精通-Python-数据可视化-二-

104 阅读27分钟

精通 Python 数据可视化(二)

原文:Mastering Python Data Visualization

协议:CC BY-NC-SA 4.0

五、金融和统计模型

金融和经济模型主要帮助数据的简化和抽象,并广泛使用概率和统计。看一看数据总是很重要的;数据分析的第一步应该是绘制数据。诸如坏数据、异常值和缺失数据等问题通常可以通过可视化数据来检测。只要有可能,就应该纠正错误数据,否则就应该丢弃。然而,在一些不寻常的情况下,例如在股票市场,异常值是很好的数据,应该保留。总而言之,重要的是要检测出不良数据和异常值,并了解它们,以便采取适当的措施。数据变量的选择在这些模型中起着重要的作用。

变量的选择很重要,因为模型的性质通常会决定被考察的事实。例如,为了衡量通货膨胀,需要一个行为模型,这样你就可以了解价格的真实变化,以及与通货膨胀直接相关的价格变化。

我们可以讨论许多有趣的模型及其应用,但是为了不超出本书的范围,我们将选择一些例子。在某些情况下,比如蒙特卡洛,我们也会选择一些在体育运动中的应用。在后面的章节中,我们将讨论以下主题:

  • 蒙特卡罗模拟—适用于许多领域的示例
  • 带有示例的价格模型
  • 通过示例了解波动性度量
  • 门槛模型——炮击隔离模型
  • 带有绘图选项的贝叶斯回归方法
  • 几何布朗、基于扩散的模拟和投资组合估值
  • 分析和创建实时交互图
  • 统计和机器学习概述

计算金融是计算机科学的一个领域,处理金融建模中出现的数据和算法。对于一些读者来说,这一章的内容可能很好理解,但对于其他人来说,看看这些概念将有助于学习一些新的见解,这些见解可能对他们的生活有用,或者适用于他们的兴趣领域。

在您了解蒙特卡罗模拟方法的应用之前,让我们看一个非常简单的投资和一段时间内总回报的例子。

确定性模型

投资的最终目的是盈利,投资或亏损的收益取决于价格的变化和持有的资产数量。投资者通常对与初始投资规模高度相关的收入感兴趣。回报衡量这一点,主要是因为回报是一种资产。例如,股票、债券或股票和债券的投资组合根据定义表示为变化,价格表示为初始价格的一部分。让我们看看总回报的例子。

总回报

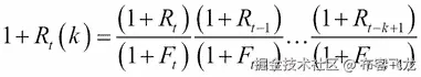
我们假设为PT3tT6】为T8T10】时刻的投资金额。简单的总回报表示如下:

Gross returns

在这里, P t+1 为归还的投资价值,回报为 R t+1 。例如,如果Pt= 10Pt+1= 10.6,那么Rt+1= 0.06 = 6%。收益是无标度的,意味着它们不依赖于单位,但是收益依赖于 t 的单位(小时、天等)。换句话说,如果 t 是以年来衡量的,那么,更准确地说,这个净回报是每年 6%。

最近 k 年的总回报是 k 单年总回报的乘积(从 t-kt ,如下图所示:

Gross returns

这是一个确定性模型的例子,除了有一个我们没有提到的警告:你必须将通货膨胀率纳入每年的等式中。如果我们通过假设 F t 是对应于收益 R t 的通货膨胀,在前面的等式中包括这一点,我们将得到以下等式:

Gross returns

如果我们假设Ft= 0,那么前面的等式将适用。假设我们不包括通货膨胀,问这个问题:“2010 年初始投资 1 万美元,回报率 6%,几年后我的投资会翻倍吗?”

让我们试着用 Python 程序找到的答案。在这个程序中,我们还必须添加一条几乎类似于 y = 2x 的直线,并查看它与在 y 轴上绘制的返回值曲线的交点,年份在 x 轴上。首先,我们将绘制无线图,以确定投资价值是否在 12 年内几乎翻了一番。然后,我们将计算直线的斜率 m = 10,000/12 = 833.33 。因此,我们将833.33的斜率值包含在程序中,以显示返回值和直线。下面的代码将返回值与直线重叠进行比较:

import matplotlib.pyplot as plt

principle_value=10000  #invested amount
grossReturn = 1.06     # Rt

return_amt = []
x = []
y = [10000]
year=2010
return_amt.append(principle_value)
x.append(year)

for i in range(1,15):
  return_amt.append(return_amt[i-1] * grossReturn)
  print "Year-",i," Returned:",return_amt[i]

  year += 1
  x.append(year)
  y.append(833.33*(year-2010)+principle_value)

# set the grid to appear
plt.grid()

# plot the return values curve
plt.plot(x,return_amt, color='r')
plt.plot(x,y, color='b')

Year- 1 Returned: 10600.0
Year- 2 Returned: 11236.0
Year- 3 Returned: 11910.16
Year- 4 Returned: 12624.7696
Year- 5 Returned: 13382.255776
Year- 6 Returned: 14185.1911226
Year- 7 Returned: 15036.3025899
Year- 8 Returned: 15938.4807453
Year- 9 Returned: 16894.78959
Year- 10 Returned: 17908.4769654
Year- 11 Returned: 18982.9855834
Year- 12 Returned: 20121.9647184
Year- 13 Returned: 21329.2826015
Year- 14 Returned: 22609.0395575

看完图,你会想有没有办法弄清楚提供房贷的银行到底赚了多少钱。我们把这个留给你。

Gross returns

一个有趣的事实是,曲线在 2022 年之前与直线相交。此时,返回值正好是 20,000 美元。然而,在 2022 年,回报率将约为 20,121 美元。看了的总回报,股票也差不多吗?许多股票,尤其是成熟公司的股票,支付的股息必须计入等式。

如果在时间 t 之前支付股息(或利息) D t ,则时间 t 的总回报定义如下:

Gross returns

另一个例子是抵押贷款,从金融机构以一定的利率借入一定数量的贷款。在这里,为了了解业务的性质,我们将选择 35 万美元的贷款金额,利率为 5%,期限为 30 年。这是美国抵押贷款的一个典型例子(贷款金额和利率因贷款寻求者的信用历史和市场利率而异)。

一个简单的利息计算已知为 P (1 + rt) ,其中 P 为本金金额, r 为利率, t 为期限,因此 30 年期末累计金额为:

Gross returns

原来,到 30 年年底,你已经支付了两倍多的贷款金额(我们在这个计算中没有考虑房地产税):

from decimal import Decimal
import matplotlib.pyplot as plt

colors = [(31, 119, 180),(174, 199, 232),(255,128,0),(255, 15, 14),
      (44, 160, 44),(152, 223, 138),(214, 39, 40),(255,173, 61),
      (148, 103, 189),(197, 176, 213),(140, 86, 75),(196, 156, 148),
      (227, 119, 194),(247, 182, 210),(127, 127, 127),
      (199, 199, 199),(188, 189, 34), (219, 219, 141), 
      (23, 190, 207), (158, 218, 229)]

# Scale the RGB values to the [0, 1] range, which is the format matplotlib accepts.
for i in range(len(colors)):
    r, g, b = colors[i]
    colors[i] = (r / 255., g / 255., b / 255.)

def printHeaders(term, extra):
    # Print headers
    print "\nExtra-Payment: $"+str(extra)+" Term:"+str(term)+" years"
    print "---------------------------------------------------------"
    print 'Pmt no'.rjust(6), ' ', 'Beg. bal.'.ljust(13), ' ',
    print 'Payment'.ljust(9), ' ', 'Principal'.ljust(9), ' ',
    print 'Interest'.ljust(9), ' ', 'End. bal.'.ljust(13)
    print ''.rjust(6, '-'), ' ', ''.ljust(13, '-'), ' ',
    print ''.rjust(9, '-'), ' ', ''.ljust(9, '-'), ' ',
    print ''.rjust(9, '-'), ' ', ''.ljust(13, '-'), ' '

def amortization_table(principal, rate, term, extrapayment, printData=False):
    xarr=[]
    begarr = []

    original_loan = principal
    money_saved=0
    total_payment=0
    payment = pmt(principal, rate, term)
    begBal = principal

    # Print data
    num=1
    endBal=1
    if printData == True: printHeaders(term, extrapayment)
    while  (num < term + 1) and (endBal >0):

        interest = round(begBal * (rate / (12 * 100.0)), 2)
        applied = extrapayment+round(payment - interest, 2)
        endBal = round(begBal - applied, 2)
        if (num-1)%12 == 0 or (endBal < applied+extrapayment):
          begarr.append(begBal)
          xarr.append(num/12)
          if printData == True:
              print '{0:3d}'.format(num).center(6), ' ',
              print '{0:,.2f}'.format(begBal).rjust(13), ' ',
              print '{0:,.2f}'.format(payment).rjust(9), ' ',
              print '{0:,.2f}'.format(applied).rjust(9), ' ',
              print '{0:,.2f}'.format(interest).rjust(9), ' ',
              print '{0:,.2f}'.format(endBal).rjust(13)
        total_payment += applied+extrapayment
        num +=1
        begBal = endBal
    if extrapayment > 0 :
      money_saved = abs(original_loan - total_payment)
      print '\nTotal Payment:','{0:,.2f}'.format(total_payment).rjust(13)
      print '  Money Saved:','{0:,.2f}'.format(money_saved).rjust(13)
    return xarr, begarr, '{0:,.2f}'.format(money_saved)

def pmt(principal, rate, term):
    ratePerTwelve = rate / (12 * 100.0)

    result = principal * (ratePerTwelve / (1 - (1 + ratePerTwelve) ** (-term)))

    # Convert to decimal and round off to two decimal
    # places.
    result = Decimal(result)
    result = round(result, 2)
    return result

plt.figure(figsize=(18, 14))

#amortization_table(150000, 4, 180, 500)
i=0
markers = ['o','s','D','^','v','*','p','s','D','o','s','D','^','v','*','p','s','D']
markersize=[8,8,8,12,8,8,8,12,8,8,8,8,8,8,8,8,8,8,8,8,8,8,8,8,8]

for extra in range(100,1700,100):
  xv, bv, saved = amortization_table(450000, 5, 360, extra, False)
  if extra == 0:
    plt.plot(xv, bv, color=colors[i], lw=2.2, label='Principal only', marker=markers[i], markersize=markersize[i])
  else:
    plt.plot(xv, bv, color=colors[i], lw=2.2, label="Principal plus\$"+str(extra)+str("/month, Saved:\$")+saved, marker=markers[i], markersize=markersize[i])
  i +=1

plt.grid(True)
plt.xlabel('Years', fontsize=18)
plt.ylabel('Mortgage Balance', fontsize=18)
plt.title("Mortgage Loan For $350,000 With Additional Payment Chart", fontsize=20)
plt.legend()
plt.show()

当这个程序运行时,你会得到所有额外付款情况下每 12 个月的摊销时间表,从 100 美元到 1600 美元。这只是其中一个例子:

Extra-Payment: $800 Term: 30 years 
-----------------------------------------------------------------Pmt no   Beg. bal.   Payment   Principal   Interest    End. bal.     ------   ---------   -------   ---------   ---------   ------
  1      350,000.00  1,878.88* 1,220.55  1,458.33   348,779.45   
 13      335,013.07  1,878.88  1,282.99  1,395.89   333,730.08   
 25      319,259.40  1,878.88  1,348.63  1,330.25   317,910.77   
 37      302,699.75  1,878.88  1,417.63  1,261.25   301,282.12   
 49      285,292.85  1,878.88  1,490.16  1,188.72   283,802.69   
 61      266,995.41  1,878.88  1,566.40  1,112.48   265,429.01   
 73      247,761.81  1,878.88  1,646.54  1,032.34   246,115.27   
 85      227,544.19  1,878.88  1,730.78    948.10   225,813.41   
 97      206,292.20  1,878.88  1,819.33    859.55   204,472.87  
109      183,952.92  1,878.88  1,912.41    766.47   182,040.51  
121      160,470.74  1,878.88  2,010.25    668.63   158,460.49  
133      135,787.15  1,878.88  2,113.10    565.78   133,674.05  
145      109,840.70  1,878.88  2,221.21    457.67   107,619.49  
157       82,566.78  1,878.88  2,334.85    344.03    80,231.93  
169       53,897.49  1,878.88  2,454.31    224.57    51,443.18  
181       23,761.41  1,878.88  2,579.87     99.01    21,181.54  
188        5,474.98  1,878.88  2,656.07     22.81     2,818.91  
189        2,818.91  1,878.88  2,667.13     11.75       151.78  

* $1878.88 includes $1078.88 plus $800 extra payment towards principal
Total Payment: $504,526.47 Money Saved: $154,526.47
Approximately after 15 years 10 months, one can pay off in half the time.

