rgl-cb-merge-1

67 阅读1小时+

正则化秘籍(二)

原文:annas-archive.org/md5/b0a4e1a7c9576619c74e69137644debd

译者:飞龙

协议:CC BY-NC-SA 4.0

第四章:基于树的模型的正则化

基于树的集成学习模型,如随机森林或梯度提升,通常被视为易于使用的最先进模型,适用于常规机器学习任务。

许多 Kaggle 竞赛都是通过这样的模型获胜的,因为它们在发现数据中的复杂模式时非常健壮且高效。知道如何正则化和微调它们是获得最佳性能的关键。

在本章中,我们将探讨以下食谱:

  • 构建分类树

  • 构建回归树

  • 正则化决策树

  • 训练一个随机森林算法

  • 随机森林的正则化

  • 使用 XGBoost 训练提升模型

  • 使用 XGBoost 进行正则化

技术要求

在本章中,您将训练和微调几个基于决策树的模型,并可视化一棵树。本章将需要以下库:

  • NumPy

  • Matplotlib

  • Scikit-learn

  • Graphviz

  • XGBoost

  • pickle

构建分类树

决策树是机器学习中一个独立的模型类别。尽管单独的决策树可以被视为一个弱学习器,但结合集成学习的力量,如袋装法或提升法,决策树能够获得非常好的性能。在深入研究集成学习模型及其如何正则化之前,在这个食谱中,我们将回顾决策树是如何工作的,并且如何在鸢尾花数据集的分类任务中使用它们。

为了直观地理解决策树的强大能力,我们考虑一个使用场景。我们想知道是否应根据两个输入特征:阳光和温度,在海滩上卖冰激凌。

我们在图 4**.1中有数据,并希望在其上训练一个模型。

图 4.1 – 如果我们应该卖冰激凌,表示为圆圈;如果不应该,表示为叉号

图 4.1 – 如果我们应该卖冰激凌,表示为圆圈;如果不应该,表示为叉号

对于人类来说,这看起来相当简单。但对于线性模型来说就不那么容易了。如果我们尝试在这些数据上使用逻辑回归,它将最终绘制出类似于图 4**.2左侧的决策线。即便使用更高次幂的特征,逻辑回归也会遇到困难,并提出类似于图 4**.2右侧的决策线。

图 4.2 – 线性模型对该数据集分类的潜在结果:左侧是原始特征,右侧是更高次幂特征

图 4.2 – 线性模型对该数据集分类的潜在结果:左侧是原始特征,右侧是更高次幂特征

总而言之,这些数据是非线性可分的。但它可以被划分为两个独立的线性可分问题:

  • 天气晴吗?

  • 温度热吗?

如果我们满足这两个条件,那么我们应该卖冰激凌。这可以总结为图 4**.3中的树形结构:

图 4.3 – 一个正确分类所有数据点的决策树

图 4.3 – 一个正确分类所有数据点的决策树

在这里我们要介绍一些词汇:

  • 我们有Warm,这是第一个决策节点,也是根节点,包含两个分支:YesNo

  • 我们在Sunny中有另一个决策节点。决策节点是指包含两个(有时更多)分支的任何节点。

  • 我们有三个叶节点。叶节点没有任何分支,包含最终的预测结果。

  • 就像计算机科学中的二叉树一样,树的深度是根节点和最底部叶节点之间的边数。

如果我们回到我们的数据集,决策线现在将看起来像图 4.4那样,提供有效的解决方案,不是一个而是两个组合的线:

图 4.4 – 决策树在分类此数据集时的结果

图 4.4 – 决策树在分类此数据集时的结果

从现在开始,任何新数据都将进入这些叶节点之一,从而被正确分类。

这就是决策树的强大之处:它们能够计算复杂的非线性规则,赋予它们极大的灵活性。决策树使用贪婪算法进行训练,这意味着它每次只尝试优化一个步骤。

更具体地说,这意味着决策树并不是全局优化的,而是逐个节点进行优化。

这可以看作是一个递归算法:

  1. 取节点中的所有样本。

  2. 在某个特征中找到一个阈值,以最小化分裂的无序度。换句话说,找到给出最佳类别分离的特征和阈值。

  3. 将其分裂为两个新的节点。

  4. 回到第 1 步,直到你的节点是纯净的(意味着只剩下一个类别),或者满足其他条件,成为叶节点。

但我们如何选择最优的分裂方式呢?当然,我们使用一个损失函数,它使用无序度量。让我们在总结之前先深入探讨这两个话题。

无序度量

为了使分类树有效,它必须在其叶节点中尽可能减少无序。实际上,在前面的示例中,我们假设所有的叶节点都是纯净的。它们只包含来自单一类别的样本。实际上,叶节点可能是不纯的,包含来自多个类别的样本。

注意

如果训练决策树后,叶节点仍然不纯,我们将使用该叶节点的多数类进行分类。

所以,基本思路是最小化不纯度,但我们如何度量它呢?有两种方法:熵和基尼不纯度。让我们一起来看看这两种方法。

熵是一个广泛使用的术语,应用于多个领域,比如物理学和计算机科学。我们在这里使用的熵E可以用以下方程定义,其中 pi 是样本中子类 的比例:

我们来看一个具体的例子,如图 4.5所示:

图 4.5 – 一个包含 10 个样本,分为红色和蓝色两类的节点

图 4.5 – 一个包含两类(红色和蓝色)10 个样本的节点

在这个例子中,熵将是以下内容:

事实上,我们有以下结果:

  • =3/10,因为我们有 10 个样本中有 3 个是蓝色的

  • =7/10,因为我们有 10 个样本中有 7 个是蓝色的

如果我们观察极端情况,我们会理解熵非常适合用来计算混乱度:

  • 如果 =0,那么 =1 并且 E = 0

  • 如果 pblue = = 0.5, 那么 E = 1

所以,我们可以理解,当节点包含完全混合的样本时,熵达到最大值 1,而当节点只包含一个类别时,熵为零。这个总结可以通过图 4.6中的曲线展示:

图 4.6 – 熵作为 p 对于两个类别的函数

图 4.6 – 熵作为 p 对于两个类别的函数

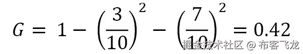
基尼不纯度

基尼不纯度是另一种衡量混乱度的方法。基尼不纯度 G 的公式非常简单:

再次提醒, 是节点中类别的比例。

应用于图 4.5中的示例节点,基尼不纯度的计算将得出以下结果:

结果与熵有很大的不同,但让我们检查极值的情况,以确保属性保持一致:

  • 如果 ,那么 并且 G = 0

  • 如果 = 0.5,那么 G = 0.5

事实上,当混乱度最大时,基尼不纯度达到最大值 0.5,当节点是纯净的时,基尼不纯度为 0。

熵还是基尼?

那么,我们应该使用什么呢?这可以看作是一个超参数,而 scikit-learn 的实现允许选择熵或基尼。

在实践中,两者的结果通常是相同的。但基尼不纯度的计算更快(熵涉及更昂贵的对数计算),所以它通常是首选。

损失函数

我们有一个混乱度的度量,但我们应该最小化的损失是什么?最终目标是做出划分,最小化每次划分的混乱度。

考虑到一个决策节点总是有两个子节点,我们可以将它们定义为左子节点和右子节点。那么,这个节点的损失可以写成这样:

让我们分解这个公式:

  • m, ,以及 分别是每个节点中样本的数量

  • 是左子节点和右子节点的基尼不纯度

当然,这也可以通过熵而不是基尼不纯度来计算。

假设我们选择了一个划分决策,那么我们就有一个父节点和两个由图 4.7中的划分定义的子节点:

图 4.7 – 一个父节点和两个子节点,它们各自的基尼不纯度

图 4.7 – 一个父节点和两个子节点,以及它们各自的基尼杂质

在这种情况下,损失L将是如下:

使用这个损失计算方法,我们现在能够最小化杂质(从而最大化节点的纯度)。

注意

我们在这里定义的损失只是节点层次的损失。实际上,正如前面所说,决策树是通过贪心方法训练的,而不是通过梯度下降。

准备工作

最后,在进入本食谱的实际细节之前,我们需要安装以下库:scikit-learn、graphvizmatplotlib

它们可以通过以下命令行安装:

pip install scikit-learn graphviz matplotlib

如何操作…

在实际训练决策树之前,让我们快速浏览一下训练决策树的所有步骤:

  1. 我们有一个包含 N 个类别样本的节点。

  2. 我们遍历所有特征以及每个特征的所有可能值。

  3. 对于每个特征值,我们计算基尼杂质和损失。

  4. 我们保留具有最低损失的特征值,并将节点分裂成两个子节点。

  5. 返回到步骤 1,对两个节点进行处理,直到某个节点纯净(或者满足停止条件)。

使用这种方法,决策树最终会找到一组正确的决策,成功地分离各个类别。然后,对于每个叶子节点,有两种可能的情况:

  • 如果叶子节点纯净,则预测该类别

  • 如果叶子节点不纯净,则预测出现最多的类别

注意

测试所有可能特征值的一种方式是使用数据集中所有现有的值。另一种方法是对数据集中现有值的范围进行线性划分。

现在,让我们用 scikit-learn 在鸢尾花数据集上训练一个决策树:

  1. 首先,我们需要导入必需的库:用于数据可视化的matplotlib(如果没有其他需求,可以不必使用),用于加载数据集的load_iris,用于将数据集分为训练集和测试集的train_test_split,以及 scikit-learn 中实现的DecisionTreeClassifier决策树模型:

    from matplotlib import pyplot as plt
    
    from sklearn.datasets import load_iris
    
    from sklearn.model_selection import train_test_split
    
    from sklearn.tree import DecisionTreeClassifier
    
  2. 我们现在可以使用load_iris加载数据:

    # Load the dataset
    
    X, y = load_iris(return_X_y=True)
    
  3. 我们使用train_test_split将数据集分为训练集和测试集,保持默认参数,只指定随机状态以确保可重复性:

    # Split the dataset
    
    X_train, X_test, y_train, y_test = train_test_split(
    
        X, y, random_state=0)
    
  4. 在这一步,我们展示数据的二维投影。这个操作只是为了教学目的,但并非强制要求:

    # Plot the training points
    
    plt.scatter(X[:, 0], X[:, 1], c=y)
    
    plt.xlabel('Sepal length')
    
    plt.ylabel('Sepal width')
    
    plt.show()
    

这是相应的图表:

图 4.8 – 三个鸢尾花类别作为萼片宽度和萼片长度的函数(由代码生成的图)

图 4.8 – 三个鸢尾花类别作为萼片宽度和萼片长度的函数(由代码生成的图)

  1. 实例化DecisionTreeClassifier模型。我们在这里使用默认参数:

    # Instantiate the model
    
    dt = DecisionTreeClassifier()
    
  2. 在训练集上训练模型。这里我们没有对数据进行任何预处理,因为我们只有定量特征,而决策树不对特征的尺度敏感,不像线性模型。但如果对定量特征进行缩放也无妨:

    # Fit the model on the training data
    
    dt.fit(X_train, y_train)
    
  3. 最后,我们使用分类树的score()方法在训练集和测试集上评估模型的准确性:

    # Compute the accuracy on training and test sets
    
    print('Accuracy on training set:', dt.score(
    
        X_train, y_train))
    
    print('Accuracy on test set:', dt.score(
    
        X_test, y_test))
    

这将打印出以下输出:

Accuracy on training set: 1.0
Accuracy on test set: 0.9736842105263158

即使我们在训练集上出现了 100%的准确率,显然面临过拟合问题,我们仍然取得了令人满意的结果。

还有更多…

与线性模型不同,树没有与每个特征相关联的权重,因为树是由划分组成的。

为了可视化目的,我们可以利用graphviz库来展示树。这主要用于教学目的或兴趣,除此之外并不一定有用:

from sklearn.tree import export_graphviz
import graphviz
# We load iris data again to retrieve features and classes names
iris = load_iris()
# We export the tree in graphviz format
graph_data = export_graphviz(
    dt,
    out_file=None,
    feature_names=iris.feature_names,
    class_names=iris.target_names,
    filled=True, rounded=True
)
# We load the tree again with graphviz library in order to display it
graphviz.Source(graph_data)

这里是它的树形图:

图 4.9 – 使用 graphviz 库生成的树形可视化

图 4.9 – 使用 graphviz 库生成的树形可视化

从这个树形可视化中,我们可以看到,setosa 类的 37 个样本在第一个决策节点就完全被分类(考虑到数据的可视化,这并不令人惊讶)。而 virginica 和 versicolor 类的样本在提供的特征中似乎更为交织,因此树需要更多的决策节点才能完全区分它们。

与线性模型不同,我们没有与每个特征相关联的权重。但我们可以获得某种等效的信息,称为特征重要性,可以通过.``feature_importances属性获取:

import numpy as np
plt.bar(iris.feature_names, dt.feature_importances_)
plt.xticks(rotation=45))
plt.ylabel('Feature importance')
plt.title('Feature importance for the decision tree')
plt.show()

这里是它的图示:

图 4.10 – 特征重要性与特征名称的关系(由代码生成的直方图)

图 4.10 – 特征重要性与特征名称的关系(由代码生成的直方图)

该特征重要性是相对的(意味着所有特征重要性之和等于 1),并且是根据通过该特征分类的样本数量来计算的。

注意

特征重要性是根据用于划分的指标的减少量来计算的(例如,基尼不纯度或熵)。如果某个特征能够做出所有的划分,那么这个特征的重要性将是 1。

另见

Sci-kit 学习文档中关于分类树的说明,请参考以下网址:scikit-learn.org/stable/modules/generated/sklearn.tree.DecisionTreeClassifier.xhtml

构建回归树

在深入探讨决策树的正则化之前,让我们首先了解回归树的使用方法。事实上,之前的所有解释都是假设我们在处理分类任务。现在让我们解释如何将其应用于回归任务,并将其应用于加利福尼亚住房数据集。

对于回归树,与分类树相比,只需要修改几个步骤:推断和损失计算。除此之外,整体原理是相同的。

推断

为了进行推理,我们不能再使用叶子节点中最常见的类别(或者在纯叶子的情况下,唯一的类别)。因此,我们使用每个节点中标签的平均值。

图 4.11中提议的示例中,假设这是一个叶子节点,那么推理值将是这 10 个值的平均数,在这个案例中为 14。

图 4.11 – 具有相关值的 10 个样本示例

图 4.11 – 具有相关值的 10 个样本示例

损失

在回归树中,不使用杂乱度度量来计算损失,而是使用均方误差。所以,损失公式如下:

假设再次给定一个分割,导致左节点中的样本为,右节点中的样本为。每个分割的MSE通过计算该节点中标签的平均值来得出:

图 4.12 – 回归任务中的节点分割示例

图 4.12 – 回归任务中的节点分割示例

如果我们以图 4.12中提出的分割为例,我们已经具备计算 L 损失所需的一切:

基于这两处轻微的变化,我们可以使用与分类树相同的递归贪心算法来训练回归树。

准备工作

在实际操作之前,我们只需要安装 scikit-learn 库。如果尚未安装,只需在终端中输入以下命令:

pip install scikit-learn

如何操作…

我们将使用 scikit-learn 中的DecisionTreeRegressor类,在加利福尼亚房价数据集上训练回归树:

  1. 首先,所需的导入:fetch_california_housing函数用于加载加利福尼亚房价数据集,train_test_split函数用于拆分数据,DecisionTreeRegressor类包含回归树实现:

    from sklearn.datasets import fetch_california_housing
    
    from sklearn.model_selection import train_test_split
    
    from sklearn.tree import DecisionTreeRegressor
    
  2. 使用fetch_california_housing函数加载数据集:

    X, y = fetch_california_housing(return_X_y=True)
    
  3. 使用train_test_split函数将数据分为训练集和测试集:

    X_train, X_test, y_train, y_test = train_test_split(
    
        X, y, test_size=0.2, random_state=0)
    
  4. 实例化DecisionTreeRegressor对象。我们在这里保持默认参数,但此时可以自定义它们:

    dt = DecisionTreeRegressor()
    
  5. 使用DecisionTreeRegressor类的.fit()方法,在训练集上训练回归树。请注意,我们不对数据应用任何特定的预处理,因为我们只有定量特征,而决策树对特征尺度问题不敏感:

    dt.fit(X_train, y_train)
    
    DecisionTreeRegressor()
    
  6. 使用模型类的内置.score()方法,评估回归树在训练集和测试集上的 R2 分数:

    print('R2-score on training set:', dt.score(
    
        X_train, y_train))
    
    print('R2-score on test set:', dt.score(
    
        X_test, y_test))
    

这将显示类似以下内容:

R2-score on training set: 1.0
R2-score on test set: 0.5923572475948657

如我们所见,这里出现了强烈的过拟合,训练集上的 R2 分数完美,而测试集上的 R2 分数要差得多(但整体上仍然不错)。

另请参见

查看官方的 DecisionTreeRegressor 文档以获取更多信息:scikit-learn.org/stable/modules/generated/sklearn.tree.DecisionTreeRegressor.xhtml#sklearn-tree-decisiontreeregressor

正则化决策树

在这个食谱中,我们将探讨正则化决策树的方法。我们将回顾并评论几个方法供参考,并提供一些更多的供进一步探索。

准备工作

显然,我们无法像在线性模型中使用 L1 或 L2 正则化那样使用它。由于我们没有特征的权重,也没有类似均方误差或二元交叉熵的整体损失,因此在这里无法应用这种方法。

但我们确实有其他的正则化方法,例如树的最大深度、每个叶节点的最小样本数、每次分裂的最小样本数、最大特征数或最小杂质减少量。在这个食谱中,我们将探讨这些方法。

为此,我们只需要以下库:scikit-learn、matplotlibNumPy。另外,由于我们将提供一些可视化以帮助理解正则化,我们将使用以下的 plot_decision_function 函数:

def plot_decision_function(dt, X, y):
    # Create figure to draw chart
    plt.figure(2, figsize=(8, 6))
    # We create a grid of points contained within [x_min,
      #x_max]x[y_min, y_max] with step h=0.02
    x0_min, x0_max = X[:, 0].min() - .5, X[:, 0].max() + .5
    x1_min, x1_max = X[:, 1].min() - .5, X[:, 1].max() + .5
    h = .02  # step size of the grid
    xx0, xx1 = np.meshgrid(np.arange(x0_min, x0_max, h),
        np.arange(x1_min, x1_max, h))
    # Retrieve predictions for each point of the grid
    Z_dt = dt.predict(np.c_[xx0.ravel(), xx1.ravel()])
    Z_dt = Z_dt.reshape(xx0.shape)
    # Plot the decision boundary (label predicted assigned to a color)
    plt.pcolormesh(xx0, xx1, Z_dt, cmap=plt.cm.Paired)
    # Plot also the training points
    plt.scatter(X[:, 0], X[:, 1], c=y, edgecolors='k',
        cmap=plt.cm.Paired)
    # Format chart
    plt.xlabel('Sepal length')
    plt.ylabel('Sepal width')
    plt.xticks(())
    plt.yticks(())
    plt.show()

这个函数将帮助我们可视化决策树的决策函数,更好地理解分类树中的过拟合和正则化。

如何做……

我们将提供一个基于最大深度来正则化决策树的食谱,然后在 还有更多 部分探讨其他一些方法。

最大深度通常是调整超参数时首先需要调整的一个参数。事实上,正如我们之前看到的,决策树可以使用更多的决策节点学习复杂的数据模式。如果不加限制,决策树可能会因为太多连续的决策节点而过拟合数据。

我们现在将在鸢尾花数据集上训练一个限制最大深度的分类树:

  1. 进行必要的导入:

    • load_iris 函数用于加载数据集

    • train_test_split 函数用于将数据拆分为训练集和测试集

    • DecisionTreeClassifier 类:

      from sklearn.datasets import load_iris
      
      from sklearn.model_selection import train_test_split
      
      from sklearn.tree import DecisionTreeClassifier
      
  2. 使用 load_iris 函数加载数据集。为了能够完全可视化正则化的效果,我们还只保留了四个特征中的两个,以便可以将它们显示在图表中:

    X, y = load_iris(return_X_y=True)
    
    # Keep only 2 features
    
    X = X[:, :2]
    
  3. 使用 train_test_split 函数将数据拆分为训练集和测试集。我们只指定随机状态以确保可重复性,其他参数保持默认:

    X_train, X_test, y_train, y_test = train_test_split(
    
        X, y, random_state=0)
    
  4. 实例化一个决策树对象,将最大深度限制为五,并使用 max_depth=5 参数。我们还将随机状态设置为 0 以确保可重复性:

    dt = DecisionTreeClassifier(max_depth=5,
    
        random_state=0)
    
  5. 使用.fit()方法将分类树拟合到训练集。正如之前提到的,由于特征都是定量的,而决策树对特征的尺度不敏感,因此无需进行重缩放:

    dt.fit(X_train, y_train)
    
    DecisionTreeClassifier(max_depth=5, random_state=0)
    
  6. 使用DecisionTreeClassifier类的.score()方法评估模型准确性:

    print('Accuracy on training set:', dt.score(
    
        X_train, y_train))
    
    print('Accuracy on test set:', dt.score(
    
        X_test, y_test))
    

这将打印以下输出:

Accuracy on training set: 0.8660714285714286
Accuracy on test set: 0.6578947368421053

它是如何工作的…

为了更好地理解它是如何工作的,我们来看看我们保留的鸢尾花数据集的两个维度。我们将使用准备工作中定义的plot_decision_function()函数来绘制没有正则化的决策树的决策函数(即,默认超参数):

import numpy as np
from matplotlib import pyplot as plt
# Fit a decision tree over only 2 features
dt = DecisionTreeClassifier()
dt.fit(X_train[:, :2], y_train)
# Plot the decision tree decision function
plot_decision_function(dt, X_train[:, :2], y_train)

