牛津大学等深挖746万成年人健康数据开发早筛算法,基于血液指标实现15种癌症早期预测

146 阅读12分钟

在英国,癌症生存率长期面临严峻挑战,临床结果在发达国家中处于较低水平。这一现状的背后,是大量癌症患者因确诊时已处于中晚期、错失最佳治疗时机的客观现实。 2011 年,英国国家医疗服务体系(NHS)发布癌症战略,明确提出将 75% 的癌症在可治愈阶段(1 期或 2 期)确诊的目标,旨在通过优化诊断流程改善现状。该战略以初级保健为突破口,通过预测算法提升早期诊断效能,为癌症诊疗模式革新指明方向。

在此背景下,基于大规模初级保健电子健康数据库开发的癌症预测算法应运而生,如 QCancer 评分等模型,整合年龄、性别、贫困状况、吸烟、饮酒、家族史、症状等多维度因素,评估个体未确诊癌症的绝对概率。 国家临床指南建议,当癌症阳性预测值超过特定阈值(如 3%)时,临床医生需考虑进一步检查或转诊。这些算法整合至初级保健临床计算机系统,在患者就诊时实时评估患癌风险,为临床决策提供数据支撑。

截至 2020 年,英格兰地区仅有略超半数的癌症在 1 期或 2 期确诊,距离 2028 年达到 75% 的目标仍有显著差距。近年来,血液检测技术进展为突破这一瓶颈提供新方向——多项研究表明,血红蛋白、白细胞计数、血小板等血液指标异常变化可能早于临床症状数年出现, 提示其作为癌症早期预警生物标志物的潜力,促使研究者探索将血液检测数据纳入预测模型,以提升算法对无症状或不典型症状癌症的识别能力。

基于此,伦敦玛丽女王大学与牛津大学研究团队合作,基于英格兰地区 746 万成年人的匿名电子健康记录,开发了 2 种新型癌症预测算法:基础算法整合传统临床因素与症状变量,进阶算法进一步纳入全血细胞计数、肝功能检测等血液指标。

研究通过多项式逻辑回归模型对男女群体分别建模,不仅实现整体患癌概率预测,还首次实现肝癌、口腔癌等 15 种癌症类型的单独风险评估。 在 500 万例独立验证中,新型算法表现出优于现有模型的区分能力、校准能力和敏感性,为优化临床决策流程、推进癌症早期诊断提供了科学依据。此外,该团队提出,该方法是初级保健中,首个用于估算当前尚未确诊的肝癌概率的算法。

相关研究成果以「Development and external validation of prediction algorithms to improve early diagnosis of cancer」为题,已发表于国际权威期刊 Nature Communications 。

论文地址:

go.hyper.ai/L7gNm

开源项目「awesome-ai4s」汇集了百余篇 AI4S 论文解读,并提供海量数据集与工具:

github.com/hyperai/awe…

双数据库多队列研究:样本量均超百万,全方位构建数据支撑

该研究的数据取自 QResearch(版本 48)和临床实践研究数据链(CPRD Gold)两大电子病历数据库, 前者基于 EMIS  系统覆盖英格兰地区,后者基于 Vision 系统包含了位于北爱尔兰、苏格兰和威尔士的诊所数据,形成地理独立的外部验证队列,保障数据多样性与代表性。

研究人群方面,如下图所示,英格兰 QResearch 诊所数据随机分配为开发队列(derivation cohort),共 7,464,507 人,包含 129,715 例新发癌症,验证队列(validation cohort)共 2,637,184 人,包含 44,984 例新发癌症,CPRD 验证队列共 2,736,726 人,包含 32,328 例新发癌症。

三大队列样本量均超百万,覆盖 18-84 岁人群, 含年轻人好发的血液系统恶性肿瘤、乳腺癌及中老年常见癌症类型,时间跨度为 2015 年 1 月 1 日至 2023 年 3 月 31 日,随访期 2 年,聚焦入组时未确诊癌症患者,通过排除入组前 12 个月内有「红旗症状」者等标准,确保新发癌症数据准确性。数据涵盖年龄、性别、贫困状况、吸烟、饮酒、家族史、症状、血液检测(全血细胞计数、肝功能检测)等维度,除英格兰队列在自我报告的种族、吸烟、饮酒和 BMI 数据完整性略高外,各队列基线特征总体一致,为模型开发提供均衡数据基础。

