基于模糊PID控制器的的无刷直流电机速度控制simulink建模与仿真

114 阅读2分钟

1.课题概述

       基于模糊PID控制器的的无刷直流电机速度控制simulink建模与仿真。基于模糊PID控制器的无刷直流电机(Brushless Direct Current Motor, BLDCM)速度控制系统是一种融合了传统PID控制与模糊逻辑控制优势的智能控制策略,旨在提高BLDCM速度控制的动态响应、抗干扰能力和稳态精度。

 

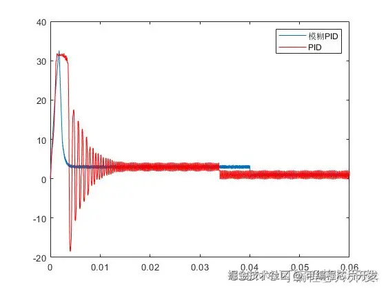
2.系统仿真结果

4126aee52542e66f1943ea1b0729f382_watermark,size_14,text_QDUxQ1RP5Y2a5a6i,color_FFFFFF,t_100,g_se,x_10,y_10,shadow_20,type_ZmFuZ3poZW5naGVpdGk=.jpg   736e99078d1a5a60db5145d845b8d179_watermark,size_14,text_QDUxQ1RP5Y2a5a6i,color_FFFFFF,t_100,g_se,x_10,y_10,shadow_20,type_ZmFuZ3poZW5naGVpdGk=.jpg

3.核心程序与模型

版本:MATLAB2022a

 

a9aa34aefe1dc1415246015c3e6010fa_watermark,size_14,text_QDUxQ1RP5Y2a5a6i,color_FFFFFF,t_100,g_se,x_10,y_10,shadow_20,type_ZmFuZ3poZW5naGVpdGk=.jpg

 

4.系统原理简介

4.1无刷直流电机模型与速度控制

无刷直流电机由定子绕组、永磁转子和电子换相器组成。其数学模型可简化为:

 

f1dfd49c92a9221baa58a9fa814a675f_watermark,size_14,text_QDUxQ1RP5Y2a5a6i,color_FFFFFF,t_100,g_se,x_10,y_10,shadow_20,type_ZmFuZ3poZW5naGVpdGk=.png

 

      其中,T 为电机电磁转矩,Kt​ 为扭矩系数,Ia​ 为定子相电流,ω 为电机角速度,B 为电机摩擦系数,TL​ 为负载转矩,J 为转动惯量。速度控制的目标是通过调节定子相电流 Ia​ 来实现电机转速 ω 的精确跟踪。

 

4.2 模糊PID控制器设计

        模糊PID控制器结合了PID控制的稳定性、易整定性和模糊逻辑控制的非线性适应性、语言描述优势,其结构通常包含模糊化、模糊推理、解模糊三个环节。

 

模糊化:将PID控制器的误差 e=r−ω (设定转速 r 与实际转速 ω 之差)和误差变化率 e˙=dtde​ 作为输入,通过隶属函数将其转化为模糊语言变量(如“负大”、“负中”、“负小”、“零”、“正小”、“正中”、“正大”)。

 

模糊推理:依据预先设计的模糊控制规则库,对模糊化后的误差和误差变化率进行模糊推理,得出PID参数(比例系数 Kp​、积分系数 Ki​、微分系数 Kd​)的模糊输出。

 

例如,典型模糊控制规则如下:

 

IF (Error is NB AND Derivative is NB) THEN (P is PB, I is NB, D is ZE)

...

IF (Error is ZE AND Derivative is PB) THEN (P is PM, I is ZE, D is PB)

其中,NB、NM、ZE、PS、PM、PB分别代表“负大”、“负中”、“零”、“正小”、“正中”、“正大”。

 

解模糊:将模糊输出通过中心平均法、重心法、最大隶属度法等解模糊算法转化为具体的PID参数值,用于后续的PID控制计算。

 

       基于模糊PID控制器的无刷直流电机速度控制系统巧妙地结合了PID控制与模糊逻辑控制的优点,通过模糊化、模糊推理、解模糊等步骤动态调整PID参数,实现对电机转速的精确、稳定控制。这种系统具有良好的动态响应、抗干扰能力和稳态精度,适用于各种工况下的BLDCM速度控制应用。