下面是图形:

图 4.13 – 模型的决策函数作为花萼宽度和花萼长度的函数,具有非常复杂且值得怀疑的决策函数(由代码生成的图)

图 4.13 – 模型的决策函数作为花萼宽度和花萼长度的函数,具有非常复杂且值得怀疑的决策函数(由代码生成的图)

从这个图中,我们可以推断出我们通常面临的是过拟合。事实上,边界非常具体,有时试图为单个样本创建复杂的模式,而不是专注于更高级的模式。

事实上,如果我们查看训练集和测试集的准确率,我们得到以下结果:

# Compute the accuracy on training and test sets for only 2 features
print('Accuracy on training set:', dt.score(X_train[:, :2], y_train))
print('Accuracy on test set:', dt.score(X_test[:, :2], y_test))

我们将得到以下输出:

Accuracy on training set: 0.9375
Accuracy on test set: 0.631578947368421

虽然训练集的准确率约为 94%,但测试集的准确率仅约为 63%。存在过拟合,正则化可能有助于缓解。

注意

由于我们仅使用两个特征进行可视化和教学目的,因此准确率远低于第一个示例。然而,如果我们保留四个特征,推理仍然成立。

现在让我们通过限制决策树的最大深度来添加正则化,正如我们在这个示例中所做的那样:

max_depth: int, default=None

如果树的最大深度是min_samples_split个样本。

这意味着默认情况下,树的深度没有限制地扩展。限制可能由其他因素设置,且深度可能非常大。如果我们通过将深度限制为5来解决这个问题,我们来看看对决策函数的影响:

# Fit a decision tree with max depth of 5 over only 2 features
dt = DecisionTreeClassifier(max_depth=5, random_state=0)
dt.fit(X_train[:, :2], y_train)
# Plot the decision tree decision function
plot_decision_function(dt, X_train[:, :2], y_train)

下面是输出结果:

图 4.14 – 最大深度正则化的决策函数(由代码生成的图)

图 4.14 – 最大深度正则化的决策函数(由代码生成的图)

通过将最大深度限制为5,我们得到了一个不太具体的决策函数,即使似乎仍然存在一些过拟合。如果我们再次查看准确率,我们可以看到它实际上有所帮助:

# Compute the accuracy on training and test sets for only 2 features
print('Accuracy on training set:', dt.score(X_train[:, :2], y_train))
print('Accuracy on test set:', dt.score(X_test[:, :2], y_test))

这将生成以下输出:

Accuracy on training set: 0.8660714285714286
Accuracy on test set: 0.6578947368421053

确实,测试集的准确率从 63%上升到 66%,而训练集的准确率从 95%下降到 87%。这通常是我们从正则化中可以预期的结果:它增加了偏差(因此降低了训练集的表现),并减少了方差(因此使我们能够更好地进行泛化)。

还有更多内容…

最大深度超参数非常方便,因为它容易理解并进行微调。但是,还有许多其他超参数可以帮助正则化决策树。我们将在这里回顾其中的一些。我们将重点介绍最小样本超参数,然后提出一些其他超参数。

最小样本数

其他允许我们进行正则化的超参数包括控制每个叶子节点的最小样本数和每次分裂的最小样本数。

这个想法相当直接且直观,但比最大深度更微妙。在我们在本章早些时候可视化的决策树中,我们可以看到第一次分裂分类了大量的样本。第一次分裂成功地将 37 个样本分类为 setosa,并将其余 75 个样本保留在另一个分裂中。在决策树的另一端,最底层的节点有时仅在三或四个样本上进行分裂。

仅在三条样本上进行分裂是否具有显著意义?如果这三条样本中有一个异常值呢?通常来说,如果最终目标是拥有一个稳健、良好泛化的模型,那么仅基于三条样本创建规则并不是什么值得期待的想法。

我们有两个不同但有些相关的超参数,可以帮助我们处理这个问题:

  • min_samples_split:进行内部节点分裂所需的最小样本数。如果提供的是浮动值,则表示样本总数的一个比例。

  • min_samples_leaf:被视为叶子的最小样本数。如果提供的是浮动值,则表示样本总数的一个比例。

虽然min_samples_split作用于决策节点层面,但min_samples_leaf仅作用于叶子层面。

让我们看看这是否能帮助我们避免在特定区域的过拟合。在这种情况下,我们将每次分裂的最小样本数设置为 15(其余参数保持默认值)。这预计将进行正则化,因为我们从决策树的可视化中知道,有些分裂的样本数少于五个:

# Fit a decision tree with min samples per split of 15 over only 2 features
dt = DecisionTreeClassifier(min_samples_split=15, random_state=0)
dt.fit(X_train[:, :2], y_train)
# Plot the decision tree decision function
plot_decision_function(dt, X_train[:, :2], y_train)

这是输出结果:

图 4.15 – 每次分裂正则化的决策函数(图由代码生成)

图 4.15 – 每次分裂正则化的决策函数(图由代码生成)

结果的决策函数与使用最大深度正则化时略有不同,且确实比没有对该超参数进行约束时更加正则化。

我们还可以查看准确率,以确认正则化是否成功:

# Compute the accuracy on training and test sets for only 2 features
print('Accuracy on training set:', dt.score(X_train[:, :2],
    y_train))
print('Accuracy on test set:', dt.score(X_test[:, :2],
    y_test))

我们将获得以下输出:

Accuracy on training set: 0.85714285714285717
Accuracy on test set: 0.7368421052631579

与默认超参数相比,测试集的准确率从 63%上升到 74%,而训练集的准确率从 95%下降到 86%。与最大深度超参数相比,我们增加了些许正则化,并在测试集上获得了略微更好的结果。

通常,关于样本数量的超参数(无论是每个叶子还是每个分裂)可能比最大深度提供更细粒度的正则化。实际上,最大深度超参数为整个决策树设置了一个固定的硬限制。但有可能两个处于相同深度层次的节点包含的样本数不同。一个节点可能有数百个样本(这时分裂可能是相关的),而另一个节点可能只有几个样本。

对于最小样本数的准则更为微妙:无论树的深度如何,如果一个节点没有足够的样本,我们认为没有必要进行分裂。

其他超参数

其他超参数可以用于正则化。我们不会逐一讲解每个超参数的细节,而是列出它们并简要解释:

  • max_features:默认情况下,决策树会在所有特征中找到最佳分裂。你可以通过设置每次分裂时使用的特征最大数量来增加随机性,可能通过加入噪声来增加正则化。

  • max_leaf_nodes:设置树中叶子的数量上限。它类似于最大深度超参数,通过限制分裂的数量进行正则化,优先选择具有最大纯度减少的节点。

  • min_impurity_decrease:仅当纯度减少超过给定阈值时,才会分裂节点。这允许我们通过只选择影响较大的节点分裂来进行正则化。

注意

尽管我们没有提到回归树,但其行为和原理是类似的,相同的超参数也可以通过类似的行为进行微调。

参见

scikit-learn 文档对所有超参数及其潜在影响进行了详细说明:scikit-learn.org/stable/modules/generated/sklearn.tree.DecisionTreeClassifier.xhtml

训练随机森林算法

随机森林算法是一种集成学习模型,意味着它使用多个决策树集成,因此其名字中有森林

在这个步骤中,我们将解释它是如何工作的,然后在加利福尼亚房价数据集上训练一个随机森林模型。

准备工作

集成学习在某种程度上基于集体智能的理念。让我们做一个思维实验,以理解集体智能的力量。

假设我们有一个机器人,它在任何二元问题上随机回答正确的概率为 51%。这会被认为是低效且不可靠的。

但是现在,我们假设不仅使用一个,而是使用一支随机回答问题的机器人队伍,并使用多数投票作为最终答案。如果我们有 1,000 个这样的机器人, majority vote 将 75%的情况下提供正确答案。如果我们有 10,000 个机器人, majority vote 将 97%的情况下提供正确答案。这会将一个低效的系统转变为一个极为高效的系统。

注意

对这个例子做了一个强假设:每个机器人必须独立于其他机器人。否则,这个例子就不成立。事实上,极端的反例是,所有机器人对任何问题都给出相同的答案,在这种情况下,无论你使用多少个机器人,准确率都保持在 51%。

这是集体智慧的概念,它在某种程度上与人类社会相关。大多数情况下,集体知识超过个人知识。

这也是集成模型背后的理念:一组弱学习者可以变成一个强大的模型。为了做到这一点,在随机森林中,我们需要定义两个关键方面:

  • 如何计算多数投票

  • 如何确保我们模型中每棵决策树在随机性下的独立性

多数投票

为了正确解释多数投票,假设我们有一个由三棵决策树组成的集成模型,训练于一个二分类任务。在给定的样本上,预测结果如下:

类别 1 的预测概率类别预测
树 10.050
树 20.61
树 30.551

表格 4.1 – 预测

我们为每棵决策树提供了两条信息:

  • 类别 1 的预测概率

  • 预测类别(通常在概率>0.5 时计算为类别 1,否则计算为类别 0)

注意

DecisionTreeClassifier.predict_proba()方法允许我们获取预测概率。它是通过使用预测叶子中给定类别的比例计算的。

我们可以提出许多方法来计算这样的数据的多数投票,但让我们探讨两种方法,硬投票和软投票:

  • 硬投票是最直观的一种。这是简单的多数投票,即预测类别的简单多数。在我们的例子中,类别 1 被预测了三次中的两次。在这种情况下,硬多数投票的类别为 1。

  • 一个软投票方法使用平均概率然后应用一个阈值。在我们的例子中,平均概率为 0.4,低于 0.5 的阈值。在这种情况下,软多数投票的类别为 0。

特别值得注意的是,即使三棵树中有两棵预测了类别 1,唯一一个非常自信(具有高概率)的树却是预测类别 0 的那棵树。

一个现实中的例子是,当面对一个问题时:

  • 两个朋友给出了 A 答案,但不确定

  • 一个朋友给出了 B 答案,但非常自信

在这种情况下你会怎么做呢?你很可能会听从那个非常自信的朋友。这正是软多数投票的含义:赋予自信度高的树更多权重。大多数情况下,软投票优于硬投票。幸运的是,scikit-learn 中的随机森林实现是基于软投票的。

集成法

集成法(Bagging)是随机森林中的一个关键概念,它确保了决策树之间的独立性,并由自助抽样和聚合组成。让我们看看这两个步骤是如何协同工作,充分发挥集成决策树的优势的。

自助抽样是有放回的随机抽样。简单来说,如果我们对样本进行自助抽样并允许有放回,则意味着我们会随机从数据集中挑选样本,并且样本在选中后不会从数据集中移除,可能会被重新挑选。