模型开发队列和验证队列的数据分布

该研究基于全科医生、医院、死亡率和癌症登记处四大数据源,识别 QCancer 已包含的 13 种癌症(肺癌、结直肠癌等)及新增的肝癌、口腔-咽部癌等共 15 种类型, CPRD 队列因数据限制仅基于全科医生记录诊断,形成分层验证体系。这些数据具有样本量大、地域广、时间跨度长、预测因素多元且临床相关性强的特点,通过开发队列构建预测模型,借助不同地区和系统的验证队列(尤其 CPRD 外部队列)评估模型普适性与可靠性,确保算法在真实临床场景中的有效性和稳定性,为癌症早期诊断提供数据支撑。

癌症预测模型开发:多项式逻辑回归建模与多维度验证

在模型开发中,该研究基于现有算法和文献筛选候选预测变量,涵盖人口统计学特征、烟酒习惯、癌症家族史、合并症,以及症状和血液检测结果。症状细分为「红旗症状(强癌症关联性、临床指南紧急转诊依据)」和非特异性症状,血液检测纳入队列前 2 年记录值以捕捉潜在信号。

为了确保模型的科学性和准确性,研究人员在建模中采用多项式逻辑回归估计各癌种预测变量系数,分男女拟合模型。 通过链式方程多重插补法(男女各 5 次插补 + Rubin 规则合并)填充饮酒、吸烟状态及血液指标缺失值,二元变量以全科医生诊断记录二分类编码。模型拟合时保留显著性水平 ≤ 0.01 的变量,将风险比 0.80-1.20 且不显著的系数设为零,结合 P 值与效应大小构建简洁模型,避免单纯依赖统计显著性的自动变量选择,确保临床相关性。

研究运用分数多项式模拟连续变量非线性关系,测试预测变量与年龄的交互作用。在评估模型的乐观性时,研究人员通过启发式收缩因子评估模型乐观性,两模型收缩值均 > 0.99,证实无过度拟合。最终推导模型 A(临床因素 + 症状)和模型 B(模型 A + 血液检测结果),后者旨在通过新增癌症相关信号提升预测精度。

模型评估在两个独立验证队列展开,除计算 AUROC 评估区分能力外,研究人员引入多类别区分指数(PDI,男性 12 类 / 女性 14 类,含无癌症类别)衡量整体分类效能(PDI 越接近 1 区分越精准), 并通过校准曲线、斜率及截距检验预测概率与实际值的一致性。早期癌症专项分析聚焦 2015-2020 年病例,以 1 期 / 2 期为早期定义,分层评估地理区域、种族、年龄组等亚组,验证模型在不同人群中的普适性。

癌症预测模型应用:首次纳入肝癌与口腔癌,解析血液指标与癌症风险关联

在模型应用与实验验证环节,该研究围绕新型预测模型的变量关联、区分能力、校准效果及临床价值展开多维度验证。 与现有 QCancer 算法相比,新模型新增肝硬化、乙肝、丙肝(肝癌相关)及艾滋病(血液癌、肾癌相关)4 种医疗状况,补充肺癌 / 血液癌家族史关联,及瘙痒、瘀伤、腹部肿块等 7 种跨癌症状。

年龄与症状交互作用存在性别差异:男性多数癌症风险年轻时关联更强,女性相反。 年龄与 BMI 分析显示,除睾丸癌、宫颈癌外,全癌种风险随年龄增长上升;BMI 降低与多癌种正相关,女性子宫癌、卵巢癌风险随 BMI 升高增加。

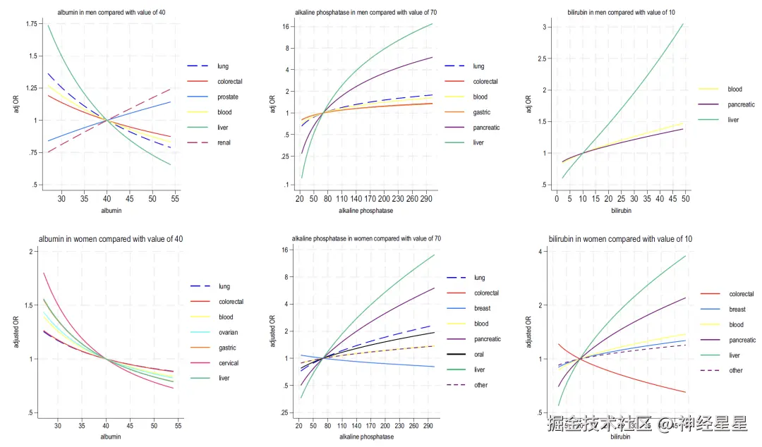
如下图 2-4 所示,针对模型 B 纳入的血液指标分析表明:

  • 血红蛋白(haemoglobin):男性该指标下降与肺癌(lung)、结直肠癌(colorectal)相关,女性与结直肠癌(colorectal)、肝癌(liver)相关;

  • 淋巴细胞(lymphocyte):与多数癌症负相关,与血液癌(blood)强正相关;

  • 中性粒细胞(neutrophil):女性该指标升高广泛关联癌症(肺癌最显著),男性呈「双向关联(高值与 6 种癌症相关,低值与肝癌、前列腺癌 prostate 相关)」;

  • 血小板(platelet):该指标升高与男女多种癌症正相关(男性结直肠癌、女性卵巢癌 ovarian 最强),且与中性粒细胞升高、淋巴细胞减少协同关联;

  • 肝功能(liver function):白蛋白降低、碱性磷酸酶升高普遍预示癌症风险,胆红素升高与肝癌、血液癌密切相关。

年龄、 BMI 、血红蛋白的分数多项式

白细胞和血小板的分数阶多项式

肝功能检测的分数多项式

在区分能力评估中,如下图所示,模型 B(含血液检测)的 c 统计值(AUROC)整体优于模型 A,男性总体区分效能(0.876)高于女性(0.844),15 种癌症中多数 c 值 > 0.8,仅女性口腔癌(oral,0.747)、宫颈癌(cervical,0.694)略低。多类别区分指数(PDI)显示,模型 B 在男女中区分能力(男性 0.323,女性 0.266)均优于模型 A,对睾丸癌(testicular,男性 PDI 0.641)、子宫癌(uterine,女性 PDI 0.439)分类效能突出。亚组分析表明,模型在不同种族、年龄、地理区域中性能稳定,罕见癌种因事件数少略有波动。

模型 A 与模型 B 在 QResearch 验证队列的 c 统计值区分

校准能力方面,如下图所示,模型 A/B 在英格兰队列中校准斜率接近 1(女性 1.00,男性 0.99),截距趋近于零;但在外部 CPRD 队列中对男女癌症概率存在一定高估。决策曲线显示,模型 B 净收益高于模型 A 和 QCancer,尤其在 3% 转诊阈值下,模型 A/B 对男性癌症敏感性(82.6%)高于 QCancer(78.1%),女性从 66.0% 提升至 77% 以上,且对 1 期 / 2 期早期癌症识别能力与全阶段相当(女性 75% 、男性 81%)。重新分类分析表明,模型 A 较 QCancer 将更多高龄人群归为高风险、年轻人群归为低风险,优化了临床资源分配精准性。

决策曲线分析

全球癌症预测算法与早期诊断:高校科研与企业创新的跨学科进展

在癌症预测算法与早期诊断领域,全球高校科研团队与科技企业正通过跨学科创新,推动理论研究向临床应用加速转化。

例如,北京大学董彬与沈琳团队开发的 MuMo 模型,整合 HER2 阳性胃癌患者的影像学、病理学及临床数据,为个体化治疗提供精准预测; 中国科学院计算机网络信息中心基于「东方」超算系统,利用 Transformer 架构构建 SuRe-Transformer 模型,将乳腺癌病理图像 HRD 预测精度提升 21%; 清华大学李梢课题组通过弱监督学习框架 HistoCell,实现病理影像中细胞空间关联网络的无监督推断, 为肿瘤微环境研究提供新工具。

哈佛医学院联合斯坦福大学开发的 CHIEF 模型,以 94% 的精度诊断 19 种癌症, 并能基于病理图像预测患者生存率;剑桥大学构建的 ResNetRS50 深度学习模型,通过分析血液数据预测血液癌症,较先进模型兼具更高准确率、速度及更低错误率。

企业界创新则更注重技术落地与临床结合。微软 AI for Health 平台整合基因组与电子健康记录,构建个体患癌风险图谱,乳腺癌高危人群预测准确率达 89%;谷歌 DeepMind  的 AlphaScan 系统在早期肺癌检测中准确率达 96%;AI 医疗科技公司推想医疗 InferRead 肺部影像 AI 解决方案,基于深度学习的肺结节检测系统已应用于临床 CT,显著提升诊断效率。

整体来看,癌症预测算法与早期诊断领域正从单癌种筛查向多癌种泛癌早筛演进:美国 Grail  的 Galleri 检测通过血液甲基化分析筛查 50 种癌症并定位原发灶,中国企业鹍远生物的 PanSeer®技术有效实现 5 种高发癌症早期筛查。随着人工智能与大数据深度融合,癌症预测算法有望在基层医疗普及,推动诊疗模式从「经验医学」向「精准数据医学」转型,为实现「早发现、早干预」奠定基础。

参考链接:
1.bda.pku.edu.cn/info/1003/2…
2.www.cas.cn/syky/202505…
3.mp.weixin.qq.com/s/s1JyOTPCh…
4.mp.weixin.qq.com/s/4fhMJ25xV…