Python 代码生成了以下图表,该图表将抵押贷款支付的额外储蓄与本金储蓄进行了比较:

Gross returns

前面的图显示了抵押贷款余额下降早于 30 年,通过支付额外的数额对本金数额。

固定利率抵押贷款的月付款是借款人每月支付的金额,以确保贷款在期限结束时全额支付利息。月还款额取决于利率( r )作为分数,月还款额( N )称为贷款期限,借款金额( P )称为贷款本金;当你重新排列普通年金现值的公式时,我们得到了每月支付的公式。然而,每个月,如果额外的金额与固定的每月付款一起支付,那么贷款金额可以在更短的时间内还清。

在下面的图表中,我们试图使用从程序中节省下来的钱,并将这些钱与 500 美元到 1300 美元范围内的额外金额进行比较。如果我们仔细看,有了 800 美元的额外金额,你可以节省几乎一半的贷款金额,并在一半的期限内还清贷款。

Gross returns

上图显示了三种不同贷款金额的储蓄,其中额外缴款沿 x 轴显示,以千计的储蓄沿 y 轴显示。下面的代码使用了一个气泡图,该图也直观地显示了抵押贷款本金的额外节省:

import matplotlib.pyplot as plt

# set the savings value from previous example
yvals1 = [101000,111000,121000,131000,138000, 143000,148000,153000,158000]
yvals2 = [130000,142000,155000,160000,170000, 180000,190000,194000,200000]
yvals3 = [125000,139000,157000,171000,183000, 194000,205000,212000,220000]
xvals = ['500','600','700', '800', '900','1000','1100','1200','1300']

#initialize bubbles that will be scaled 
bubble1 = []
bubble2 = []
bubble3 = []

# scale it on something that can be displayed
# It should be scaled to 1000, but display will be too big 
# so we choose to scale by 5% (divide these by 20 again to relate 
# to real values)

for i in range(0,9): 
  bubble1.append(yvals1[i]/20) 
  bubble2.append(yvals2[i]/20) 
  bubble3.append(yvals3[i]/20) 

#plot yvalues with scaled by bubble sizes
#If bubbles are not scaled, they don't fit well
fig, ax = plt.subplots(figsize=(10,12))
plt1 = ax.scatter(xvals,yvals1, c='#d82730', s=bubble1, alpha=0.5)
plt2 = ax.scatter(xvals,yvals2, c='#2077b4', s=bubble2, alpha=0.5)
plt3 = ax.scatter(xvals,yvals3, c='#ff8010', s=bubble3, alpha=0.5)

#Set the labels and title 
ax.set_xlabel('Extra Dollar Amount', fontsize=16)
ax.set_ylabel('Savings', fontsize=16)
ax.set_title('Mortgage Savings (Paying Extra Every Month)', 
        fontsize=20)

#set x and y limits
ax.set_xlim(400,1450)
ax.set_ylim(90000,230000)

ax.grid(True)
ax.legend((plt1, plt2, plt3), ('$250,000 Loan', '$350,000 Loan',
     '$450,000 Loan'), scatterpoints=1, loc='upper left', 
      markerscale=0.17, fontsize=10, ncol=1)

fig.tight_layout()
plt.show()

通过创建散点图,可以更容易地查看哪种贷款类别比其他类别提供更多的储蓄,但为了简单起见,我们将只比较三种贷款金额:25 万美元、35 万美元和 45 万美元。

下图是散点图的结果,该散点图展示了每月支付额外费用所节省的费用:

Gross returns

随机模型

我们已经讨论了确定性模型,其中具有定量输入值的单个结果没有随机性。随机这个词来源于希腊单词 Stochastikos。意思是善于猜测或碰运气。这个的反义词是“确定的”、“确定的”或“确定的”。一个随机模型预测一组可能的结果,这些结果由它们的可能性或概率加权。例如,一枚硬币在空中翻转时,最终“肯定”会落在地球上,但它是正面还是反面是“随机”的。

蒙特卡罗模拟

蒙特卡洛模拟,也被视为概率模拟,是一种用于理解任何预测模型中风险和不确定性影响的技术。蒙特卡罗方法是 1940 年由斯坦尼斯瓦夫·乌拉姆发明的,当时他正在洛斯阿拉莫斯国家实验室从事几个核武器项目。如今,有了计算机,你可以很快生成随机数并运行模拟,但他令人惊讶地发现,这种方法是多年前计算非常困难的时候发现的。

在预测模型或任何提前计划未来的模型中,都有假设。这些可能是关于投资组合投资回报的假设,或者完成某项任务需要多长时间。由于这些是未来的预测,最好的办法是估计期望值。

蒙特卡洛模拟到底是什么?

蒙特卡罗模拟是一种迭代评估确定性模型的方法,该模型以随机数集作为输入。当模型复杂、非线性或涉及多个不确定参数时,通常使用这种方法。一个模拟通常会涉及超过 100,000 甚至一百万个模型评估。让我们看看确定性模型和随机模型之间的区别。确定性模型将具有确定性的实际输入,以产生一致的结果,如下图所示:

What exactly is Monte Carlo simulation?

让我们看看概率模型和确定性模型有什么不同。

随机模型的输入是概率性的,来自概率密度函数,产生的结果也是概率性的。随机模型是这样的:

What exactly is Monte Carlo simulation?

现在,我们如何用语言描述前面的图表?

首先,创建一个模型。假设你已经确定了三个随机输入: x1x2x3 ,确定了一个方法: f(x1,x2,x3) ,生成了一组 10,000 个输入的随机值(在某些情况下,可以少也可以多)。评估这些输入的模型,对这 10000 个随机输入重复一遍,记录为 yi ,其中 i 从 1 到 10000 运行。分析结果,选择一个最有可能的。

例如,如果我们找到问题的答案,那就是“洛杉矶快船队赢得第七场比赛的概率是多少?”在篮球背景下的一些随机输入,对这个问题有合理的意义,你可以通过运行蒙特卡罗模拟找到答案,并获得一个答案:他们有 45%的概率会赢。实际上他们输了。

蒙特卡洛模拟严重依赖随机数发生器;因此,弄清楚什么是执行蒙特卡罗模拟的最快和最有效的方法是有意义的?Hans Petter Langtangen 完成了一项出色的任务,该任务表明通过将代码移植到位于的 Cython 上,蒙特卡罗模拟可以变得更加高效,他还将其与纯 C 实现进行了比较。

让我们考虑几个例子来说明蒙特卡罗模拟。第一个例子显示了库存问题。稍后,我们将讨论体育中的一个示例(蒙特卡罗模拟适用于许多体育分析。

蒙特卡罗模拟中的一个库存问题

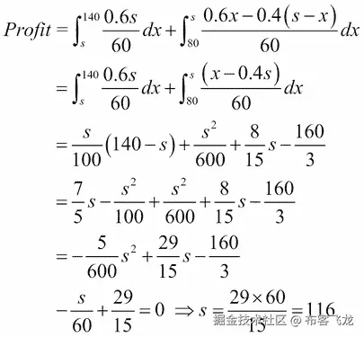
一名水果零售商销售人员每天销售一些水果并订购“T1”Y“T2”单位。每卖出一个单位就有 60 美分的利润,而在一天结束时没有卖出的单位则以每单位 40 美分的亏损被抛出。任意给定日期的需求 D 在【80,140】上均匀分布。零售商应该订购多少台才能使预期利润最大化?

让我们把利润表示为 P 。当您试图根据前面的问题描述创建方程时, s 表示售出的单位数量,而 d 表示需求,如下式所示:

An inventory problem in Monte Carlo simulation

使用这个利润的表示,下面的 Python 程序显示了最大利润:

import numpy as np
from math import log

import matplotlib.pyplot as plt

x=[]
y=[]

#Equation that defines Profit
def generateProfit(d):

   global s

   if d >= s: 
     return 0.6*s
   else:
     return 0.6*d - 0.4*(s-d)

# Although y comes from uniform distribution in [80,140]
# we are running simulation for d in [20,305]

maxprofit=0

for s in range (20, 305):

  # Run a simulation for n = 1000 
  # Even if we run for n = 10,000 the result would
  # be almost the same
  for i in range(1,1000):

     # generate a random value of d 
     d = np.random.randint(10,high=200)

     # for this random value of d, find profit and
     # update maxprofit
     profit = generateProfit(d)
     if profit > maxprofit:
        maxprofit = profit

  #store the value of s to be plotted along X axis 
  x.append(s)

  #store the value of maxprofit plotted along Y axis 
  y.append(log(maxprofit)) # plotted on log scale

plt.plot(x,y)
print "Max Profit:",maxprofit

# Will display this
Max Profit: 119.4

如下图所示,销量越多利润越大,但满足需求时,最大利润保持不变:

An inventory problem in Monte Carlo simulation

前面的图是对数刻度上显示的,这意味着 n=1000 的模拟运行的最大利润是 119.4。现在,让我们试着看一下解析解,看看模拟结果与解析方法的结果有多接近。

由于需求( D )在【80,140】中均匀分布,预期利润由以下积分得出:

An inventory problem in Monte Carlo simulation

使用分析方法的答案是 116,蒙特卡罗模拟也产生了大约这个数字:119。有时,它会产生 118 或 116。这取决于试验的次数。

让我们考虑另一个简单的例子,并寻求问题的答案:“在一个满是 30 名学生的教室里,一个以上的人过同一个生日的概率是多少?”我们将假设它不是闰年,而不是使用月和日,我们将只使用日历年中的天数,即 365 天。逻辑很简单。下面的代码显示了如何计算在 30 个学生的房间里,不止一个人过同一个生日的概率:

import numpy as np
numstudents = 30
numTrials = 10000
numWithSameBday = 0

for trial in range(numTrials):
    year = [0]*365

    for i in range(numstudents):
        newBDay = np.random.randint(365)
        year[newBDay] = year[newBDay] + 1

    haveSameBday = False
    for num in year:
        if num > 1:
           haveSameBday = True

    if haveSameBday == True:
        numWithSameBday = numWithSameBday + 1

prob = float(numWithSameBday) / float(numTrials)
print("The probability of a shared birthday in a class of ", numstudents, " is ", prob) 

('The probability of a shared birthday in a class of ', 30, ' is ', 0.7055)

换句话说,在一个 30 名学生的班级里,有 70%的概率两个人过同一个生日。下面的例子说明了如何应用蒙特卡罗模拟来知道在今天比过去更经常发生的情况下赢得比赛的可能性。

蒙特卡洛模拟在篮球中的应用

让我们考虑一个篮球比赛中的例子,它是在汗学院用 JavaScript 编写的。问题是,“当落后 3 分,只剩下 30 秒的时候,是尝试一个艰难的三分球还是一个轻松的两分球,然后再得到一次控球权?”(勒布朗·詹姆斯提问)。

大多数读者可能理解篮球比赛,但我们只会强调一些重要的规则。每个队都有 24 秒的控球时间。在这段时间内,如果他们得分(甚至在更短的时间内),对方球队将在接下来的 24 秒内获得控球权。然而,由于只剩下 30 秒,如果一名球员可以在大约不到 10 秒的时间内快速投进 3 分,那么对方球队还剩 20 秒左右。篮球和其他任何运动一样,竞争非常激烈,既然球员的目标是减少落后分,那么拿到 3 分对他们最有利。让我们试着写一个 Python 程序来回答这个问题。

在展示模拟程序之前,让我们看一下这个问题域中涉及的一些参数。为了确定在获胜概率方面,投三分球是否更好,球员和对方球队的以下统计非常重要。球员的threePtPercenttwoPtPercent不仅决定了他的实力,还决定了对方球队得标为oppTwoPtPercent的 2 分的百分比,以及对方球队在标为oppFtPercent的罚球百分比中的实力。

也有其他组合,但为了简单起见,我们就到此为止。对方的罚球命中率越高,我们的答案就越倾向于投三分球。您可以降低oppFtPercent的值,看看这里讨论的是什么。在这个例子中,我们将以不同的部分显示片段,您可以用任何您觉得合适的方式将它们放在一起,并使用它们来运行。首先,我们需要 NumPy 包,因为在这里,我们打算使用这个包中的随机数生成器,并且需要matplotlib来绘制,如下代码所示:

import numpy as np
import matplotlib.pyplot as plt

在许多示例中,我们将使用 tableau 中使用的标准颜色,您可能希望将其放在单独的文件中。以下颜色代码阵列可用于任何可视化绘图:

colors = [(31, 119, 180), (174, 199, 232), (255, 127,  14),
   (255, 187, 120), (44, 160, 44), (214,  39,  40), (148,103,189),
   (152, 223, 138), (255,152,150), (197, 176, 213), (140, 86, 75),
   (196, 156, 148), (227,119,194), (247, 182, 210), (127,127,127),
   (199, 199, 199),(188,189, 34),(219, 219, 141), (23, 190,207),
   (158, 218, 229),(217,217,217)]

# Scale RGB values to the [0, 1] range, format matplotlib accepts.
for i in range(len(colors)):
  r, g, b = colors[i]
  colors[i] = (r / 255., g / 255., b / 255.)

我们来看看的三分尝试。如果threePtPercent大于随机数,加班的概率更大,那么就保证赢。看看下面的代码:

def attemptThree():
  if np.random.randint(0, high=100) < threePtPercent:
    if np.random.randint(0, high=100) < overtimePercent:
      return True #We won!!
  return False #We either missed the 3 or lost in OT

两点尝试的逻辑有点复杂,因为这一切都是关于还剩多少时间和谁拥有球权。假设平均来说,尝试一次两分球只需要 5 秒钟,并且玩家标记为twoPtPercent的两分球得分百分比相当高,那么他们就可以获得一次两分球,这将从pointsDown变量中的值中扣除。以下功能用于两点评分尝试:

def attemptTwo():
  havePossession = True
  pointsDown = 3
  timeLeft = 30
  while (timeLeft > 0):
    #What to do if we have possession
    if (havePossession):
      #If we are down by 3 or more, we take the
      #2 quickly.  If we are down by 2 or less
      #We run down the clock first
      if (pointsDown >= 3):
        timeLeft -= timeToShoot2
      else:
        timeLeft = 0

      #Do we make the shot?
      if (np.random.randint(0, high=100) < twoPtPercent):
        pointsDown -= 2
        havePossession = False
    else:
      #Does the opponent team rebound?
      #If so, we lose possession.
      #This doesn't really matter when we run
      #the clock down
      if (np.random.randint(0, high=100) >= offenseReboundPercent):
        havePossession = False
      else:   #cases where we don't have possession
        if (pointsDown > 0):  #foul to get back possession

          #takes time to foul
          timeLeft -= timeToFoul

          #opponent takes 2 free throws
          if (np.random.randint(0, high=100) < oppFtPercent):
            pointsDown += 1

          if (np.random.randint(0, high=100) < oppFtPercent):
            pointsDown += 1
            havePossession = True
        else:
          if (np.random.randint(0, high=100) >= ftReboundPercent):
            #you were able to rebound the missed ft
            havePossession = True
          else:  
            #tied or up so don't want to foul; 
            #assume opponent to run out clock and take
            if (np.random.randint(0, high=100) < oppTwoPtPercent):
              pointsDown += 2 #They made the 2
            timeLeft = 0

  if (pointsDown > 0):
    return False
  else:
    if (pointsDown < 0):
      return True
    else:
      if (np.random.randint(0, high=100) < overtimePercent):
        return True
      else:
        return False

为了比较,我们将选择 5 名平均分不错或者平均分 2 分或者两者兼有的玩家,如下代码所示:

plt.figure(figsize=(14,14))
names=['Lebron James', 'Kyrie Irving', 'Steph Curry', 
       'Kyle Krover', 'Dirk Nowitzki']
threePercents = [35.4,46.8,44.3,49.2, 38.0]
twoPercents = [53.6,49.1,52.8, 47.0,48.6]
colind=0

for i in range(5):  # can be run individually as well
  x=[]
  y1=[]
  y2=[]
  trials = 400 #Number of trials to run for simulation
  threePtPercent = threePercents[i] # % chance of making 3-pt shot
  twoPtPercent = twoPercents[i] # % chance of making a 2-pt shot
  oppTwoPtPercent = 40 #Opponent % chance making 2-pter
  oppFtPercent = 70 #Opponent's FT %
  timeToShoot2 = 5 #How many seconds elapse to shoot a 2
  timeToFoul = 5 #How many seconds elapse to foul opponent
  offenseReboundPercent = 25 #% of regular offense rebound
  ftReboundPercent = 15 #% of offense rebound after missed FT
  overtimePercent = 50 #% chance of winning in overtime

  winsTakingThree = 0
  lossTakingThree = 0
  winsTakingTwo = 0
  lossTakingTwo = 0
  curTrial = 1

  while curTrial < trials:
    #run a trial take the 3
    if (attemptThree()):
      winsTakingThree += 1
    else:
      lossTakingThree += 1
      #run a trial taking a 2
      if attemptTwo() == True :
        winsTakingTwo += 1
      else:
        lossTakingTwo += 1

      x.append(curTrial)
      y1.append(winsTakingThree)
      y2.append(winsTakingTwo)
      curTrial += 1

  plt.plot(x,y1, color=colors[colind], label=names[i]+" Wins Taking Three Point", linewidth=2)
  plt.plot(x,y2, color=colors[20], label=names[i]+" Wins Taking Two Point", linewidth=1.2)
  colind += 2

legend = plt.legend(loc='upper left', shadow=True,)
for legobj in legend.legendHandles:
    legobj.set_linewidth(2.6)
plt.show()

这是通过设置范围1为单个玩家运行的,并且只包括该玩家的姓名和统计数据。在所有情况下,由于对手队的 2 分率很高(70%),对于所有球员,蒙特卡罗模拟通过 3 分得分产生了获胜的建议。让我们看看其中一个单独绘制和全部绘制在一起时的结果。

我们从www.basketball-reference.com/teams/的最新统计数据中挑选出了 3 分命中率相当不错的球员。统计数据截至 2015 年 5 月 12 日。在所有情况下,尝试得分 3 分更有可能获胜。如果对方球队的平均罚球数更低,那么结果就会不一样。

以下两个图显示了一名球员和五名从 NBA 联盟(2015)中选出的球员的结果:

Monte Carlo simulation in basketball

前面的截图显示了勒布朗的三分和两分尝试。以下绘图展示了其他四位玩家的尝试进行对比:

Monte Carlo simulation in basketball

波动图

到目前为止,我们已经看到了许多有用的 Python 包。一次又一次,我们看到了 matplotlib 的使用,但在这里,我们将用很少的代码行展示熊猫的使用,这样您就可以快速实现金融绘图。标准差是一个统计术语,用来衡量平均值周围的变化量或离差。这也是衡量波动性的一个指标。

根据定义,离差是实际值和平均值之间的差值。为了将波动性与封闭值一起绘制,这个示例说明了如何从给定的开始日期看到特定股票(如 IBM)的表现,并使用以下代码查看波动性:

import pandas.io.data as stockdata
import numpy as np
r,g,b=(31,  119, 180)
colornow=(r/255.,g/255.,b/255.)
ibmquotes = stockdata.DataReader(name='IBM', data_source='yahoo', start='2005-10-1')
ibmquotes['Volatility'] = np.log(ibmquotes['Close']/
    ibmquotes['Close'].shift(1))
ibmquotes[['Close', 'Volatility']].plot(figsize=(12,10), \
    subplots=True, color=colornow) 

以下截图是波动图的结果:

The volatility plot

现在,让我们看看如何衡量我们的波动性。波动性是衡量价格变化的尺度,可以有各种峰值。而且,指数函数让我们插入时间,给我们成长;对数(指数的倒数)让我们插入增长,并给我们时间度量。以下片段显示了衡量波动性的对数图:

%time
ibmquotes['VolatilityTest'] = 0.0
for I in range(1, len(ibmquotes)):
  ibmquotes['VolatilityTest'] = 
    np.log(ibmquotes['Close'][i]/ibmquotes['Close'][i-1])

如果我们对此进行计时,前面的片段将采用以下内容:

CPU times: user 1e+03 ns, sys: 0 ns, total: 1e+03 ns Wall time: 5.01 µs

为了细分并展示我们是如何做到的,我们使用%time并使用收盘值与收盘值变化的比率来分配波动性度量,如下所示:

%time
ibmquotes['Volatility'] = np.log(ibmquotes['Close']/ ibmquotes['Close'].shift(1))

如果我们对此进行计时,前面的片段将采用以下内容:

CPU times: user 2 µs, sys: 3 µs, total: 5 µs Wall time: 5.01 µs.

它们的价值差异越大,结果就越不稳定。在我们试图绘制波动率相对于行权价格的隐含波动率之前,让我们看看 VSTOXX 数据。该数据可从www.stoxx.comwww.eurexchange.com/advanced-se…下载。VSTOXX 数据的示例行如下所示:

            V2TX   V6I1   V6I2   V6I3   V6I4   V6I5   V6I6   V6I7   V6I8 
  Date                                                                     
2015-05-18  21.01  21.01  21.04    NaN  21.12  21.16  21.34  21.75 21.84 
2015-05-19  20.05  20.06  20.15  17.95  20.27  20.53  20.83  21.38 21.50 
2015-05-20  19.57  19.57  19.82  20.05  20.22  20.40  20.63  21.25 21.44 
2015-05-21  19.53  19.49  19.95  20.14  20.39  20.65  20.94  21.38 21.55
2015-05-22  19.63  19.55  20.07  20.31  20.59  20.83  21.09  21.59 21.73

该数据文件由欧洲斯托克指数组成,所有这些指数都可以通过一个简单的过滤机制绘制,日期在 2011 年 12 月 31 日至 2015 年 5 月 1 日之间。以下代码可用于绘制 VSTOXX 数据:

import pandas as pd

url = 'http://www.stoxx.com/download/historical_values/h_vstoxx.txt'
vstoxx_index = pd.read_csv(url, index_col=0, header=2,
                           parse_dates=True, dayfirst=True,
                           sep=',')
vstoxx_short = vstoxx_index[('2011/12/31' < vstoxx_index.index)
                            & (vstoxx_index.index < '2015/5/1')]
# to plot all together
vstoxx_short.plot(figsize=(15,14))

当运行前面的代码时,它会创建一个比较欧洲斯托克指数波动性的图:

The volatility plot

前面的图显示了一起绘制的所有索引,但是如果它们要绘制在单独的子图上,您可能需要将以下子图设置为True:

# to plot in subplots separately
vstoxx_short.plot(subplots=True, grid=True, color='r',
     figsize=(20,20), linewidth=2)

The volatility plot

隐含波动率

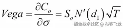
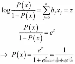
布莱克-斯科尔斯-默顿模型是金融市场的统计模型。从这个模型中,可以找到对欧式期权价格的估计。这个公式被广泛使用,许多经验测试表明,布莱克-斯科尔斯价格“相当接近”观察到的价格。费希尔·布莱克和迈伦·斯克尔斯在他们 1973 年的论文《期权和公司负债的定价》中首次发表了这个模型。该模型背后的主要思想是通过以正确的方式买卖标的资产来对冲期权。

在这个模型中,非分散支付股票的欧式看涨期权的价格如下:

Implied volatilities

Implied volatilities

对于给定的欧式看涨期权, C g ,隐含波动率由前面的等式(对数收益率的标准差)计算得出。期权定价公式对波动率的偏导数称为 Vega 。这是一个数字,表明如果波动率为正的 1%且仅波动率为正,期权价格将向哪个方向移动以及移动到什么程度,如下式所示:

Implied volatilities

波动率模型(如 BSM)预测波动率以及该模型的金融用途,预测未来收益的特征。这种预测用于风险管理和对冲、市场时机、投资组合选择和许多其他金融活动。美式看涨或看跌期权为您提供了随时行权的权利,但对于欧式看涨或看跌期权,您只能在到期日行权。

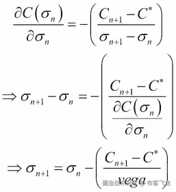
Black-Scholes-Merton(BSM)没有封闭形式的解,但是使用牛顿法(也称为牛顿-拉夫森法),可以通过迭代获得近似值。每当涉及迭代方法时,都会有一定数量的阈值来确定迭代的终止条件。让我们看一下 Python 代码,通过迭代(牛顿法)找到这些值并绘制出来:

Implied volatilities

from math import log, sqrt, exp
from scipy import stats
import pandas as pd
import matplotlib.pyplot as plt

colors = [(31, 119, 180), (174, 199, 232), (255,128,0), 
 (255, 15, 14), (44, 160, 44), (152, 223, 138), (214, 39, 40), 
 (255, 152, 150),(148, 103, 189), (197, 176, 213), (140, 86, 75),
(196, 156, 148),(227, 119, 194), (247, 182, 210), (127, 127, 127),
(199, 199, 199),(188, 189, 34), (219, 219, 141), (23, 190, 207),
(158, 218, 229)]

# Scale the RGB values to the [0, 1] range, which is the format matplotlib accepts.
for i in range(len(colors)):
  r, g, b = colors[i]
  colors[i] = (r / 255., g / 255., b / 255.)

def black_scholes_merton(S, r, sigma, X, T):

  S = float(S) # convert to float
  logsoverx = log (S/X)
  halfsigmasquare = 0.5 * sigma ** 2
  sigmasqrtT = sigma * sqrt(T)

  d1 = logsoverx + ((r + halfsigmasquare) * T) / sigmasqrtT
  d2 = logsoverx + ((r - halfsigmasquare) * T) / sigmasqrtT

  # stats.norm.cdf —> cumulative distribution function
  value = (S * stats.norm.cdf(d1, 0.0, 1.0) – 
     X * exp(-r * T) *   stats.norm.cdf(d2, 0.0, 1.0))

  return value

def vega(S, r, sigma, X, T):

  S = float(S)
  logsoverx = log (S/X)
  halfsigmasquare = 0.5 * sigma ** 2
  sigmasqrtT = sigma * sqrt(T) 
  d1 = logsoverx + ((r + halfsigmasquare) * T) / sigmasqrtT
  vega = S * stats.norm.cdf(d1, 0.0, 1.0) * sqrt(T)

  return vega 

def impliedVolatility(S, r, sigma_est, X, T, Cstar, it):

  for i in range(it):
    numer = (black_scholes_merton(S, r, sigma_est, X, T) - Cstar)
    denom = vega(S,r, sigma_est, X, T)
    sigma_est -= numer/denom

  return sigma_est

我们已经准备好使用这些函数,它们可以在单独的文件中使用并导入,或者只运行一次,完全嵌入代码中。输入文件是从stoxx.com获得的一个名为vstoxx_data.h5的文件,如下代码所示:

h5 = pd.HDFStore('myData/vstoxx_data_31032014.h5', 'r')

futures_data = h5['futures_data'] # VSTOXX futures data
options_data = h5['options_data'] # VSTOXX call option data

h5.close()

options_data['IMP_VOL'] = 0.0
V0 = 17.6639  # the closing value of the index
r=0.04        # risk free interest rate
sigma_est=2
tol = 0.5     # tolerance level for moneyness

现在,让我们用options_datafutures_data值形式运行迭代:

for option in options_data.index:
  # iterating over all option quotes
  futureval = futures_data[futures_data['MATURITY'] == 
      options_data.loc[option]['MATURITY']]['PRICE'].values[0]

  # picking the right futures value 
  if (futureval * (1 - tol) < options_data.loc[option]['STRIKE'] 
    < futureval * (1 + tol)):
    impliedVol = impliedVolatility(V0,r,sigma_est,
            options_data.loc[option]['STRIKE'], 
            options_data.loc[option]['TTM'], 
            options_data.loc[option]['PRICE'],  #Cn
            it=100)                             #iterations 
    options_data['IMP_VOL'].loc[option] = impliedVol

plot_data = options_data[options_data['IMP_VOL'] > 0]
maturities = sorted(set(options_data['MATURITY']))

plt.figure(figsize=(15, 10))

i=0
for maturity in maturities:

  data = plot_data[options_data.MATURITY == maturity]

  # select data for this maturity
  plot_args = {'lw':3, 'markersize': 9}
  plt.plot(data['STRIKE'], data['IMP_VOL'], label=maturity.date(),
       marker='o', color=colors[i], **plot_args)
  i += 1

plt.grid(True)

plt.xlabel('Strike rate $X$', fontsize=18)
plt.ylabel(r'Implied volatility of $\sigma$', fontsize=18)
plt.title('Short Maturity Window (Volatility Smile)', fontsize=22)

plt.legend()
plt.show()

下图是运行前面程序的结果,该程序使用从vstoxx.com下载的数据展示了隐含波动率与罢工率的关系。或者,可以在knapdata.com/python/vsto…下载。下图显示了相对于欧洲斯托克指数的隐含波动率:

Implied volatilities

投资组合估值

对一个实体的投资组合估值的常见意义是估计其当前价值。估值通常适用于金融资产或负债,可以对股票、期权、企业或无形资产进行。为了理解估值和它们的可视化方法,我们将挑选共同基金并绘制它们,比较它们,并找到相关性。

让我们假设我们对以单一货币计价的所有投资组合进行估值。这大大简化了投资组合中的价值聚合。

我们将从 Vanguard 中挑选三只基金,如 Vanguard 美国 Total ( vus.to)、Vanguard 加拿大 cap(vre.to)和 Vanguard 新兴市场(vee.to)。下面的代码显示了三只 Vanguard 基金的比较。

import pandas as pd   #gets numpy as pd.np

from pandas.io.data import get_data_yahoo
import matplotlib.pyplot as plt

# get data
data = get_data_yahoo(["vus.to","vre.to","vee.to"], 
  start = '2014-01-01')['Adj Close']

data.plot(figsize=(10,10), lw=2) 
plt.show()

还有另一种从pandas.io.data使用 get_data_yahoo()获取数据的方式,如下图截图所示:

The portfolio valuation

除了绘制它们之外,还可以在将价格转换为日志回报后获得相关矩阵,以便缩放这些值,如以下代码所示:

