开放源码、BSD 许可的库,为 Python 编程语言提供高性能、易于使用的数据结构和数据分析工具。它提供数据结构和操作,以简单的方式处理数值数据。我们将使用此库导入从 UCI 网站检索的数据集中包含的数据。

    UCI 数据集不包含标题,因此需要在另一个变量中插入变量名称。现在,让我们将这些变量名放在下面的列表中:

    ASNNames= ['Frequency','AngleAttack','ChordLength','FSVelox','SSDT','SSP']
    
  2. Now we can import the dataset. This is available in .dat format, and, to make your job easier, it has already been downloaded and is available in this book's GitHub repository:

    ASNData = pd.read_csv('airfoil_self_noise.dat', delim_whitespace=True, names=ASNNames)
    

    为了导入.dat数据集,我们使用了pandas库的read_csv模块。在这个函数中,我们传递了文件名和其他两个属性,即delim_whitespacenames。第一个指定是否将空格用作sep,第二个指定要使用的列名列表。

    重要提示

    记住设置路径,以便 Python 可以找到要打开的.dat文件。

    在通过 ANN 回归进行数据分析之前,我们先进行探索性分析,以确定数据是如何分布的,并提取初步知识。要显示导入数据帧的前 20 行,我们可以使用head()功能,如下所示:

    print(ASNData.head(20))
    

    pandashead()函数获取 pandas 数据帧的第一n行。在本例中,它根据位置返回ASNData对象的前 20 行。用于快速测试我们的数据集中是否有正确类型的数据。此函数不带参数,从数据帧获取前五行数据。

    打印以下数据:

    Figure 9.7: DataFrame output

    图 9.7–数据帧输出

    要提取更多信息,我们可以使用info()函数,如下所示:

    print(ASNData.info())
    

    info()方法返回一个ASNData数据帧的简明摘要,包括dtypes索引和dtypes列、非空值和内存使用情况。

    返回以下结果:

    <class 'pandas.core.frame.DataFrame'>
    RangeIndex: 1503 entries, 0 to 1502
    Data columns (total 6 columns):
    Frequency      1503 non-null int64
    AngleAttack    1503 non-null float64
    ChordLength    1503 non-null float64
    FSVelox        1503 non-null float64
    SSDT           1503 non-null float64
    SSP            1503 non-null float64
    dtypes: float64(5), int64(1)
    memory usage: 70.5 KB
    None
    

    通过读取info方法返回的信息,可以确认为 1503 个实例和 6 个变量。除此之外,返回给我们的变量类型是 5 个float64变量和 1 个int64变量。

  3. To obtain a first screening of the data contained in the ASNData DataFrame, we can compute a series of basic statistics. We can use the describe() function in the following way:

    BasicStats = ASNData.describe()
    BasicStats = BasicStats.transpose()
    print(BasicStats)
    

    describe()函数生成描述性统计,返回数据集分布的中心趋势、分散度和形状,不包括非数字NaN值。用于数字和对象系列,以及包含混合数据类型的数据帧列。输出将根据所提供的内容而变化。除此之外,我们还转换了统计数据,以便更好地显示在屏幕上,并使数据更易于读取。

    统计数字如下:

Figure 9.8: Basic statistics of the DataFrame

图 9.8–数据帧的基本统计数据

从上表的分析中,我们可以提取有用的信息。首先,我们可以注意到数据显示出很大的可变性。平均值范围约为 0.14 至 2886。不仅如此,有些变量的标准差也很大。对于每个变量,我们可以轻松地恢复最小值和最大值。通过这种方式,我们可以注意到分析频率的间隔在 200 到 20000 Hz 之间。这只是一些考虑,;我们可以找到很多其他的。

使用 sklearn 缩放数据

在使用describe()函数提取的统计数据中,我们发现预测变量(频率、迎角、弦长、自由流速度和 SSDT)具有重要的可变性。在不同范围的预测值的情况下,数值范围较大的变量对系统响应的影响可能大于数值范围较小的变量对系统响应的影响。这种不同的影响可能会影响预测的准确性。实际上,我们想要做的恰恰相反,也就是说,提高预测精度,降低模型的敏感性,因为这些特征可能会影响预测,因为数值范围很广。

为了避免这种现象,我们可以减少这些值,使它们落在一个共同的范围内,从而保证初始数据集具有相同的可变性特征。通过这种方式,我们将能够比较属于不同分布的变量和以不同度量单位表示的变量。

重要提示

回想一下,在训练回归算法之前,我们是如何重新缩放数据的。这是一个很好的做法。使用重缩放技术,数据单元被移除,使我们能够轻松地比较来自不同位置的数据。

然后我们继续进行数据重缩放。在本例中,我们将使用 min-max 方法(通常称为特征缩放)来获取[0,1]范围内的所有缩放数据。实现这一目标的公式如下:

为了进行特征缩放,我们可以应用sklearn库提供的预处理包。该库是 Python 编程语言的自由软件机器学习库。sklearn库支持各种机器学习技术,如分类、回归和聚类算法,包括支持向量机器****支持向量机、随机森林、梯度提升、k 均值和 DBSCAN。创建sklearn是为了使用各种 Python 数字和科学库,如 NumPy 和 SciPy:

重要提示

要导入不是 Python 初始发行版一部分的库,可以使用pip``install命令,后跟库的名称。此命令只应使用一次,而不是每次运行代码时都使用。

  1. The sklearn.preprocessing package contains numerous common utility functions and transformer classes to transform the features in a way that works with our requirements. Let's start by importing the package:

    from sklearn.preprocessing import MinMaxScaler
    

    要在最小值和最大值之间缩放特征,可以使用MinMaxScaler功能。在本例中,我们希望重新缩放介于 0 和 1 之间的日期,以便将每个特征的最大绝对值缩放为单位大小。

  2. 让我们首先设置 scaler 对象:

    ScalerObject = MinMaxScaler()
    
  3. To get validation of what we are doing, we will print the object just created in order to check the set parameters:

    print(ScalerObject.fit(ASNData))
    

    返回以下结果:

    MinMaxScaler(copy=True, feature_range=(0, 1))
    
  4. Now, we can apply the MinMaxScaler() function, as follows:

    ASNDataScaled = ScalerObject.fit_transform(ASNData)
    

    fit_transform()方法适用于数据,然后对其进行转换。在应用该方法之前,将计算用于以后缩放的最小值和最大值。此方法返回一个 NumPy 数组对象。

  5. 回想一下,最初的数据是以熊猫DataFrame格式导出的。缩放数据还应在 mdoo 中转换为相同的格式,以便能够应用数据帧可用的功能。转换过程易于执行;只需按如下方式应用熊猫DataFrame()功能:

    ASNDataScaled = pd.DataFrame(ASNDataScaled, columns=ASNNames)
    
  6. At this point, we can verify the results obtained with data scaling. Let's compute the statistics using the describe() function once again:

    summary = ASNDataScaled.describe()
    summary = summary.transpose()
    print(summary)
    

    统计数字如下:

图 9.9-带缩放数据的输出

从上表的分析来看,数据缩放的结果似乎很明显。现在所有六个变量的值都在0 和 1 之间。

使用 matplotlib 查看数据

现在,我们将尝试通过可视化方法确认数据的分布:

  1. To start, we will draw a boxplot, as follows:

    import matplotlib.pyplot as plt
    boxplot = ASNDataScaled.boxplot(column=ASNNames)
    plt.show()
    

    箱线图(也称为晶须图)是一种图形描述,用于说明使用分散度和位置指数的数据分布。矩形(框)由第一个四分位数(第 25 个百分位数)和第三个四分位数(第 75 个百分位数)分隔,并除以中值(第 50 个百分位数)。此外,有两个晶须,一个上一个下,表示最大和最小分布值,不包括任何异常值。

    matplotlib是用于打印高质量图形的 Python 库。有了matplotlib,只需几个命令就可以生成图形、直方图、条形图、功率谱、误差图、散点图等。这是一组命令行函数,类似于 MATLAB 软件提供的那些函数。

    如前所述,缩放数据采用熊猫DataFrame格式。因此,建议您使用pandas.DataFrame.boxplot功能。此函数生成 DataFrame 列的箱线图,这些列可以选择由其他一些列分组。

    打印以下图表:

    Figure 9.10: Boxplot of the DataFrame

    图 9.10–数据框的方框图

    在上一张图中,您可以看到,在每个框的底部和极端晶须侧面有一些由小圆圈表示的异常值。三个变量具有这些值,称为异常值,它们的存在可能会在模型构建中产生问题。此外,我们可以验证所有变量都包含在等于 0 和 1 的极值中;这是数据缩放的结果。最后,与其他变量相比,FSVelox等变量的值具有很大的可变性,例如 SSDT。

    我们现在测量预测因子和响应变量之间的相关性。一种测量两个变量之间关系的技术是通过相关性提供的,相关性可以通过协方差获得。为了在 Python 中计算相关系数,我们可以使用pandas.DataFrame.corr()函数。此函数计算列的成对相关性,不包括 NA/null 值。提供了三种程序,如下所示:

    pearson(标准相关系数)

    kendall(肯德尔陶相关系数)

    spearman(斯皮尔曼等级相关性)

    重要提示

    请记住,两个随机变量的相关系数是其线性相关性的度量。

  2. Let's calculate the correlation coefficients for the data scaled:

    CorASNData = ASNDataScaled.corr(method='pearson')
    with pd.option_context('display.max_rows', None,  
        'display.max_columns', CorASNData.shape[1]):
    print(CorASNData)
    

    为了在屏幕截图中显示所有数据列,我们使用了option_context函数。返回以下结果:

    图 9.11–数据框中的数据列

    我们感兴趣的是研究预测器和系统响应之间可能的相关性。因此,要做到这一点,分析上一个表的最后一行就足够了。回想一下,各种相关指数的值在-1 和+1 之间变化;两个极值都表示变量之间的完美关系,而 0 表示没有关系。这是如果我们考虑线性关系。基于此,我们可以说,与响应(SSP)具有更大相关性的预测因子是频率SSDT。两者呈负相关。

    为了查看变量之间相关性的视觉证据,我们可以绘制相关图。相关图以图形方式表示相关矩阵。它用于关注数据表中最相关的变量。在相关图中,相关系数显示为取决于我们的值的细微差别。在图表旁边,将提出一个彩色条,其中可以读取相关系数的相应细微值。为了绘制相关图,我们可以使用matplotlib.pyplot.matshow()函数,它将数据帧显示为新图形窗口中的矩阵。

  3. Let's plot a correlogram, as follows:

    plt.matshow(CorASNData)
    plt.xticks(range(len(CorASNData.columns)), CorASNData.columns)
    plt.yticks(range(len(CorASNData.columns)), CorASNData.columns)
    plt.colorbar()
    plt.show()
    

    返回下图:

图 9.12–数据帧的相关图

正如我们已经在相关矩阵的情况下所做的那样,在这种情况下,为了分析预测因子与系统响应之间的相关性,也就足以考虑 Apple T0-图的底行。从相关矩阵中已经得到的趋势得到了确认。

拆分数据

基于机器学习的算法的训练是整个模型精化过程的关键阶段。在同一数据集上对 ANN 进行训练(随后将用于测试网络)表示方法错误。这是因为该模型将能够完美地预测用于测试的数据,在训练阶段已经看到了这些数据。然而,当它被用来预测以前从未见过的新案例时,它将不可避免地犯下评估错误。这个问题称为数据过度拟合。为了避免这种错误,训练神经网络使用与测试阶段不同的数据集是一种很好的做法。因此,在继续进行培训阶段之前,建议您对数据进行正确的划分。

数据拆分用于将原始数据拆分为两组:一组用于训练模型,另一组用于测试模型的性能。培训和测试程序代表了预测分析中模型设置的起点。在具有 100 个预测变量和响应变量观测值的数据集中,会出现一个数据拆分示例,将该数据拆分为 70 行用于培训,30 行用于测试。要执行良好的数据拆分,必须随机选择观测值。提取训练数据时,数据将用于上传权重和偏差,直到达到适当的收敛。

下一步是测试模型。为此,测试集中包含的剩余观察值将用于检查实际输出是否与预测输出匹配。要执行此检查,可以采用几个指标来验证模型:

  1. 我们将使用sklearn库拆分ASNDataScaled数据帧。首先,我们将导入train_test_split函数:

    from sklearn.model_selection import train_test_split
    
  2. 现在,我们可以将起始数据分为两组:包含预测器的X集和包含目标的Y集。我们将使用pandas.DataFrame.drop()功能,如下所示:

    X = ASNDataScaled.drop('SSP', axis = 1)
    print('X shape = ',X.shape)
    Y = ASNDataScaled['SSP']
    print('Y shape = ',Y.shape)
    
  3. Using the pandas.DataFrame.drop() function, we can remove rows or columns indicating label names and the corresponding axis or the index or column names. In this example, we have removed the target column (SSP) from the starting DataFrame.

    将打印以下形状:

    X shape = (1503, 5)
    Y shape = (1503,)
    

    正如我们的意图一样,两个数据集XY现在分别包含 5 个预测值和系统响应。

  4. Now we can divide the two datasets, X and Y, into two further datasets that will be used for the training phase and the test phase, respectively:

    X_train, X_test, Y_train, Y_test = train_test_split(X, Y, test_size = 0.30, random_state = 5)
    print('X train shape = ',X_train.shape)
    print('X test shape = ', X_test.shape)
    print('Y train shape = ', Y_train.shape)
    print('Y test shape = ',Y_test.shape)
    

    通过传递以下四个参数来使用train_test_split()功能:

    X:预测因子。

    Y:目标。

    test_size:此参数表示要包含在测试拆分中的数据集的比例。以下类型可用:浮点、整数或无,以及可选(默认值=0.25)。

    random_state:此参数设置随机数生成器使用的种子。这样,就保证了操作的重复拆分。

    返回以下结果:

    X train shape =  (1052, 5)
    X test shape =  (451, 5)
    Y train shape =  (1052,)
    Y test shape =  (451,)
    

正如预期的那样,我们最终将初始数据集划分为四个子集。前两个X_trainY_train将在培训阶段使用。其余两个X_testY_test将在测试阶段使用。

解释多元线性回归

在本节中,我们将使用人工神经网络处理回归问题。为了有效地评估结果,我们将其与基于不同技术的模型进行比较。这里,我们将对基于多元线性回归的模型和基于人工神经网络的模型进行比较。

在多元线性回归中,因变量(响应)与两个或多个自变量(预测因子)相关。以下方程式是该模型的一般形式:

在前面的方程式中,x1,x2。。。xn 是预测因子,y 是响应变量。βi 系数定义了与席发生的变化相关的模型响应的变化,当其他变量保持不变时。在简单线性回归模型中,我们寻找最适合数据的直线。在多元线性回归模型中,我们正在寻找最适合数据的平面。因此,在后者中,我们的目标是最小化这个平面和响应变量之间的总平方距离。

为了估计系数β,我们希望最小化以下项:

要执行多元线性回归研究,我们可以轻松使用 sklearn 库。sklearn.linear_model模块是包含多个函数的模块,作为LinearRegression类解决线性问题,实现普通最小二乘线性回归:

  1. To start, we will import the function as follows:

    from sklearn.linear_model import LinearRegression
    

    然后,我们使用LinearRegression()功能和以下命令设置模型:

    Lmodel = LinearRegression()
    
  2. Now, we can use the fit() function to fit the model:

    Lmodel.fit(X_train, Y_train)
    

    传递以下参数:

    X_train:培训数据。

    Y_train:目标数据。

    最后,可以传递第三个参数;这是sample_weight参数,包含每个样本的单个权重。

    该函数使用一系列系数拟合线性模型,以最小化预期目标和预测目标之间的剩余平方和。

  3. Finally, we can use the linear model to predict the new values using the predictors contained in the test dataset:

    Y_predLM = Lmodel.predict(X_test)
    

    在这一点上,我们有了预测。

    现在,我们必须对模型进行首次评估,以验证预测接近预期值的程度。

    有几个描述符用于评估预测模型。在本例中,我们将使用均方误差MSE)。

    重要提示

    MSE 返回误差平方的平均值。这是预期值和预测值之间的平均平方差。MSE 返回估计器质量的度量;这是一个非负值,值越接近零,预测效果越好。

  4. 为了计算 MSE,我们将使用sklearn.metrics模块中包含的mean_squared_error()函数。此模块包含分数函数、性能指标和成对指标以及距离计算。我们首先导入函数,如下所示:

    from sklearn.metrics import mean_squared_error
    
  5. 然后,我们可以将该函数应用于数据:

    MseLM = mean_squared_error(Y_test, Y_predLM)
    print('MSE of Linear Regression Model')
    print(MseLM)
    
  6. Two parameters were passed: the expected values (Y_test) and the values that were predicted (Y_predLM). Then, we print the results, as follows:

    MSE of Linear Regression Model
    0.015826467113949756
    

    获得的值很低,非常接近于零。然而,目前,我们无法添加任何内容。稍后,我们将使用这个值,将其与我们为基于神经网络的模型计算的值进行比较。

理解多层感知器回归模型

多层感知器至少包含三层节点:输入节点、隐藏节点和输出节点。除了输入节点外,每个节点都是一个使用非线性激活函数的神经元。多层感知器采用有监督学习技术和反向传播方法对网络进行训练。多层和非线性的存在将多层感知器与简单感知器区分开来。当数据不能线性分离时,应用多层感知器:

  1. To build a multilayer perceptron-based model, we will use the sklearn MLPRegressor function. This regressor proceeds iteratively in the data training. At each step, it calculates the partial derivatives of the loss function with respect to the model parameters and uses the results obtained to update the parameters. There is a regularization term added to the loss function to reduce the model parameters to avoid data overfitting.

    首先,我们将导入函数:

    from sklearn.neural_network import MLPRegressor
    

    MLPRegressor()函数实现了一个多层感知器回归器。该模型通过使用有限内存版本的Broyden–Fletcher–Goldfarb–ShannoBFGS)算法或随机梯度下降算法优化平方损失。

  2. Now, we can set the model using the MLPRegressor function, as follows:

    MLPRegModel = MLPRegressor(hidden_layer_sizes=(50),
               activation='relu', solver='lbfgs',
               tol=1e-4, max_iter=10000, random_state=0)
    

    传递以下参数:

    hidden_layer_sizes=(50):此参数设置隐藏层中的神经元数量;默认值为 100。

    activation='relu':此参数设置激活功能。以下激活功能可用:标识、逻辑、tanh 和 ReLU。最后一个是默认设置的。

    solver='lbfgs':此参数设置权重优化的解算器算法。以下解算器算法可用:LBFGS、随机梯度下降SGD)和SGD 优化器(adam)。

    tol=1e-4:此参数设置优化的容差。默认情况下,tol等于1e-4

    max_iter=10000:此参数设置最大迭代次数。解算器算法进行迭代,直到通过公差或此迭代次数强制收敛。

    random_state=1:此参数设置随机数生成器使用的种子。这样,就可以复制相同的模型并获得相同的结果。

  3. After setting the parameters, we can use the data to train our model:

    MLPRegModel.fit(X_train, Y_train)
    

    fit()函数使用预测因子(X_train的训练数据和响应(Y_train的训练数据来拟合模型。最后,我们可以使用经过培训的模型预测新值:

    Y_predMLPReg = MLPRegModel.predict(X_test)
    

    在本例中,使用了测试数据集(X_test

  4. Now, we will evaluate the performance of the MLP model using the MSE metric, as follows:

    MseMLP = mean_squared_error(Y_test, Y_predMLPReg)
    print(' MSE of the SKLearn Neural Network Model')
    print(MseMLP)
    

    返回以下结果:

    MSE of the SKLearn Neural Network Model
    0.003315706807624097
    

    此时,我们可以对我们建立的两个模型进行初步比较:基于多元线性回归的模型和基于神经网络的模型。我们将通过比较通过评估两个模型的 MSE 获得的结果来实现这一点。

  5. We obtained an MSE of 0.0158 for the multiple linear regression-based model, and an MSE of 0.0033 for the ANN-based model. The last one returns a smaller MSE than the first by an order of magnitude, confirming the prediction that we made where neural networks return values much closer to the expected values.

    最后,我们对两个模型进行了相同的比较;然而,这一次,我们采用了视觉方法。我们将绘制两个散点图,分别在两个轴上报告实际值(预期值)和预测值:

    # SKLearn Neural Network diagram
    plt.figure(1)
    plt.subplot(121)
    plt.scatter(Y_test, Y_predMLPReg)
    plt.plot((0, 1), "r--")
    plt.xlabel("Actual values")
    plt.ylabel("Predicted values")
    plt.title("SKLearn Neural Network Model")
    # SKLearn Linear Regression diagram
    plt.subplot(122)
    plt.scatter(Y_test, Y_predLM)
    plt.plot((0, 1), "r--")
    plt.xlabel("Actual values")
    plt.ylabel("Predicted values")
    plt.title("SKLearn Linear Regression Model")
    plt.show()
    

    通过报告两个轴上的实际值和预期值,可以检查此数据的排列方式。为了帮助分析,可以追踪象限的平分线,即方程的直线,Y=X。

    打印以下图表:

Figure 9.13: Scatterplots of the neural network models

图 9.13–神经网络模型的散点图

假设所有观测值都应该精确地定位在平分线上(图中的虚线),但当数据接近这条线时,我们就可以满足要求。大约一半的数据点必须在直线下方,另一半必须在直线上方。显著偏离此线的点表示可能的异常值。

分析前面图表中报告的结果,我们可以看到,在与基于 ANN 的模型相关的图表中,点更接近虚线。这证实了该模型比基于多元线性回归的模型返回更好的预测的想法。

探索深层神经网络

深度学习被定义为一类具有一定特征的机器学习算法。这些模型使用多个隐藏的非线性级联层来执行特征提取和转换工作。每一级接收上一级的输出。这些算法可以在监督下处理分类问题,也可以在无监督下处理模式分析。后者基于多层次的数据特征和表示。这样,从较低层的特征中获得较高层的特征,从而形成层次结构。此外,他们学习对应于不同抽象层次的多层次表示,直到形成概念层次。

每层的组成取决于需要解决的问题。深度学习技术主要采用人工神经网络的多个隐层,但也采用命题公式集。采用的人工神经网络至少有 2 个隐藏层,但深度学习的应用包含更多的层,例如 10 或 20 个隐藏层。

这一时期的深度学习的发展当然依赖于数据的指数增长,随之而来的是大数据的引入。事实上,随着数据的指数增长,由于学习水平的提高,特别是对于已经存在的算法,性能也有所提高。除此之外,计算机性能的提高也有助于改善可获得的结果,并大大减少计算时间。有几种基于深度学习的模型。在下面的部分中,我们将分析最流行的。

熟悉卷积神经网络

将深度学习算法应用于人工神经网络的一个结果是开发了一种新的模型,该模型更为复杂,但结果惊人,即卷积神经网络CNN

CNN 是一种特殊类型的人工前馈神经网络,其中神经元之间的连接模式受人眼视觉皮层组织的启发。在这里,单个神经元的排列方式使它们专注于构成整个视野的各个区域。

这个网络的隐藏层根据所扮演的角色分为各种类型:卷积层、池层、ReLU 层、完全连接层和丢失层。在下面的部分中,我们将详细分析它们。

卷积层

这是该模型的主要层。它由一组具有有限视野的学习过滤器组成,但沿输入的整个表面延伸。这里,每个滤波器沿表面维度卷积,形成滤波器输入和输入图像之间的标量积。因此,这将生成一个二维激活函数,如果网络识别某个模式,该函数将被激活。

池层

在这一层中,有一个非线性抽取,将输入图像分割成一组非重叠矩形,其值根据非线性函数确定。例如,使用最大池,将为每个区域确定某个值的最大值。这一层背后的想法是,与其他特征相比,特征的准确位置不如其位置重要;因此,省略了多余的信息,也避免了过度拟合。

雷卢层

ReLU 层允许您线性化二维激活函数,并将所有负值设置为零。

完全连接层

该层通常位于结构的末端。它允许您执行神经网络的高级推理。它被称为“完全连接”,因为这一层中的神经元都与前一层完全连接。

损耗层

该层指定训练对预测值和输出中真实值之间的偏差的惩罚程度;因此,它总是位于 the 结构的末端。

检验递归神经网络

理解一段文字是被认为是人类的标准任务之一,但对于机器来说难度很大。给定一组有序的单词,如何教机器理解其含义?很明显,在这个任务中,输入数据之间的关系比其他情况下更微妙。在对图像内容进行分类的过程中,机器同时处理整个图像。这在阐述一段文本时没有意义,因为单词的含义不仅取决于单词本身,还取决于它们的上下文。

因此,要理解一段文字,仅仅知道其中所需的一组单词是不够的,但有必要根据阅读顺序将它们联系起来。有必要考虑并随后记住时间上下文。

递归神经网络本质上允许我们记住在我们想要研究的过程中可能重要的数据。

这取决于所使用的传播规则。为了理解这种类型的传播和记忆的功能,我们可以考虑一个递归神经网络:Elman 网络。

Elman 网络与隐藏的单层前馈神经网络非常相似,但在隐藏层中添加了一组称为上下文单元的神经元。对于隐藏层中的每个神经元,添加一个上下文单元,该上下文单元接收相应隐藏神经元的输出作为输入,并将其输出返回给同一个隐藏神经元。

与 Elman 非常相似的一种网络是 Jordan 网络,其中上下文单元保存输出神经元的状态,而不是隐藏神经元的状态。然而,它背后的思想与 Elman 相同,也与许多其他基于以下原则的递归神经网络相同:接收一系列数据作为输入,并处理一系列新的输出数据,这些数据是通过随后重新计算相同神经元的数据获得的。

基于这一原理的递归神经网络是流形的,并且针对不同的问题选择了不同的拓扑结构。例如,如果仅仅记住网络的前一个状态是不够的,但可能需要在之前处理多个步骤的信息,则可以使用长-短记忆LSTM)神经网络。

分析 LSTM 网络

LSTM 是一种特殊的递归神经网络结构。这些模型特别适合深度学习的环境,因为它们提供了出色的结果和性能。

基于 LSTM 的模型非常适合于时间序列领域的预测和分类,它们正在取代几种传统的机器学习方法。这是因为 LSTM 网络可以解释数据之间的长期依赖关系。例如,这使我们能够跟踪句子中的上下文,以改进语音识别。

基于 LSTM 的模型包含链接在一起的单元,称为 LSTM 块。每个单元提供三种类型的端口:输入门、输出门和忘记门。这些端口分别在单元内存上执行写入、读取和重置功能。这些端口为仿真端口,由[0,1]范围内的 sigmoid 激活函数控制。这里,0 表示完全抑制,1 表示完全激活。这些端口允许 LSTM 单元在未指定的时间内记住信息。

因此,如果输入端口读取的值低于激活阈值,则单元将保持以前的状态,而如果该值高于激活阈值,则当前状态将与输入值组合。当单元格的值为零时,遗忘门恢复单元格的当前状态,而退出门决定是否删除单元格内的值。

总结

在本章中,我们学习了如何开发基于 ANN 的模型来仿真物理现象。我们首先分析了神经网络的基本概念,以及它们所基于的、源自生物神经元的原理。我们详细研究了人工神经网络的体系结构,理解了权重、偏差、层和激活函数的概念。

随后,我们分析了前馈神经网络的结构。我们看到了如何使用数据对网络进行训练,并且我们了解了导致网络正确识别新观测值的权重调整过程。

接下来,我们应用通过处理实际案例所学到的概念。我们开发了一个基于神经网络的模型来解决回归问题。我们学习了如何缩放数据,然后如何将数据子集以用于培训和测试。我们学习了如何开发基于线性和 MLP 回归的模型,以及如何评估这些模型的性能以进行比较。

最后,我们探索了深层神经网络。我们通过分析它们的基本概念来定义它们。我们分析了 CNN、递归神经网络和 LSTM 网络的基础知识。

在下一章中,我们将探讨其他实际的模型仿真应用。我们将重点关注项目管理领域的仿真模型。

十、项目管理建模与仿真

有时,监控各种项目和部门的资源、预算和里程碑可能会带来挑战。仿真工具帮助我们在项目的各个阶段改进规划和协调,以便我们始终保持对它的控制。此外,项目的预防性仿真可以突出与特定任务相关的关键问题。这有助于我们评估要采取的任何行动的成本。通过对项目开发的预防性评估,可以避免增加项目成本的错误。

在本章中,我们将使用前面章节中学习的工具处理项目管理的实际案例。我们将学习如何评估在使用马尔可夫过程管理森林时所采取行动的结果,然后继续学习如何使用蒙特卡罗仿真评估项目。

在本章中,我们将介绍以下主要主题:

  • 介绍项目管理
  • 管理一个微小的森林问题
  • 用蒙特卡罗仿真法安排项目时间

技术要求

在本章中,我们将介绍项目管理的建模示例。要处理这些主题,您必须具备代数和数学建模的基本知识。

要使用本章中的 Python 代码,您需要以下文件(可在 GitHub 上通过以下 URL 获得:github.com/PacktPublis…

  • TinyForestManagement.py
  • TinyForestManagementModified.py
  • MonteCarloTasksScheduling.py

引入项目管理

为了提前评估战略或战术行动的后果,公司需要可靠的预测系统。预测分析系统基于数据收集和中长期可靠情景预测。通过这种方式,我们可以为复杂的策略提供指示和指导,尤其是那些必须考虑来自不同实体的众多因素的策略。

这使得我们能够以更完整和协调的方式来检查评价结果,因为我们可以同时考虑一系列的值,并因此考虑一系列可能的方案。最后,在管理复杂项目时,人工智能用于解释数据的使用有所增加,从而赋予这些项目以意义。这是因为我们可以对信息进行复杂的分析,以改进我们将进行的战略决策过程。这种方法允许我们搜索和分析来自不同来源的数据,以便我们能够识别可能相关的模式和关系。

了解假设分析

假设分析是一种类型的分析,能够显著帮助管理决策更有效、更安全、更知情。它也是基于数据的预测分析的基本层次。假设分析是一种工具,能够阐述不同的情景,提供不同的可能结果。与高级预测分析不同,假设分析的优点是只需要处理基本数据。

这类活动属于预测分析范畴,即从历史基础或趋势出发,对未来进行预测的活动。通过改变一些参数,可以仿真不同的场景,从而了解给定选择对成本、收入、利润等的影响。

因此,这是一种结构化方法,用于确定与战略变化相关的预测可能出错,从而判断在发生之前进行的研究的概率和后果。通过对历史数据的分析,可以创建这样的预测系统,该系统能够根据对一组独立输入变量所做的假设来估计未来结果,从而允许我们制定一些预测场景,以评估真实系统的行为。

通过分析当前的场景,我们可以确定与管理项目相关的预期值。这些分析场景可以以不同的方式应用,其中最典型的是进行多因素分析,即分析包含多个变量的模型:

  • 通过确定最大和最小差异,并通过风险分析创建中间方案,实现固定数量的方案。风险分析旨在确定未来结果与平均预期结果不同的概率。为了显示这种可能的变化,对不太可能出现的积极和消极结果进行了估计。

通过使用蒙特卡罗方法进行随机因子分析,从而通过生成适当的随机数并观察服从一个或多个属性的那部分数来解决问题。这些方法有助于获得太复杂而无法解析求解的问题的数值解。

管理一个小森林问题

正如我们在第 5 章【基于仿真的马尔可夫决策过程中提到的,如果随机的过程从t瞬间开始,在该瞬间对系统进行观察,则称为马尔可夫。此过程的演化将仅依赖于t,因此不会受到前一瞬间的影响。因此,一个过程被称为马尔可夫过程,当这个过程的未来演化只依赖于观察系统的瞬间,而不以任何方式依赖于过去时。MDP 由五个元素组成:决策时代、状态、行动、转移概率和奖励。

总结马尔可夫决策过程

马尔可夫过程的关键要素是系统发现自身的状态,以及决策者可以在该状态下执行的可用操作。这些元素确定了两组:可以在其中找到系统的状态集,以及可用于每个特定状态的操作集。决策者选择的行动决定了系统的随机响应,最终使其进入新状态。这种转变会带来回报,决策者可以用它来评估他们选择的好处。

重要提示

在马尔可夫过程中,决策者可以选择在每个系统状态下执行哪些操作。选择的操作将系统带到下一个状态,并返回该选择的奖励。从一个状态到另一个状态的转换具有马尔可夫性:当前状态仅依赖于前一个状态。

马尔可夫过程由以下四个要素定义:

  • S:系统状态。
  • A:每个状态下可用的动作。
  • P:转移矩阵。这包含动作a将系统从s状态变为s状态的概率。
  • R:通过a动作从s状态过渡到s状态所获得的奖励。

在 MDP 问题中,采取行动从系统中获得最大回报变得至关重要。因此,这是一个优化问题,其中决策者必须做出的选择序列称为最优策略。

政策将环境状态和要选择的行动映射到这些状态,代表一组对刺激做出反应的规则或关联。该策略的目标是通过系统执行的整个操作序列最大化收到的总回报。通过采用政策获得的总报酬计算如下:

在前面的等式中,r**T是将环境带入终端状态s**T的行为的回报。为了获得最大的总奖励,我们可以选择为每个单独的状态提供最高奖励的动作。这导致选择使总回报最大化的最优策略。

探索优化过程

正如我们在第 5 章中提到的,基于仿真的马尔可夫决策过程,MDP 问题可以通过动态编程DP来解决。DP 是一种编程技术,旨在根据已知的环境模型计算最优策略。DP 的核心是利用国家价值和行动价值来确定好的政策。

在 DP 方法中,使用了两个称为策略评估和策略改进的过程。这些过程相互作用,如下所示:

  • 政策评估是通过一个迭代过程来完成的,该过程旨在解决贝尔曼方程。k 过程的收敛性→ ∞ 施加近似规则,从而引入停止条件。
  • 策略改进基于当前值改进当前策略。

在 DP 技术中,通过迭代过程,前一阶段交替并在另一阶段开始之前结束。该过程要求在每一步进行策略评估,评估通过迭代方法完成,迭代方法的收敛性先验未知,取决于起始策略;也就是说,我们可以在某个时刻停止评估政策,同时仍然确保收敛到最佳值。

重要提示

我们所描述的迭代过程使用两个向量来保存从策略评估和策略改进过程中获得的结果。我们用V表示将包含值函数的向量;即获得的奖励的折扣金额。我们用政策指明将包含为获得这些奖励而选择的行动的运营商。

然后,算法通过递归过程更新这两个向量。在策略评估中,值函数更新如下:

在上一个等式中,我们有以下等式:

  • s状态下的功能值。
  • 是从s状态过渡到*s’*状态时返回的奖励。
  • γ是贴现系数。
  • 为下一状态的功能值。

在策略改进过程中,策略更新如下:

在上一个等式中,我们有以下等式:

  • 为*s'*状态下的功能值。
  • 是动作as状态过渡到*s’*状态时返回的奖励。
  • γ是贴现系数。
  • s状态下的动作as状态下执行的概率。

现在,让我们看看有哪些工具可以用来处理 Python 中的 MDP 问题。

引入 MDPtoolbox

MDPtoolbox包包含几个与离散时间马尔可夫决策过程解析相关的函数,即值迭代、有限时间、策略迭代、带有一些变量的线性规划算法,以及几个我们可以用来执行强化学习分析的函数。

该工具箱由法国图卢兹大学应用数学和计算机科学部的研究人员在 Matlab 环境下创建。该工具箱由作者在以下文章中介绍:Chadès,I.,Chapron,G.,Cros,M.J.,Garcia,F.,和 Sabbadin,R.(2014)。MDPtoolbox:解决随机动态规划问题的多-平台工具箱。生态地理学,37(9),916-920。

重要提示

MDPtoolbox包随后在其他编程平台上提供,包括 GNU Octave、Scilab 和 R。S.Cordwell 后来将其提供给 Python 程序员。您可以通过以下 URL 了解更多信息:github.com/sawcordwell…

要使用MDPtoolbox包,我们需要安装它。不同的安装程序显示在项目的 GitHub 网站上。按照作者的建议,您可以使用默认的 Python pip 包管理器。Pip代表Python 包索引,是最大、最正式的 Python 包存储库。在 99%的情况下,任何开发 Python 包的人都可以在这个存储库中使用它。

要使用pip安装MDPtoolbox包,只需编写以下命令:

pip install pymdptoolbox

安装后,只需加载库即可立即使用它。

定义小森林经营实例

为了详细分析如何使用马尔可夫过程处理管理问题,我们将使用MDPtoolbox包中已有的示例。它涉及管理一个小型森林,其中有两种资源:野生动物和树木。森林里的树木可以砍伐,获得的木材可以出售。决策者有两个动作:等待和停止。第一个动作是等待树木完全生长,然后再切割树木以获得更多的木材。第二项行动是砍树,以便立即赚钱。决策者的任务是每 20 年做出一次决策。

微小的森林环境可能处于以下三种状态之一:

  • 状态 1:林龄 0-20 年
  • 状态 2:林龄 21-40 年
  • 状态 3:林龄超过 40 年

我们可能会认为,最好的行动是等待,直到我们有最大数量的木材来,从而获得最大的收益。等待可能导致失去所有可用的木材。这是因为随着树木的生长,也有可能发生火灾,从而导致木材完全丢失。在这种情况下,微小的森林将恢复到其初始状态(状态 1),因此我们将失去本来可以获得的东西。

在没有发生火灾的情况下,在每个周期t(20 年)结束时,如果状态为s并且选择了等待动作,则森林将移动到下一个状态,该状态将是以下两个状态中的最小值(s+1,3)。如果没有火灾,森林的年龄将永远不会假定状态高于 3,因为状态 3 与最古老的年龄等级匹配。相反,如果在应用操作后发生火灾,则森林会将系统恢复到其初始状态(状态 1),如下图所示:

Figure 10.1 – States of the age of a forest

图 10.1——森林年龄状态

p=0.1 设置为t期间发生火灾的概率。问题是如何长期管理,以实现回报最大化。这个问题可以作为 MDP 来处理。

现在,让我们继续将问题定义为 MDP。我们已经说过,MDP 的元素是状态、动作、转移矩阵P和奖励R。然后我们必须定义这些元素。我们已经定义了三个州。我们还定义了操作:等待或剪切。我们通过这些来定义转移矩阵Pss’a。它包含系统从一个状态转到另一个状态的机会。我们有两个动作可用(Wait,Cut),所以我们将定义两个转移矩阵。如果我们用p表示火灾发生的概率,那么在等待动作的情况下,我们将得到以下转移矩阵:

现在,让我们分析一下转移矩阵的内容。每一行都与一个状态相关,即行 1 返回从状态 1 开始,它将保持在状态 1 或传递到状态 2 或 3 的概率。事实上,如果我们处于状态 1,我们将有一个概率p保持在该状态,这发生在火灾发生时。始终从状态 1 开始,如果没有发生火灾,我们有剩余的1-p概率移动到下一个状态,即状态 2。由此可知,当从状态 1 开始时,传递到状态 3 的概率等于 0——这是不可能的。

转移矩阵的第 2 行包含从状态 2 开始的转移概率。事实上,从状态 2 开始,如果发生火灾,将有相同的概率p进入状态 1。始终从状态 2 开始,如果没有发生火灾,我们有剩余的1-p概率移动到下一个状态,即状态 3。在这种情况下,保持在状态 2 的概率再次等于 0。

最后,如果我们处于状态 3,如果发生火灾,我们将有一个概率等于p进入状态 1,剩余的1-p概率保持在状态 3,如果没有发生火灾。进入状态 2 的概率等于 0。

现在,让我们在选择切割动作的情况下定义转换矩阵:

在这种情况下,对先前转移矩阵的分析更为直接。事实上,cut 操作在每个实例中将系统的状态设置为 1。因此,概率始终为 1。然后,对于所有其他转换,该 1 进入状态 1 和 0,因为它们不可能。

现在,让我们定义包含奖励的向量;即向量Rss’,我们已经定义过了),从等待动作返回的奖励开始:

等待森林生长的动作将为前两个状态带来 0 的奖励,而状态 3 的奖励将是最大的。状态 3 中的奖励值等于 4,表示系统默认提供的值。让我们看看如果您选择切割动作,奖励向量是如何修改的:

在这种情况下,在状态 1 下砍伐不会带来任何回报,因为树木还不能供应木材。状态 2 的切割会带来奖励,但这低于最大奖励,我们说如果我们在切割前等待三个时段t结束,可以获得最大奖励。如果在第三阶段开始时进行切割,则会出现类似情况。在这种情况下,奖励高于前一状态,但仍低于最大值。

使用 MDPtoolbox 解决管理问题

我们的目标是制定一项政策,允许我们管理这片小小的森林,以获得最大的奖励。我们将使用上一节介绍的MDPtoolbox包,逐行分析代码:

  1. Let's start as always by importing the necessary library:

    import mdptoolbox.example
    

    通过这样做,我们导入了包含本例数据的MDPtoolbox模块。

  2. To begin, we will extract the transition matrix and the reward vectors:

    P, R = mdptoolbox.example.forest()
    

    此命令检索存储在示例中的数据。为了确认数据是否正确,我们从转换矩阵开始打印这些变量的内容:

    print(P[0])
    

    打印以下矩阵:

    [[0.1 0.9 0\. ]
     [0.1 0\.  0.9]
     [0.1 0\.  0.9]]
    

    这是等待动作的转移矩阵。与定义小森林管理示例一节中所述一致,设置了p=0.1,我们可以确认过渡矩阵。

    现在,我们打印与切割动作相关的转移矩阵:

    print(P[1])
    

    打印以下矩阵:

    [[1\. 0\. 0.]
     [1\. 0\. 0.]
     [1\. 0\. 0.]]
    

    该矩阵也与之前定义的一致。现在,让我们检查奖励向量的形状,从等待操作开始:

    print(R[:,0])
    

    让我们看看内容:

    [0\. 0\. 4.]
    

    如果选择切割动作,我们将获得以下奖励:

    print(R[:,1])
    

    将打印以下向量:

    [0\. 1\. 2.]
    

    最后,让我们确定折扣系数:

    gamma=0.9
    

    所有问题数据现已定义。现在,我们可以继续更详细地查看模型。

  3. The time has come to apply the policy iteration algorithm to the problem we have just defined:

    PolIterModel = mdptoolbox.mdp.PolicyIteration(P, R, gamma)
    PolIterModel.run()
    

    mdptoolbox.mdp.PolicyIteration()函数执行折扣 MDP,该 MDP 使用策略迭代算法求解。策略迭代是一种动态规划方法,它采用一个值函数来仿真每对动作状态的预期收益。这些技术在一个称为 bootstrapping 的过程中使用即时奖励和下一个状态的(折扣)值来更新值函数。结果存储在表格中或使用近似函数技术。

    函数从初始的P0策略开始,通过迭代过程更新函数值和策略,交替以下两个阶段:

    • 策略评估:给定当前策略P,估算动作值函数。

    • Policy Improvement: If we calculate a better policy based on the action-value function, then this policy is made the new policy and we return to the previous step.

      当可以精确计算每个动作状态对的值函数时,我们使用贪婪策略改进执行的策略迭代通过返回最优策略而导致收敛。本质上,反复执行这两个过程会使一般过程收敛到最优解。

      mdptoolbox.mdp.PolicyIteration()函数中,我们传递了以下参数:

    • P:转移概率

    • R:奖励

    • gamma: Discount factor

      返回以下结果:

    • V:最优值函数。V是一个S长度向量。

    • 策略:最优策略。策略是一个S长度向量。每个元素都是一个整数,对应于使值函数最大化的操作。在本例中,仅预见两个操作:0=等待,1=切割。

    • iter:迭代次数。

    • time: CPU time used to run the program.

      现在模型已经准备好了,我们必须通过检查获得的策略来评估结果。

      首先,我们检查 value 函数的更新:

      print(PolIterModel.V)
      

      返回以下结果:

      (26.244000000000014, 29.484000000000016, 33.484000000000016)
      

      值函数指定状态对系统的影响程度。此值表示状态为s的系统预期的总奖励。值函数取决于代理为要执行的操作选择的策略。

      让我们继续并提取策略:

      print(PolIterModel.policy)
      

      策略建议系统在给定时间的行为。它映射检测到的环境状态以及处于这些状态时要采取的操作。这与心理学中所谓的刺激反应的一组规则或关联相对应。策略是 MDP 模型的关键元素,因为它定义了行为。返回以下结果:

      (0, 0, 0)
      

      在这里,最好的政策是不要在这三个州都砍伐森林。这是因为发生火灾的概率较低,这导致等待动作是执行的最佳动作。通过这种方式,森林有时间生长,我们可以实现两个目标:维护野生动物的老林,并通过出售砍伐的木材来赚钱。

      让我们看看已经进行了多少次迭代:

      print(PolIterModel.iter)
      

      返回以下结果:

      2
      

      最后,让我们打印 CPU 时间:

      print(PolIterModel.time)
      

      返回以下结果:

      0.12830829620361328
      

      执行数值迭代程序只需 0.13 秒。

改变火灾概率

前面例子的分析阐明了如何从一个适定的问题中得出最优策略。我们现在可以通过改变系统的初始条件来定义一个新问题。在我们示例中提供的默认条件下,发生火灾的概率很低。在这种情况下,我们看到最优政策建议我们等待,而不是砍伐森林。但是如果我们增加了火灾发生的概率呢?这是一个真实的情况;只要想想温暖的地方,特别是受强风影响的地方。要仿真这种新情况,只需通过更改概率值p来更改问题设置。mdptoolbox.example.forest()模块允许我们修改问题的基本特征。让我们开始:

  1. Let's start by importing the example module:

    import mdptoolbox.example
    P, R = mdptoolbox.example.forest(3,4,2,0.8)
    

    与上一节讨论的示例不同,解决管理问题,我们使用了MDPtoolbox,在本例中,我们传递了一些参数。让我们详细分析一下。在mdptoolbox.example.forest ()函数中,我们传递了以下参数(3、4、2、0.8)。让我们分析一下它们的含义:

    3:州数。这必须是大于 0 的整数。

    4:森林处于最古老状态且执行等待动作时的奖励。这必须是大于 0 的整数。

    2:森林处于最古老状态且执行砍伐动作时的奖励。这必须是大于 0 的整数。

    0.8:火灾发生的概率。这必须在[0,1]中。

    通过分析过去的数据,我们可以看到我们确认了前三个参数,而我们只改变了发生火灾的概率,从而将这种可能性从 0.1 增加到了 0.8。

    让我们看看初始数据的变化,因为它改变了转移矩阵:

    print(P[0])
    

    打印以下矩阵:

    [[0.8 0.2 0\. ]
     [0.8 0\.  0.2]
     [0.8 0\.  0.2]]
    

    正如我们所看到的,与等待动作相关联的转移矩阵已经改变。现在,跃迁处于非 1 状态的概率显著降低。这是因为火灾发生的概率很高。让我们看看当过渡矩阵链接到切割动作时会发生什么:

    print(P[1])
    

    打印以下矩阵:

    [[1\. 0\. 0.]
     [1\. 0\. 0.]
     [1\. 0\. 0.]]
    

    该矩阵保持不变。这是由于剪切操作的结果,该操作将系统返回到其初始状态。同样,奖励向量可能会保持不变,因为传递的奖励与默认问题提供的奖励相同。让我们打印这些值:

    print(R[:,0])
    

    这是连接到等待操作的奖励向量。将打印以下向量:

    [0\. 0\. 4.]
    

    在切割动作的情况下,将重新调整以下向量:

    print(R[:,1])
    

    将打印以下向量:

    [0\. 1\. 2.]
    

    正如预期的那样,没有任何变化。最后,让我们确定折扣系数:

    gamma=0.9
    

    所有问题数据现在都已定义。现在,我们可以继续更详细地查看模型。

  2. We will now apply the value iteration algorithm:

    PolIterModel = mdptoolbox.mdp.PolicyIteration(P, R, gamma)
    PolIterModel.run()
    

    现在,我们可以从 value 函数开始提取结果:

    print(PolIterModel.V)
    

    将打印以下结果:

    (1.5254237288135597, 2.3728813559322037, 6.217445225299711)
    

    现在,让我们分析问题的关键部分:让我们看看仿真模型向我们建议了什么策略:

    print(PolIterModel.policy)
    

    将打印以下结果:

    (0, 1, 0)
    

    在本例中,与默认示例相比,我们在这里所做的更改是实质性的。如果我们处于状态 1 和状态 3,建议我们采取等待行动,而如果我们处于状态 2,则建议尝试砍伐森林。由于发生火灾的可能性很高,因此在火灾完全摧毁之前,切割现有木材并将其出售是很方便的。

    然后,我们打印问题的迭代次数:

    print(PolIterModel.iter)
    

    将打印以下结果:

    1
    

    最后,我们打印 CPU 时间:

    print(PolIterModel.time)
    

    将打印以下结果:

    0.14069104194641113
    

    这些示例强调了通过使用 MDP,管理问题的建模过程是多么简单。

采用蒙特卡罗仿真法安排项目时间

每个项目需要一个实现的时间,有些活动的开始可以是独立的,也可以依赖于以前的活动结束。计划项目意味着确定项目本身的实现时间。项目是为创造独特的产品、服务或结果而进行的临时工作。术语项目****管理是指运用知识、技能、工具和技术来规划、管理和控制项目及其组成的活动。

该领域的关键人物是项目经理,其任务和责任是协调和控制相关的各个组成部分和参与者,以降低项目失败的概率。这一系列活动的主要困难在于,要实现根据项目范围、时间、成本、质量和资源等约束条件设定的目标。事实上,这些都是相互关联的有限方面,需要进行有效的优化。

这些活动的定义是规划阶段的关键时刻之一。在确定了项目的时间、成本和资源目标后,有必要确定并记录成功完成项目所必须进行的活动。

对于复杂的项目,有必要通过将项目分解为更简单的任务来创建有序的结构。对于每个任务,都需要定义活动和执行时间。这从主要目标开始,并将项目分解到构成项目的所有可交付成果或主要子项目的较低级别。

反过来,这些将被分解。这将一直持续到您对最终项目的详细程度感到满意为止。每一次细分都会降低相关方的规模、复杂性和成本。

定义调度网格

所有项目管理的一个基本部分是构建调度网格。这是一个定向图,表示项目实现中涉及的活动之间的时间顺序和逻辑依赖关系。除了构建网格外,调度过程还根据持续时间、资源等因素确定活动的开始和结束时间。

在我们正在处理的示例中,我们将考虑评估实现复杂项目所需的时间。让我们从定义调度网格开始。假设通过分解项目结构,我们定义了六个任务。对于每个任务,定义了活动、涉及的人员以及完成工作所需的时间。

某些任务必须以一系列的方式执行,即必须完成上一个任务的活动,以便可以开始下一个任务的活动。然而,其他任务可以并行执行,即两个团队可以同时处理两个不同的任务,以缩短项目交付时间。该任务序列在调度网格中定义如下:

Figure 10.2 – Sequence of tasks in the grid

图 10.2–网格中的任务顺序

上图显示了前两个任务是并行开发的,这意味着完成这两个任务所需的时间将由耗时的任务提供。第三项任务是一系列的,而下两项任务又是并行的。最后一项任务仍在本系列中。当我们评估项目时间时,这一顺序是必要的。

估计任务的时间

这些任务的持续时间通常很难估计,因为有许多因素可以影响任务的持续时间:资源的可用性和/或生产率、活动之间的技术和物理限制以及合同承诺。

在任何可能的情况下,都可以使用由历史信息支持的专家建议。项目团队成员还将能够通过从类似项目中获取信息,提供关于任务持续时间或最大建议期限的信息。

有几种方法可以估计任务。在本例中,我们将使用三点估计。在三点估计中,可以根据原始估计中的风险量提高活动估计持续时间的准确性。三点估算基于确定以下三种类型的估算:

  • 乐观:活动的持续时间基于与最可能估计中描述的情况相关的最佳情景。这是完成任务所需的最短时间。
  • 悲观:活动的持续时间基于与最可能估计中描述的情况相关的最坏情况。这是完成任务所需的最长时间。
  • 更有可能:活动的持续时间基于对计划活动可用性的现实预期。

可以使用三个估计持续时间的平均值来构建活动持续时间的第一个估计值。该平均值通常比更可能的单一值估计值更准确地估计活动的持续时间。但这不是我们想要做的。

假设项目团队对这六项任务中的每一项都使用了三点估计。下表显示了团队建议的时间:

在定义了任务的顺序和执行每个单独任务所需的时间之后,我们可以开发一个算法来估计项目的总体时间。

开发项目调度算法

在本节中,我们将分析基于蒙特卡罗仿真的项目调度算法。我们将逐行详细介绍所有命令:

  1. Let's start by importing the libraries that we will be using in the algorithm:

    import numpy as np
    import random
    import pandas as pd
    

    numpy是一个 Python 库,其中包含许多函数,可帮助我们管理多维矩阵。此外,它还包含大量高级数学函数,我们可以在这些矩阵上使用这些函数。

    random库为各种分布实现伪随机数生成器。random模块基于 Mersenne Twister 算法。

    pandas库是一个开放源码的 BSD 许可库,其中包含可用于为 Python 编程语言操作高性能数值的数据结构和操作。

  2. Let's move on and initialize the parameters and the variables:

    N = 10000
    TotalTime=[]
    T =  np.empty(shape=(N,6)) 
    

    N表示我们生成的点数。这些是帮助我们定义任务时间的随机数。TotalTime变量是一个列表,其中包含完成项目所需总时间的N评估。最后,T变量是一个包含N行和六列的矩阵,将包含完成每个单独任务所需时间的N评估。

  3. Now, let's set the three-point estimation matrix, as defined in the table in the Estimating the task's time section:

    TaskTimes=[[3,5,8],
               [2,4,7],
               [3,5,9],
               [4,6,10],
               [3,5,9],
               [2,6,8]]
    

    此矩阵包含六项任务中每一代表行的三次:乐观、更有可能和悲观。

在这一点上,我们必须确定我们打算采用的时间分配形式。

探索三角分布

在开发仿真模型时,有必要引入概率事件。通常,仿真过程在您获得有关输入数据行为的足够信息之前开始。这迫使我们决定分配。适用于不完整数据的是三角分布。当可以对最小值和最大值以及模态值进行假设时,使用三角形分布。

重要提示

概率分布是一种数学模型,它将变量的值与观察到这些值的概率联系起来。概率分布用于仿真与参考人群或研究者观察给定样本的所有案例相关的感兴趣现象的行为。

第 3 章【概率和数据生成过程中,我们分析了最广泛使用的概率分布。当随机变量定义在一定范围内,但有理由相信置信度从中心到极值呈线性下降时,存在所谓的三角分布。这种分布对于计算测量不确定性非常有用,因为在许多情况下,这种类型的模型可能比均匀模型更现实。

让我们考虑一下我们正在分析的项目的第一个任务。为此,我们定义了三次:乐观(3)、更有可能(5)和悲观(8)。我们画了一张图表,其中我们在横坐标上报告了这三次,并在纵坐标上报告了它们出现的概率。使用三角概率分布,事件发生的概率介于极限值之间,在我们的例子中,这是乐观和悲观的。我们这样做的同时假设最大值与更可能出现的值对应。对于我们一无所知的中间值,假设概率从乐观到更有可能线性增加,然后总是从更有可能到悲观线性减少,如下图所示:

Figure 10.3 – Probability graph

图 10.3–概率图

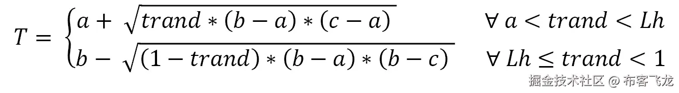
我们的目标是使用在区间(0,1)内均匀分布的随机变量对每个单独任务的时间进行建模。如果我们用trand表示该随机变量,那么三角分布允许我们评估任务在该时间内结束的概率。在三角形分布中,我们确定了两个横坐标与 x=c 相同的三角形。此值用作分布假定的两个值之间的分隔符。让我们用Lh来表示它。由以下公式得出:

在上一个等式中,我们有以下等式:

  • a:乐观时刻
  • b:悲观时间
  • c:更有可能的时间

这就是说,我们可以根据三角形分布,通过以下等式产生变化:

前面的方程式允许我们进行蒙特卡罗仿真。让我们看看如何:

  1. First, we generate the separation value of the triangular distribution:

    Lh=[]
    for i in range(6):
        Lh.append((TaskTimes[i][1]-TaskTimes[i][0])
                 /(TaskTimes[i][2]-TaskTimes[i][0]))
    

    在这里,我们初始化一个列表,然后用一个for循环填充它,该循环迭代六个任务,并为每个任务计算Lh的值。

    现在,我们使用两个for循环和一个if条件结构来开发蒙特卡罗仿真:

    for p in range(N):
        for i in range(6):
            trand=random.random()
            if (trand < Lh[i]):
                T[p][i] = TaskTimes[i][0] + 
                       np.sqrt(trand*(TaskTimes[i][1]-  
                       TaskTimes[i][0])*
                       (TaskTimes[i][2]-TaskTimes[i][0]))
            else:
                T[p][i] = TaskTimes[i][2] – 
                       np.sqrt((1-trand)*(TaskTimes[i][2]-
                       TaskTimes[i][1])*
                      (TaskTimes[i][2]-TaskTimes[i][0]))
    

    第一个for循环继续生成随机值N次,第二个循环用于对六个任务进行评估。另一方面,条件结构if用于区分与Lh值不同的两个值,以便它可以使用我们之前定义的两个方程。

    最后,对于N次迭代中的每一次,我们计算项目执行的总时间估算值:

    TotalTime.append( T[p][0]+        
                     np.maximum(T[p][1],T[p][2]) + 
                     np.maximum(T[p][3],T[p][4]) + T[p][5])
    

    对于总时间的计算,我们参考定义调度网格部分中定义的调度网格。这个过程很简单:如果任务以一系列的方式展开,那么您可以将时间相加,而如果它们以并行方式展开,那么您可以在任务的时间中选择最大值。

  2. Now, let's take a look at the values we have attained:

    Data = pd.DataFrame(T,columns=['Task1', 'Task2', 'Task3', 
                                  'Task4', 'Task5', 'Task6'])
    pd.set_option('display.max_columns', None)  
    print(Data.describe())
    

    对于使用蒙特卡罗方法估计的时间的详细统计信息,我们将包含时间的矩阵(Nx6转换为数据帧。原因是pandas库具有有用的函数,允许我们立即从数据集中提取详细的统计数据。事实上,我们可以通过使用describe()函数使用只需一行代码就可以做到这一点。

    describe()函数生成一系列描述性统计数据,返回有关数据集分散度和分布形式的有用信息。

    pandasset.option()函数用于显示矩阵的所有统计信息,而不是默认情况下显示矩阵的一部分。

    返回以下结果:

    Figure 10.4 – Values of the DataFrame

    图 10.4–数据帧的值

    通过分析这些统计数据,我们确认估计时间介于问题施加的极限值之间:乐观和悲观。事实上,最小和最大时间非常接近这些值。此外,我们可以看到标准偏差非常接近单位。最后,我们可以确认我们已经生成了 10000 个值。

    我们现在可以追踪时间值分布的直方图,以分析其形式:

    hist = Data.hist(bins=10)
    

    打印以下图表:

    Figure 10.5 – Histograms of the values

    图 10.5–值的直方图

    通过分析前面的图表,我们可以确认时间估计的三角形分布,正如我们在计算开始时施加的。

  3. At this point, we only need to print the statistics of the total times. Let's start with the minimum value:

    print("Minimum project completion time = ",
                            np.amin(TotalTime))
    

    返回以下结果:

    Minimum project completion time =  14.966486785163458
    

    让我们分析一下平均值:

    print("Mean project completion time = ",np.mean(TotalTime))
    

    返回以下结果:

    Mean project completion time =  23.503585938922157
    

最后,我们将打印最大值:

print("Maximum project completion time = ",np.amax(TotalTime))

将打印以下结果:

Maximum project completion time =  31.90064194829465

通过这种方式,我们获得了基于蒙特卡罗仿真完成项目所需时间的估计值。

总结

在本章中,我们讨论了几个基于项目管理相关模型的实际模型仿真应用。首先,我们研究了项目管理的基本要素,以及如何仿真这些因素来检索有用的信息。

接下来,我们解决了为木材贸易经营一个小森林的问题。我们将该问题视为 MDP,总结了这些过程的基本特征,然后对其进行了实际讨论。我们定义了问题的要素,然后了解了如何使用政策评估和政策改进算法来获得最佳森林管理政策。这个问题是通过使用 Python 提供的MDPtoolbox包解决的。

随后,我们讨论了使用蒙特卡罗仿真评估项目执行时间的问题。首先,我们通过指定哪些任务串联执行,哪些任务并联执行来定义任务执行图。因此,我们通过三点估计介绍了每个任务的时间。在此之后,我们了解了如何使用每个阶段的随机评估,以三角形分布对项目的执行时间进行建模。最后,我们对整个项目时间进行了 10000 次评估。

在下一章中,我们将总结前面几章中介绍的仿真建模过程。然后,我们将探讨在现实生活中使用的主要仿真建模应用程序。最后,我们将发现有关仿真建模的未来挑战。

十一、下一步是什么?

在本章中,我们将总结本书到目前为止所涵盖的内容,以及从这一点开始接下来的步骤。您将学习如何将所获得的所有技能应用到其他项目中,以及如何在构建和部署仿真模型以及数据科学家使用的其他常见技术方面应对现实生活中的挑战。在本章结束时,您将更好地了解与构建和部署仿真模型相关的问题,以及您可以学习的其他资源和技术,以提高您的机器学习技能。

在本章中,我们将介绍以下主要主题:

  • 仿真建模概念综述
  • 将仿真模型应用于现实生活
  • 仿真建模的下一步

总结仿真建模概念

在无法开发出能够有效地表示现象的数学模型的情况下,仿真模型非常有用,它仿真真实过程随时间执行的操作。仿真过程包括生成待分析系统的人工历史;随后,通过对这段人工历史的观察,可以追踪有关系统自身运行特性的信息,并据此做出决策。

使用仿真模型作为辅助决策过程的工具由来已久,并在各个领域得到广泛应用。仿真模型用于研究系统随时间的行为,并基于对系统行为的一组假设(使用数学逻辑符号关系表示)构建。这些关系是构成系统的各种实体之间的关系。模型的目的是仿真系统中的变化,并预测这些变化对真实系统的影响。例如,它们可以在模型实际构建之前的设计阶段使用。

重要提示

使用数学方法解析简单模型。解决方案由一个或多个参数组成,称为行为****度量。复杂模型在计算机上进行数值仿真,其中数据被视为来自真实系统。

让我们总结一下我们可以用来开发仿真模型的工具。

生成随机数

在仿真模型中,最终应用程序的质量严格取决于生成高质量随机数的可能性。在一些算法中,决策是基于随机选择的值做出的。随机数的定义包括通过指定其特征的连接的随机过程的定义。一个随机数的出现是因为我们不知道它是如何产生的,但一旦定义了它产生的规律,我们就可以随时复制它。

确定性算法不允许我们生成随机数序列,而只是使伪随机序列生成成为可能。伪随机序列与随机序列在严格意义上的区别在于它们是可重复的,因此是可预测的。

有多种算法可用于生成伪随机数。在第 2 章理解随机性和随机数中,我们详细分析了以下内容:

  • 线性同余生成器LCG):该使用分段不连续线性方程生成伪随机数序列。
  • 滞后斐波那契发生器LFG):这是基于斐波那契序列的推广。

更具体的方法被添加到这些方法中,以生成随机数的均匀分布。下图显示了 1000 个随机数在 1-10 范围内的均匀分布:

Figure 11.1 – A graph of the distribution of random numbers

图 11.1–随机数分布图

我们分析了以下两种方法,这两种方法都可以用于从随机数的均匀分布出发推导一般分布:

  • **逆变换抽样方法:**该方法采用逆累积分布生成随机数。
  • **接受-拒绝方法:**该方法使用其密度函数图下区域内的样本。

伪随机序列返回在每个间隔中均匀分布的整数,重复周期很长,序列的一个元素与下一个元素之间的相关性很低。

为了自我评估生成随机数时获得的技能,我们可以尝试为宾果卡生成器编写一些 Python 代码。在这里,我们只是将数字限制在 1 到 90 之间,并且确保数字不能重复,并且可能性相同。第二章

应用蒙特卡罗方法

蒙特卡罗仿真是一种基于概率程序的数值方法。Vine 在统计学中被广泛用于解决存在分析困难的问题,而这些问题在其他方面并不难克服。该方法基于使用随机数对指定的概率分布进行抽样的可能性。它根据指定的概率生成分布的事件序列。实际上,不是使用随机抽取的数字样本,而是使用通过定义良好的迭代过程获得的数字序列。这些数字被称为伪随机数,因为尽管它们不是随机数,但它们的统计特性与真正的随机数相似。许多仿真方法可归因于蒙特卡罗方法,其目的是确定复杂随机现象的典型参数。

下图描述了从一组随机数分布到蒙特卡罗仿真的过程:

Figure 11.2 – Procedure of a Monte Carlo simulation, starting from a series of distributions of random numbers to one

图 11.2–蒙特卡罗仿真程序,从一系列随机数分布到一

蒙特卡罗方法本质上是一种计算随机变量期望值的数值方法;即,无法通过直接计算轻松获得的期望值。为了获得这一结果,蒙特卡罗方法基于统计学的两个基本定理:

  • 大数定律:许多随机因素的同时作用导致实质上的确定性效应。
  • 中心极限定理:具有相同分布特征的多个独立随机变量之和,无论初始分布如何,都近似为正态。

蒙特卡罗仿真用于研究模型对随机生成输入的响应。

解决马尔可夫决策过程

马尔可夫过程是离散的随机过程,其中到下一状态的转换完全取决于当前状态。因此,它们可以称为无记忆的随机过程。马尔可夫过程的典型要素是系统发现自己的状态,以及决策者可以在该状态下执行的可用操作。这些元素确定了两组:可以在其中找到系统的状态集,以及可用于每个特定状态的操作集。决策者选择的行动决定了系统的随机响应,从而使系统进入新状态。此转换返回一个奖励,决策者可以使用该奖励来评估他们的选择,如下图所示:

Figure 11.3 – Reward returned from the transition states

图 11.3–从过渡状态返回的奖励

奖励的概念对系统未来的选择至关重要,它代表了环境对所采取行动的反应。这种反应与行动在实现目标中所决定的权重成正比:如果它导致正确的行为,它将是积极的,而如果错误的行动,它将是消极的。

马尔可夫过程中的另一个基本概念是策略:策略决定系统在决策过程中的行为。它映射了环境的状态和在这些状态下要选择的动作,代表了一组对刺激做出反应的规则或关联。在马尔可夫决策模型中,策略提供了一种解决方案,将推荐的操作与代理可以实现的每个状态相关联。如果策略在可能的操作中提供了最高的预期效用,则称为最优策略。这样,系统就不必将以前的选择保存在内存中。要做出决策,它只需要执行与当前状态关联的策略。

现在,让我们考虑一个实际应用的过程,可以根据马尔可夫模型进行处理。在小型工业中,操作机器连续工作。但是,有时由于备件的磨损,产品质量不再允许,因此必须中断活动并进行复杂的维护。据观察,劣化发生在平均 40 天的指数运行时间Tm之后,而维护需要平均 1 天的指数随机时间。如何用马尔可夫模型来描述该系统,以计算在稳定状态下找到工作机器的概率?

该公司无法承受机器的停机时间,因此它保留了第二台机器,以便在第一台机器需要维护时立即使用。然而,第二台机器的质量较低,因此它在平均 5 天的指数随机工作时间后会发生故障,并且需要平均 1 天的指数时间才能重新启动。一旦主机重新启动,辅助机器的使用即停止。如果二次回路在主回路重新启动前发生故障,则维修团队坚持只使用主回路,只有在主回路重新启动后,才对二次回路进行维护。如何用马尔可夫模型来描述系统,计算两台机器停止时的稳态概率?

想一想你如何利用从本书中获得的知识回答这些问题。

分析重采样方法

在重采样方法中,从原始数据集中随机或根据系统程序提取数据子集。其目的是通过减少系统资源的使用来近似样本分布的特征。

重采样方法是重复多次简单操作的方法,生成要分配给随机变量或随机样本的随机数。在这些操作中,随着重复操作数量的增加,它们需要更多的计算时间。它们是非常简单的实现方法,一旦实现,它们将是自动的。

这些方法从初始数据生成虚拟数据集,并从其在所有虚拟数据集上的可变性评估统计特性的可变性。这些方法在生成虚拟数据集的方式上彼此不同。在下图中,您可以看到一些由初始随机分布生成的数据集:

Figure 11.4 – Examples of datasets generated by an initial random distribution

图 11.4–初始随机分布生成的数据集示例

不同的重采样方法可用。在本书中,我们分析了以下方法:

  • Jackknife 技术:Jackknife 基于计算各种子样本的感兴趣统计数据,一次只留下一个样本观察。刀切估计对于各种样本统计是一致的,例如均值、方差、相关系数、最大似然估计等。
  • bootstrap:bootstrap 方法的逻辑是构建未观察到的样本,但在统计上与观察到的样本相似。这是通过提取过程对观测序列重新采样实现的,我们在提取过程中重新插入观测值。
  • 置换试验:置换试验是随机试验的一种特殊情况,使用从统计推断得出的一系列随机数。现代计算机的计算能力使其广泛应用成为可能。这些方法不需要满足关于数据分布的假设。
  • 交叉验证技术:交叉验证是一种基于预测准确性原则的模型选择程序中使用的方法。样本分为两个子集,第一个子集(训练集)用于构建和估计,第二个子集(验证集)用于验证估计模型预测的准确性。

如果并非所有人口要素都可用,则使用抽样。例如,对过去的调查只能根据现有的历史数据进行,而这些数据往往是不完整的。

探索数值优化技术

许多被广泛用于解决实际问题的应用程序使用优化方法来大幅减少资源的使用。使选择的成本最小化或利润最大化是允许我们管理众多决策过程的技术。数学优化模型是优化方法的一个例子,在这个例子中,简单的方程和不等式允许我们表达评估,并避免作为替代方法特征的约束。

任何仿真算法的目标都是减少模型预测值与数据返回的实际值之间的差异。这是因为实际值和期望值之间的误差较小,表明该算法的仿真效果良好。减少这种差异仅仅意味着最小化正在构建的模型所基于的目标函数。

在本书中,我们介绍了以下优化方法:

  • 梯度下降:该方法是针对无约束极小化提出的第一批方法之一,其基础是使用与梯度方向相反的搜索方向或反梯度。与梯度相反的方向的有趣之处在于,如果梯度是连续的,则它构成下降方向,当且仅当到达的点是一个静止点时,下降方向被取消。
  • 牛顿-拉斐逊:此方法用于求解数值优化问题。在这种情况下,方法采用牛顿法求函数零点的形式,但适用于函数的导数。这是因为确定函数的最小点相当于确定一阶导数的根。
  • 随机梯度下降:该方法通过引入梯度函数的近似值来解决目标函数的评估问题。在每一步中,梯度的计算仅在数据集的随机子集中使用,而不是与数据集中包含的数据相对应地计算梯度的总和。

采用人工神经网络进行仿真

人工神经网络ANN)是为再现人脑的一些简单神经活动而开发的数值模型,如物体识别和语音识别。神经网络的结构由节点组成,这些节点与人脑中的神经元类似,通过加权连接相互连接,从而复制神经元之间的突触。系统输出将更新,直到通过连接权重迭代收敛。从实验活动中获得的信息被用作输入数据,结果由网络处理并作为输出返回。输入节点表示我们需要的预测变量,以便处理表示输出神经元的因变量。下图显示了人工神经元的功能:

Figure 11.5 – Functionality of an artificial neuron

图 11.5–人工神经元的功能

ANN 的目标是计算所有神经元输出的结果。这意味着 ANN 是一组数学函数近似值。这种类型的模型可以仿真真实系统的行为,例如在模式识别中。这是将模式/信号分配给类的过程。神经网络通过训练课程识别模式,在训练课程中,一组训练模式被反复呈现给网络,并且它们所属的每个类别都被指定。当呈现一个以前从未见过但属于其已学习模式类别的模式时,网络将能够根据从训练数据中提取的信息对其进行分类。每个模式代表多维决策空间中的一个点。该空间被划分为多个区域,每个区域都与一个类相关联。这些区域的边界由网络通过训练过程确定。

现在,我们已经回顾了本书中学习到的所有概念,让我们看看如何将它们应用于现实世界中的挑战。

将仿真模型应用于现实生活

我们在本书中详细分析的算法代表了仿真真实系统的有效工具。这就是为什么它们在现实生活中被广泛用于研究一种现象的可能演变,并遵循对其作出的可能选择。

让我们看一些具体的例子。

医疗建模

在医疗保健领域,仿真模型具有重要的权重,被广泛用于仿真系统的行为以提取知识。例如,在进行经济分析之前,有必要证明所考虑的健康干预措施的临床疗效。最佳可用来源是随机对照试验。然而,试验往往被设计为忽略经济方面,因此经济评估的关键参数通常是不存在的。因此,需要一种方法来评估疾病进展的影响,以限制成本-效果分析中的偏差。这意味着建立一个数学模型,描述疾病的自然史、干预措施对疾病自然史的影响以及成本和目标方面的结果。

最常用的技术是外推、决策分析、马尔可夫模型和蒙特卡罗仿真:

  • 在外推法中,短随访期的试验结果在试验结束后被外推,并考虑各种可能的情景,一些更乐观的情况,其中假定与干预相关的益处随着时间的推移是恒定的。
  • 马尔可夫模型经常用于药物经济学评价,尤其是在政府组织提出了许多成本效益评价要求之后。
  • 计算治疗方案的成本和收益的另一种方法是蒙特卡罗仿真。与马尔可夫模型一样,即使在蒙特卡罗仿真中,也定义了精确的健康状态和转移概率。然而,在这种情况下,基于转移概率和随机数生成器的结果,为每个患者构建一条路径,直到患者自身达到模型设想的最终健康状态。这一过程通常在非常大的群体(甚至 10000 例)中对每个患者重复,从而提供生存时间和相关成本的分布。使用该模型获得的成本和收益的平均值与我们应用马尔可夫模型计算的值非常相似。
  • 然而,蒙特卡罗仿真还提供了频率分布和方差估计,这允许您评估模型本身结果的不确定性水平。事实上,蒙特卡罗仿真通常用于对应用马尔可夫模型得出的结果进行敏感性分析。

金融应用中的建模

蒙特卡罗仿真通常用于预测各种金融工具的未来价值。然而,正如前面强调的,最好强调这种预测方法仅作为一种估计,因此不能提供准确的结果值。该方法的主要金融应用涉及定价期权(或一般衍生品)和评估证券投资组合和金融项目。从这一点上,很明显,他们提出了一个类比的元素。

事实上,期权、投资组合和金融项目的价值受到许多不确定性来源的影响。所讨论的仿真不适用于任何金融工具的评估。股票和债券等证券通常不采用这种方法进行估值,正是因为它们的价值从属于数量较少的不确定性来源。

另一方面,期权是衍生证券,其价值受基础功能(可能具有最多不同的内容)和众多其他因素(利率、汇率等)的影响。蒙特卡罗仿真允许您为每个变量生成伪随机值,并为所需选项指定一个值。然而,应注意的是,蒙特卡罗方法只是期权定价可用的方法之一。

继续金融工具类别,投资组合是不同证券的集合,通常具有不同的性质。投资组合面临各种风险源。现代金融中介机构的运营需求导致了旨在监控其投资组合整体风险敞口的计算方法的出现。在这种情况下,主要的方法是风险值(VaR),通常使用蒙特卡罗仿真进行计算。

最终,当一家公司必须评估一个项目的盈利能力时,它必须将该项目的成本与产生的收入进行比较。初始成本通常(但不一定)是确定的。然而,产生的现金流几乎是先验的。蒙特卡罗方法允许我们通过将伪随机值归因于各种现金流来评估项目的盈利能力。

物理现象建模

物理模型的仿真允许您通过更改其参数对模型进行测试,从而对模型进行试验。因此,模型的仿真允许您试验模型的各种可能性,以及模型如何作为我们想法的试验和组织框架的限制。当模型工作时,可以移除脚手架。在这种情况下,也许它站起来了,或者发现了新的东西。在构建模型时,参考概念和知识,通过这些概念和知识,可以正式表示现象的真实性。

正如没有单一的方式来面对和解决问题,也没有单一的方式来构建描述给定现象行为的模型。对现实的数学描述努力保持对代表物理现象的无限、复杂和相关方面的考虑。如果对于一个物理现象来说困难已经很大,那么对于一个生物现象来说,困难就更大了。

在相关变量和非相关变量之间进行选择的需要导致这些变量之间的区别。做出这个选择要感谢想法、知识和研究模型的人所来自的学校。

随机现象渗透到日常生活中,并成为包括数学和物理在内的各个科学领域的特征。从上世纪中叶开始,随着蒙特卡罗方法的形成,对这些现象的解释经历了一次复兴。这一里程碑的实现得益于对连锁反应中神经元行为的研究与第一台计算机在电子领域取得的成果的交叉。如今,基于随机数生成的仿真方法在物理学中得到了广泛的应用。

量子力学的关键之一是确定系统的能谱。这个问题,尽管有一些复杂的情况,可以在非常简单的系统中解析地解决。然而,在大多数情况下,不存在解析解。因此,需要开发和实施能够解决描述量子系统的微分方程的数值方法。近几十年来,由于技术的发展和计算能力的巨大增长,我们能够以难以置信的高精度描述各种现象。

公共交通建模

近年来,对车辆交通相关问题的分析在努力发展城市内部和道路上的良好交通方面发挥着越来越重要的作用。今天的运输系统需要一个优化过程,该过程与为需求提供具体解决方案的开发相协调。通过更好的交通规划,在城市中生产更少的汽车和更多的停车机会的过程应该会减少拥堵。

事实上,严重减速和拥堵的城市交通不仅会因平均出行量的增加而给驾车者带来不便,还会降低道路交通的安全性,增加大气和噪声污染。

导致交通量增加的原因有很多,但最重要的当然是整体交通需求的强劲增长;这一增长是由于不同性质的因素造成的,如汽车的大量扩散、工业和城市地区的分散化以及公共交通服务的经常缺乏。

为了试图解决城市交通问题,我们需要谨慎的基础设施管理和交通网络规划方案。一个重要的规划工具可以是交通系统模型,它基本上允许我们评估交通网络干预对交通系统的影响,同时也允许我们比较不同的设计方案。通过使用仿真工具,我们可以快速、经济地评估一些决策或行为问题,而这些问题不可能在真实系统上进行实验。这些仿真模型为交通部门的技术人员和决策者提供了一个有效的工具,用于评估替代设计选择的影响。这些模型允许详细分析在地方一级规划的解决方案。

有可用的仿真工具,使我们能够准确、具体地描述交通及其瞬间演变,同时考虑基础设施的几何方面和驾驶员的真实行为,这两者都与车辆和驾驶员的特征有关。仿真模型允许以较小的规模表示,因此成本相对较低,以及与新项目开发相关的影响和后果。由于不再考虑单个车辆的运动特征(流量、密度和速度),微观仿真提供了该现象的动态视觉。

仿真人类行为

在火灾或一般紧急情况下,对人类行为的研究存在着难以克服的困难,因为许多需要了解其数据的情况无法在实验室环境中仿真。此外,从没有意外或焦虑效应(如压力)的练习中得出的数据的可靠性,以及真实情况下可能发生的恐慌的可能性,可以认为是相对的。最重要的是,人类行为的复杂性使得很难预测对消防安全有用的数据。

科学家进行的研究表明,人们在危险和紧急情况下的行为是非常不同的。事实上,研究表明,在疏散过程中,人们通常会做与逃离火灾无关的事情,而这些事情可能占个人离开大楼所需时间的三分之二。人们通常想在撤离前知道发生了什么,因为警报不一定能传达很多有关情况的信息。

拥有一个能够再现危险情况的仿真模型对于分析人们在这种情况下的反应非常有用。一般来说,仿真疏散的模型以三种不同的方式解决这个问题:优化、仿真和风险评估。

每种方法的基本原理都会影响每种模型的特性。许多模型假设居住者尽可能高效地疏散建筑物,忽略次要活动和与疏散无关的活动。疏散期间选择的逃生路线以及人流和出口的特征被认为是最佳的。考虑大量人的模型,并将居住者作为一个同质整体,因此不考虑个体的具体行为,趋向于这些方面。

仿真建模的下一步

在人类历史的大部分时间里,人们有理由认为,当你死后,世界将不会与你出生时有显著的不同。在过去 300 年中,这一假设越来越过时。这是因为技术进步在不断加快。技术进步转化为比前一代更好的下一代产品。因此,该产品是开发下一阶段进化过程的更高效和有效的方法。这是一个正反馈电路。换句话说,我们正在使用更强大、更快的工具来设计和构建更强大、更快的工具。因此,进化过程的进展速度随着时间呈指数级增长,而速度、经济性和总体实力等好处也随着时间呈指数级增长。随着进化过程变得更加有效和/或高效,更多的资源被用来鼓励这一过程的进展。这转化为第二级指数增长;也就是说,指数增长率本身呈指数增长。

这一技术进步也影响到数值仿真领域,必须与用户对更高性能和更简单模型的需求进行比较。仿真模型的开发需要模型构建、实验和分析方面的重要技能。如果我们想取得进展,我们需要对模型构建过程进行重大改进,以满足决策环境的需求。

提高计算能力

数值仿真由计算机执行,因此更高的计算能力使仿真过程更有效。计算能力的演变受摩尔定律的制约,该定律以英特尔创始人的名字命名,该创始人预测了计算能力演变的最重要定律之一:每 18 个月,芯片产生的计算能力就会翻倍,而价格则会减半。

说到数值仿真,计算能力就是一切。今天的硬件架构与几年前没有太大的不同。唯一真正改变的是处理信息的能力。在数值仿真中,信息是经过处理的:情况越复杂,涉及的变量越多。

根据摩尔定律,中央处理器CPU)的进化始终满足了软件执行所需的不断增长的处理能力和输入数据量的增加。然而,最近,CPU 计算能力的增长已经放缓,编程平台的发展提出了新的性能要求,这些性能要求与这些 CPU 的霸主地位形成了强烈的不连续性,新的硬件体系结构在服务器和设备端的强扩散。此外,智能应用程序的分布日益扩大,需要为各种计算平台开发特定的体系结构和硬件组件。

创建了图形处理单元GPU)以执行繁重而复杂的计算。它们由数千个小型高效内核组成的并行体系结构组成,设计用于同时管理多个操作。现场编程网关阵列FPGA)架构为集成电路,设计为在生产后根据客户具体要求进行配置。FPGA 包含一系列可编程逻辑块和可重新配置互连的层次结构,允许这些块“连接在一起”

硬件的进步不仅影响计算能力,还影响存储容量。我们无法在没有物理位置容纳信息的情况下以 1 GBps 的速度发送信息。如果不存储几 TB 大小的数据集,我们就无法训练仿真体系结构。创新意味着通过利用不断提高效率的组件,发现以前没有的机会。创新意味着看看通过将三个加速器的更高性能版本结合起来可以做些什么。

基于机器学习的模型

机器学习是计算机科学的一个领域,它允许计算机学习执行任务,而不必为执行任务明确编程。机器学习是从人工智能领域的模式识别和理论计算学习研究发展而来的,它探索了算法的研究和构造,使计算机能够从可用数据中学习信息,并根据所学知识预测新信息。通过建立一个模型,自动学习从观察中预测新数据,这些算法克服了严格静态指令的经典范例。机器学习主要用于设计和实现特别算法不可行或不方便的计算问题。

机器学习与数值仿真领域有着深刻的联系,它提供了方法、理论和应用领域。事实上,许多机器学习问题都是关于最小化特定示例集(训练集)的损失函数的问题。此函数表示训练期间模型预测的值与每个示例的预期值之间的差异。最终目标是开发一个能够在一组前所未有的实例中正确预测预期值的模型,从而最小化损失函数。这就导致了预测技能的更广泛应用。

不同的机器学习任务通常分为三大类,其特征是学习系统基于的反馈类型:

  • 监督学习:将样本输入和期望输出呈现给计算机,目的是学习能够将输入映射到输出的一般规则。
  • 无监督学习:计算机只提供输入数据,没有任何预期的输出,目的是学习输入数据中的某些结构。无监督学习可以表示一个目标或目的,即推断出对执行另一个机器学习任务有用的数据的显著特征。
  • 强化学习:计算机与动态环境交互,在动态环境中必须达到一定的目标。当计算机探索问题的领域时,它会得到奖励或惩罚方面的反馈,以便引导它找到最佳解决方案。

下图显示了不同类型的机器学习算法:

Figure 11.6 – Different types of machine learning algorithms

图 11.6–不同类型的机器学习算法

仿真模型的自动生成

自动机器学习自动 ML定义了可以自动化应用机器学习的端到端过程的应用程序。通常,技术专家在将数据提交给机器学习算法之前,必须通过一系列初步程序对数据进行处理。通过这些算法对数据进行正确分析所需的步骤需要特定的技能,而不是每个人都具备这些技能。虽然使用不同的库很容易创建基于深度神经网络的模型,但需要了解这些算法的动力学知识。在某些情况下,这些技能超出了分析师的能力,他们必须寻求行业专家的支持才能解决问题。

开发 AutoML 的目的是创建一个自动化整个机器学习过程的应用程序,以便用户能够利用这些服务。通常,机器学习专家应执行以下活动:

  • 准备数据
  • 选择特征
  • 选择合适的模型类
  • 模型参数的选择与优化
  • 后处理机器学习模型
  • 分析得出的结果

AutoML 自动执行所有这些操作。它提供的优点是生成更简单、更快的解决方案,这些解决方案通常优于手工设计的模型。有几种可用的 AutoML 框架,每一种框架都具有表明其优先使用的特征。

总结

在本章中,我们总结了我们在本书中介绍的技术。我们已经了解了如何生成随机数,并列出了生成伪随机数最常用的算法。然后,我们了解了如何基于两个基本定律:大数定律和中心极限定理的假设,应用蒙特卡罗方法进行数值仿真。然后,我们总结了马尔可夫模型所基于的概念,并分析了各种可用的重采样方法。之后,我们探索了最常用的数值优化技术,并学习了如何使用人工神经网络进行数值仿真。

随后,我们提到了数值仿真广泛应用的一系列领域,并研究了下一步将允许仿真模型发展的步骤。

在本书中,我们使用 Python 研究了各种计算统计仿真。我们从基础开始,以了解各种方法和技巧,加深对复杂主题的了解。在这一点上,使用仿真模型的开发人员将能够将他们的知识应用到工作中,对所需的实现和相关的方法采用实用的方法,以便他们在任何时候都可以操作和生产。我希望通过使用实例和自我评估问题,探索数值仿真算法,并提供相关应用的概述,详细解释一些基本概念,以帮助您根据需要制作最佳模型。

第一部分:数值仿真入门

本节介绍了仿真建模的基本概念。本节帮助您理解数值仿真的基本概念和要素。

本节包含以下章节:

第一章,介绍仿真模型

第二章,理解随机性和随机数

第三章,概率和数据生成过程

第二部分:仿真建模算法与技术

在本节中,我们将分析数值仿真中最常用的一些算法。我们将了解这些技术的基本原理,以及如何应用它们来解决实际问题。

本节包含以下章节:

第三部分:实际应用

在本节中,我们将使用前面章节介绍的技术来处理实际案例。本节结束时,您将熟悉仿真建模的实际应用。

本节包含以下章节: