树转数组大伙都写腻了吧?那就换一道题,写个树转链表吧😋

812 阅读7分钟

扯皮

好久没写过小短文了,上班之后匀给写文章的时间非常少,通常都是碎片化时间稍微写几段,现在草稿箱里已经压了四篇文章没发了🤐,这段时间赶紧整理一下

看到这个标题第一时间相信想到的都是 React 的 Fiber 架构,明明已经有很多篇文章解析了为什么还要写这个相关的呢?因为之前看了不少比较优秀的文章,有些会把虚拟 DOM 转 Fiber 链表的过程也进行详解,但是由于 Fiber 架构本身比较复杂,针对于这个过程并不会重点讲

这就导致一个问题,每次看完这部分内容后,只能说🧠懂了🤲没懂,突然有一天自己总结 Fiber 架构的时候上来先反问自己:虚拟 DOM 转 Fiber 的过程是怎样的呢?答:emm 先这样遍历一下,然后再那样,然后就成链表了...

说明🧠还是不太懂🤣,突然一想这不就是一个手写题么🤔,以前树 -> 数组、数组 -> 树写的贼 6,到这个直接抓瞎了,赶紧下来总结一下

正文

确定数据类型

既然是两个数据结构的转换那必然需要先确定这两个结构类型,树结构不多说了,既然链表能够描述一棵树,那它不是普通的链表,它是一个有功的三向链表,具体是哪三向呢?肯定就还是按照 React 的 fiber 来啦:

image.png

废话不多说,上 TS 写类型:

type TreeNodeType = {
  id: number;
  name: string;
  children?: TreeNodeType[];
};

type LinkNodeType = TreeNodeType;

class LinkNode {
  node: LinkNodeType | null;
  return: LinkNode | null = null;
  child: LinkNode | null = null;
  sibling: LinkNode | null = null;
  constructor(node?: LinkNodeType) {
    this.node = node || null;
  }
}

遍历顺序

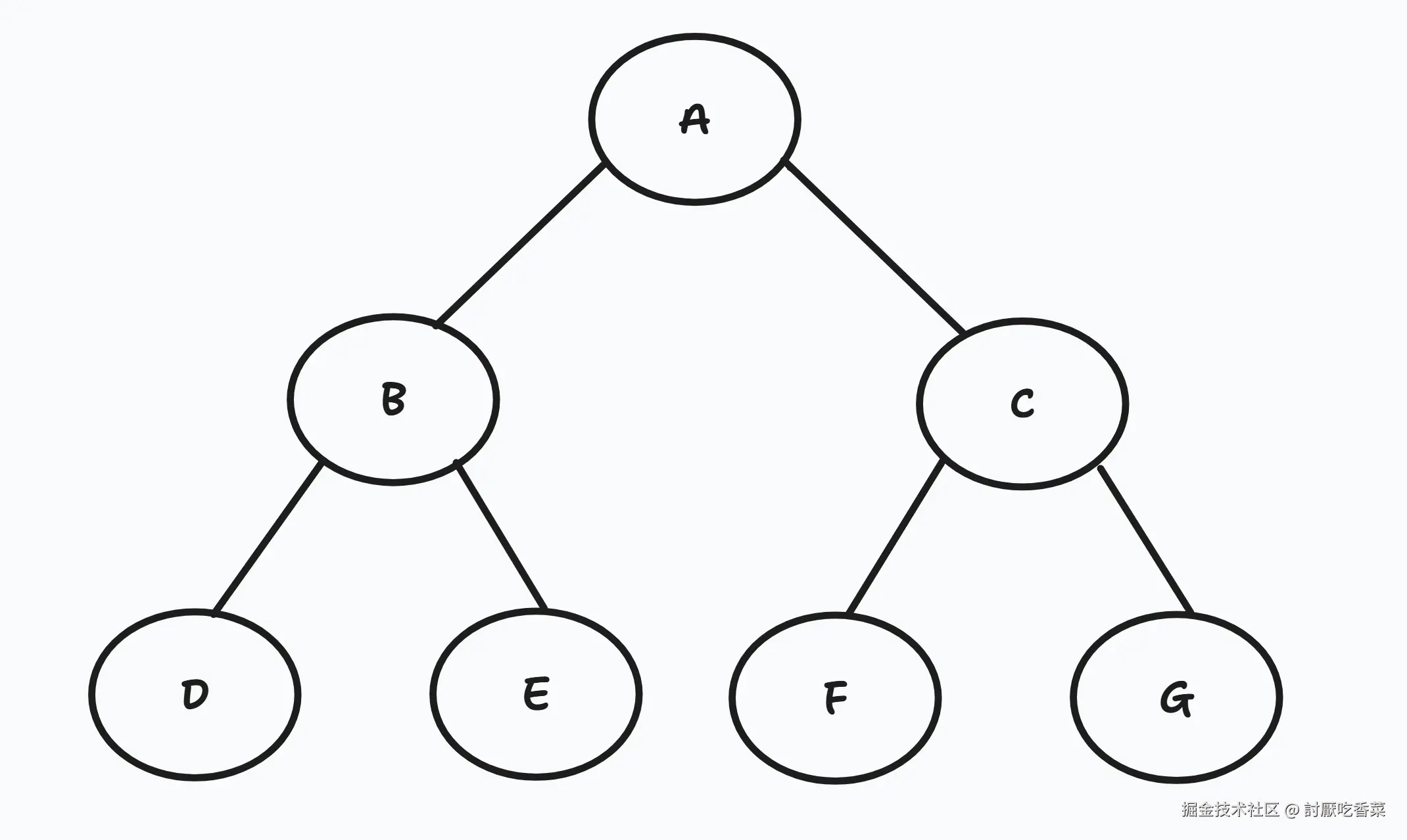
要对树结构进行转化肯定要遍历每个树节点,我们肯定是需要一边遍历一边建立链表节点关系,关键在于是选 BFS 还是 DFS,不妨代入分析一下看看,以下面这棵树为例:

image.png

如果是 BFS 它的遍历顺序为:ABCDEFG

层序遍历上来就可以被抬走了,可以清楚的看到比较方便建立兄弟关系(sibling),毕竟都是一层紧挨着的,但是针对于父子关系(return、child)就错乱了,C -> D 明显关系错位

要想跟父子打好关系还是得靠 DFS ,DFS 又分为三种:ABDECFG(先序)、DBEAFCG(中序)、DEBFGCA(后序) 还是考虑我们 return、sibling、child 的关系,以 B、D、E 三个节点为例,中序的 DBE (D、E sibling 关系)和后序的 DEB(父子关系)处理起来都不太方便

只有先序的 BDE 比较符合,但是又不完全一样,因为我们并不是先一路遍历到最底的节点再向上回头,而是先处理父节点,之后紧接着遍历处理孩子节点

先序遍历的 BDE 的顺序是符合的,但是针对于子树 ABC 不合适,一般情况下我们手写的 DFS 都是以递归的方式实现的,但在这里不只要遍历节点还要建立关系,通过这层关系能够让我们以循环的方式来实现

代码实现

根据上面的这棵二叉树来想想遍历过程中该怎么建立关系,不妨将整个二叉树拆成一棵棵子树,那么我们每轮其实就是在处理一个父节点和几个子节点之间的关系,我们先来棵只有父子关系的子树:

const tree: TreeNodeType = {
  id: 1,
  name: "A",
  children: [
    {
      id: 2,
      name: "B",
    },
    {
      id: 3,
      name: "C",
    },
    {
      id: 4,
      name: "D",
    },
    {
      id: 5,
      name: "E",
    },
  ],
};

来实现一个 handleTreeChildren 来建立关系,按照 Fiber 之间的关系其 child 指向是第一个孩子节点,所以其关键在于区分处理第一个孩子节点和其余孩子节点,其余孩子节点只需要在其之间建立 sibling 关系即可:

function handleTreeChildren(treeNode: TreeNodeType, children: TreeNodeType[]) {
  const headNode = new LinkNode(treeNode);
  let prevNode: LinkNode | null = null;
  children.forEach((node, index) => {
    const linkNode = new LinkNode(node);
    linkNode.return = headNode;
    if (index === 0) {
      headNode.child = linkNode;
    } else {
      prevNode!.sibling = linkNode;
    }
    prevNode = linkNode;
  });

  return headNode;
}

console.log(handleTreeChildren(tree, tree.children || []));

打印看下结果没什么毛病:

image.png

现在只是处理了一棵子树,后面要把子树串联起来,实际就是循环上面的子树处理过程,关键是怎么循环呢🤔,需要回想一下 React Fiber 的处理过程,它的顺序是 child -> sibling -> return,也就是说我们处理完孩子节点后,需要再将 child 指向的第一个子节点重复上述过程,没有 child 就找 sibling,没有 sibling 就 return 回去找它的 sibling(俗称找叔叔🧍‍♂️),我们来拓展 handleTreeChildren 的实现:

function handleTreeChildren(treeNode: TreeNodeType, children: TreeNodeType[]) {
  const headNode = new LinkNode(treeNode);
  let prevNode: LinkNode | null = null;
  children.forEach((node, index) => {
    const linkNode = new LinkNode(node);
    linkNode.return = headNode;
    if (index === 0) {
      headNode.child = linkNode;
    } else {
      prevNode!.sibling = linkNode;
    }
    prevNode = linkNode;
  });
  // new
  if (headNode.child) return headNode.child;
  if (headNode.sibling) return headNode.sibling;
  return headNode.return?.sibling;
}

除此之外就需要一个循环重复上述过程了,我们将 handleTreeChildren 中创建的 headNode 抽离至外面,以 while 循环的方式处理每棵子树:


// new
function TreeToLinkList(tree: TreeNodeType) {
  const headNode = new LinkNode(tree);
  let currentNode: LinkNode | null | undefined = headNode;

  while (currentNode) {
    const children = currentNode.node?.children || [];
    currentNode = handleTreeChildren(currentNode, children);
  }
  return headNode;
}

function handleTreeChildren(headNode: LinkNode, children: TreeNodeType[]) {
  let prevNode: LinkNode | null = null;
  children.forEach((node, index) => {
    const linkNode = new LinkNode(node);
    linkNode.return = headNode;
    if (index === 0) {
      headNode.child = linkNode;
    } else {
      prevNode!.sibling = linkNode;
    }
    prevNode = linkNode;
  });

  if (headNode.child) return headNode.child;
  if (headNode.sibling) return headNode.sibling;
  return headNode.return?.sibling;
}

用上面图中的那棵二叉树来看看结果,没什么问题:

const tree: TreeNodeType = {
  id: 1,
  name: "A",
  children: [
    {
      id: 2,
      name: "B",
      children: [
        {
          id: 4,
          name: "D",
        },
        {
          id: 5,
          name: "E",
        },
      ],
    },
    {
      id: 3,
      name: "C",
      children: [
        {
          id: 6,
          name: "F",
        },
        {
          id: 7,
          name: "G",
        },
      ],
    },
  ],
};

console.log(TreeToLinkList(tree));

image.png

到此我们树转链表的实现基本就结束啦,还有个特殊情况,真实场景下这里的树结构通常不是一个对象,而是一个数组结构里面存每个子树,需要针对于这种情况进行处理

思路其实很简单,我们可以手动创建一个带头链表,这个头节点不存数据只起链接作用,不过每次节点的 children 就需要我们手动存一下了,毕竟现在多了个带头节点,会与之前的实现错位:

function TreeToLinkList(tree: TreeNodeType | TreeNodeType[]) {
  // new
  const trees = Array.isArray(tree) ? tree : [tree];
  const headNode = new LinkNode();
  let currentNode: LinkNode | null | undefined = headNode;
  let treeChildren = trees;

  while (currentNode) {
    currentNode = handleTreeChildren(currentNode, treeChildren || []);
    treeChildren = currentNode?.node?.children || [];
  }
  // new
  return headNode.node ? headNode : headNode.child;
}

再来棵树看看效果,没什么问题,这其实也是 React 和 Vue 要求组件必须有一个根节点的原因,哪怕没有根节点框架底层也会给你包一层形成树结构而非数组:

const tree: TreeNodeType[] = [
  {
    id: 1,
    name: "A",
    children: [
      {
        id: 4,
        name: "D",
      },
      {
        id: 5,
        name: "E",
      },
    ],
  },
  {
    id: 2,
    name: "B",
  },
  {
    id: 3,
    name: "C",
    children: [
      {
        id: 6,
        name: "F",
      },
      {
        id: 7,
        name: "G",
      },
    ],
  },
];
console.log(TreeToLinkList(tree));

image.png

End

全部代码如下,除去类型的话感觉 40 行不到 😇,整个实现过程就已经有 React 的影子了,像 while 循环再拓展一个条件就是时间分片,根据剩余时间来执行下次循环,也正是因为采取了这种结构才能够实现 React 所说的“中断”效果:

type TreeNodeType = {
  id: number;
  name: string;
  children?: TreeNodeType[];
};

type LinkNodeType = TreeNodeType;

class LinkNode {
  node: LinkNodeType | null;
  return: LinkNode | null = null;
  child: LinkNode | null = null;
  sibling: LinkNode | null = null;
  constructor(node?: LinkNodeType) {
    this.node = node || null;
  }
}

function TreeToLinkList(tree: TreeNodeType | TreeNodeType[]) {
  const trees = Array.isArray(tree) ? tree : [tree];
  const headNode = new LinkNode();
  let currentNode: LinkNode | null | undefined = headNode;
  let treeChildren = trees;

  while (currentNode) {
    currentNode = handleTreeChildren(currentNode, treeChildren || []);
    treeChildren = currentNode?.node?.children || [];
  }
  return headNode.node ? headNode : headNode.child;
}

function handleTreeChildren(headNode: LinkNode, children: TreeNodeType[]) {
  let prevNode: LinkNode | null = null;
  children.forEach((node, index) => {
    const linkNode = new LinkNode(node);
    linkNode.return = headNode;
    if (index === 0) {
      headNode.child = linkNode;
    } else {
      prevNode!.sibling = linkNode;
    }
    prevNode = linkNode;
  });

  if (headNode.child) return headNode.child;
  if (headNode.sibling) return headNode.sibling;
  return headNode.return?.sibling;
}

到此这篇小短文就结束了,别看实现的代码量不多,如果真让面试手写的话之前没有了解过 Fiber 架构还真不好撕出来😇,以后真能当上面试官了就搞点这些题来玩玩,代码量少不需要多长时间,还又考察了数据结构,多好的一道题😆