#convert prices to log returns
retn=data.apply(pd.np.log).diff()

# make corr matrix
retn.corr()

#make scatterplot to show correlation
pd.tools.plotting.scatter_matrix(retn, figsize=(10,10))
plt.show()

# some more stats
retn.skew()
retn.kurt()
# Output
vee.to    0.533157 
vre.to    3.717143 
vus.to    0.906644 
dtype: float64

相关图如下图所示。这个是在应用skew()kurt()相关后,使用熊猫的scatter_matrix函数获得的:

The portfolio valuation

仿真模型

模型是结构和系统功能的表示。模型类似于它所代表的系统,更容易理解。系统的模拟是系统的工作模型。该模型通常是可重新配置的,以允许频繁的实验。该模型的运行对研究该模型是有用的。在建立现有系统之前,模拟是有用的,以减少故障的可能性,从而满足规格。

特定系统何时适合模拟模型?一般来说,每当需要对系统中的随机性进行建模和分析时,仿真是首选的工具。

几何布朗模拟

布朗运动是随机游走的一个例子,广泛用于物理过程建模,如扩散和生物过程以及社会和金融过程(如股票市场的动态)。

布朗运动是一种复杂的方法。这是基于 1827 年布朗在植物中发现的一个过程。它有一系列的应用,包括模拟图像中的噪声、生成分形、晶体的生长和股票市场模拟。出于此处内容相关性的目的,我们将选择后者,即股市模拟。

米(meter 的缩写))F.M .奥斯本研究了普通股价格和货币价值的对数,并表明它们在统计均衡中有一系列影响。利用统计数据和随机时间的股票选择价格,他能够推导出一个分布函数,该函数非常类似于布朗运动中粒子的分布。

几何布朗运动的定义:

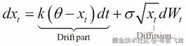
一个随机过程( S t )如果满足以下随机微分方程,则称其遵循几何布朗运动:

Geometric Brownian simulation

综合双方,应用初始条件:St= So,可以得出上述方程的解如下:

Geometric Brownian simulation

利用前面的推导,我们可以插入值,得到以下布朗运动:

import matplotlib.pyplot as plt
import numpy as np

'''
Geometric Brownian Motion with drift!
u=drift factor 
sigma: volatility 
T: time span
dt: length of steps
S0: Stock Price in t=0
W: Brownian Motion with Drift N[0,1] 
'''
rect = [0.1, 5.0, 0.1, 0.1]
fig = plt.figure(figsize=(10,10))

T = 2
mu = 0.1
sigma = 0.04
S0 = 20
dt = 0.01
N = round(T/dt)
t = np.linspace(0, T, N)

# Standare normal distrib
W = np.random.standard_normal(size = N) 
W = np.cumsum(W)*np.sqrt(dt) 

X = (mu-0.5*sigma**2)*t + sigma*W

#Brownian Motion 
S = S0*np.exp(X) 

plt.plot(t, S, lw=2)
plt.xlabel("Time t", fontsize=16)
plt.ylabel("S", fontsize=16)
plt.title("Geometric Brownian Motion (Simulation)",
  fontsize=18)
plt.show()

布朗运动模拟的结果如下截图所示:

Geometric Brownian simulation

使用布朗运动模拟股票价格也显示在下面的代码中:

import pylab, random

class Stock(object):
    def __init__(self, price, distribution):
        self.price = price
        self.history = [price]
        self.distribution = distribution
        self.lastChange = 0

    def setPrice(self, price):
        self.price = price
        self.history.append(price)

    def getPrice(self):
        return self.price

    def walkIt(self, marketBias, mo):
        oldPrice = self.price
        baseMove = self.distribution() + marketBias
        self.price = self.price * (1.0 + baseMove)
        if mo:
            self.price = self.price + random.gauss(.5, .5)*self.lastChange
        if self.price < 0.01:
            self.price = 0.0
        self.history.append(self.price)
        self.lastChange = oldPrice - self.price

    def plotIt(self, figNum):
        pylab.figure(figNum)
        pylab.plot(self.history)
        pylab.title('Closing Price Simulation Run-' + str(figNum))
        pylab.xlabel('Day')
        pylab.ylabel('Price')

def testStockSimulation():
    def runSimulation(stocks, fig, mo):
        mean = 0.0
        for s in stocks:
            for d in range(numDays):
                s.walkIt(bias, mo)
            s.plotIt(fig)
            mean += s.getPrice()
        mean = mean/float(numStocks)
        pylab.axhline(mean)
    pylab.figure(figsize=(12,12))
    numStocks = 20
    numDays = 400
    stocks = []
    bias = 0.0
    mo = False
    startvalues = [100,500,200,300,100,100,100,200,200, 300,300,400,500,00,300,100,100,100,200,200,300]
    for i in range(numStocks):
        volatility = random.uniform(0,0.2)
        d1 = lambda: random.uniform(-volatility, volatility)
        stocks.append(Stock(startvalues[i], d1))
    runSimulation(stocks, 1, mo)

testStockSimulation()
pylab.show()

使用来自均匀分布的随机数据的收盘价模拟的结果如下截图所示:

Geometric Brownian simulation

基于扩散的模拟

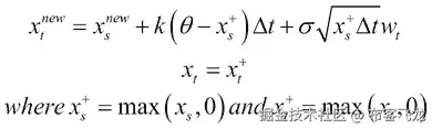
随机模型提供了对反应扩散过程更详细的理解。这样的描述对于生物系统的建模通常是必要的。已经研究了各种各样的模拟模型,为了在本章的上下文中限制我们自己,我们将考虑平方根扩散。

由考克斯、英格索尔和罗斯(1985)为金融推广的平方根扩散被用于建模均值回复量(如利率和波动性)。这个过程的随机微分方程如下:

The diffusion-based simulation

x t 的值具有卡方分布,但是在离散版本中,它们可以用正态分布来近似。对于离散版本,我们指的是使用迭代方法应用欧拉数值近似方法,如下式所示:

The diffusion-based simulation

import numpy as np
import matplotlib.pyplot as plt
import numpy.random as npr

S0 = 100 # initial value
r = 0.05 
sigma = 0.25 
T = 2.0 

x0=0
k=1.8
theta=0.24
i = 100000
M = 50
dt = T / M
def srd_euler():
  xh = np.zeros((M + 1, i))
  x1 = np.zeros_like(xh)
  xh[0] = x0
  x1[0] = x0
  for t in range(1, M + 1):
   xh[t] = (xh[t - 1]
    + k * (theta - np.maximum(xh[t - 1], 0)) * dt
    + sigma * np.sqrt(np.maximum(xh[t - 1], 0)) * np.sqrt(dt) 
    * npr.standard_normal(i))
  x1 = np.maximum(xh, 0)
  return x1
x1 = srd_euler()

plt.figure(figsize=(10,6))
plt.hist(x1[-1], bins=30, color='#98DE2f', alpha=0.85)
plt.xlabel('value')
plt.ylabel('frequency')
plt.grid(False)

plt.figure(figsize=(12,10))
plt.plot(x1[:, :10], lw=2.2)
plt.title("Square-Root Diffusion - Simulation")
plt.xlabel('Time', fontsize=16)
plt.ylabel('Index Level', fontsize=16)
#plt.grid(True)
plt.show()

The diffusion-based simulation

阈值模型

阈值模型是任何模型,其中一些阈值用于区分值的范围,其中模型预测的行为以某种重要的方式收敛。谢林试图通过构建两个模拟模型来模拟个体相互作用时的分离动力学。

谢林的隔离模型

谢林的 隔离模式 ( SSM )最早由托马斯 C·谢林提出。这个模型是能够自组织的系统的第一个构造模型之一。

谢林通过将便士和一角硬币放在棋盘上,并根据各种规则移动它们来进行实验。在他的实验中,他使用了一个类似于城市的棋盘,棋盘的正方形代表住所,正方形代表邻居。便士和一角硬币(视觉上也不同)可以代表两个群体的吸烟者、不吸烟者、男性、女性、高管、非高管、学生或教师。

模拟规则将终止条件指定为没有任何代理因为开心而从当前位置移动,这意味着如果代理不开心就会移动

谢林模型被用来模拟教室的隔离,该模型表明,即使是对相邻同学的微弱偏好,隔离模式也可能发生。

假设我们根据学生的优先级有三种类型的学生类别:运动类高级熟练度学术类普通类,每种类型分别为 012

为了便于说明,我们假设一所高中有 250 名不同类型的学生。每个代理代表一名学生。这些代理人都住在一个单一的单位广场上(这可以想象成一所高中建筑)。代理人的位置只是一个点 (x,y) ,这里 0 < x,y < 1 。如果一个代理的 12 个最近的邻居中有一半或更多是同一类型的(从欧几里得距离来看是最近的),那么这个代理就是幸福的。每个代理的初始位置是从二元均匀分布中独立得出的,如以下代码所示:

from random import uniform, seed
from math import sqrt
import matplotlib.pyplot as plt

num = 250             # These many agents of a particular type
numNeighbors = 12     # Number of agents regarded as neighbors
requireSameType = 8   # At least this many neighbors to be same type

seed(10)  # for reproducible random numbers

class StudentAgent:

    def __init__(self, type):
        #Students of different type will be shown in colors
        self.type = type
        self.show_position()

    def show_position(self):
        # position changed by using uniform(x,y)
        self.position = uniform(0, 1), uniform(0, 1)

    def get_distance(self, other):
        #returns euclidean distance between self and other agent.
        a = (self.position[0] - other.position[0])**2
        b = (self.position[1] - other.position[1])**2
        return sqrt(a + b)

    def happy(self, agents):
        "returns True if reqd number of neighbors are the same type."
        distances = []

        for agent in agents:
            if self != agent:
                distance = self.get_distance(agent)
                distances.append((distance, agent))
        distances.sort()
        neighbors = [agent for d, agent in distances[:numNeighbors]]
        numSameType = sum(self.type == agent.type 
            for agent in neighbors)
        return numSameType >= requireSameType

    def update(self, agents):
        "If not happy, randomly choose new positions until happy."
        while not self.happy(agents):
            self.show_position()

def plot_distribution(agents, cycle_num):

    x1,y1 = [],[]
    x2,y2 = [],[]
    x3,y3 = [],[]

    for agent in agents:
        x, y = agent.position
        if agent.type == 0:
            x1.append(x); y1.append(y)
        elif agent.type == 1:
            x2.append(x); y2.append(y)        
        else:
            x3.append(x); y3.append(y)

    fig, ax = plt.subplots(figsize=(10,10))
    plot_args = {'markersize' : 8, 'alpha' : 0.65, 'markersize': 14}
    ax.set_axis_bgcolor('#ffffff')
    ax.plot(x1, y1, 'o', markerfacecolor='#1b62a5',  **plot_args)
    ax.plot(x2, y2, 'o', markerfacecolor='#279321', **plot_args)
    ax.plot(x3, y3, 'D', markerfacecolor='#fd6610', **plot_args)
    ax.set_title('Iteration {}'.format(cycle_num))
    plt.show()

agents = [StudentAgent(0) for i in range(num)]
agents.extend(StudentAgent(1) for i in range(num))
agents.extend(StudentAgent(2) for i in range(num))
count = 1
terminate=False
while terminate == False:
    plot_distribution(agents, count)
    count += 1
    no_one_moved = True
    for agent in agents:
        old_position = agent.position
        agent.update(agents)
        if agent.position != old_position:
            no_one_moved = False
    if no_one_moved:
        terminate=True

Schelling's Segregation Model

统计和机器学习概述

人工 智能 ( AI )这个领域并不新鲜,如果我们还记得三十年前研究 AI 的时候,除了机器人学的之外,当时对这个领域的未来几乎没有什么了解。现在,特别是在过去的十年里,人们对人工智能和机器学习的兴趣有了相当大的增长。从最广泛的意义上说,这些领域旨在“发现和学习一些有用的”环境知识。收集到的信息导致新算法的发现,进而引出“如何处理高维数据和处理不确定性”的问题。

机器学习旨在生成足够简单的分类表达式,供人类使用。他们必须充分模仿人类的推理,以提供对决策过程的见解。与统计方法类似,背景知识可以在开发阶段加以利用。统计学习在许多科学领域发挥着关键作用,学习科学在与工程和其他学科领域交叉的统计、数据挖掘和人工智能领域发挥着关键作用。

统计学和机器学习的区别在于统计学强调推理,而机器学习强调预测。当应用统计学时,一般的方法是推断数据产生的过程。对于机器学习来说,人们想要知道如何预测数据关于某个变量的未来特征。统计学习和机器学习之间有很多重叠之处,专家们经常会有一方提出相反的观点。让我们把这场辩论留给专家们,并在本章中选择几个领域进行讨论。在接下来的章节中,将会有机器学习的详细例子。以下是一些算法:

  • 回归或预测
  • 线性和二次判别分析
  • 分类
  • 最近邻
  • 奈伊夫拜厄斯
  • 支持向量机
  • 决策树
  • 使聚集

机器学习的算法大致分为监督学习、无监督学习、强化学习和深度学习。分类的监督学习方法是给测试数据贴标签,就像老师一样,给班级监督。无监督学习没有任何标记的训练数据,而有监督学习有完全标记的训练数据。半监督学习介于监督学习和非监督学习之间。这也利用了未标记的数据进行训练。

由于本书的上下文是数据可视化,我们将在下面的章节中只讨论一个少数算法。

K-最近邻

我们首先要看的机器学习算法是 k 近邻 ( k-NN )。k-NN 不根据训练数据建立模型。它将没有标签的新数据与现有数据进行比较。然后,获取最相似的数据(最近的邻居)并查看它们的标签。现在,从已知数据集中查看最上面的 k 条最相似的数据( k 是一个整数,通常小于 20)。下面的代码演示了 k 近邻图:

from numpy import random,argsort,sqrt
from pylab import plot,show
import matplotlib.pyplot as plt

def knn_search(x, data, K):

  """ k nearest neighbors """

  ndata = data.shape[1]
  K = K if K < ndata else ndata
  # euclidean distances from the other points
  sqd = sqrt(((data - x[:,:ndata])**2).sum(axis=0))
  idx = argsort(sqd) # sorting
  # return the indexes of K nearest neighbors
  return idx[:K]

data = random.rand(2,200) # random dataset
x = random.rand(2,1) # query point

neig_idx = knn_search(x,data,10)

plt.figure(figsize=(12,12))

# plotting the data and the input point
plot(data[0,:],data[1,:],'o,  x[0,0],x[1,0],'o', color='#9a88a1', 
   markersize=20)

# highlighting the neighbors
plot(data[0,neig_idx],data[1,neig_idx],'o', 
  markerfacecolor='#BBE4B4',markersize=22,markeredgewidth=1)

show()

k 近邻的方法如下:

  • 使用任何方法收集数据
  • 准备距离计算所需的数值
  • 用任何合适的方法进行分析
  • 无培训(不涉及任何培训)
  • 计算错误率的测试
  • 应用对计算出的 k 最近邻搜索采取一些行动,并识别查询的顶部 k 最近邻

为了测试出一个分类器,你可以从一些已知的数据开始,这样你就可以对分类器隐藏答案,并向分类器询问它的最佳猜测。

K-nearest neighbors

广义线性模型

回归是估计变量之间关系的统计过程。更具体地说,回归有助于理解当任何一个自变量发生变化时,因变量的典型值是如何变化的。

线性回归是可以应用插值的最古老的回归类型,但它不适合预测分析。这种回归对异常值和互相关很敏感。

贝叶斯回归是一种惩罚估计,比传统的线性回归更加灵活和稳定。它假设你有一些关于回归系数的先验知识,并且统计分析适用于贝叶斯推断的上下文。

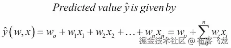
我们将讨论一组方法,其中目标值( y )预计是一些输入变量的线性组合(xT5】1x 2 ,以及……xn)。换句话说,使用符号表示目标值如下:

Generalized linear models

现在,让我们来看看贝叶斯线性回归模型。人们可能会问的一个逻辑问题是“为什么是贝叶斯?”答案是:

  • 贝叶斯模型更加灵活
  • 贝叶斯模型在小样本中更准确(可能取决于先验)
  • 贝叶斯模型可以包含先验信息

贝叶斯线性回归

首先,让我们看一下线性回归的图形模型。在这个模型中,假设我们被赋予了数据值——D =((x1、y 1 )、(x2、yT22】2)、…(xT28】n【T29

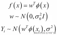
Bayesian linear regression

这里, w 是权重向量,每个 Y i 呈正态分布,如上式所示。 Y i 都是随机变量,并且用一个新的变量 x 来条件化每个随机变量YT20】I= YIT28】从数据中,我们可以预测出相应的 y 为新的变量x【t33

import numpy as np
import matplotlib.pyplot as plt
from scipy import stats

from sklearn.linear_model import BayesianRidge
from sklearn.linear_model import LinearRegression

np.random.seed(0)
n_samples, n_features = 200, 200

X = np.random.randn(n_samples, n_features)  # Gaussian data
# Create weights with a precision of 4.
theta = 4.
w = np.zeros(n_features)

# Only keep 8 weights of interest
relevant_features = np.random.randint(0, n_features, 8)
for i in relevant_features:
    w[i] = stats.norm.rvs(loc=0, scale=1\. / np.sqrt(theta))

alpha_ = 50.
noise = stats.norm.rvs(loc=0, scale=1\. / np.sqrt(alpha_), size=n_samples)
y = np.dot(X, w) + noise

# Fit the Bayesian Ridge Regression 
clf = BayesianRidge(compute_score=True)
clf.fit(X, y)

# Plot weights and estimated and histogram of weights
plt.figure(figsize=(11,10))
plt.title("Weights of the model", fontsize=18)
plt.plot(clf.coef_, 'b-', label="Bayesian Ridge estimate")
plt.plot(w, 'g-', label="Training Set Accuracy")
plt.xlabel("Features", fontsize=16)
plt.ylabel("Values of the weights", fontsize=16)
plt.legend(loc="best", prop=dict(size=12))
plt.figure(figsize=(11,10))
plt.title("Histogram of the weights", fontsize=18)
plt.hist(clf.coef_, bins=n_features, log=True)
plt.plot(clf.coef_[relevant_features], 5 * np.ones(len(relevant_features)),
         'ro', label="Relevant features")
plt.ylabel("Features", fontsize=16)
plt.xlabel("Values of the weights", fontsize=16)
plt.legend(loc="lower left")
plt.show()

以下两个图是程序的结果:

Bayesian linear regression

Bayesian linear regression

创建动画和互动绘图

有几个交互式绘图工具可供选择,如 Bokeh、Plotly 和 VisPy。

Bokeh 允许您通过 JavaScript 绘制 matplotlib 对象,这使得交互部分变得容易。例如,如果需要一个交互式的地图绘图,可以使用 Bokeh。Bokeh 使用 JavaScript,支持 D3.js 风格的绘图,并通过现代网络浏览器将可视化作为目标。Bokeh 在大数据集上提供了良好的性能。您可以通过condapip轻松安装bokeh,如下代码所示:

conda install bokeh
 OR
pip install bokeh

import collections 

from bokeh.sampledata import us_counties, unemployment
from bokeh.plotting import figure, show, output_file
from bokeh.models import HoverTool

county_coordinate_xs=[
us_counties.data[code]['lons'] for code in us_counties.data
if us_counties.data[code]['state'] == 'ca'
]
county_coordinate_ys=[
us_counties.data[code]['lats'] for code in us_counties.data
if us_counties.data[code]['state'] == 'ca'
]

colors = ["#e6f2ff", "#cce5ff", "#99cbff", "#b2d8ff", "#73abe5", "#5985b2"]
county_colors = []
for county_id in us_counties.data:
  if us_counties.data[county_id]['state'] != 'ca':
    continue
  try:
    rate = unemployment.data[county_id]
    idx = min(int(rate/2), 5)
    county_colors.append(colors[idx])
  except KeyError:
    county_colors.append("black")

output_file("california.html", title="california.py example")

TOOLS="pan,wheel_zoom,box_zoom,reset,hover,save"
p = figure(title="California Unemployment 2009", width=1000, height=1000, tools=TOOLS)

p.patches(county_coordinate_xs, county_coordinate_ys,
fill_color=county_colors, fill_alpha=0.7,
line_color="white", line_width=0.5)

mouse_hover = p.select(dict(type=HoverTool))
mouse_hover.point_policy = "follow_mouse"
mouse_hover.tooltips = collections.OrderedDict([
("index", "$index"), ("(x,y)", "($x, $y)"),
("fill color", "$color[hex, swatch]:fill_color"),
])
show(p)

为了查看结果,您可能需要使用浏览器打开California.html:

Creating animated and interactive plots

Plotly 是另一个允许互动绘图的选项,但是需要一个在线并且有 Plotly 账号。使用 Plotly 的绘图看起来非常好,而且是交互式的。以下代码显示了如何使用plotly创建交互式绘图:

from pylab import * 
import plotly
#py = plotly.plotly('me', 'mykey')

def to_plotly(ax=None):
    if ax is None:
        ax = gca()

    lines = []
    for line in ax.get_lines():
        lines.append({'x': line.get_xdata(),
                      'y': line.get_ydata(),
                      'name': line.get_label(),
                      })

    layout = {'title':ax.get_title(),
              'xaxis':{'title':ax.get_xlabel()},
              'yaxis':{'title':ax.get_ylabel()}
              }
    filename = ax.get_title()  if ax.get_title() != '' else 'Untitled'
    print filename
    close('all')
    #return lines, layout
    return py.iplot(lines,layout=layout, filename = filename)    

plot(rand(100), label = 'trace1')
plot(rand(100)+1, label = 'trace2')
title('Title')
xlabel('X label')
ylabel('Y label ')

response = to_plotly()
response

Creating animated and interactive plots

VisPy 是另一款使用 Python 和 OpenGL 构建的高性能交互工具;因此,它传递了现代 GPU 的力量。它是相当新的,随着它的成熟,它给用户留下了另一个好的可视化库可供选择。下面的例子显示了使用vispy可以创建一个可以交互缩放的图像:

import sys

from vispy import scene
from vispy import app
import numpy as np

canvas = scene.SceneCanvas(keys='interactive')
canvas.size = 800, 800
canvas.show()

# Set up a viewbox to display the image with interactive pan/zoom
view = canvas.central_widget.add_view()

# Create the image
img_data = np.random.normal(size=(100, 100, 3), loc=128,
                            scale=40).astype(np.ubyte)
image = scene.visuals.Image(img_data, parent=view.scene)

# Set 2D camera (the camera will scale to the contents in the scene)
view.camera = scene.PanZoomCamera(aspect=1)

if __name__ == '__main__' and sys.flags.interactive == 0:
    app.run()

Creating animated and interactive plots

前面的图像显示了第一次出现的图,但是当我们移动鼠标并放大它时,它显示如下:

Creating animated and interactive plots

总结

本章讨论了典型的金融示例,并在最后讨论了机器学习。简要介绍了确定性模型,使用毛利分析和节省抵押贷款支付进行了讨论。

利用期权形式的真实数据,还讨论了 VSTOXX 波动率指数上欧洲看涨期权的隐含波动率。我们还看了蒙特卡洛模拟。使用不同的实现方法,我们展示了使用蒙特卡罗方法的模拟方法、库存问题和篮球情况。

此外,您还以股市模型为例学习了模拟模型(如几何布朗和基于扩散的模拟)。这一章还侧重于如何利用扩散来显示漂移和波动。

我们还研究了贝叶斯线性回归和交互式绘图方法,可供选择。然后,我们讨论了 k 近邻算法、基于实例的学习性能和机器学习算法。这个例子只是为了引起人们对这个主题的兴趣,并让你对这些算法有所了解。然而,在下一章中,我们将研究更有趣的统计和机器学习算法。

六、统计和机器学习

机器学习使您能够创建和使用计算机算法,从这些算法中学习,纠正它们,并改进它们,以绘制任何过去未知的新模式。您还可以从这些从数据中发现的新模式中提取见解。例如,人们可能有兴趣教计算机如何识别图像中的邮政编码值。另一个例子是,如果我们有一个特定的任务,比如确定垃圾邮件,那么不要直接编写程序来解决这个问题,在这个范式中,你可以寻求学习的方法,并变得更擅长使用计算机获得准确的结果。

近年来,机器学习已经成为人工智能的一个重要组成部分。有了计算能力,我们很有可能能够使用机器学习方法构建智能系统。凭借我们今天拥有的计算能力,这些任务已经变得比二十年前简单得多。机器学习的主要目标是开发在现实世界中有应用价值的算法。除了时间和空间效率之外,这些学习算法所需的数据量也起着挑战性的作用。由于机器学习算法是由数据驱动的,你可以看到为什么今天在这个学科领域已经有这么多不同的算法。在本章的以下部分,我们将通过示例讨论以下主题:

  • 分类方法—决策树、线性和 k 近邻
  • 朴素贝叶斯、线性回归和逻辑回归
  • 支持向量机
  • 基于树的回归和无监督学习
  • 主成分分析
  • 基于相似度的聚类
  • 测量分类性能

分类方法

机器学习算法在许多现实应用中非常有用,例如,如果有人对准确预测气候或诊断疾病感兴趣。学习通常基于一些已知的行为或观察。这意味着机器学习是关于学习在过去的经验或观察的基础上改进未来的东西。

机器学习算法大致分为监督学习、无监督学习、强化学习和深度学习。分类的监督学习方法(其中测试数据被标记)类似于监督不同班级的老师。当我们指定目标变量时,监督学习依靠算法从数据中学习。构建准确的分类器需要以下特征:

  • 一组很好的训练例子
  • 在训练场上相当不错的表现
  • 一种与先前预期密切相关的分类方法

Classification methods

二进制分类器获取数据项并将其放入两个类中的一个(对于更高维度,数据项被放入 k 类中)。二元分类器的例子决定了一个人的结果是否可以被诊断为某种疾病的阳性或阴性。分类器算法是概率性的。在一定的误差范围内,某人可以被诊断为阳性或阴性。在这些算法中,有一种通用的方法可以实现这一点,其顺序如下:

  • 从可靠的来源收集数据。
  • 准备或重组具有特定结构的数据。对于二进制分类器,需要计算距离。
  • 用任何合适的方法分析数据。
  • 训练(这不适用于二进制分类器)。
  • 测试(计算错误率)。

在这一章中,的讨论将集中在什么工具可用于可视化输入和结果,但没有太多的关注机器学习的概念。关于这个主题的更深入的内容,你可以参考适当的材料。让我们看一个例子,并逐步了解各种选择。

理解线性回归

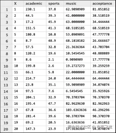
一个简单的场景是人们希望根据 GPA 分数和 SAT 分数的数据预测一个学生是否有可能被大学本科项目(如普林斯顿大学)录取,样本数据如下:

Understanding linear regression

为了能够考虑录取分数与 SAT 分数和 GPA 分数相结合的分数,这里只是为了举例说明(注意,这不像实际的录取过程),我们将尝试找出分隔线。由于 SAT 分数沿 x 轴从 21002390 不等,我们可以从y = 2490–2 * I * 2000中尝试五个值。在下面的例子中,我们有 2150 而不是 2000。沿 y 轴的 GPA 取极值为3.3**5.0;因此,我们从一个极端使用以 3.3 开始的增量值,从另一个极端使用 3.3+0.2i5.0-0.2i (步长为 0.2 )。

作为第一次尝试看到数据的视觉外观,我们将尝试使用matplotlibnumpy来探索它。使用在 xy 轴上的 SAT 和 GPA 分数,并应用散点图,我们将尝试在以下示例中找到分隔线:

import matplotlib.pyplot as plt
import matplotlib as mpl
import numpy as np

mpl.rcParams['axes.facecolor']= '#f8f8f8' 
mpl.rcParams['grid.color'] = '#303030' 
mpl.rcParams['grid.color']= '#303030' 
mpl.rcParams['lines.linestyle'] = '--'
#SAT Score 
x=[2400,2350,2400,2290,2100,2380,2300,2280,2210,2390]

#High school GPA
y=[4.4,4.5,4.2,4.3,4.0,4.1,3.9,4.0,4.3,4.5]

a = '#6D0000'
r = '#00006F' 
#Acceptance or rejections core 
z=[a,a,a,r,r,a,r,r,a,a]

plt.figure(figsize=(11,11))
plt.scatter(x,y,c=z,s=600)

# To see where the separation lies
for i in range(1,5):
  X_plot = np.linspace(2490-i*2,2150+i*2,20)
  Y_plot = np.linspace(3.3+i*0.2,5-0.2*i,20)
  plt.plot(X_plot,Y_plot, c='gray')

plt.grid(True) 

plt.xlabel('SAT Score', fontsize=18) 
plt.ylabel('GPA', fontsize=18) 
plt.title("Acceptance in College", fontsize=20) 
plt.legend()

plt.show()

在前面的代码中,我们不会执行任何回归或分类。这只是试图理解数据的视觉外观。还可以画几条分隔线,直观了解线性回归的工作原理。

您可以看到,没有足够的数据来应用准确的方法来预测测试数据。然而,如果我们尝试获取更多的数据,并使用一些知名的包来应用机器学习算法,我们可以更好地理解结果。例如,增加课外活动(如体育和音乐)。

Understanding linear regression

线性回归

使用线性回归的主要目标是预测一个数值目标值。一种方法是写一个关于输入的目标值的方程。例如,假设我们试图预测一个参加体育和音乐,但属于低收入家庭的全面发展的学生的接受率。

一个可能的等式是接受度= 0.0015 收入+ 0.49(参与 _ 评分);这是一个回归方程。这使用简单的线性回归来预测具有单一特征的定量反应。它采用以下形式:

Linear regression

β 0β 1 合起来称为模型系数。要创建我们的模型,您必须学习这些系数的值。一旦你学会了这些系数,你就可以用这个模型来合理地预测接受率。

这些系数是使用最小二乘准则估计的,这意味着我们将在数学上找到分隔线,并最小化残差平方和。以下是以下示例中使用的部分数据:

Linear regression

下面的 Python 代码展示了如何尝试散点图来确定变量之间的相关性:

from matplotlib import pyplot as pplt

import pandas as pds

import statsmodels.formula.api as sfapi

df = pds.read_csv('/Users/myhomedir/sports.csv', index_col=0)
fig, axs = plt.subplots(1, 3, sharey=True)
df.plot(kind='scatter', x='sports', y='acceptance', ax=axs[0], figsize=(16, 8))
df.plot(kind='scatter', x='music', y='acceptance', ax=axs[1])
df.plot(kind='scatter', x='academic', y='acceptance', ax=axs[2])

# create a fitted model in one line
lmodel = sfapi.ols(formula='acceptance ~ music', data=df).fit()

X_new = pd.DataFrame({'music': [df.music.min(), df.music.max()]})
predictions = lmodel.predict(X_new)

df.plot(kind='scatter', x='music', y='acceptance', figsize=(12,12), s=50)

plt.title("Linear Regression - Fitting Music vs Acceptance Rate", fontsize=20)
plt.xlabel("Music", fontsize=16)
plt.ylabel("Acceptance", fontsize=16)

# then, plot the least squares line

Linear regression

如上图所示,蓝点为 (x,y) 的观测值,对角交叉的线为基于 (x,y) 值的最小二乘拟合,橙色线为残差,为观测值与最小二乘线之间的距离。

Linear regression

使用statsmodelspandasmatplotlib(如上图所示),我们可以假设是基于一所大学如何评价其学生对学术、体育和音乐的贡献的某种评分。

为了测试一个分类器,我们可以从一些已知的数据开始,在不知道答案的情况下,我们将从分类器中寻找答案进行最佳猜测。此外,我们可以将分类器出错的次数相加,然后除以总的测试次数,得到错误率。

下面是从前面的 Python 代码中导出的线性回归图。

Linear regression

还有许多其他 Python 库可以用于线性回归,scikit-learnseabornstatsmodelsmlpy是其中一些著名且流行的库。网络上已经有许多用这些软件包解释线性回归的例子。关于scikit-learn 包的详细信息,请参考http://sci kit-learn . org/stable/modules/generated/sklearn . linear _ model。LinearRegression.html

还有一种有趣的机器学习模型叫做决策树学习,有时也可以称为分类树。另一个类似的模型是回归树。在这里,我们将看到它们之间的差异,以及其中一个是否比另一个有意义。

决策树

分类树用于将数据分成属于响应变量的类。响应变量通常有两类: (1 或 0)和晴天或雨天。如果目标变量有两个以上的类别,那么 C4.5 可以适用。C4.5 改进了连续属性、离散属性和后期构建过程的 ID3 算法。

与大多数学习算法类似,分类树算法分析训练集,然后基于该训练构建分类器,以便在将来有新数据时,它可以正确地对训练和新数据进行分类。测试示例是输入对象,算法必须预测输出值。当响应或目标变量本质上是分类的时,使用分类树。

相反,当响应变量是连续的而不是离散的时,需要回归树。例如,产品的预测价格。回归树是通过二进制分区构建的。这是一个迭代过程,将数据拆分为分区或分支,然后随着方法向上移动每个分区或分支,继续将每个分区拆分为更小的组。换句话说,当问题涉及预测而不是分类时,回归树是适用的。有关这方面的更多细节,我们建议您参考关于分类和回归树的书籍。

当预测因子和反应之间的关系是线性时,标准回归树更合适,当预测因子和反应之间的关系是非线性时,则应使用 C4.5。此外,总结一下,当响应变量只有两个类别时,应该使用分类树算法。

一个例子

对于打网球或高尔夫的决策树算法来说,人们可以通过问一个问题来轻松梳理决策过程,即外面是下雨还是晴天?根据答案画出每个问题的决策图。比赛的性质几乎是一样的——网球对高尔夫——而且在任何体育赛事中,如果刮风下雨,很可能不会有比赛。

对于网球来说,如果前景晴朗,但湿度较高,那么建议不要打。同样,如果下雨刮风,那么网球比赛的整体动态将会相当糟糕。因此,在这种情况下打网球也没有什么乐趣。下图显示了所有可能的情况:

An example

我们还可以添加离散属性(如温度);在什么温度范围内打网球没有意义?大概,如果温度大于华氏 70 度,也就是温度热的话。我们可以将所有这些结合起来编写如下规则:

If (Outlook = Sunny) and (Humidity = High) then play=No
If (Outlook = Rain) and (Wind = Strong) then play=No
If (Outlook = Sunny) and (Humidity = Normal) or
  (Outlook = Overcast) or (Outlook=Rain and Wind=Weak) then play=Yes

使用以下训练集,我们可以运行算法来选择下一个最佳分类器:

|

观点

|

温度

|

湿度

|

|

玩?

| | --- | --- | --- | --- | --- | | 快活的 | 热的 | 高的 | 无力的 | 不 | | 快活的 | 热的 | 高的 | 强烈的 | 不 | | 遮蔽 | 热的 | 高的 | 无力的 | 是 | | 遮蔽 | 凉爽的 | 常态 | 强烈的 | 是 | | 快活的 | 温和的 | 高的 | 无力的 | 不 | | 快活的 | 凉爽的 | 常态 | 无力的 | 是 | | 雨 | 温和的 | 高的 | 无力的 | 是 | | 雨 | 凉爽的 | 常态 | 无力的 | 是 | | 雨 | 凉爽的 | 常态 | 强烈的 | 不 | | 雨 | 温和的 | 常态 | 无力的 | 是 | | 快活的 | 温和的 | 常态 | 强烈的 | 是 | | 遮蔽 | 温和的 | 高的 | 强烈的 | 是 | | 遮蔽 | 热的 | 常态 | 无力的 | 是 | | 雨 | 温和的 | 高的 | 强烈的 | 不 |

决策树 ( ID3 )的自上而下归纳是遵循这些规则的方法:

  • 迭代叶节点直到停止条件:
    1. 确定遍历中下一个节点的最佳决策属性。

    2. 将步骤 1 中最佳节点指定为决策属性。

    3. 对于这些最佳节点的每个值,创建这些节点的新后代。

    4. 将训练数据分类到叶节点中。

    5. Stopping condition for iteration:

      如果训练数据被分类在阈值内

线性回归和决策树算法的一个明显区别是,决策边界平行于坐标轴,例如,如果我们有两个特征( x 1x 2 ,那么它只能创建规则,例如x1>= 5.2,x 2 决策树算法的优点是对错误具有鲁棒性,这意味着训练集可能有错误。还有,对算法影响不大。

使用来自scikit-learn(scikit-learn.org)的sklearn包和以下代码,我们可以绘制决策树分类器:

from sklearn.externals.six import StringIO
from sklearn import tree
import pydot 

# Four columns from the table above with values
# 1st col - 1 for Sunny, 2 for Overcast, and 3 for Rainy
# 2nd col - 1 for Hot, 2 for Mild, 3 for Cool
# 3rd col – 1 for High and 2 for Normal
# 4th col – 0 for Weak and 1 for Strong

X=[[1,1,1,0],[1,1,1,1],[2,1,1,0],[2,3,2,1],[1,2,1,0],[1,3,2,0],\
[3,2,1,0],[3,3,2,0],[3,3,2,1],[3,2,2,0],[1,2,2,1],[2,2,1,1],\
[2,1,2,0],[3,2,1,0]]  

# 1 for Play and 0 for Don't Play
Y=[0,0,1,1,0,1,1,1,0,1,1,1,1,0] 

clf = tree.DecisionTreeClassifier()
clf = clf.fit(X, Y)

dot_data = StringIO() 
tree.export_graphviz(clf, out_file=dot_data) 

graph = pydot.graph_from_dot_data(dot_data.getvalue()) 
graph.write_pdf("game.pdf")

使用sklearn的导出功能,可以将树形图转换为类似下图的图形形式:

An example

为了创建自己的树形结构,可以选择从matplotlib开始使用绘图方法。为了显示树形图,matplotlib有标注,允许您创建带有标签的树形结构,如以下代码所示:

import matplotlib.pyplot as plt

#create nodes here
branchNode = dict(boxstyle="sawtooth", fc="0.8")
leafNode = dict(boxstyle="round4", fc="0.8")
startNode = dict(boxstyle="sawtooth", fc="0.9")

def createPlot():
    fig = plt.figure(1, facecolor='white')
    fig.clf()
    createPlot.ax1 = plt.subplot(111, frameon=False) #ticks for demo purposes
    plotNode('from here', (0.3,0.8), (0.3, 0.8), startNode)
    plotNode('a decision node', (0.5, 0.1), (0.3, 0.8), branchNode)
    plotNode('a leaf node', (0.8, 0.1), (0.3, 0.8), leafNode)
    plt.show()
...

这通常是一个如何使用matplotlib从头开始创建树结构的想法。基本上,前面的例子显示了三个节点的创建,并将它们连接起来形成一个小树。该代码的结果如下所示:

An example

贝叶斯定理

为了首先理解贝叶斯定理,在我们试图看一看天真的贝叶斯分类方法之前,我们应该考虑这个例子。我们假设在 U 宇宙的所有人中,患乳腺癌的那一组人被设定为 A ,而设定为 B 的那一组人进行了筛查试验,结果不幸被诊断为乳腺癌阳性。这在下图中显示为重叠区域A∪B:

The Bayes theorem

有两个不寻常的领域需要关注:B–A∪B或无乳腺癌且诊断为阳性的人和事件A–A∪B或乳腺癌且诊断为阴性的人。现在,让我们尝试回答我们是否知道随机选择的人的测试是阳性的。那么,人得乳腺癌的概率是多少呢?这在视觉上转化为我们是否知道一个人在 B 区域可见,那么同一个人出现在A∪B的概率是多少?从数学上讲,这转化为概率(给定的一个 B )。条件概率方程如下所示:

The Bayes theorem

同样,如果我们知道一个随机选择的人得了癌症,诊断测试出来阳性的概率是多少?这转化为概率(B 给 A) ,如下代码所示:

The Bayes theorem

因此,我们推导出贝叶斯定理,其中 ABP (B) 非零的事件。

朴素贝叶斯分类器

朴素贝叶斯分类器技术基于贝叶斯定理,适用于输入维数较高的情况。虽然它看起来很简单,但在技术上比其他分类方法表现得更好。

(更多信息可在scikit-learn.org/stable/modu…http://sebastianaschka . com/Articles/2014 _ naive _ Bayes _ 1 . html获取)。

让我们看看下面这个用红色和蓝色显示对象的例子。如图所示,红色显示的对象代表患有乳腺癌的人群,蓝色显示的对象代表被诊断为乳腺癌阳性的人群。我们的任务是能够标记任何新数据,在这种情况下,新数据是基于对象的现有结构或类别出现的新人,并识别新数据或新人所属的组或类。

在贝叶斯中,先验概率更倾向于接近于当前如何表征对象的模式或行为。这主要是因为先前这个词在这里是先前经验的同义词;因此,如果红色物体比蓝色物体占更大的百分比,那么这就给了我们一个优势,我们可以预期红色物体的预测结果应该更高。

这里的方法是朴素贝叶斯和 k-最近邻算法的结合。对于纯粹天真的贝叶斯分类,我们将讨论另一个使用TextBlob(textblob.readthedocs.org/en/dev/)的例子。

下图直观地显示了一个尚未分类的新人:

The Naïve Bayes classifier

利用红色和蓝色的先验概率,可以计算出 x 为红色或蓝色的后验概率,如下代码所示:

The Naïve Bayes classifier

新人最有可能被归类为乳腺癌确诊阳性者。

使用文本块的朴素贝叶斯分类器

TextBlob是一个有趣的库,其中有一组用于文本处理的工具。它附带了用于自然语言处理 ( 自然语言处理)任务的应用编程接口,如分类、名词短语提取、词性标注和情感分析。

要确保一个人可以使用,需要几个步骤。任何使用自然语言处理的图书馆都需要一些语料库;因此,在尝试使用这个有趣的库之前,需要完成以下安装和配置顺序:

  • 安装TextBlob(通过condapip)
  • 下载语料库

安装文本块

使用 binstar search -t conda textblob,可以为水蟒用户找到安装的地方。更多详情可参见附录前进探索可视化

下载语料库

以下命令将让一个人下载corpora:

$ python -m textblob.download_corpora

[nltk_data] Downloading package brown to
[nltk_data]     /Users/administrator/nltk_data...
[nltk_data]   Unzipping corpora/brown.zip.
[nltk_data] Downloading package punkt to
[nltk_data]     /Users/administrator/nltk_data...
[nltk_data]   Unzipping tokenizers/punkt.zip.
[nltk_data] Downloading package wordnet to
[nltk_data]     /Users/administrator/nltk_data...
[nltk_data]   Unzipping corpora/wordnet.zip.
[nltk_data] Downloading package conll2000 to
[nltk_data]     /Users/administrator/nltk_data...
[nltk_data]   Unzipping corpora/conll2000.zip.
[nltk_data] Downloading package maxent_treebank_pos_tagger to
[nltk_data]     /Users/administrator/nltk_data...
[nltk_data]   Unzipping taggers/maxent_treebank_pos_tagger.zip.
[nltk_data] Downloading package movie_reviews to
[nltk_data]     /Users/administrator/nltk_data...
[nltk_data]   Unzipping corpora/movie_reviews.zip.
Finished.

