机器学习--正则化

1,291 阅读7分钟

正则化(Regularization)是机器学习中防止模型过拟合的一种重要手段。过拟合问题的出现通常是因为模型在训练数据上学到了过多细节和噪声,导致在新数据(测试数据或验证数据)上表现不佳。正则化的基本思想是在损失函数中加入一个惩罚项,从而约束模型的复杂度,鼓励模型学习到更简单、更具泛化能力的规律。

下面我们从多个角度详细讲解正则化的原理、常见方法、数学表达以及实际应用中的注意事项。


1. 为什么需要正则化?

在机器学习中,目标通常是最小化训练数据上的损失函数,使模型能够拟合训练数据。然而,模型如果参数过多或模型结构过于复杂,就有可能“记住”训练数据中的噪声,而不是学习到数据背后的真正规律。正则化通过增加一个反映模型复杂度的惩罚项,迫使模型参数不能无限制地变大,从而降低了模型的复杂度,使得模型在面对新数据时能够有更好的表现。

常见的问题:

  • 过拟合(Overfitting) :模型在训练数据上表现优异,但在新数据上表现不佳。
  • 欠拟合(Underfitting) :模型过于简单,无法捕捉数据中的真实模式。

正则化通常用于减缓过拟合问题,使模型在训练集与测试集之间保持较好的泛化能力。


2. 正则化在损失函数中的体现

设模型参数为 w={w1,w2,,wp} w=\{w1,w2,…,wp\},原始的损失函数(例如均方误差)可以写作:

{13BE16E3-6F38-4A69-BB93-F750626897E7}.png

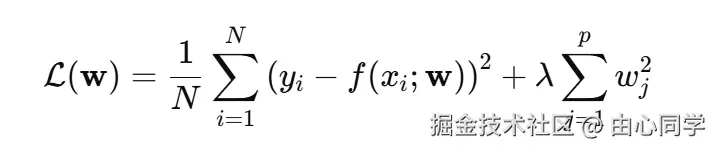
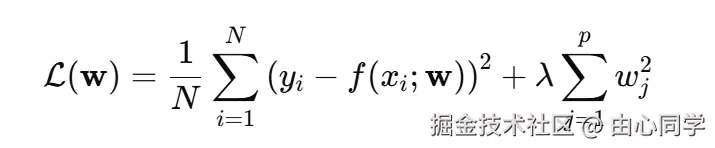
正则化方法的核心思想是,在上述损失函数中加入一个关于参数 w {w} 的惩罚项 R(w)R(w) ,得到新的目标函数:

{B137485D-F7D2-4615-B299-E1FCE75E046C}.png

其中:

  • R(w) R(w) 是正则化项,用于衡量模型的复杂度。
  • λ λ 是超参数,控制正则化项在总损失中的权重。较大的 λ λ会更强烈地惩罚复杂模型,较小的 λ λ 则影响较弱。

3. 常见正则化方法

3.1 L2 正则化(Ridge 回归)

数学表达:

{51B14D76-B86C-4528-8176-E014BB574DAE}.png

原理与作用:

  • L2 正则化通过对每个权重的平方进行惩罚,迫使所有权重尽可能接近零,但不会真正为零。
  • 数学上,它使得损失函数变得更加平滑,有助于减小模型对训练数据中噪声的敏感性。
  • 在梯度下降过程中,参数更新时会有一个“衰减”效应,促使权重减小,从而降低模型复杂度。

应用场景:

  • 多元线性回归、神经网络等。
  • 当特征之间存在多重共线性(高度相关)时,L2 正则化能帮助稳定参数估计。

3.2 L1 正则化(Lasso 回归)

数学表达:

{581E5932-552D-4E3F-90EE-8149B1B1FDE5}.png 原理与作用:

  • L1 正则化通过对权重的绝对值进行惩罚,鼓励部分权重变为零。
  • 这种“稀疏性”特性使得 L1 正则化不仅能够降低模型复杂度,还能实现自动的特征选择。
  • 在优化过程中,L1 正则化的非平滑性(在 wj=0 w_j=0处不可导)可能会促使某些参数直接为零,从而简化模型。

应用场景:

  • 高维稀疏数据(例如文本数据、图像数据等),当你希望模型自动选择最重要的特征时。

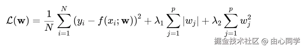
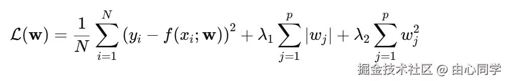
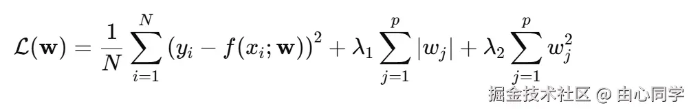
3.3 Elastic Net

数学表达:

{67FBD22E-8D84-4789-AE66-ED11AB18705D}.png

原理与作用:

  • Elastic Net 是 L1 和 L2 正则化的结合体,同时具备 L1 的稀疏性和 L2 的稳定性。
  • 这种方法特别适用于特征数多于样本数或者特征之间高度相关的情况,单纯使用 L1 可能会随机选择一部分特征,而 Elastic Net 能够更均衡地处理相关特征。

3.4 Dropout(专用于神经网络)

原理与作用:

  • Dropout 不是通过修改损失函数实现正则化,而是在训练过程中随机“丢弃”一部分神经元(即暂时将它们的激活值设为零),以减少神经元之间的复杂协同适应。
  • 每一次训练迭代中,网络结构都略有不同,这样可以看作是在训练多个不同的子网络,并最终集成其结果,从而提高模型的泛化能力。
  • 测试时则使用所有神经元,并对激活值做相应的缩放以补偿训练时丢弃神经元的比例。

3.5 早停(Early Stopping)

原理与作用:

  • 在训练过程中,通常会将数据分为训练集和验证集。早停法的思想是在验证集上的损失不再降低(甚至开始上升)时停止训练。
  • 这种方法能防止模型在训练集上过度优化,从而提升模型在未见数据上的表现。
  • 早停通常结合其他正则化方法使用,是一种简单但有效的正则化策略。

3.6 数据增强(Data Augmentation)

原理与作用:

  • 数据增强主要用于图像、音频等领域,通过对原始数据进行旋转、翻转、缩放、裁剪等变换,生成更多样本,从而增加数据多样性。
  • 增加训练数据可以有效减缓过拟合,因为模型不会只依赖于少数样本的特定特征,而是需要学习到更一般化的规律。

4. 正则化参数的调节

正则化方法中的超参数(例如 λ\lambda 或者在 Elastic Net 中的 λ1\lambda_1 和 λ2\lambda_2)对模型性能影响较大。常用的调参方法包括:

  • 交叉验证(Cross-Validation) :通过将数据分为多个折叠,评估不同参数组合下模型的表现,从而选择最优的正则化强度。
  • 网格搜索(Grid Search)或随机搜索(Random Search) :在预设的参数空间中搜索最佳参数组合。
  • 贝叶斯优化(Bayesian Optimization) :利用概率模型智能搜索参数空间,以提高搜索效率。

调节正则化参数时需要注意:

  • 较大的 λ\lambda 值可能导致模型过于简单,产生欠拟合;
  • 较小的 λ\lambda 值则可能不足以抑制过拟合。

找到合适的平衡点对于模型性能至关重要。


5. 数学直观:为什么正则化有助于泛化?

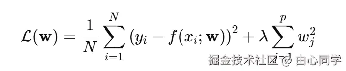
假设我们采用 L2 正则化,那么损失函数为:

{3FB82624-1E49-4A49-9DB4-317D985182D5}.png

  • λ \lambda 较大时,为了降低损失函数,模型会选择使得 w2 ∥w∥_2 尽可能小。这相当于在参数空间中对解施加了一个“球形”约束,从而使得模型不会依赖于某些过大的参数值。
  • 从贝叶斯的角度看,这类似于在参数上施加了一个零均值、高斯分布的先验,从而使得模型参数更倾向于集中在零附近,这有助于防止模型过度复杂。

6. 实际应用中的注意事项

  1. 模型选择:并不是所有模型都需要正则化。对于简单模型(如低维线性回归),正则化可能效果不明显,但对于高维或非线性模型(如神经网络)通常非常必要。

  2. 正则化项的选择:根据数据特点和问题需求选择合适的正则化方法:

    • 如果需要特征选择,L1 是不错的选择。
    • 如果特征存在共线性问题,L2 会更稳健。
    • 高维稀疏数据常结合两者(Elastic Net)。
  3. 参数调节:正则化超参数的调节需要仔细进行,因为它直接影响模型在训练集和测试集上的表现。交叉验证是常用的方法。

  4. 结合其他方法:正则化方法可以与其他技术(如早停、数据增强等)结合使用,进一步提升模型泛化能力。


7. 总结

正则化是一种在模型训练过程中防止过拟合的重要策略,通过在损失函数中加入反映模型复杂度的惩罚项,使模型参数受到约束,从而提高模型在新数据上的表现。常见的正则化方法包括:

  • L2 正则化:通过平方惩罚使得权重减小,适用于稳定参数估计。
  • L1 正则化:通过绝对值惩罚促使部分参数为零,实现特征选择。
  • Elastic Net:结合 L1 和 L2 的优势,适用于高维、稀疏数据。
  • Dropout、早停和数据增强:在深度学习中常用的正则化手段。

在实际应用中,根据具体数据特点和任务需求选择合适的正则化方法,并通过交叉验证等方法调节超参数,是构建高泛化能力模型的重要步骤。