假设我们有一个包含 10 个样本的初始数据集,样本为蓝色或红色。如果我们使用自助抽样从该初始数据集中选择 10 个样本,可能会有些样本缺失,某些样本可能会出现多次。如果我们独立进行三次这样的操作,可能会得到三个略有不同的数据集,就像在图 4.16中所示的那样。我们称这些新创建的数据集为子样本:

图 4.16 – 对初始数据集进行三次自助抽样并选择 10 个样本进行替换(这三个生成的子样本略有不同)

图 4.16 – 对初始数据集进行三次自助抽样并选择 10 个样本进行替换(这三个生成的子样本略有不同)

由于这些子样本略有不同,在随机森林中,会对每个子样本训练一个决策树,并希望得到独立的模型。接下来的步骤是通过软多数投票聚合这些模型的结果。一旦这两个步骤(自助抽样和聚合)结合起来,这就是我们所说的集成法(bagging)。图 4.17总结了这两个步骤:

图 4.17 – 对样本进行自助抽样并聚合结果以得到集成模型

图 4.17 – 对样本进行自助抽样并聚合结果以得到集成模型

正如我们所看到的,随机森林中的随机来自于样本的自助抽样(bootstrapping),意味着我们为每个训练的决策树随机选择原始数据集的一个子样本。但实际上,为了教学的需要,其他层次的随机性被省略了。无需进入所有细节,随机森林算法中有三个层次的随机性:

  • 样本的自助抽样:样本是通过有放回的方式进行选择的

  • 特征的自助抽样:特征是通过有放回的方式进行选择的

  • 节点最佳分割特征选择:在 scikit-learn 中,默认使用所有特征,因此在这一层次没有随机性

现在我们对随机森林的工作原理有了足够清晰的理解,接下来让我们在回归任务上训练一个随机森林算法。为此,我们只需要安装 scikit-learn。如果尚未安装,只需使用以下命令行进行安装:

pip install scikit-learn

如何操作……

与 scikit-learn 中的其他机器学习模型一样,训练随机森林算法也非常简单。主要有两个类:

  • RandomForestRegressor用于回归任务

  • RandomForestClassifier用于分类任务

在这里,我们将使用RandomForestRegressor模型处理加利福尼亚住房数据集:

  1. 首先,让我们进行必要的导入:fetch_california_housing用于加载数据,train_test_split用于分割数据集,RandomForestRegressor用于模型本身:

    from sklearn.datasets import fetch_california_housing
    
    from sklearn.model_selection import train_test_split
    
    from sklearn.ensemble import RandomForestRegressor
    
  2. 使用fetch_california_housing加载数据集:

    X, y = fetch_california_housing(return_X_y=True)
    
  3. 使用train_test_split分割数据。在这里,我们仅使用默认参数,并将随机种子设置为 0,以确保结果可复现:

    X_train, X_test, y_train, y_test = train_test_split(
    
        X, y, random_state=0)
    
  4. 实例化RandomForestRegressor模型。为简单起见,我们在此保持类的默认参数,只指定随机种子:

    rf = RandomForestRegressor(random_state=0)
    
  5. 使用.fit()方法在训练集上训练模型。这可能需要几秒钟来计算:

    rf.fit(X_train, y_train)
    
    RandomForestRegressor(random_state=0)
    
  6. 使用.score()方法评估训练集和测试集的 R2 得分:

    # Display the accuracy on both training and test set
    
    print('R2-score on training set:', rf.score(X_train, y_train))
    
    print('R2-score on test set:', rf.score(X_test, y_test))
    

我们的输出结果如下:

R2-score on training set: 0.9727159677969947
R2-score on test set: 0.7941678302821006

在训练集上的 R2 得分为 97%,而在测试集上的得分仅为 79%。这意味着我们遇到了过拟合问题,在下一个示例中我们将看到如何为此类模型添加正则化。

另见

随机森林的正则化

随机森林算法与决策树共享许多超参数,因为随机森林是由多棵树组成的。但还有一些额外的超参数存在,因此在这个示例中,我们将介绍它们,并展示如何使用它们来改善加利福尼亚住房数据集回归任务的结果。

入门

随机森林已知容易过拟合。即使这不是一个正式的证明,在前一个示例中,我们确实遇到了相当强的过拟合问题。但随机森林与决策树一样,拥有许多超参数,允许我们尝试减少过拟合。对于决策树,我们可以使用以下超参数:

  • 最大深度

  • 每个叶子的最小样本数

  • 每个划分的最小样本数

  • max_features

  • max_leaf_nodes

  • min_impurity_decrease

但也可以微调其他一些超参数:

  • n_estimators:这是在随机森林中训练的决策树的数量。

  • max_samples:从给定数据集中抽取的样本数,用于训练每棵决策树。较低的值会增加正则化。

从技术上讲,本食谱假设已安装 scikit-learn。

如何做到……

在这个食谱中,我们将尝试通过将特征的最大数量限制为特征总数的对数来添加正则化。如果你正在使用与前一个食谱相同的环境,你可以直接跳到第 4 步

  1. 像往常一样,让我们进行所需的导入:fetch_california_housing用于加载数据,train_test_split用于划分数据集,RandomForestRegressor用于模型本身:

    from sklearn.datasets import fetch_california_housing
    
    from sklearn.model_selection import train_test_split
    
    from sklearn.ensemble import RandomForestRegressor
    
  2. 使用fetch_california_housing加载数据集:

    X, y = fetch_california_housing(return_X_y=True)
    
  3. 使用train_test_split划分数据。在这里,我们仅使用默认参数,这意味着我们有一个 75%和 25%的划分,并将随机状态设置为0以保证可重复性:

    X_train, X_test, y_train, y_test = train_test_split(
    
        X, y, random_state=0)
    
  4. 实例化RandomForestRegressor模型。这次,我们指定max_features='log2',这样每次拆分时,只会使用所有特征的一个随机子集(大小为log2(n),假设有n个特征):

    rf = RandomForestRegressor(max_features='log2', random_state=0)
    
  5. 使用.fit()方法在训练集上训练模型。这可能需要几秒钟时间来计算:

    rf.fit(X_train, y_train)
    
    RandomForestRegressor(max_features='log2', random_state=0)
    
  6. 使用.score()方法评估训练集和测试集上的 R2 得分:

    print('R2-score on training set:', rf.score(X_train,
    
        y_train))
    
    print('R2-score on test set:', rf.score(X_test,
    
        y_test))
    

这将返回以下内容:

R2-score on training set: 0.9748218476882353
R2-score on test set: 0.8137208340736402

与前一个使用默认超参数的食谱相比,它将测试集的 R2 得分从 79%提高到了 81%,而对训练集得分的影响不大。

注意

在机器学习的许多情况下,像这样,可能会遇到一个棘手的情况(有时甚至不可能),即训练集和测试集的性能无法达到平衡。这意味着,即使训练集的 R2 得分为 97%,测试集为 79%,也不能保证你能改善测试集上的 R2 得分。有时,即使是最好的超参数也不是改善性能的正确关键。

简而言之,所有适用于决策树的正则化规则都可以应用于随机森林,并且还提供了更多的规则。像往常一样,找到合适的超参数集的有效方法是通过超参数优化。随机森林的训练时间比简单的决策树要长,因此可能需要一些时间。

使用 XGBoost 训练提升模型

现在让我们看看决策树的另一个应用:提升。与并行训练多棵树的包装(在随机森林模型中使用)不同,提升是关于顺序训练树。在这个食谱中,我们将快速回顾什么是提升,然后使用 XGBoost,一个广泛使用的提升库,训练一个提升模型。

准备工作

让我们来看一下引入包装的局限性,然后看看提升如何解决其中的一些限制,以及如何解决。最后,让我们使用 XGBoost 在已经准备好的 Titanic 数据集上训练一个模型。

包装的局限性

假设我们有一个二分类任务,我们在两个特征上训练了三棵决策树的随机森林。如果在特征空间中的任何地方,至少三分之二的决策树是正确的,那么袋装方法预计将表现良好,如图 4.18所示。

图 4.18 – 虚线圆圈区域的重叠缺失突出显示了决策树的错误,展示了随机森林的强大性能

图 4.18 – 虚线圆圈区域的重叠缺失突出显示了决策树的错误,展示了随机森林的强大性能

图 4.18中,我们观察到虚线圆圈内的区域是决策树错误的地方。由于它们没有重叠,三分之二的决策树在任何地方都是正确的。因此,随机森林表现良好。

不幸的是,始终有三分之二的决策树正确是一个强假设。如果在特征空间中只有一个或更少的决策树是正确的,会发生什么?如图 4.19所示,随机森林算法开始表现不佳。

图 4.19 – 当三个决策树中只有一个或更少是正确时,随机森林表现不佳

图 4.19 – 当三个决策树中只有一个或更少是正确时,随机森林表现不佳

让我们看看提升如何通过顺序训练决策树来修复这个问题,使每棵树都试图修正前一棵树的错误。

注意

这些示例被简化了,因为随机森林可以使用软投票,因此可以预测只有少数几棵树预测的类别。但总体原理仍然适用。

梯度提升原理

梯度提升有几种实现方式,存在一些差异:XGBoost、CatBoost 和 LightGBM 都有各自的优缺点,而每个方法的细节超出了本书的范围。我们将解释梯度提升算法的一些通用原理,足以对模型有一个高层次的理解。

算法训练可以通过以下步骤总结:

  1. 在训练集上计算平均猜测值!

  2. 计算每个样本相对于最后一次猜测预测的伪残差!

  3. 在伪残差上训练一个决策树作为标签,从而得到预测值!

  4. 基于决策树的性能计算权重!

  5. 使用学习率𝜂、𝛾i 和这些预测的伪残差更新猜测值:o。

  6. 回到步骤 2,使用更新后的!,迭代直到达到决策树的最大数量或其他标准。

最终,最终预测将是以下内容:

𝜂学习率是一个超参数,通常为 0.001。

注意

所有提升算法的实现都有些不同。例如,并不是所有提升算法的树都与权重 𝛾 相关。但由于这是我们将在此使用的 XGBoost 所具备的特性,因此值得提及,以便更好地理解。

最终,拥有足够的决策树可以让模型在大多数情况下表现得足够好。与随机森林不同,提升模型通常避免了类似于在同一位置有最多错误决策树的陷阱,因为每棵决策树都在尝试修正剩余的错误。

此外,提升模型通常比随机森林模型更具鲁棒性和泛化能力,使其在许多应用中非常强大。

最后,对于这个食谱,我们需要安装以下库:picklexgboost。它们可以通过以下命令行使用 pip 安装:

pip install pickle xgboost

我们还将重用之前准备好的 Titanic 数据集,以避免花费过多时间在数据准备上。该数据可以在github.com/PacktPublishing/The-Regularization-Cookbook/blob/main/chapter_02/prepared_titanic.pkl下载,并应在进行该食谱之前通过以下命令行本地添加:

wget https://github.com/PacktPublishing/The-Regularization-Cookbook/blob/main/chapter_02/prepared_titanic.pkl

如何做…

XGBoost 是一种非常流行的梯度提升实现。它可以像 scikit-learn 中的模型一样使用,使用以下方法:

  • fit(X, y) 用于训练模型

  • predict(X) 用于计算预测结果

  • score(X, y) 用于评估模型

我们将在本地下载的 Titanic 数据集上使用默认参数:

  1. 第一步是所需的导入。在这里,我们需要 pickle 来读取二进制格式的数据,以及 XGBoost 分类模型类 XGBClassifier

    import pickle
    
    from xgboost import XGBClassifier
    
  2. 我们使用 pickle 加载已经准备好的数据。请注意,我们已经得到一个拆分数据集,因为它实际上是以这种方式保存的:

    X_train, X_test, y_train, y_test = pickle.load(open(
    
        'prepared_titanic.pkl', 'rb'))
    
  3. 实例化提升模型。我们指定 use_label_encoder=False,因为我们的定性特征已经通过一热编码进行了编码,而且这个特性即将被弃用:

    bst = XGBClassifier(use_label_encoder=False)
    
  4. 使用 .fit() 方法在训练集上训练模型,就像我们为 scikit-learn 模型所做的那样:

    # Train the model on training set
    
    bst.fit(X_train, y_train)
    
  5. 使用 .score() 方法计算模型在训练集和测试集上的准确度。同样,这与 scikit-learn 中的做法相同:

    print('Accuracy on training set:', bst.score(X_train,
    
        y_train))
    
    print('Accuracy on test set:', bst.score(X_test,
    
        y_test))
    

现在我们得到以下结果:

Accuracy on training set: 0.9747191011235955
Accuracy on test set: 0.8156424581005587

我们注意到过拟合:训练集准确率为 97%,但测试集准确率仅为 81%。但最终,测试集的结果还是相当不错的,因为在 Titanic 数据集上很难达到 85% 以上的准确度。

另见

使用 XGBoost 进行正则化

在介绍了提升方法和 XGBoost 分类使用的实例后,接下来我们来看一下如何对这些模型进行正则化。我们将使用相同的 Titanic 数据集,并尝试提高测试准确度。

准备就绪

就像随机森林一样,XGBoost 模型由决策树组成。因此,它有一些超参数,例如树的最大深度(max_depth)或树的数量(n_estimators),这些超参数可以以相同的方式进行正则化。它还有一些与决策树相关的其他超参数可以进行微调:

  • subsample:用于训练的随机抽取样本数,等同于 scikit-learn 中决策树的max_sample。较小的值可能会增加正则化效果。

  • colsample_bytree:在每棵树中随机抽取的特征数量(等同于 scikit-learn 的max_features)。较小的值可能会增加正则化效果。

  • colsample_bylevel:在树级别随机抽取的特征数量。较小的值可能会增加正则化效果。

  • colsample_bynode:在节点级别随机抽取的特征数量。较小的值可能会增加正则化效果。

最后,还有一些与决策树或随机森林不同的超参数可以用于调优 XGBoost 模型:

  • learning_rate:学习率。较小的学习率可能会使训练更加接近训练集。因此,较大的学习率可能会起到正则化作用,尽管它也可能会降低模型性能。

  • reg_alpha:L1 正则化的强度。较高的值意味着更强的正则化。

  • reg_lambda:L2 正则化的强度。较高的值意味着更强的正则化。

与之前所见的其他基于树的模型不同,XGBoost 也支持 L1 和 L2 正则化。实际上,由于每棵树都有一个关联的权重𝛾i,因此可以像在线性模型中一样对这些参数添加 L1 或 L2 正则化。

这些是调优 XGBoost 时需要微调的主要超参数,以优化并适当正则化模型。虽然它是一个强大、健壮且高效的模型,但由于超参数数量众多,最佳调优可能会比较困难。

更实际地说,在这个实例中,我们将只添加 L1 正则化。为此,我们只需要安装 XGBoost,并准备好 Titanic 数据集,如同上一个实例一样。

如何做到这一点…

在这个实例中,我们将使用reg_alpha参数添加 L1 正则化,以便添加偏差并希望减少模型的方差。我们将重新使用之前实例中的XGBClassifier模型,使用已经准备好的 Titanic 数据。如果你的环境与之前一样,可以跳到步骤 3

  1. 和往常一样,我们从必需的导入开始:使用 pickle 从二进制格式读取数据,并使用 XGBoost 分类模型类 XGBClassifier

    import pickle
    
    from xgboost import XGBClassifier
    
  2. 然后,使用 pickle 加载已经准备好的数据。它假设 prepared_titanic.pkl 文件已经在本地下载:

    X_train, X_test, y_train, y_test = pickle.load(open(
    
        'prepared_titanic.pkl', 'rb'))
    
  3. 实例化提升模型。除了指定 use_label_encoder=False 外,我们现在还指定 reg_alpha=1 来添加 L1 正则化:

    bst = XGBClassifier(use_label_encoder=False,reg_alpha=1)
    
  4. 使用 .``fit() 方法在训练集上训练模型:

    bst.fit(X_train, y_train)
    
  5. 最后,使用 .``score() 方法计算模型在训练集和测试集上的准确率:

    print('Accuracy on training set:', bst.score(X_train,
    
        y_train))
    
    print('Accuracy on test set:', bst.score(X_test,
    
        y_test))
    

这将打印以下内容:

Accuracy on training set: 0.9410112359550562
Accuracy on test set: 0.8435754189944135

与之前的默认超参数配置相比,加入 L1 惩罚使我们能够改善结果。现在在测试集上的准确率约为 84%,而在训练集上降低到 94%,有效地加入了正则化。

还有更多内容……

使用 XGBoost 寻找最佳超参数集可能会比较棘手,因为超参数种类繁多。当然,使用超参数优化技术是为了节省一些前期时间。

对于回归任务,如前所述,XGBoost 库有一个 XGBRegressor 类来实现这些任务,并且相同的超参数对正则化有相同的效果。

第五章:数据正则化

尽管有许多正则化方法可供模型使用(每个模型都有一套独特的超参数),但有时最有效的正则化方法来自于数据本身。事实上,有时即使是最强大的模型,如果数据没有事先正确转换,也无法达到良好的性能。

在本章中,我们将介绍一些有助于通过数据正则化模型的方法:

  • 哈希高基数特征

  • 聚合特征

  • 对不平衡数据集进行欠采样

  • 对不平衡数据集进行过采样

  • 使用 SMOTE 对不平衡数据进行重采样

技术要求

在本章中,您将对数据应用几个技巧,并通过命令行重采样数据集或下载新数据。为此,您需要以下库:

  • NumPy

  • pandas

  • scikit-learn

  • imbalanced-learn

  • category_encoders

  • Kaggle API

哈希高基数特征

高基数特征是具有许多可能值的定性特征。高基数特征在许多应用中都会出现,例如客户数据库中的国家、广告中的手机型号,或 NLP 应用中的词汇。高基数问题可能是多方面的:不仅可能导致非常高维的数据集,而且随着越来越多的值的出现,它们还可能不断发展。事实上,即使国家数量或词汇的数据相对稳定,每周(如果不是每天)也会有新的手机型号出现。

哈希是一种非常流行且有用的处理这类问题的方法。在本章中,我们将了解它是什么,以及如何在实践中使用它来预测员工是否会离开公司。

入门

哈希是计算机科学中非常有用的技巧,广泛应用于密码学或区块链等领域。例如,它在处理高基数特征时也在机器学习中非常有用。它本身不一定有助于正则化,但有时它可能是一个副作用。

什么是哈希?

哈希通常在生产环境中用于处理高基数特征。高基数特征往往具有越来越多的可能结果。这些结果可能包括诸如手机型号、软件版本、商品 ID 等。在这种情况下,使用独热编码(one-hot encoding)处理高基数特征可能会导致一些问题:

  • 所需空间不是固定的,无法控制

  • 我们需要弄清楚如何编码一个新值

使用哈希代替独热编码可以解决这些限制。

为此,我们必须使用一种哈希函数,它将输入转换为一个可控的输出。一种著名的哈希函数是md5。如果我们对一些字符串应用md5,我们将得到如下结果:

from hashlib import md5
print('hashing of "regularization" ->',
    md5(b'regularization').hexdigest())
print('hashing of "regularized" ->',
    md5(b'regularized').hexdigest())
print('hashing of "machine learning" ->',
    md5(b'machine learning').hexdigest())

输出将如下所示:

hashing of "regularization" -> 04ef847b5e35b165c190ced9d91f65da
hashing of "regularized" -> bb02c45d3c38892065ff71198e8d2f89
hashing of "machine learning" -> e04d1bcee667afb8622501b9a4b4654d

如我们所见,哈希具有几个有趣的特性:

  • 无论输入大小如何,输出大小是固定的

  • 两个相似的输入可能导致非常不同的输出

这些属性使得哈希函数在与高基数特征一起使用时非常有效。我们需要做的就是这样:

  1. 选择一个哈希函数。

  2. 定义输出的预期空间维度。

  3. 使用该函数对我们的特征进行编码。

当然,哈希也有一些缺点:

  • 可能会发生冲突——两个不同的输入可能会有相同的输出(即使这不一定会影响性能,除非冲突非常严重)

  • 我们可能希望相似的输入有相似的输出(一个精心选择的哈希函数可以具备这样的特性)

所需的安装

我们需要为这个示例做一些准备。由于我们将下载一个 Kaggle 数据集,首先,我们需要安装 Kaggle API:

  1. 使用pip安装该库:

    pip install kaggle
    
  2. 如果你还没有这样做,创建一个 Kaggle 账户,访问www.kaggle.com

  3. 转到你的个人资料页面并通过点击kaggle.json文件将其下载到计算机:

图 5.1 – Kaggle 网站截图

图 5.1 – Kaggle 网站截图

  1. 你需要通过以下命令行将新下载的kaggle.json文件移动到~/.kaggle

    mkdir ~/.kaggle && mv kaggle.json ~/.kaggle/.
    
  2. 现在你可以使用以下命令行下载数据集:

    kaggle datasets download -d reddynitin/aug-train
    
  3. 我们现在应该有一个名为aug-train.zip的文件,其中包含我们将在这个示例中使用的数据。我们还需要通过以下命令行安装category_encoderspandassklearn库:

    pip install category_encoders pandas scikit-learn.
    

如何做...

在这个示例中,我们将加载并快速准备数据集(快速意味着更多的数据准备可能会带来更好的结果),然后应用逻辑回归模型来处理这个分类任务。在所选数据集上,city特征有 123 个可能的结果,因此可以认为它是一个高基数特征。此外,我们可以合理地假设生产数据可能包含更多的城市,因此哈希技巧在这里是有意义的:

  1. 导入所需的模块、函数和类:pandas用于加载数据,train_test_split用于划分数据,StandardScaler用于重新缩放定量特征,HashingEncoder用于编码定性特征,LogisticRegression作为模型:

    Import numpy as np
    
    import pandas as pd
    
    from sklearn.model_selection import train_test_split
    
    from sklearn.preprocessing import StandardScaler, OneHotEncoder
    
    from category_encoders.hashing import HashingEncoder
    
    from sklearn.linear_model import LogisticRegression
    
  2. 使用pd.read_csv()加载数据集。请注意,我们不需要先解压数据集,因为压缩包只包含一个 CSV 文件——pandas会为我们处理这一切:

    df = pd.read_csv('aug-train.zip')
    
    print('number of unique values for the feature city',
    
        df['city'].nunique())
    

正如我们所见,数据集中的city特征有123个可能的值:

number of unique values for the feature city 123
  1. 移除任何缺失的数据。我们在这里采取非常粗暴的策略:移除所有缺失数据较多的特征,然后移除所有包含剩余缺失数据的行。通常这不是推荐的方法,因为我们丢失了大量潜在有用的信息。由于处理缺失数据不在此讨论范围内,我们将采取这种简化的方法:

    df = df.drop(columns=['gender', 'major_discipline',
    
        'company_size', 'company_type'])
    
    df = df.dropna()
    
  2. 使用train_test_split函数将数据拆分为训练集和测试集:

    X_train, X_test, y_train, y_test = train_test_split(
    
        df.drop(columns=['target']), df['target'],
    
        stratify=df['target'], test_size=0.2,
    
        random_state=0
    
    )
    
  3. 选择并重新缩放任何定量特征。我们将使用标准化器来重新缩放所选的定量特征,但其他任何缩放器也可能适用:

    quanti_feats = ['city_development_index', 'training_hours']
    
    # Instantiate the scaler
    
    scaler = StandardScaler()
    
    # Select quantitative features
    
    X_train_quanti = X_train[quanti_feats]
    
    X_test_quanti = X_test[quanti_feats]
    
    # Rescale quantitative features
    
    X_train_quanti = scaler.fit_transform(X_train_quanti)
    
    X_test_quanti = scaler.transform(X_test_quanti)
    
  4. 选择并准备“常规”定性特征。在这里,我们将使用scikit-learn中的一热编码器,尽管我们也可以对这些特征应用哈希技巧:

    quali_feats = ['relevent_experience',
    
        'enrolled_university', 'education_level',
    
        'experience', 'last_new_job']
    
    quali_feats = ['last_new_job']
    
    # Instantiate the one hot encoder
    
    encoder = OneHotEncoder()
    
    # Select qualitative features to one hot encode
    
    X_train_quali = X_train[quali_feats]
    
    X_test_quali = X_test[quali_feats]
    
    # Encode those features
    
    X_train_quali = encoder.fit_transform(
    
        X_train_quali).toarray()
    
    X_test_quali = encoder.transform(
    
        X_test_quali).toarray()
    
  5. 使用哈希对高基数的'city'特征进行编码。由于当前该特征有123个可能的值,我们可以只使用 7 位来编码整个可能的值空间。这就是n_components=7参数所表示的内容。为了安全起见,我们可以将其设置为 8 位或更多,以考虑数据中可能出现的更多城市:

    high_cardinality_feature = ['city']
    
    # Instantiate the hashing encoder
    
    hasher = HashingEncoder(n_components=7)
    
    # Encode the city feature with hashing
    
    X_train_hash = hasher.fit_transform(
    
        X_train[high_cardinality_feature])
    
    X_test_hash = hasher.fit_transform(
    
        X_test[high_cardinality_feature])
    
    # Display the result on the training set
    
    X_train_hash.head()
    

输出结果类似于以下内容:

  col_0    col_1    col_2    col_3    col_4    col_5    col_6
18031     1       0         0       0       0         0              0
16295     0       0         0       1        0         0              0
7679      0       0         0        0       0         1              0
18154     0       0         1        0        0        0              0
10843     0       0         0        0        0        1              0

注意

如我们所见,所有值都被编码成七列,涵盖了 2⁷ = 128 个可能的值。

  1. 将所有准备好的数据连接起来:

    X_train = np.concatenate([X_train_quali,
    
        X_train_quanti, X_train_hash], 1)
    
    X_test = np.concatenate([X_test_quali,
    
        X_test_quanti, X_test_hash], 1)
    
  2. 实例化并训练逻辑回归模型。在这里,我们将使用scikit-learn为逻辑回归提供的默认超参数:

    lr = LogisticRegression()
    
    lr.fit(X_train, y_train)
    
  3. 使用.``score()方法打印训练集和测试集的准确率:

    print('Accuracy train set:', lr.score(X_train,
    
        y_train))
    
    print('Accuracy test set:', lr.score(X_test, y_test))
    

输出结果类似于以下内容:

Accuracy train set: 0.7812087988342239
Accuracy test set: 0.7826810990840966

如我们所见,我们在测试集上的准确率大约为 78%,且没有明显的过拟合。

注意

可能添加一些特征(例如,通过特征工程)有助于改善模型,因为目前模型似乎没有过拟合,且在自身上似乎没有太多提升空间。

另见

聚合特征

当你处理高基数特征时,一种可能的解决方案是减少该特征的实际基数。这里,聚合是一个可能的解决方案,并且在某些情况下可能非常有效。在本节中,我们将解释聚合是什么,并讨论何时应该使用它。完成这些后,我们将应用它。

准备工作

在处理高基数特征时,一热编码会导致高维数据集。由于所谓的维度灾难,即使有非常大的训练数据集,一热编码的高基数特征也可能会导致模型泛化能力不足。因此,聚合是一种降低一热编码维度的方法,从而降低过拟合的风险。

有几种方法可以进行聚合。例如,假设我们有一个包含“手机型号”特征的客户数据库,其中包含许多可能的手机型号(即数百种)。至少有两种方法可以对这种特征进行聚合:

  • 按出现概率:在数据中出现少于 X%的任何模型被视为“其他”

  • 按给定相似度:我们可以按生成、品牌甚至价格来聚合模型

这些方法有其优缺点:

  • 优点:按出现次数聚合简单、始终有效,并且不需要任何领域知识

  • 缺点:按给定相似度聚合可能更相关,但需要对特征有一定了解,而这些知识可能不可得,或者可能需要很长时间(例如,如果有数百万个值的话)

注意

当特征存在长尾分布时,聚合也有时很有用,这意味着一些值出现得很频繁,而许多其他值则仅偶尔出现。

在本配方中,我们将对一个包含许多城市作为特征但没有城市名称信息的数据集进行聚合。这将使我们只剩下按出现次数聚合的选择。我们将重复使用前一个配方中的相同数据集,因此我们将需要 Kaggle API。为此,请参考前一个配方。通过 Kaggle API,可以使用以下命令下载数据集:

kaggle datasets download -d reddynitin/aug-train

我们还需要pandasscikit-learn库,可以通过以下命令安装:

pip install pandas scikit-learn.

如何操作...

我们将使用与前一个配方相同的数据集。为了准备这个配方,我们将基于数据集中城市的出现次数聚合城市特征,然后在此数据上训练并评估模型:

  1. 导入所需的模块、函数和类:pandas用于加载数据,train_test_split用于划分数据,StandardScaler用于重新缩放定量特征,OneHotEncoder用于编码定性特征,LogisticRegression作为模型:

    Import numpy as np
    
    import pandas as pd
    
    from sklearn.model_selection import train_test_split
    
    from sklearn.preprocessing import OneHotEncoder, StandardScaler
    
    from sklearn.linear_model import LogisticRegression
    
  2. 使用pandas加载数据集。无需先解压文件——这一切都由pandas处理:

    df = pd.read_csv('aug-train.zip')
    
  3. 删除任何缺失数据。就像在前一个配方中一样,我们将采用一个简单的策略,删除所有有大量缺失数据的特征,然后删除包含缺失数据的行:

    df = df.drop(columns=['gender', 'major_discipline',
    
        'company_size', 'company_type'])
    
    df = df.dropna()
    
  4. 使用train_test_split函数将数据拆分为训练集和测试集:

    X_train, X_test, y_train, y_test = train_test_split(
    
        df.drop(columns=['target']), df['target'],
    
        stratify=df['target'], test_size=0.2,
    
        random_state=0
    
    )
    
  5. 使用scikit-learn提供的标准缩放器对任何定量特征进行重新缩放:

    quanti_feats = ['city_development_index',
    
        'training_hours']
    
    scaler = StandardScaler()
    
    X_train_quanti = X_train[quanti_feats]
    
    X_test_quanti = X_test[quanti_feats]
    
    X_train_quanti = scaler.fit_transform(X_train_quanti)
    
    X_test_quanti = scaler.transform(X_test_quanti)
    
  6. 现在,我们必须对city特征进行聚合:

    # Get only cities above threshold
    
    threshold = 0.1
    
    kept_cities = X_train['city'].value_counts(
    
        normalize=True)[X_train['city'].value_counts(
    
        normalize=True) > threshold].index
    
    # Update all cities below threshold as 'other'
    
    X_train.loc[~X_train['city'].isin(kept_cities),
    
        'city'] = 'other'
    
    X_test.loc[~X_test['city'].isin(kept_cities),
    
        'city'] = 'other'
    
  7. 使用独热编码准备定性特征,包括新聚合的city特征:

    # Get qualitative features
    
    quali_feats = ['city', 'relevent_experience',
    
        'enrolled_university', 'education_level',
    
        'experience', 'last_new_job']
    
    X_train_quali = X_train[quali_feats]
    
    X_test_quali = X_test[quali_feats]
    
    # Instantiate the one hot encoder
    
    encoder = OneHotEncoder()
    
    # Apply one hot encoding
    
    X_train_quali = encoder.fit_transform(
    
        X_train_quali).toarray()
    
    X_test_quali = encoder.transform(
    
        X_test_quali).toarray()
    
  8. 将定量特征和定性特征重新连接在一起:

    X_train = np.concatenate([X_train_quali,
    
        X_train_quanti], 1)
    
    X_test = np.concatenate([X_test_quali, X_test_quanti], 1)
    
  9. 实例化并训练逻辑回归模型。在这里,我们将保持模型的默认超参数:

    lr = LogisticRegression()
    
    lr.fit(X_train, y_train)
    
  10. 计算并打印模型在训练集和测试集上的准确率:

    print('Accuracy train set:', lr.score(X_train, y_train))
    
    print('Accuracy test set:', lr.score(X_test, y_test))
    

输出结果将如下所示:

Accuracy train set: 0.7805842759003538
Accuracy test set: 0.774909797391063

注意

对于这个特定情况,聚合似乎并没有显著帮助我们获得更强的结果,但至少它帮助模型变得更不容易预测,且对于新城市更具鲁棒性。

还有更多...

由于聚合代码可能看起来有些复杂,我们来看看我们做了什么。

因此,我们有city特征,它有许多可能的值;每个值在训练集中的频率都可以通过.value_counts(normalize=True)方法计算:

df['city'].value_counts(normalize=True)

这将产生以下输出:

city_103         0.232819
city_21           0.136227
city_16           0.081659
city_114         0.069613
city_160         0.045354
                                  ...
city_111         0.000167
city_129         0.000111
city_8              0.000111
city_140         0.000056
city_171         0.000056
Name: city, Length: 123, dtype: float64

看起来,在整个数据集中,city_103的值出现的频率超过 23%,而其他值,如city_111,出现的频率不到 1%。我们只需对这些值应用一个阈值,以便获取出现频率超过给定阈值的城市列表:

df['city'].value_counts(normalize=True) > 0.05

这将产生以下输出:

city_103           True
city_21              True
city_16              True
city_114           True
city_160         False
                             ...
city_111         False
city_129         False
city_8              False
city_140         False
city_171         False
Name: city, Length: 123, dtype: bool

现在,我们要做的就是获取所有真实值的索引(即城市名称)。这正是我们可以通过以下完整行来完成的:

kept_cities = df['city'].value_counts(normalize=True)[
    df['city'].value_counts(normalize=True) > 0.05].index
kept_cities

这将显示以下输出:

Index(['city_103', 'city_21', 'city_16', 'city_114'], dtype='object')

正如预期的那样,这将返回出现频率超过阈值的城市列表。

对不平衡数据集进行欠采样

机器学习中的典型情况是我们所称的“不平衡数据集”。不平衡数据集意味着对于某一类别,某些实例比其他实例更可能出现,从而导致数据的不平衡。不平衡数据集的案例有很多:医学中的罕见疾病、客户行为等。

在本方法中,我们将提出一种可能的处理不平衡数据集的方法:欠采样。在解释这个过程后,我们将其应用于一个信用卡欺诈检测数据集。

准备就绪

不平衡数据的问题在于,它可能会偏倚机器学习模型的结果。假设我们正在进行一个分类任务,检测数据集中仅占 1%的罕见疾病。此类数据的一个常见陷阱是模型总是预测为健康状态,因为这样它仍然可以达到 99%的准确率。因此,机器学习模型很可能会最小化其损失。

注意

在这种情况下,其他指标,如 F1 分数或ROC 曲线下面积ROC AUC),通常更为相关。

防止这种情况发生的一种方法是对数据集进行欠采样。更具体来说,我们可以通过删除部分样本来对过度代表的类别进行欠采样:

  • 我们保留所有欠代表类别的样本

  • 我们仅保留过度代表类别的子样本

通过这样做,我们可以人为地平衡数据集,避免不平衡数据集的陷阱。例如,假设我们有一个由以下属性组成的数据集:

  • 100 个带有疾病的样本

  • 9,900 个没有疾病的样本

完全平衡的欠采样将给我们以下数据集中的结果:

  • 100 个带有疾病的样本

  • 100 个随机选择的没有疾病的样本

当然,缺点是我们在这个过程中会丢失大量数据。

对于这个方法,我们首先需要下载数据集。为此,我们将使用 Kaggle API(请参考哈希高基数特征的方法了解如何安装)。可以使用以下命令行下载数据集:

kaggle datasets download -d mlg-ulb/creditcardfraud

还需要以下库:pandas 用于加载数据,scikit-learn 用于建模,matplotlib 用于显示数据,imbalanced-learn 用于欠采样。可以通过以下命令行安装:

pip install pandas scikit-learn matplotlib imbalanced-learn

如何操作...

在本篇教程中,我们将对信用卡欺诈数据集应用欠采样。这是一个相当极端的类别不平衡数据集的例子,因为其中仅约 0.18% 的样本是正类:

  1. 导入所需的模块、类和函数:

    • pandas 用于数据加载和处理

    • train_test_split 用于数据拆分

    • StandardScaler 用于数据重新缩放(数据集仅包含定量特征)

    • RandomUnderSampler 用于欠采样

    • LogisticRegression 用于建模

    • roc_auc_score 用于显示 ROC 和 ROC AUC 计算:

      import pandas as pd
      
      import matplotlib.pyplot as plt
      
      from sklearn.model_selection import train_test_split
      
      from sklearn.preprocessing import StandardScaler
      
      from imblearn.under_sampling import RandomUnderSampler
      
      from sklearn.linear_model import LogisticRegression
      
      from sklearn.metrics import roc_auc_score
      
  2. 使用 pandas 加载数据。我们可以直接加载 ZIP 文件。我们还将显示每个标签的相对数量:我们有大约 99.8% 的正常交易,而欺诈交易的比例不到 0.18%:

    df = pd.read_csv('creditcardfraud.zip')
    
    df['Class'].value_counts(normalize=True)
    

输出将如下所示:

0         0.998273
1         0.001727
Name: Class, dtype: float64
  1. 将数据拆分为训练集和测试集。在这种情况下,确保标签的分层非常关键:

    X_train, X_test, y_train, y_test = train_test_split(
    
        df.drop(columns=['Class']), df['Class'],
    
        test_size=0.2, random_state=0,
    
        stratify=df['Class'])
    
  2. 应用随机欠采样,使用最多 10% 的采样策略。这意味着我们必须对过度表示的类别进行欠采样,直到类别平衡达到 10 比 1 的比例。我们可以做到 1 比 1 的比例,但这会导致更多的数据丢失。此比例由 sampling_strategy=0.1 参数定义。我们还必须设置随机状态以确保可重复性:

    # Instantiate the object with a 10% strategy
    
    rus = RandomUnderSampler(sampling_strategy=0.1,
    
        random_state=0)
    
    # Undersample the train dataset
    
    X_train, y_train = rus.fit_resample(X_train, y_train)
    
    # Check the balance
    
    y_train.value_counts()
    

这将给我们以下输出:

0         3940
1           394
Name: Class, dtype: int64

在欠采样后,我们最终得到了 3940 个正常交易样本,与 394 个欺诈交易样本相比。

  1. 使用标准缩放器重新缩放数据:

    # Scale the data
    
    scaler = StandardScaler()
    
    X_train = scaler.fit_transform(X_train)
    
    X_test = scaler.transform(X_test)
    

注意

可以说,我们可以在重采样之前应用重新缩放。这将使过度表示的类别在重新缩放时更具权重,但不会被视为数据泄露。

  1. 在训练集上实例化并训练逻辑回归模型:

    lr = LogisticRegression()
    
    lr.fit(X_train, y_train)
    
  2. 计算训练集和测试集的 ROC AUC。为此,我们需要获取每个样本的预测概率,这可以通过 predict_proba() 方法获得,并且需要使用导入的 roc_auc_score() 函数:

    # Get the probas
    
    y_train_proba = lr.predict_proba(X_train)[:, 1]
    
    y_test_proba = lr.predict_proba(X_test)[:, 1]
    
    # Display the ROC AUC
    
    print('ROC AUC training set:', roc_auc_score(y_train,
    
        y_train_proba))
    
    print('ROC AUC test set:', roc_auc_score(y_test,
    
        y_test_proba))
    

这将返回以下结果:

ROC AUC training set: 0.9875041871730784
ROC AUC test set: 0.9731067071595099

我们在测试集上获得了大约 97% 的 ROC AUC,在训练集上接近 99%。

还有更多内容...

可选地,我们可以绘制训练集和测试集的 ROC 曲线。为此,我们可以使用 scikit-learn 中的 roc_curve() 函数:

import matplotlib.pyplot as plt
from sklearn.metrics import roc_curve
# Display the ROC curve
fpr_test, tpr_test, _ = roc_curve(y_test, y_test_proba)
fpr_train, tpr_train, _ = roc_curve(y_train, y_train_proba)
plt.plot(fpr_test, tpr_test, label='test')
plt.plot(fpr_train, tpr_train, label='train')
plt.xlabel('False positive rate')
plt.ylabel('True positive rate')
plt.legend()
plt.show()

图 5.2 – 训练集和测试集的 ROC 曲线。图形由代码生成

图 5.2 – 训练集和测试集的 ROC 曲线。图形由代码生成

如我们所见,尽管训练集和测试集的 ROC AUC 非常相似,但测试集的曲线略低。这意味着,正如预期的那样,模型稍微出现了过拟合。

请注意,微调 sampling_strategy 可能有助于获得更好的结果。

注意

为了同时优化采样策略和模型超参数,可以使用 scikit-learn 的Pipeline类。

另见

对不平衡数据集进行过采样

处理不平衡数据集的另一种解决方案是随机过采样。这是随机欠采样的对立面。在本配方中,我们将学习如何在信用卡欺诈检测数据集上使用它。

准备就绪

随机过采样可以看作是随机欠采样的对立面:其思想是复制欠代表类别的数据样本,以重新平衡数据集。

就像前面的配方一样,假设一个 1%-99%不平衡的数据集,其中包含以下内容:

  • 100 个有疾病样本

  • 9,900 个无疾病样本

为了使用 1/1 策略(即完全平衡的数据集)对这个数据集进行过采样,我们需要对每个疾病类别的样本进行 99 次复制。因此,过采样后的数据集将需要包含以下内容:

  • 9,900 个有疾病样本(100 个原始样本平均复制 99 次)

  • 9,900 个无疾病样本

我们可以轻松猜测这种方法的优缺点:

  • 优点:与欠采样不同,我们不会丢失过代表类别的任何数据,这意味着我们的模型可以在我们拥有的完整数据上进行训练

  • 缺点:我们可能会有很多欠代表类别的重复样本,这可能会导致对这些数据的过拟合

幸运的是,我们可以选择低于 1/1 的重平衡策略,从而限制数据重复。

对于这个配方,我们需要下载数据集。如果你已经完成了Undersampling an imbalanced dataset配方,那么你无需做其他操作。

否则,通过使用 Kaggle API(请参考Hashing high cardinality features配方了解如何安装),我们需要通过以下命令行下载数据集:

kaggle datasets download -d mlg-ulb/creditcardfraud

还需要以下库:pandas用于加载数据,scikit-learn用于建模,matplotlib用于显示数据,imbalanced-learn用于过采样部分。它们可以通过以下命令行安装:

pip install pandas scikit-learn matplotlib imbalanced-learn.

如何操作...

在本配方中,我们将对信用卡欺诈数据集应用过采样:

  1. 导入所需的模块、类和函数:

    • pandas用于数据加载和处理

    • train_test_split用于数据划分

    • StandardScaler用于数据缩放(数据集仅包含定量特征)

    • RandomOverSampler用于过采样

    • LogisticRegression用于建模

    • roc_auc_score用于显示 ROC 和 ROC AUC 计算:

      import pandas as pd
      
      import matplotlib.pyplot as plt
      
      from sklearn.model_selection import train_test_split
      
      from sklearn.preprocessing import StandardScaler
      
      from imblearn.over_sampling import RandomOverSampler
      
      from sklearn.linear_model import LogisticRegression
      
      from sklearn.metrics import roc_auc_score
      
  2. 使用 pandas 加载数据。我们可以直接加载 ZIP 文件。与前面的小节一样,我们将显示每个标签的相对数量,以提醒我们大约有 99.8%的正常交易和不到 0.18%的欺诈交易:

    df = pd.read_csv('creditcardfraud.zip')
    
    df['Class'].value_counts(normalize=True)
    

这将输出以下内容:

0         0.998273
1         0.001727
Name: Class, dtype: float64
  1. 将数据划分为训练集和测试集。我们必须指定标签的分层抽样,以确保平衡保持不变:

    X_train, X_test, y_train, y_test = train_test_split(
    
        df.drop(columns=['Class']), df['Class'],
    
        test_size=0.2, random_state=0,
    
        stratify=df['Class'])
    
  2. 使用 10%的采样策略进行随机过采样。这意味着我们将过采样不足表示的类别,直到类别平衡达到 10 比 1 的比例。这个比例由sampling_strategy=0.1参数定义。我们还必须设置随机状态以保证可重复性:

    # Instantiate the oversampler with a 10% strategy
    
    ros = RandomOverSampler(sampling_strategy=0.1,
    
        random_state=0)
    
    # Overersample the train dataset
    
    X_train, y_train = ros.fit_resample(X_train, y_train)
    
    # Check the balance
    
    y_train.value_counts()
    

这将输出以下内容:

0         227451
1           22745
Name: Class, dtype: int64

在过采样后,我们的训练集中现在有227451个正常交易(保持不变),与22745个欺诈交易。

注意

可以更改采样策略。像往常一样,这需要做出取舍:更大的采样策略意味着更多的重复样本来增加平衡,而较小的采样策略则意味着更少的重复样本,但平衡较差。

  1. 使用标准缩放器对数据进行缩放:

    # Scale the data
    
    scaler = StandardScaler()
    
    X_train = scaler.fit_transform(X_train)
    
    X_test = scaler.transform(X_test)
    
  2. 在训练集上实例化并训练逻辑回归模型:

    lr = LogisticRegression()
    
    lr.fit(X_train, y_train)
    
  3. 计算训练集和测试集上的 ROC AUC。为此,我们需要每个样本的预测概率,我们可以通过使用predict_proba()方法以及导入的roc_auc_score()函数来获得:

    # Get the probas
    
    y_train_proba = lr.predict_proba(X_train)[:, 1]
    
    y_test_proba = lr.predict_proba(X_test)[:, 1]
    
    # Display the ROC AUC
    
    print('ROC AUC training set:', roc_auc_score(y_train,
    
         y_train_proba))
    
    print('ROC AUC test set:', roc_auc_score(y_test,
    
        y_test_proba))
    

这将返回以下内容:

ROC AUC training set: 0.9884952360756659
ROC AUC test set: 0.9721115830969416

结果与我们通过欠采样获得的结果相当相似。然而,这并不意味着这两种技术总是相等的。

还有更多……

可选地,正如我们在欠采样不平衡数据集一节中所做的那样,我们可以使用scikit-learn中的roc_curve()函数绘制训练集和测试集的 ROC 曲线:

import matplotlib.pyplot as plt
from sklearn.metrics import roc_curve
# Display the ROC curve
fpr_test, tpr_test, _ = roc_curve(y_test, y_test_proba)
fpr_train, tpr_train, _ = roc_curve(y_train, y_train_proba)
plt.plot(fpr_test, tpr_test, label='test')
plt.plot(fpr_train, tpr_train, label='train')
plt.xlabel('False positive rate')
plt.ylabel('True positive rate')
plt.legend()
plt.show()

图 5.3 – 训练集和测试集的 ROC 曲线。代码生成的图

图 5.3 – 训练集和测试集的 ROC 曲线。代码生成的图

在这种情况下,测试集的 ROC AUC 曲线明显低于训练集的曲线,这意味着模型稍微出现了过拟合。

另见

RandomUnderSampler的文档可以在imbalanced-learn.org/stable/references/generated/imblearn.under_sampling.RandomUnderSampler.xhtml找到。

使用 SMOTE 重新采样不平衡数据

最后,处理不平衡数据集的一个更复杂的解决方案是名为 SMOTE 的方法。在解释 SMOTE 算法后,我们将应用这种方法来处理信用卡欺诈检测数据集。

准备工作

SMOTE代表Synthetic Minority Oversampling TEchnique。顾名思义,它为不平衡类创建合成样本。但它究竟如何创建合成数据?

该方法在不平衡类上使用 k-NN 算法。SMOTE 算法可以通过以下步骤总结:

  1. 随机选择少数类中的样本

  2. 使用 k-NN,在少数类中随机选择的 k 个最近邻之一。我们称此样本为

  3. 计算新的合成样本,,其中𝜆在[0, 1]范围内随机抽取:

图 5.4 – SMOTE 的视觉表示

图 5.4 – SMOTE 的视觉表示

与随机过采样相比,此方法更复杂,因为它有一个超参数:考虑的最近邻数k。此方法也有其利弊:

  • 优点:与随机过采样不同,它限制了在不平衡类上过拟合的风险,因为样本不会重复

  • 缺点:创建合成数据是一种冒险的赌注;没有任何保证它具有意义,并且可能会在真实数据上成为可能

要完成此配方,如果尚未这样做,请下载信用卡欺诈数据集(查看Undersampling an imbalanced datasetOversampling an imbalanced dataset配方以了解如何执行此操作)。

使用 Kaggle API(参考Hashing high cardinality features配方以了解如何安装它),我们必须通过以下命令行下载数据集:

kaggle datasets download -d mlg-ulb/creditcardfraud

需要以下库:pandas 用于加载数据,scikit-learn 用于建模,matplotlib 用于显示数据,imbalanced-learn 用于欠采样。它们可以通过以下命令行安装:

pip install pandas scikit-learn matplotlib imbalanced-learn.

如何做…

在本配方中,我们将对信用卡欺诈数据集应用 SMOTE:

  1. 导入所需的模块、类和函数:

    • pandas 用于数据加载和操作

    • train_test_split 用于数据拆分

    • StandardScaler 用于数据重新缩放(数据集仅包含定量特征)

    • SMOTE 用于 SMOTE 过采样

    • LogisticRegression 用于建模

    • roc_auc_score 用于显示 ROC 和 ROC AUC 计算:

      import pandas as pd
      
      import matplotlib.pyplot as plt
      
      from sklearn.model_selection import train_test_split
      
      from sklearn.preprocessing import StandardScaler
      
      from imblearn.over_sampling import SMOTE
      
      from sklearn.linear_model import LogisticRegression
      
      from sklearn.metrics import roc_auc_score
      
  2. 使用pandas加载数据。我们可以直接加载 ZIP 文件。与前两个配方一样,我们将显示每个标签的相对数量。再次,我们将有大约 99.8%的常规交易和少于 0.18%的欺诈交易:

    df = pd.read_csv('creditcardfraud.zip')
    
    df['Class'].value_counts(normalize=True)
    

输出将如下所示:

0         0.998273
1         0.001727
Name: Class, dtype: float64
  1. 将数据分割为训练集和测试集。我们必须在标签上指定分层,以确保平衡保持不变:

    X_train, X_test, y_train, y_test = train_test_split(
    
        df.drop(columns=['Class']), df['Class'],
    
        test_size=0.2, random_state=0,
    
        stratify=df['Class'])
    
  2. 使用sampling_strategy=0.1参数应用 SMOTE,以 10%的采样策略生成不平衡类的合成数据。通过这样做,我们将在类平衡中实现 10 比 1 的比例。我们还必须设置随机状态以实现可重现性:

    # Instantiate the SLOT with a 10% strategy
    
    smote = SMOTE(sampling_strategy=0.1, random_state=0)
    
    # Overersample the train dataset
    
    X_train, y_train = smote.fit_resample(X_train,
    
        y_train)
    
    # Check the balance
    
    y_train.value_counts()
    

通过此方法,我们将得到以下输出:

0         227451
1           22745
Name: Class, dtype: int64

在过采样之后,我们在训练集中现在有 227451 个常规交易(保持不变),与 22745 个欺诈交易,其中包括许多合成生成的样本。

  1. 使用标准化缩放器对数据进行重缩放:

    # Scale the data
    
    scaler = StandardScaler()
    
    X_train = scaler.fit_transform(X_train)
    
    X_test = scaler.transform(X_test)
    
  2. 在训练集上实例化并训练逻辑回归模型:

    lr = LogisticRegression()
    
    lr.fit(X_train, y_train)
    
  3. 计算训练集和测试集上的 ROC AUC。为此,我们需要每个样本的预测概率,这可以通过使用 predict_proba() 方法以及导入的 roc_auc_score() 函数来获得:

    # Get the probas
    
    y_train_proba = lr.predict_proba(X_train)[:, 1]
    
    y_test_proba = lr.predict_proba(X_test)[:, 1]
    
    # Display the ROC AUC
    
    print('ROC AUC training set:', roc_auc_score(y_train,
    
        y_train_proba))
    
    print('ROC AUC test set:', roc_auc_score(y_test,
    
        y_test_proba))
    

现在,输出应如下所示:

ROC AUC training set: 0.9968657635906649
ROC AUC test set: 0.9711737923925902

结果与我们在随机欠采样和过采样中得到的结果略有不同。尽管在测试集上的性能非常相似,但在这种情况下似乎有更多的过拟合。对此类结果有几种可能的解释,其中之一是合成样本对模型的帮助不大。

注意

我们在这个数据集上得到的重采样策略结果不一定能代表我们在其他数据集上得到的结果。此外,我们必须微调采样策略和模型,才能获得合适的性能对比。

还有更多...

可选地,我们可以使用 scikit-learn 中的 roc_curve() 函数绘制训练集和测试集的 ROC 曲线:

import matplotlib.pyplot as plt
from sklearn.metrics import roc_curve
# Display the ROC curve
fpr_test, tpr_test, _ = roc_curve(y_test, y_test_proba)
fpr_train, tpr_train, _ = roc_curve(y_train, y_train_proba)
plt.plot(fpr_test, tpr_test, label='test')
plt.plot(fpr_train, tpr_train, label='train')
plt.xlabel('False positive rate')
plt.ylabel('True positive rate')
plt.legend()
plt.show()

这是它的图示:

图 5.5 – 使用 SMOTE 后的训练集和测试集 ROC 曲线

图 5.5 – 使用 SMOTE 后的训练集和测试集 ROC 曲线

与随机欠采样和过采样相比,这里过拟合似乎更加明显。

另见

SMOTE 的官方文档可以在 imbalanced-learn.org/stable/references/generated/imblearn.over_sampling.SMOTE.xhtml 找到。

不建议将此实现应用于分类特征,因为它假设样本的特征值可以是其他样本特征值的任何线性组合。这对于分类特征来说并不成立。

也有针对分类特征的工作实现,以下是一些例子: