小车侧方位停车过程的动态模拟matlab仿真

101 阅读3分钟

1.课题概述

       小车侧方位停车过程的动态模拟matlab仿真。仿真得到小车的停车动画,小车移动的xy轴坐标以及角度变换。

 

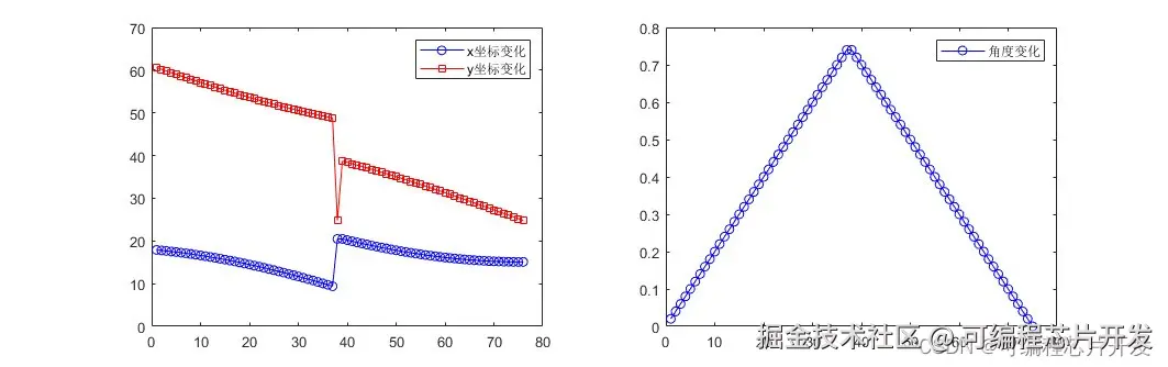
2.系统仿真结果

1.jpeg

2.jpeg

3.jpeg

4.jpeg

 

3.核心程序与模型

版本:MATLAB2022a

`%阶段3

%车轮             

pause(1);

for i=1:13

    ya1=ya1+0.5;

    yb1=yb1+0.5;

    ya2=ya2+0.5;

    yb2=yb2+0.5;

 

cla;

patch([Car2pos_x1 Car2pos_x2 Car2pos_x3 Car2pos_x4],[Car2pos_y1 Car2pos_y2 Car2pos_y3 Car2pos_y4],[0.7 0.7 0]);

patch([Car1pos_x1 Car1pos_x2 Car1pos_x3 Car1pos_x4],[Car1pos_y1 Car1pos_y2 Car1pos_y3 Car1pos_y4],[0.7 0.7 0]);          

patch([xa1 xb1 xb2 xa2],[ya1 yb1 yb2 ya2],[0 1 0]);

 

    ya11=ya1+(D-WLen/2);

    yb11=ya11+WLen;

    ya21=ya2+(D-WLen/2);

    yb21=ya21+WLen;

    xa11=xa2+(Wkd/2);

    xb11=xa2+(Wkd/2);

    xa21=xa2-(Wkd/2);

    xb21=xa2-(Wkd/2);

patch([xa11 xb11 xb21 xa21],[ya11 yb11 yb21 ya21],[0 0 0]);

 

    xa22=xa1-(Wkd/2);

    xb22=xa1-(Wkd/2);

    xa12=xa1+(Wkd/2);

    xb12=xa1+(Wkd/2);

patch([xa12 xb12 xb22 xa22],[ya11 yb11 yb21 ya21],[0 0 0]);

 

    ya13=ya11+Hcar;

    yb13=yb11+Hcar;

patch([xa11 xb11 xb21 xa21],[ya13 yb13 yb13 ya13],[0 0 0]);

patch([xa12 xb12 xb22 xa22],[ya13 yb13 yb13 ya13],[0 0 0]);

 

pause(.02);

 

end

 

hold on

plot(-59*ones(1,121),[-20:100],'r','linewidth',2);

hold on

plot(-40*ones(1,121),[-20:100],'r','linewidth',2);

hold on

plot(-21*ones(1,121),[-20:100],'r','linewidth',2);

hold on

plot(-2*ones(1,121),[-20:100],'r','linewidth',2);

hold on

plot(17*ones(1,121),[-20:100],'r','linewidth',2);

hold on

plot(36*ones(1,121),[-20:100],'r','linewidth',2);

hold on

plot(55*ones(1,121),[-20:100],'r','linewidth',2);

hold on

plot(74*ones(1,121),[-20:100],'r','linewidth',2);

hold on

figure;

subplot(121);

plot(Xset,'b-o')

hold on

plot(Yset,'r-s')

legend('x坐标变化','y坐标变化');

 

subplot(122);

plot(thetas,'b-o')

legend('角度变化');

38`  

4.系统原理简介

假设小车是一个刚体,其侧方位停车过程中涉及到以下几个关键状态变量:

 

位置坐标:小车前端中心点在水平面上的坐标(x, y)。

角度:小车与垂直方向之间的夹角θ。

速度:小车向前和向侧面的线速度(vx, vy)。

角速度:小车转向的角度速度ω。

       侧方位停车的过程可以拆分为直线行驶、转向、倒车和微调等阶段,对于每一个阶段,可以分别建立相应的运动学方程:

 

8ce47b966df355b097eaa41f375c43b2_watermark,size_14,text_QDUxQ1RP5Y2a5a6i,color_FFFFFF,t_100,g_se,x_10,y_10,shadow_20,type_ZmFuZ3poZW5naGVpdGk=.png

 

结合上述运动学模型和控制策略,构建小车侧方位停车的动态模拟流程,包括:

 

设定初始条件(小车位置、速度、目标车位位置等)。

设计和实现控制器,根据当前状态计算下一步的控制输入(驱动力矩、转向角等)。

更新小车的运动状态(位置、速度、角度)。

检查是否达到停车条件(如与车位边界点的距离是否小于阈值),未达到则重复步骤2和3,直至成功停车。

        这样的模拟有助于验证控制策略的有效性,优化停车算法,并在实际应用前对停车过程进行预判和调试。在实际编程实现时,可以利用Matlab工具搭建仿真模型,并可视化整个停车过程。