线性代数

428 阅读3分钟

线性代数的核心意义在于提供了⼀种看待世界的抽象视角:万事万物都可以被抽象成某些特征的组合,并在由预置规则定义的框架之下以静态和动态的方式加以观察。

线性代数是用虚拟数字世界表示真实物理世界的工具。

行列式

如下图所示,行列式根据其行列数,分为二阶、三阶、四阶等。其中二阶行列式的结果是对边的乘积相减。

image.png

而三阶及以上的行列式,需要先把一边转化为0,再进行计算

image.png

多阶行列式的转换,需要根据行列式的性质,如下图所示:

image.png

特殊行列式的计算

  • 对角线数字a相同,其他位置的数字x也相同

image.png

  • 第一行数字全是1,每列都是指数增加的

image.png

  • 其他

image.png

余子式和代数余子式

余子式是指,当前行列式去掉i行j列后,剩下的n-1阶行列式称为(i,j)元素aij的余子式,记为Mij。而 Aij=(-1)i+jMij,Aij称为(i,j)元素aij的代数余子式。

image.png

代数余子式的作用是计算行列式的值,如下图所示。其中 aij 表示行列式中第i行第j列的元素

image.png

行列式的应用

image.png

矩阵

不同于行列式必须是 n * n 的,矩阵的行和列的值可以不相等。

image.png

矩阵相加

image.png

矩阵相乘

屏幕截图 2025-04-01 122133.png

其中 E 被称为单位矩阵

屏幕截图 2025-04-01 122517.png

矩阵取行列式

image.png

矩阵的转置

把mxn的矩阵A的行换成同序数的列,得到的n×m矩阵称为矩阵A的转置矩阵,记为AT,如下图所示:

屏幕截图 2025-04-01 135402.png

image.png

逆矩阵

存在矩阵 A 和 B,如果 AB = BA = E,那么 B 称为 A 的逆矩阵,记作 A-1

屏幕截图 2025-04-01 140403.png

屏幕截图 2025-04-01 140545.png

伴随矩阵

伴随矩阵是由原矩阵的各个代数余子式组成的矩阵,记作 A*

屏幕截图 2025-04-01 140843.png

矩阵的秩

矩阵的秩是指一个矩阵中线性无关的行或列的最大数量,记作R(矩阵)

image.png

image.png

向量

概念

只有一行或者一列的矩阵称为向量。如果一个向量 B 能由 B = k1a1 + k2a2 + k3a3 ... 来表示,则称为 B 可以由 a1、a2、a3...线性表示。

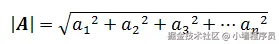
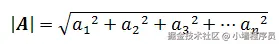
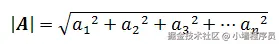
  • 向量的模

向量的模即向量的长度,如果A是n维向量,则A的模标记为:

image.png

  • 向量的范数

向量的范数:是衡量向量“长度”或“大小”的函数,常见范数如下。具体看矩阵基础 | 向量范数与矩阵范数 - 知乎

image.png

一般我们使用的范数都是指 L2 范数

  • 向量的内积

如果向量 x 和 y,满足[x,y]=xTy=x1y1+x2y2+…+xnyn,称[x,y]为向量x与y的内积。如下图所示:

image.png

当[x,y]=0时,称向量x与y正交.显然,若x=0,则x与任何向量都正交.

  • 向量的外积

外积 (outer product),在线性代数中一般指两个向量的张量积,其结果为一矩阵,举例如下:

image.png

应用

image.png

屏幕截图 2025-04-01 142051.png

屏幕截图 2025-04-01 142229.png

极大线性无关组是在线性空间中拥有向量个数最多的线性无关向量组,如下图所示。其中由于矩阵变换中第1行和第4行交换了位置,因此编号也要交换。

image.png

方程组的解

image.png

求方程组是否有解

屏幕截图 2025-04-01 142902.png

屏幕截图 2025-04-01 143034.png

解方程组

image.png

image.png

规范正交化

image.png

矩阵的特征值

设A是n阶矩阵,如果数λ和n维非零列向量α使关系式 Aα = λα 成立,那么数λ称为矩阵A的特征值,非零向量α称为A的对应于特征值λ的特征向量。

如下图所示,需要注意λ个数和矩阵的阶数相同。

image.png

屏幕截图 2025-04-01 152541.png

相似矩阵

设A,B都是n阶矩阵,若有可逆矩阵P,使P-1AP=B,则称B是A的相似矩阵。

对角矩阵(diagonal matrix)是一个主对角线之外的元素皆为0的矩阵

image.png

image.png

image.png

二次型

线性代数——二次型 - 知乎

image.png