基于simulink的直接转矩控制方法建模与性能仿真

124 阅读2分钟

1.课题概述

       基于simulink的直接转矩控制方法建模与性能仿真。使用电压空间矢量控制方法,并经park和clark变换得到旋转坐标下的电压和电流,通过磁场定向的方法直接改变电机闭环控制。

 

2.系统仿真结果

1.jpeg

2.jpeg

3.jpeg

4.jpeg

5.jpeg

3.核心程序与模型

版本:MATLAB2022a

f37c453bb527ff1e20666cad8603b282_watermark,size_14,text_QDUxQ1RP5Y2a5a6i,color_FFFFFF,t_100,g_se,x_10,y_10,shadow_20,type_ZmFuZ3poZW5naGVpdGk=.jpg

4.系统原理简介

       直接转矩控制是一种交流电机控制系统,特别是针对感应电机的一种高性能调速技术。它通过直接对电机的电磁转矩和磁链进行控制,而不是传统的通过调节定子电压矢量的角度和幅值间接影响转矩的方法。

 

直接转矩控制系统主要由以下几个部分构成:

 

磁链观测器:用于实时计算电机的定子磁链。

转矩估计器:基于磁链信息计算电机的实际转矩 T_e。

参考值比较模块:将估计的转矩 T_e 与给定转矩 T_m 相比较得到转矩误差 e_T = T_m - T_e,同时比较定子磁链与给定磁链得到磁链误差。

空间电压矢量选择表(SVM):基于转矩误差和磁链误差,选择最优的电压矢量以最小化两者误差。

逆变器驱动:根据SVM选定的电压矢量控制逆变器开关状态,施加相应的电压于电机定子绕组。

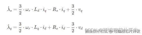
磁链观测器

       对于三相感应电机,可通过Park变换将定子磁链观测问题转化为两相静止坐标系下的观测问题,常用的滑膜观测器公式如下:

 

6540583505334f269388e993395796d8_watermark,size_14,text_QDUxQ1RP5Y2a5a6i,color_FFFFFF,t_100,g_se,x_10,y_10,shadow_20,type_ZmFuZ3poZW5naGVpdGk=.png

 

感应电机的电磁转矩可以通过下式计算:

b3a175dcb5e8302d70c5acbe556a16ca_watermark,size_14,text_QDUxQ1RP5Y2a5a6i,color_FFFFFF,t_100,g_se,x_10,y_10,shadow_20,type_ZmFuZ3poZW5naGVpdGk=.png

 

其中,p 是电机极对数。