使用文本块的朴素贝叶斯分类器

TextBlob 可以轻松创建自定义文本分类器。为了更好地理解这一点,人们可能需要用他们的训练和测试数据做一些实验。在 TextBlob 0.6.0 版本中,以下分类器可用:

  • BaseClassifier
  • DecisionTreeClassifier
  • MaxEntClassifier
  • NLTKClassifier *
  • NaiveBayesClassifier
  • PositiveNaiveBayesClassifier

标有*的分类器是包裹nltk.classify模块的抽象类。

对于情感分析,可以使用朴素贝叶斯分类器,并用该分类器和textblob.en.sentiments.PatternAnalyzer训练系统。一个简单的例子如下:

from textblob.classifiers import NaiveBayesClassifier
from textblob.blob import TextBlob

from textblob.classifiers import NaiveBayesClassifier
from textblob.blob import TextBlob

train = [('I like this new tv show.', 'pos'),
 # similar train sentences with sentiments goes here]
test = [ ('I do not enjoy my job', 'neg'),
 # similar test sentences with sentiments goes here]
]

cl = NaiveBayesClassifier(train)
cl.classify("The new movie was amazing.") # shows if pos or neg

cl.update(test)

# Classify a TextBlob
blob = TextBlob("The food was good. But the service was horrible. "
                "My father was not pleased.", classifier=cl)
print(blob)
print(blob.classify())

for sentence in blob.sentences:
    print(sentence)
    print(sentence.classify())

以下是运行上述代码时将显示的结果:

pos
neg
The food was good.
pos
But the service was horrible.
neg
My father was not pleased.
pos

可以从文本格式或 JSON 格式的文件中读取训练数据。JSON 文件中的示例数据如下所示:

[
  {"text": "mission impossible three is awesome btw","label": "pos"},
  {"text": "brokeback mountain was beautiful","label":"pos"},
  {"text": " da vinci code is awesome so far","label":"pos"},
  {"text": "10 things i hate about you + a knight's tale * brokeback mountain","label":"neg"},
  {"text": "mission impossible 3 is amazing","label":"pos"},

    {"text": "harry potter = gorgeous","label":"pos"},  
    {"text": "i love brokeback mountain too: ]","label":"pos"},
]

from textblob.classifiers import NaiveBayesClassifier
from textblob.blob import TextBlob
from nltk.corpus import stopwords

stop = stopwords.words('english')

pos_dict={}
neg_dict={}
with open('/Users/administrator/json_train.json', 'r') as fp: 
     cl = NaiveBayesClassifier(fp, format="json")
print "Done Training"

rp = open('/Users/administrator/test_data.txt','r')
res_writer = open('/Users/administrator/results.txt','w')
for line in rp:
    linelen = len(line)
    line = line[0:linelen-1]
    sentvalue = cl.classify(line)
    blob = TextBlob(line)
    sentence = blob.sentences[0]
    for word, pos in sentence.tags:
       if (word not in stop) and (len(word)>3 \
            and sentvalue == 'pos'): 
         if pos == 'NN' or pos == 'V':  
           pos_dict[word.lower()] = word.lower()
       if (word not in stop) and (len(word)>3 \
            and sentvalue == 'neg'): 
         if pos == 'NN' or pos == 'V':  
           neg_dict[word.lower()] = word.lower()

    res_writer.write(line+" => sentiment "+sentvalue+"\n")

    #print(cl.classify(line))
print "Lengths of positive and negative sentiments",len(pos_dict), len(neg_dict)  

Lengths of positive and negative sentiments 203 128 

我们可以从语料库中添加更多的训练数据,并用以下代码评估分类器的准确性:

test=[
("mission impossible three is awesome btw",'pos'),
("brokeback mountain was beautiful",'pos'),
("that and the da vinci code is awesome so far",'pos'),
("10 things i hate about you =",'neg'),
("brokeback mountain is a spectacularly beautiful movie",'pos'),
("mission impossible 3 is amazing",'pos'),
("the actor who plays harry potter sucks",'neg'),
("harry potter = gorgeous",'pos'),
('The beer was good.', 'pos'),
('I do not enjoy my job', 'neg'),
("I ain't feeling very good today.", 'pos'),
("I feel amazing!", 'pos'),
('Gary is a friend of mine.', 'pos'),
("I can't believe I'm doing this.", 'pos'),
("i went to see brokeback mountain, which is beautiful(",'pos'),
("and i love brokeback mountain too: ]",'pos')
]

print("Accuracy: {0}".format(cl.accuracy(test)))

from nltk.corpus import movie_reviews

reviews = [(list(movie_reviews.words(fileid)), category)
for category in movie_reviews.categories()
for fileid in movie_reviews.fileids(category)]
new_train, new_test = reviews[0:100], reviews[101:200]

cl.update(new_train)
accuracy = cl.accuracy(test + new_test)
print("Accuracy: {0}".format(accuracy))

# Show 5 most informative features
cl.show_informative_features(4)

输出如下:

Accuracy: 0.973913043478 
Most Informative Features 
contains(awesome) = True         pos : neg    =     51.9 : 1.0 
contains(with) = True            neg : pos    =     49.1 : 1.0 
contains(for) = True             neg : pos    =     48.6 : 1.0 
contains(on) = True              neg : pos    =     45.2 : 1.0 

首先,训练集有 250 个样本,准确率为0.813,后来它又增加了 100 个电影评论样本。准确率上升到0.974。因此,我们尝试使用不同的测试样本,并绘制样本大小与准确度的关系图,如下图所示:

The Naïve Bayes classifier using TextBlob

用词云看积极情绪

单词云给予在任何给定文本中更频繁出现的单词更大的突出。它们也被称为标签云或加权词。从出现的次数来看,一个单词力量的重要性在视觉上映射到它的外观大小。换句话说,在可视化中出现最多的单词是在文本中出现最多的单词。

除了以形状和颜色显示单词的出现之外,单词云在社交媒体和营销方面还有以下几个有用的应用:

  • 企业可以了解他们的客户,以及他们如何看待自己的产品。一些组织使用了一种非常有创意的方式,让他们的粉丝或追随者发表他们对自己品牌的看法,将所有这些话带到一个词云,以了解他们对产品品牌最常见的印象是什么。
  • 通过识别一个在网上很受欢迎的品牌来寻找了解竞争对手的方法。从他们的内容中创建一个词云,以更好地理解哪些词和主题吸引了产品目标市场。

为了创建单词云,可以编写 Python 代码或使用已经存在的东西。NYU 数据科学中心的安德烈亚斯·穆勒用 Python 创建了一个单词云。这非常简单易用。RemachineScript.ttf字体文件可从http://www . font s101 . com/fonts/view/Script/63827/remmachine _ Script下载。

STOPWORDS由极其常见的单词组成,例如aantheiswasatin等等。以下代码使用STOPWORDS列表创建一个单词云,以便忽略它们:

from wordcloud import WordCloud, STOPWORDS
import matplotlib.pyplot as plt
from os import path

d = path.dirname("__file__")
text = open(path.join(d, '/Users/MacBook/kirthi/results.txt')).read()

wordcloud = WordCloud(
    font_path='/Users/MacBook/kirthi/RemachineScript.ttf',
    stopwords=STOPWORDS,
    background_color='#222222',
    width=1000,
    height=800).generate(text)

为了绘制这个,首先设置图形大小,并使用imshow()将文字云显示为图像。

# Open a plot of the generated image.
plt.figure(figsize=(13,13))

plt.imshow(wordcloud)
plt.axis("off")

plt.show()

综上所述,我们首先从TextBlob例子中提取情感,并假设提取的结果在results.txt中。然后,我们将使用这些单词将数据可视化为带有matplotlib包的单词云。

wordcloud的结果如下图所示:

Viewing positive sentiments using word clouds

k 近邻

k 最近邻 ( k-NN )分类是最容易理解的分类方法之一(尤其是在对数据分布的先验知识很少或没有的情况下)。k-最近邻分类有一种方法可以存储所有已知案例,并基于相似性度量(例如,欧几里德距离函数)对新案例进行分类。k-NN 算法因其简单性而在统计估计和模式识别中受到欢迎。

对于1-最近邻 ( 1-NN ),一个特定点的标签被设置为最近的训练点。当将其扩展为更高的 k 值时,测试点的标签是由最近的 k 训练点测量的。k-NN 算法被认为是一种懒惰的学习算法,因为优化是在本地完成的,并且计算被延迟到分类。

这种方法有优点也有缺点。优点是精度高,对异常值不敏感,对数据没有假设。k-NN 的缺点是计算量大,需要大量内存。

可以使用以下距离度量之一:

k-nearest neighbors

让我们考虑一个例子,给我们一大筐水果,里面只有苹果、香蕉和梨。我们将假设苹果是红苹果,而不是绿苹果。有一个特征可以区分这些水果:颜色。苹果是红色的,香蕉是黄色的,梨是绿色的。这些水果也可以用它们各自的重量来描述。以下假设是为了说明这个例子:

形状特征分类如下:

  • 对于苹果来说,形状值在 1 到 3 之间,而重量在 6 到 7 盎司之间
  • 对于梨来说,形状值在 2 到 4 之间,而重量在 5 到 6 盎司之间
  • 对于香蕉来说,形状值在 3 到 5 之间,而重量在 7 到 9 盎司之间

我们有关于篮子里水果的数据如下:

k-nearest neighbors

如果我们有一个已知重量和颜色类别的未标记水果,那么应用 k-最近邻方法(带有任何距离公式)将最有可能找到最近的 k 邻居(如果它们是绿色、红色或黄色,则未标记的水果最有可能分别是梨、苹果或香蕉)。下面的代码演示了使用水果形状和重量的 k 最近邻算法:

import csv
import matplotlib.patches as mpatches
import matplotlib.pyplot as plt

count=0
x=[]
y=[]
z=[]

with open('/Users/myhome/fruits_data.csv', 'r') as csvf:
  reader = csv.reader(csvf, delimiter=',')
  for row in reader:
    if count > 0:
      x.append(row[0])
      y.append(row[1])
      if ( row[2] == 'Apple' ): z.append('r')
      elif ( row[2] == 'Pear' ): z.append('g')
      else: z.append('y')
    count += 1

plt.figure(figsize=(11,11))

recs=[]
classes=['Apples', 'Pear', 'Bananas']
class_colours = ['r','g','y']
plt.title("Apples, Bananas and Pear by Weight and Shape", fontsize=18)

plt.xlabel("Shape category number", fontsize=14)
plt.ylabel("Weight in ounces", fontsize=14)

plt.scatter(x,y,s=600,c=z)

k-nearest neighbors

让我们挑选四个未标记的水果,它们的 x 和 y 值分别为 A(3.5,6.2)B(2.75,6.2)C(2.9,7.6)D(2.4,7.2) ,代码如下:

from math import pow, sqrt
dist=[]
def determineFruit(xv, yv, threshold_radius):
  for i in range(1,len(x)):
    xdif=pow(float(x[i])-xv, 2)
    ydif=pow(float(y[i])-yv, 2)
    sqrtdist = sqrt(xdif+ydif))
    if ( xdif < threshold_radius and 
         ydif < thresholdradius and sqrtdist < threshold_radius):
      dist.append(sqrtdist)
    else:
      dist.append(99)
  pear_count=0
  apple_count=0
  banana_count=0
  for i in range(1,len(dist)):
      if dist[i] < threshold_radius:
        if z[i] == 'g': pear_count += 1
        if z[i] == 'r': apple_count += 1
        if z[i] == 'y': banana_count += 1
  if ( apple_count >= pear_count and apple_count >= banana_count ):
    return "apple"
  elif ( pear_count >= apple_count and pear_count >= banana_count):
    return "pear"
  elif ( banana_count >= apple_count and banana_count >= pear_count):
    return "banana"

dist=[]
determine = determineFruit(3.5,6.2, 1)
print determine

'pear'

逻辑回归

正如我们之前看到的一样,线性回归的一个问题是它往往会使数据不足。这给了我们无偏估计量的最小均方误差。使用欠信息技术模型,我们不会得到最好的预测。有一些方法可以通过给我们的估计量增加一些偏差来减少均方差。

逻辑回归是为有真或假反应的数据拟合模型的方法之一。线性回归不能直接预测所有的概率,但逻辑回归可以。此外,与朴素贝叶斯的结果相比,预测概率可以更好地校准。

对于本次讨论,通过保持我们对二进制响应的关注,我们可以将1的值设置为true,将0的值设置为false。逻辑回归模型假设输入变量可以通过对数反函数进行缩放;因此,另一种看待这个问题的方法是,观测到的 y 值的对数可以表示为 n 输入变量与 x 的线性组合,如下式所示:

Logistic regression

由于对数函数的反函数是指数函数,右侧的表达式看起来像是 x 变量线性组合的 sigmoid 版本。这意味着分母永远不可能是 1 (除非 z0 )。因此 P(x) 的值严格大于 0 ,小于 1 ,如下代码所示:

import matplotlib.pyplot as plt
import matplotlib
import random, math
import numpy as np
import scipy, scipy.stats
import pandas as pd

x = np.linspace(-10,10,100)
y1 = 1.0 / (1.0+np.exp(-x))
y2 = 1.0 / (1.0+np.exp(-x/2))
y3 = 1.0 / (1.0+np.exp(-x/10))

plt.title("Sigmoid Functions vs LineSpace")
plt.plot(x,y1,'r-',lw=2)
plt.plot(x,y2,'g-',lw=2)
plt.plot(x,y3,'b-',lw=2)
plt.xlabel("x")
plt.ylabel("y")
plt.show()

下图显示了标准 sigmoid 函数:

Logistic regression

下面是一个展示快乐悲伤概率的例子。

Logistic regression

Kaggle 主办了所有的机器学习比赛。它通常提供训练和测试数据。不久前根据真实数据预测泰坦尼克号的幸存者在卡格尔号上有争议。titanic_train.csvtitanic_test.csv文件分别用于培训和测试。使用scikit-learn中包含逻辑回归的linear_model包,我们可以看到以下代码是赢得比赛的作者版本的修改版本:

Import numpy as np
import pandas as pd
import sklearn.linear_model as lm
import sklearn.cross_validation as cv
import matplotlib.pyplot as plt

train = pd.read_csv('/Users/myhome/titanic_train.csv')
test = pd.read_csv('/Users/myhome/titanic_test.csv')
train[train.columns[[2,4,5,1]]].head()

data = train[['Sex', 'Age', 'Pclass', 'Survived']].copy()
data['Sex'] = data['Sex'] == 'female'
data = data.dropna()

data_np = data.astype(np.int32).values
X = data_np[:,:-1]
y = data_np[:,-1]

female = X[:,0] == 1
survived = y == 1

# This vector contains the age of the passengers.
age = X[:,1]
# We compute a few histograms.
bins_ = np.arange(0, 121, 5)
S = {'male': np.histogram(age[survived & ~female], 
                          bins=bins_)[0],
     'female': np.histogram(age[survived & female], 
                            bins=bins_)[0]}
D = {'male': np.histogram(age[~survived & ~female], 
                          bins=bins_)[0],
     'female': np.histogram(age[~survived & female], 
                            bins=bins_)[0]}
bins = bins_[:-1]
plt.figure(figsize=(15,8))
for i, sex, color in zip((0, 1),('male', 'female'), ('#3345d0', '#cc3dc0')):
    plt.subplot(121 + i)
    plt.bar(bins, S[sex], bottom=D[sex], color=color,
            width=5, label='Survived')
    plt.bar(bins, D[sex], color='#aaaaff', width=5, label='Died', alpha=0.4)
    plt.xlim(0, 80)
    plt.grid(None)

    plt.title(sex + " Survived")
    plt.xlabel("Age (years)")
    plt.legend()

(X_train, X_test, y_train, y_test) = cv.train_test_split(X, y, test_size=.05)
print X_train, y_train

# Logistic Regression from linear_model
logreg = lm.LogisticRegression();
logreg.fit(X_train, y_train)
y_predicted = logreg.predict(X_test)

plt.figure(figsize=(15,8));
plt.imshow(np.vstack((y_test, y_predicted)),
           interpolation='none', cmap='bone');
plt.xticks([]); plt.yticks([]);
plt.title(("Actual and predicted survival outcomes on the test set"))

以下是显示泰坦尼克号男女幸存者的线性回归图:

Logistic regression

我们已经看到scikit-learn有很好的机器学习功能集合。它们还附带了一些标准数据集,例如,虹膜数据集和数字数据集用于分类,波士顿房价数据集用于回归。机器学习是关于学习数据的属性并将这些属性应用到新的数据集。

支持向量机

支持向量机 ( SVM )是可应用于回归或分类的监督学习方法。这些学习方法是非线性模型的一种扩展,它在经验上提供了良好的性能,并在许多应用中取得了成功,如生物信息学、文本、图像识别等。这些方法计算量小,易于实现,但容易出现拟合不足,精度可能较低。

让我们了解一下 SVM 的目标。这里的目标是在 x 和 y 之间映射或找到一个模式,我们希望从xT4→T6】y(xT10】ϵT12】x 和yt16】ϵt18】y 执行映射。在这里, x 可以是对象,而 y 可以是标签。另一个简单的例子是 X 是 n 维实值空间,而 y 是一组 -1,1

SVM 的一个经典例子是,当给出一只老虎和一个人的两张照片时, X 成为像素图像的集合,而 Y 成为回答问题的标签,即“这是老虎还是人?”当一张未知的图片出现时。下面是字符识别问题的另一个例子:

Support vector machines

网上已经有很多 SVM 的例子,但在这里,我们将展示如何使用scikit-learn ( sklearn)将可视化方法应用于包括 SVM 在内的各种机器学习算法。在sklearn中,sklearn.svm套装包括以下 SVR 车型:

import numpy as np
from sklearn.svm import SVR
import matplotlib.pyplot as plt

X = np.sort(5 * np.random.rand(40, 1), axis=0)
y = (np.cos(X)+np.sin(X)).ravel()
y[::5] += 3 * (0.5 - np.random.rand(8))

svr_rbfmodel = SVR(kernel='rbf', C=1e3, gamma=0.1)
svr_linear = SVR(kernel='linear', C=1e3)
svr_polynom = SVR(kernel='poly', C=1e3, degree=2)
y_rbfmodel = svr_rbfmodel.fit(X, y).predict(X)
y_linear = svr_linear.fit(X, y).predict(X)
y_polynom = svr_polynom.fit(X, y).predict(X)

plt.figure(figsize=(11,11))
plt.scatter(X, y, c='k', label='data')
plt.hold('on')
plt.plot(X, y_rbfmodel, c='g', label='RBF model')
plt.plot(X, y_linear, c='r', label='Linear model')
plt.plot(X, y_polynom, c='b', label='Polynomial model')
plt.xlabel('data')
plt.ylabel('target')
plt.title('Support Vector Regression')
plt.legend()
plt.show()

Support vector machines

主成分分析

主成分分析 ( 主成分分析)使用简单的重排和旋转变换来变换未标记数据的属性。看着没有任何意义的数据,可以想办法这样降维。例如,当特定数据集在与轴成特定角度运行时看起来类似于椭圆,而在另一个变换表示中沿着 x 轴移动,并且明显没有沿着 y 轴变化的迹象,则可以忽略这一点。

k-means 聚类适用于未标记数据的聚类。有时,可以使用主成分分析将数据投影到更低的维度,然后将其他方法(如 k 均值)应用到更小、更小的数据空间。

然而,仔细地执行降维是非常重要的,因为任何降维都可能导致信息的丢失,并且算法在丢弃噪声的同时保留数据的有用部分是至关重要的。在这里,我们将从至少两个角度激励主成分分析,并解释为什么保持最大可变性是有意义的:

  • 相关性和冗余性
  • 形象化

假设我们收集了一个校园里学生的数据,包括性别、身高、体重、看电视时间、运动时间、学习时间、平均绩点等等。在使用这些维度对这些学生进行调查时,我们发现身高和体重的相关性产生了一个有趣的理论(通常,学生越高,由于骨骼重量而产生的重量越多,反之亦然)。在更大的人群中可能不是这种情况(更重的体重不一定意味着更高)。这种相关性也可以可视化如下:

Principal component analysis

import matplotlib.pyplot as plt
import csv

gender=[]
x=[]
y=[]
with open('/Users/kvenkatr/height_weight.csv', 'r') as csvf:
  reader = csv.reader(csvf, delimiter=',')
  count=0
  for row in reader:
    if count > 0:
        if row[0] == "f": gender.append(0)
        else:  gender.append(1)
        height = float(row[1])
        weight = float(row[2])
        x.append(height)
        y.append(weight)
    count += 1

plt.figure(figsize=(11,11))
plt.scatter(y,x,c=gender,s=300)
plt.grid(True)
plt.xlabel('Weight', fontsize=18)
plt.ylabel('Height', fontsize=18)
plt.title("Height vs Weight (College Students)", fontsize=20)
plt.legend()

plt.show()

再次使用sklearn``preprocessing``datasetsdecomposition包,您可以编写如下简单的可视化代码:

from sklearn.datasets import load_iris
from sklearn.preprocessing import StandardScaler
import matplotlib.pyplot as plt

data = load_iris()
X = data.data

# convert features in column 1 from cm to inches
X[:,0] /= 2.54
# convert features in column 2 from cm to meters
X[:,1] /= 100
from sklearn.decomposition import PCA

def scikit_pca(X):

    # Standardize
    X_std = StandardScaler().fit_transform(X)

    # PCA
    sklearn_pca = PCA(n_components=2)
    X_transf = sklearn_pca.fit_transform(X_std)

    # Plot the data
    plt.figure(figsize=(11,11))
    plt.scatter(X_transf[:,0], X_transf[:,1], s=600, color='#8383c4', alpha=0.56)
    plt.title('PCA via scikit-learn (using SVD)', fontsize=20)
    plt.xlabel('Petal Width', fontsize=15)
    plt.ylabel('Sepal Length', fontsize=15)
    plt.show()

scikit_pca(X)

该图显示了使用scikit-learn包的主成分分析:

Principal component analysis

安装 sci kit-学习

以下命令将帮助安装scikit-learn包:

$ conda install scikit-learn
Fetching package metadata: ....
Solving package specifications: .
Package plan for installation in environment /Users/myhomedir/anaconda:

The following packages will be downloaded:

 package                    |            build
 ---------------------------|-----------------
 nose-1.3.7                 |           py27_0         194 KB
 setuptools-18.0.1          |           py27_0         341 KB
 pip-7.1.0                  |           py27_0         1.4 MB
 scikit-learn-0.16.1        |       np19py27_0         3.3 MB
 ------------------------------------------------------------
 Total:         5.2 MB

The following packages will be UPDATED:

 nose:         1.3.4-py27_1      --> 1.3.7-py27_0 
 pip:          7.0.3-py27_0      --> 7.1.0-py27_0 
 scikit-learn: 0.15.2-np19py27_0 --> 0.16.1-np19py27_0
 setuptools:   17.1.1-py27_0     --> 18.0.1-py27_0 

Proceed ([y]/n)? y
Fetching packages ...

对于蟒蛇来说,由于命令行界面都是通过conda进行的,所以可以使用conda进行安装。在其他方面,默认情况下,人们总是试图使用pip install。但是,无论如何,您都应该查看安装文档。由于所有的scikit-learn套餐都很受欢迎,并且已经存在了一段时间,所以没有太大的变化。现在,在下一节中,我们将探索 k-means 聚类来结束这一章。

k-均值聚类

k-means 聚类 起源于信号处理,是数据挖掘中一种流行的方法。k-means 聚类的主要目的是找到数据集的一些 m 点,这些点可以最好地表示数据集中一些 m 区域的中心。

k-means 聚类也称为分区聚类。这意味着在启动任何群集过程之前,需要指定群集的数量。您可以定义一个目标函数,该函数使用数据点与其最近的聚类质心之间的欧氏距离之和。人们可以遵循一个系统的过程,通过找到一组全新的可以迭代降低目标函数值的聚类中心,迭代地最小化这个目标函数。

k-means 聚类是聚类分析中一种流行的方法。它不需要任何假设。这意味着当给定一个数据集并且预定数量的聚类被标记为 k 时,并且当应用 k-means 算法时,它最小化了距离的平方和误差。

算法很容易理解,如下所示:

  • 给出了一组 n(x,y) 和一组 k 质心
  • 对于每个 (x,y) ,找到最接近该点的质心(这决定了 (x,y) 所属的星团)
  • 在每个聚类中,找到中间值,并将其设置为该聚类的质心,然后重复该过程

让我们来看一个简单的例子(这可以应用于大量的点集合),使用来自sklearn.cluster包的 k-means。这个例子表明,用最少的代码,您可以使用scikit-learn库完成 k-means 聚类:

import matplotlib.pyplot as plt

from sklearn.cluster import KMeans

import csv

x=[]
y=[]

with open('/Users/myhomedir/cluster_input.csv', 'r') as csvf:
  reader = csv.reader(csvf, delimiter=',')
    for row in reader:
      x.append(float(row[0]))
      y.append(float(row[1]))

data=[]
for i in range(0,120):
  data.append([x[i],y[i]])

plt.figure(figsize=(10,10))

plt.xlim(0,12)
plt.ylim(0,12)

plt.xlabel("X values",fontsize=14)
plt.ylabel("Y values", fontsize=14)

plt.title("Before Clustering ", fontsize=20)

plt.plot(x, y, 'k.', color='#0080ff', markersize=35, alpha=0.6)

kmeans = KMeans(init='k-means++', n_clusters=3, n_init=10)
kmeans.fit(data)

plt.figure(figsize=(10,10))

plt.xlabel("X values",fontsize=14)
plt.ylabel("Y values", fontsize=14)

plt.title("After K-Means Clustering (from scikit-learn)", fontsize=20)

plt.plot(x, y, 'k.', color='#ffaaaa', markersize=45, alpha=0.6)

# Plot the centroids as a blue X
centroids = kmeans.cluster_centers_

plt.scatter(centroids[:, 0], centroids[:, 1], marker='x', s=200,
  linewidths=3, color='b', zorder=10)

plt.show()

聚类前绘制数据如下所示:

k-means clustering

k-means clustering

在这个例子中,如果我们为五个集群设置 k=5 ,那么这个集群保持不变,但是另外两个集群被分成两个以获得五个集群,如下图所示:

k-means clustering

总结

本章举例说明了流行的机器学习算法。简单介绍了线性回归和逻辑回归。使用线性回归的大学录取标准和逻辑回归的泰坦尼克号幸存者,本章还说明了如何使用这些回归方法的statsmodels.formula.apipandassklearn.linear_model软件包。在这两个例子中,matplotlib被用于可视化方法。

你了解了决策树。使用体育示例(高尔夫和网球),我们使用sklearnpydot包查看决策树。进一步,我们讨论了贝叶斯定理和朴素贝叶斯分类器。使用TextBlob包和来自nltk语料库的电影评论数据,我们查看了使用wordcloud包的单词云的示例。

你学习了 k 近邻算法。在这里,我们看了一个根据重量和形状对水果进行分类的例子,通过颜色直观地将水果分开。

我们还以最简单的形式查看了 SVM 的插图,并举例说明了如何从sklearn.svm包生成数据,以及如何使用matplotlib库绘制结果。您学习了主成分分析,如何确定冗余,以及消除一些变量。我们将 iris 示例与sklearn.preprocesing库一起使用,以了解如何可视化结果。最后,我们用一个使用sklearn.cluster的随机点的例子来看 k-means 聚类,因为这是实现聚类的最简单方法(用最少的代码)。在下一章中,我们将讨论生物信息学、遗传学和网络的各种例子。