Java 自然启发的算法教程(一)
一、最优化导论:问题与技术
真正的优化是现代研究对决策过程的革命性贡献。
—乔治·丹齐格,美国科学家
本章介绍了优化技术,重点是那些元启发/自然启发的技术。您将学习如何对这些技术和可用的基准函数类型进行基准测试。
优化一览
在商业、政府和我们的个人生活中,我们每天都在决定如何最好地利用可用资源,包括时间和金钱。很难决定买哪些东西或者走哪条路线去上班。
对于与供应链打交道的组织来说,这种挑战更加严峻。例如,他们必须解决如何将包裹装载到一队卡车上,司机应该选择哪条路线在最少的时间内交付货物,或者如何在航班全天穿越全国时为航班分配机组人员和飞机。
当有许多选择和相互关系时,将有限资源分配给不同用途的决策是优化的主要候选。在优化中,您需要定量地定义一个模型,该模型指定您的资源可能被分配的所有方式、时间或位置,以及必须满足的对资源和使用的所有重要约束。然后确定满足最佳资源分配的解决方案。
一般来说,最优化问题基于三个基本原则。
-
决策变量
-
目标函数
-
限制
量化的决策变量是分配给每次使用的资源数量;例如,每班工作的员工人数或装载到每辆卡车上的包裹数量。为了确定什么是最佳方法,您必须定义一个称为目标的量,它可以计算决策变量的值——例如最小化成本、最大化利润或最小化生产时间。
由于任何资源都受到一些限制,为了完成模型,您必须定义每个约束或限制资源的分配方式,以反映现实世界的情况。通常,这些是从决策变量中计算出来的简单约束限制,例如“完成任务的最大时间是 150 小时”
例如,一个店主希望保留一些商品,以最大化利润或降低库存成本。在这种情况下,决策变量是要保留的项目。一个限制因素可能是资本的数量。利润是目标函数。
另一个例子是股票投资组合。目标函数是财富最大化。决策变量是个股。一个限制是投资者拥有的资金数量。
一个优化问题可以通过两种主要方式来解决:精确方法和启发式方法。
精确优化方法的优点来自于对最佳解决方案(从技术上讲,是一个最优解决方案)的有保证的识别。但是根据问题集的不同,最优的解决方案可能是昂贵的、耗时的或者不切实际的。如果决策变量空间太大,精确的方法优化可能是棘手的。
在这种情况下,最好使用启发式方法,这通常会提供良好、快速的解决方案。启发法通常是在有限的时间内解决最困难的商业问题的关键。
你现在看到了我们在日常生活和工作中面临的各种优化问题。
优化问题
最优化问题可以大致分为五种类型。如果问题是线性的,约束和目标函数只能是线性的。在非线性问题中,约束和目标函数可以是线性的,也可以是非线性的。当没有提到决策变量时,假设它们是连续的。在整数规划中,决策变量是离散的。在混合整数规划中,决策变量可以是连续的,也可以是离散的。这些优化问题在表 1-1 中有进一步描述。
表 1-1
与优化相关的问题
|类型
|
决策变量
|
限制
|
目标函数
| | --- | --- | --- | --- | |
连续的
|
分离的
|
线性的
|
非线性的
|
线性的
|
非线性的
| | --- | --- | --- | --- | --- | --- | | 线性规划 | 是 | 不 | 是 | 不 | 是 | 不 | | 非线性规划 | 是 | 不 | 是 | 是 | 是 | 是 | | 整数线性规划 | 不 | 是 | 是 | 不 | 是 | 不 | | 混合整数线性规划 | 是 | 是 | 是 | 不 | 是 | 不 | | 混合整数非线性规划 | 是 | 是 | 是 | 是 | 是 | 是 |
优化技术
有三种类型的优化技术来解决优化问题。
- 数学技巧基于问题的几何性质。
例子包括整数规划的单纯形算法,其中约束和目标函数是线性的;混合整数线性规划的分枝定界法:以及非线性规划的最速下降法和牛顿法。
- 元启发式技术基于近似解,主要受自然过程的启发。
元启发式技术的例子包括粒子群优化、灰狼优化和蚁群优化。
元启发式技术的美妙之处在于它不依赖于问题的结构。求解线性规划问题的方法与求解非线性规划问题的方法相同。因此,这些技术也被称为黑盒优化技术。
- 其他技术包括斐波那契方法和黄金分割法。
这本书关注元启发式技术。其他技术的探索留给读者自己。
优化阻碍进化。除了第一次,所有的东西都应该自上而下的构建。简单不在复杂之前,而是在复杂之后。
——艾伦·珀利斯
优化的元启发式技术
元启发式技术受到自然和自然过程的启发。大多数技术都是基于自组织和涌现的原理。
自然界充满了涌现的例子。物理学的两大定律——热力学和广义相对论——是突现行为的例子。以温度为例。这是许多分子相互剧烈作用的结果。广义相对论认为时空是一条曲线。重力是空间和时间弯曲的结果。是什么导致的?科学家努力定义引力的量子观点。
但是什么是涌现呢?我们来探索一下。
两个科学模型定义了我们周围的所有事物、行为和过程。这些过程从植物到动物再到社会网络中的人类。
还原论和涌现
我们来看一个简单的现象——水。量子层次由分子、原子、电子、质子、中子和夸克组成。看待事物有两种不同的尺度。在物理学中,这被称为重整化。由于一个物体中的分子数量多得数不过来,而且每个分子都有很高的自由度,所以很难区分整体和部分。
让我们来看看一个物体在两个尺度上的属性。
-
微观描述单个粒子的属性,比如质量、速度、位置。
-
宏观描述压力和温度等属性。
“从部分到整体”意味着我们观察子部分中的每个分子,然后计算整个系统的行为/特性。这是一种简化的方法:将系统分解成最低层次,然后从那里开始。
约翰·惠勒(John Wheeler)是一位颇具影响力的普林斯顿大学物理学家,他的工作涉及从核物理到黑洞的各种主题,他表达了一种有趣的替代观点:“每一条被推到极致的物理定律都会被发现是统计上的和近似的,而不是数学上的完美和精确。”这意味着聚合是在每个级别或规模上完成的。这也被称为重整化。这种数学形式系统地从小到大。关键的一步是取平均值。突现模型没有深入微观细节,而是描述了出现的集体行为。一个经典的例子是基于神经元相互作用的人类智能。单个神经元非常简单(要么激活,要么不激活)。
多个神经元之间的相互作用产生了智能和感知,或者你可以说智能出现了。自然界有大量涌现的例子——蚁群、鸟群、蜜蜂。例如,一只蚂蚁的能力非常有限,但当在一个群体中时,集体行为就会出现,这有助于蚂蚁完成觅食等任务。
蚂蚁是复杂的蚁群系统中相对简单的组成部分。或者,更具体地说,与整个系统正在做的事情相比,每个 ant 组件的行为相对简单。一个蚁群可以从事复杂的行为,如筑巢、觅食、饲养蚜虫“牲畜”、与其他蚁群展开战争以及埋葬它们的死者。相比之下,没有一个人有独立承担这种集体任务的冲动或知识。意外出现的集体行为称为突发行为。
单个元素遵循一些明确定义的交互规则,复杂的行为就出现了。互联网和社交网络是新兴系统的例子。试图通过神经网络或自然启发的算法来模拟人脑的计算机科学研究都是计算机科学中出现的案例。
自组织
自组织是解释集体行为的复杂适应系统的一个原理。把它们想象成具有反馈回路的紧急系统,不断允许在微观层面上进行调整。系统的各个部分根据从环境中感知的信息和它们共同遵守的简单原则来组织自己。当原则对每个人都起作用且明确时,系统就会自我组织。团队不仅仅是各个部分的总和,而且拥有个人所没有的涌现的特性。
根据系统观,一个有机体或生命系统的本质属性是整体的属性,任何一个部分都不具备。它们产生于各部分之间的相互作用和关系。当系统在物理上或理论上被分解成孤立的元素时,这些性质就被破坏了。虽然我们可以辨别任何系统中的个别部分,但这些部分不是孤立的,整体的性质总是不同于其部分的简单总和。
—弗里乔夫·卡普拉,生命之网
元启发式技术是这样一种技术,它不依赖于问题的形状(像一个数学属性),而更像一个黑盒一样对待优化。应用这种技术导致在一个大的搜索空间中找到一个近似解,在这个搜索空间中,普通技术很容易变得计算密集甚至难以处理。
探索与开发
在接下来的章节中,你会遇到探索和开发,并了解大自然如何利用这些机制来达到最佳解决方案。
探索意为探索新的解决方案。例如,在日常生活中,我们通常试图学习新的东西。我们不断探索世界,寻找解决问题的新方法或增长知识。动物同样会探索新的解决方案来完成某些任务。
另一方面, exploitation 意味着使用现有的解决方案或附近的东西。它优化已知的解决方案和知识。
勘探和开发之间总是有一个权衡,需要混合使用这两种策略才能得到一个好的解决方案。勘探和开采最好放在多臂强盗问题的保护伞下理解(见 https://en.wikipedia.org/wiki/Multi-armed_bandit )。
元启发式技术的工作流程
以下术语都是元启发式技术工作流的一部分,所以在回顾这个过程之前把它们放在上下文中是很重要的。
-
一个解代表个人的维度或特征。
-
群体是个体解的集合。
-
参数可以针对具体算法进行调整/微调。
-
适应度函数是需要优化的目标函数。
-
迭代/世代是达到最优或最佳解决方案的迭代次数。
下面描述了工作流程。
-
定义问题的参数,例如群体大小和迭代次数。
-
生成随机解决方案的群体。
-
迭代。
-
从总体中选择一些解决方案。
-
稍微改变一下解决方案。
-
检查在步骤 5 中获得的解决方案的适用性。
-
应用幸存者函数以获得最佳解决方案。
-
转到步骤 3。(继续这样做,直到达到最大迭代次数)。
元启发式技术的基准函数
基准函数测试元启发式算法的性能。在基准函数中表现良好的算法往往在现实问题中表现良好。有大量的基准函数。表 1-2 列出了其中的几个。它们中的一些被用在后面几章讨论的算法中。
表 1-2
基准函数
| -  |摘要
本章讨论了最优化和解决最优化问题所涉及的各种技术。它介绍了解决优化问题的元启发式方法,并描述了元启发式算法评估的一些基准函数。
二、哺乳动物:鲸鱼、灰狼和蝙蝠优化
本章通过观察鲸鱼、灰狼和蝙蝠向你介绍最优化问题解决的世界。你将了解这些哺乳动物如何发展出特定的技术来解决它们生存所需要解决的某些问题。这些问题包括觅食或狩猎。
历史:鲸鱼
鲸鱼不唱歌是因为它们有答案。他们唱歌是因为他们有一首歌。
—格利高里·考伯特,加拿大电影人
鲸鱼是世界上最大的哺乳动物。它们可以长到 30 米长,重达 180 吨。有许多不同种类的鲸鱼,包括虎鲸、小须鲸、座头鲸、露脊鲸、露脊鲸和蓝鲸。
鲸鱼是具有高智商和高情商的食肉哺乳动物。
根据研究,鲸鱼大脑中某些区域的细胞与人类相似。这些纺锤体细胞负责判断能力、情绪和社会行为。一只鲸鱼的这些细胞数量几乎是成年人的两倍,这是它们聪明的主要原因之一。已经证明,鲸鱼可以像人类一样思考、学习、判断、交流和变得情绪化,尽管智力水平低得多。鲸鱼也是群居的。他们中的一些物种(例如虎鲸)可以一生都生活在一个家庭中。
本章重点介绍座头鲸,最大的须鲸之一。
座头鲸最有趣的是它们特殊的捕猎方式。这种觅食行为被称为泡网喂食法。座头鲸喜欢捕食成群的磷虾或靠近水面的小鱼。据观察,这种觅食是通过沿着圆形或 9 字形路径产生独特的气泡来完成的。在 2011 年之前,这种行为只是从表面观察到的。然而,Goldbogen 等人[4]使用标签传感器研究了这种行为。他们捕获了 9 头座头鲸的 300 个标签衍生的泡泡网进食事件。他们发现了两种与泡沫相关的动作,并将它们命名为上升螺旋和双循环。在向上螺旋运动中,座头鲸潜到大约 12 米,在猎物周围形成一个螺旋形状的气泡,然后向水面游去。双环机动包括三个不同的阶段:珊瑚环、长尾和捕获环。
值得一提的是,泡网摄食是一种独特的行为,只有在座头鲸身上才能观察到。螺旋泡网进料策略的数学模型用于执行优化。
泡沫网喂食是鲸鱼故意从鼻子里吹出泡沫,像网一样包围它们的食物(磷虾和鱼),将它们的猎物集中成一个紧密的球。然后,鲸鱼或一群鲸鱼一起从这个球下面游出来,浮上水面,张开它们的嘴,吞下它们的猎物。
鲸鱼优化算法(WOA)是最近开发的一种基于群体的元启发式算法,基于泡网搜索策略技术,用于解决复杂的优化问题。由于其结构简单、所需算子少、收敛速度快、在勘探和开发阶段之间具有更好的平衡能力,已成为一种被广泛接受的群体智能技术。由于其优化的性能和效率,该算法在多学科领域得到了广泛的应用。
Whale 优化基于两种策略。
-
探索(环绕)
-
漏洞利用(使用泡泡网方法的攻击)
包围猎物
让我们讨论一下鲸鱼在包围猎物时表现出的一些特征。
-
座头鲸知道猎物的位置并包围它们。
-
他们认为当前的最佳候选解决方案是获得的最佳和接近最佳的解决方案。
-
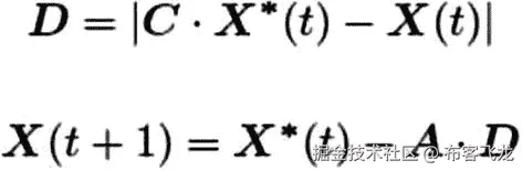
在指定最佳候选解之后,其他代理朝着最佳搜索代理更新它们的位置,如等式 2-1 所示。
方程式 2-1。鲸鱼位置更新
在方程 2-1 中, t 为当前迭代, A 和 C 为系数向量, X *为最佳解的位置向量, X 表示一个解的位置向量,| |为绝对值。
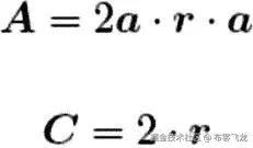
如公式 2-2 所示计算 A 和 C 矢量。
方程式 2-2。计算系数向量
在整个迭代过程中, a 的分量从 2 线性减少到 0, r 是[0;1].
开发阶段:泡沫网攻击方法
座头鲸利用泡泡网机制攻击猎物。这种机制在数学上是通过收缩环绕机制来表述的。
在这个机制中, A 是区间–A, a 中的随机值。在整个迭代过程中, a 的值从 2 减小到 0。然后,鲸鱼的位置以螺旋方式更新。这是基于鲸的位置和猎物的位置之间的距离,并基于两个相等的概率方程进行计算(见方程 [2-3 和 2-4 )。
X(t + 1) = X 缘 ,(t)-a(p<0.5)
X(t+1)=D′eblcos(27d)+X(t)(p>0.5)*
*方程式 2-3。泡泡网机制
*D′*是猎物与鲸鱼之间的距离。
D’= | XT5(t)= X(t)*|
方程式 2-4。猎物和鲸鱼之间的距离更新
鲸鱼流程图
图 2-1 描绘了 whale 优化算法的流程。它首先初始化参数,如种群大小和迭代次数。它初始化群体本身,然后在每次迭代期间,它更新每个代理(群体成员)的位置,并计算每个代理的适应度。在最后一次迭代之后,最适合的代理被认为是最佳解决方案。
图 2-1
鲸鱼优化算法的流程图
鲸鱼伪代码
以下伪代码描述了图 2-1 中概述的 whale 优化算法。
Randomly initialize the whale population.
Evaluate the fitness values of whales and find out the best search agent X* .
Initialize the whales population Xi (i = 1, 2, ..., n)
Calculate the fitness of each search agent
X*=the best search agent
while (t < maximum number of iterations)
for each search agent
Update a, A, C, l, and p
if1 (p<0.5)
if2 (|A| < 1)
Update the position of the current search agent by the Eq. (2.1)
else if2 (|A|>=1)
Select a random search agent ( )
Update the position of the current search agent by the Eq. (2.3)
end if2
else if1 (p >=0.5)
Update the position of the current search by the Eq. (2.3)
end if1
end for
Check if any search agent goes beyond the search space and amend it
Calculate the fitness of each search agent
Update X* if there is a better solution
t=t+1
end while
return X*
Whale 先决条件和代码
确保您的计算机上安装了 Java 8 (JDK8 或更高版本)。像 Eclipse 这样的 IDE 是推荐的,但不是必需的,因为您可以使用命令行界面来运行代码,而不需要 IDE。
whale 算法的代码包含以下类。
-
点工具类,有三个成员(见清单 2-1 )
-
双数组
-
整数数组
-
整数
-
-
优化评估函数的 Rastrigin 实用程序类(见清单 2-2 和方程 2-5
-
WhaleOptimizer 优化类,算法功能的主要 Java 类(参见清单 2-3 )
方程式 2-5。 Rastrigin 基准函数
import java.lang.Math;
import java.util.*;
public class WhaleOptimizer
{
// declare variables for population size, number of iterations, dimensions and bounds.
int popSize;
int iterations;
int dimensions;
int ub=100,lb=-100;
// an array to represent the fitness values.
double fitness[];
// Represents the best Solution
double[] bestSolution;
double minValueOfSolution;
double leaderDistance;
double[][] positions;
// other constants used within the algorithm
double a,t,a2,p;
/*
Initialize the variables
and arrays within the constructor. We will initialize the population here with dimensions capped between lower and upper bounds.
*/
public WhaleOptimizer(int iterations,int popSize, int dimensions)
{
this.iterations=iterations;
this.popSize=popSize;
this.dimensions=dimensions;
positions=new double[popSize][dimensions];
fitness=new double[popSize];
//Initialize the population of all solutions
for(int i=0;i<popSize;i++)
{
for (int j=0;j<dimensions;j++)
{
// cap the values between upper and lower bounds
positions[i][j]=Math.random()*(ub-lb)+lb;
}
}
// calculate the fitness of each solution in the population
for(int i=0;i<popSize;i++)
{
fitness[i]=fitnessCalculator(positions[i]);
}
// Get the best solution in population with random initialized values.
int bestIndex= indexOfSmallest(fitness);
bestSolution=positions[bestIndex];
minValueOfSolution=smallestInArray(fitness);
}
//rastrigin function used for calculating the fitness of the solutions
private double fitnessCalculator(double[] candidate)
{
Point p= new Point(candidate);
Rastrigin rast=new Rastrigin(10,dimensions);
// The other benchmark which can be experimented with is Ackley.
//Ackley ack=new Ackley(10,10,10,10);
return rast.f(p);
}
/*
Helper method which finds the smallest member in an array of doubles
*/
private static double smallestInArray(double[] array){
// add this
if (array.length == 0)
return -1;
int index = 0;
double min = array[index];
for (int i = 1; i < array.length; i++){
if (array[i] <= min){
min = array[i];
//index = i;
}
}
return min;
}
/*
Helper method which finds the index of the smallest member in an array of doubles
*/
private static int indexOfSmallest(double[] array){
// add this
if (array.length == 0)
return -1;
int index = 0;
double min = array[index];
for (int i = 1; i < array.length; i++){
if (array[i] <= min){
min = array[i];
index = i;
}
}
return index;
}
/*
Main method for running the algorithm
*/
private void optimize()
{
//main loop for iterating over configured number of iterations
for(int i=0;i<iterations;i++){
//loop over individual whale in the population. Each whale represents a solution in the
//search space
for(int j=0;j<popSize;j++)
{
//get positions of whales in bounds
positions[j]=simpleBounds(positions[j],lb,ub);
//System.out.println("velocities="+s[j][0]);
// calculate fitness of each whale
double fNew = fitnessCalculator(positions[j]);
// Update the current best solution
if (fNew < minValueOfSolution)
{
bestSolution =positions[j].clone();
minValueOfSolution = fNew;
}
}
//loop over the population again
for(int j=0;j<popSize;j++)
{
a = 2 - i * ((2) / iterations);
// a decreases linearly from 2 to 0
// a2 linearly decreases from -1 to -2 to calculate t
a2 = -1 + i * ((-1) / iterations);
double r1=Math.random();
double r2=Math.random();
//exploit phase starts
double A = 2 * a * r1 - a; // Equation 2.2 for calculating A
double C = 2 * r2 ; // Equation 2.2 for calculating C
int b = 1;
double l = (a2 - 1) * Math.random() + 1;
//random variable for calculating probablity
p= Math.random();
// Iterate over individual dimension of each of the solution
for(int k=0;k<dimensions;k++)
{
//check for probability value via a random variable p
//update position of individual whale using Equation 2.3
if (p < 0.5)
{
if (Math.abs(A) >= 1)
{
int rand_leader_index = (int)Math.floor(popSize * Math.random());
double[] X_rand = positions[rand_leader_index].clone();
double val= C * X_rand[k] - positions[j][k];
double D_X_rand = Math.abs(val);
//update the whale position
positions[j][k]= X_rand[k] - A * D_X_rand;
}
else if (Math.abs(A) < 1){
double val=C * bestSolution[j] - positions[j][k];
leaderDistance = Math.abs(val);
//update the whale position
positions[j][k] = bestSolution[j] - A * leaderDistance;
}
}
else if (p >= 0.5)
{
double distance2Leader = Math.abs(bestSolution[j] - positions[j][k]);
//update the whale position
positions[j][k] = distance2Leader * Math.exp(b * l) * Math.cos(l * 2 * Math.PI)+ bestSolution[j];
}
}
}
// print the best solution
System.out.println("iter="+i+" best fitness is ="+minValueOfSolution);
}
}
/*
Method for bounding the value between lower and upper bounds
*/
private double[] simpleBounds(double[] val, double lower, double upper){
double[] result = new double[val.length];
for (int i = 0; i < val.length; i++) {
if (val[i] < lower){
result[i] = lower;
}
else if (val[i] > upper){
result[i] = upper;
}
else
{
result[i]=val[i];
}
}
return result;
}
/*
Main method to pass inputs and launch the algorithm
*/
public static void main(String[] args)
{
//takes input as number of iterations, population size and dimensions
int iter=Integer.parseInt(args[0]);
int pop=Integer.parseInt(args[1]);
int dim=Integer.parseInt(args[2]);
WhaleOptimizer whale =new WhaleOptimizer(iter,pop,dim);
whale.optimize();
}
}
Listing 2-3The WhaleOptimizer Class
/*
This class is used as the benchmark function and will be used throughout all algorithms.
*/
public class Rastrigin {
private double A;
private double n;
public Rastrigin(double A, double n) {
this.A = A;
this.n = n;
}
/*
This method is the main method for the Rastrigin benchmark function. It takes as input a Point object (explained above) and performs the calculations for the benchmark
.
*/
public double f(Point x) {
double sum = 0;
//o = numpy.sum(x ** 2 - 10 * numpy.cos(2 * math.pi * x)) + 10 * dim
for (int i = 0; i < x.dim; i++) {
sum += Math.pow(x.p[i], 2) - A*Math.cos(2*Math.PI*x.p[i]);
}
return A*n + sum;
}
}
/*
This class is the main optimizer class. Our objective function is the minimization of the benchmark function (Rastrigin in this case)
Listing 2-2The Rastrigin Class
public class Point {
public double p[];
public int ip[];
public int dim;
public Point(double p[]) {
this.dim = p.length;
this.p = p.clone();
}
public Point(int p[]) {
this.dim = p.length;
this.ip = p.clone();
}
public Point(int dim) {
this.dim = dim;
p = new double[dim];
}
/*
this method returns the square root of the sum of the square of the members in the array of doubles
*/
public double norm(){
double sum = 0;
for (int i = 0; i < dim ; i ++) {
sum += Math.pow(this.p[i], 2);
}
return Math.sqrt(sum);
}
/*
This method
returns the square root of the distance between 2 points. Its calculated by taking sum of the square of the distance between each element of the double array and then doing a square root of it.
*/
public double dist(Point b){
double sum = 0;
for (int i = 0; i < dim ; i ++) {
sum += Math.pow(this.p[i]-b.p[i], 2);
}
return Math.sqrt(sum);
}
/*
This method adds the two Points by taking sum of the individual elements of the double array of each Point
*/
public static Point add(Point a, Point b) throws Exception {
if (a.dim != b.dim){
throw new IllegalArgumentException("Adding points from different dimensions");
}
int dim = a.dim;
double cp[] = new double[dim];
for (int i = 0; i < dim; i++){
cp[i] = a.p[i] + b.p[i];
}
return new Point(cp);
}
/*
This method
adds the two Points by taking sum of the individual elements of the double array of each Point and then takes an average of each added elements and finally returns a Point with the averages points in the new array
*/
public static Point mid(Point a, Point b) throws Exception{
if (a.dim != b.dim){
throw new IllegalArgumentException("Incompatible points");
}
int dim = a.dim;
double cor[] = new double[dim];
for (int i = 0; i < dim; i++){
cor[i] = (a.p[i] + b.p[i]) / 2.0;
}
return new Point (cor);
}
/*
This method multiplies each element of the array of double with the constant a. a is the coefficient we use in the optimization algorithm.
*/
public Point mull(double a) {
double p[] = new double[this.dim];
Point m = new Point(p);
for (int i = 0; i < this.dim; i++){
m.p[i] = this.p[i]*a;
}
return m;
}
/*
This method returns a string representation of the double array
*/
@Override
public String toString() {
if (p != null) {
String s = "[";
for (int i = 0; i < this.dim; i++){
s += (float)p[i];
if (i == this.dim - 1) {
s += "]";
} else {
s += ",";
}
}
return s;
} else {
String s = "[";
for (int i = 0; i < this.dim; i++){
s += (int)ip[i];
if (i == this.dim - 1) {
s += "]";
} else {
s += ",";
}
}
return s;
}
}
}
Listing 2-1The Point Class
执行鲸鱼代码
要编译 Java 文件,请使用以下命令。
javac Point.java
javac Rastrigin.java
javac WhaleOptimizer.java
//running the example with 50 iterations and population size of 10 and 30 dimensions
java WhaleOptimizer 50 10 30
以下是运行上述代码的输出。
iter=0 best fitness is =64618.62705831786
iter=1 best fitness is =6089.687035911165
iter=2 best fitness is =1191.832252196124
iter=3 best fitness is =1191.832252196124
iter=4 best fitness is =557.1033568751382
iter=5 best fitness is =294.5584859459394
iter=6 best fitness is =227.37519747187895
iter=7 best fitness is =227.37519747187895
iter=8 best fitness is =169.87626519543952
iter=9 best fitness is =164.24808671529178
iter=10 best fitness is =164.24808671529178
iter=11 best fitness is =164.24808671529178
iter=12 best fitness is =38.5966387729996
iter=13 best fitness is =38.5966387729996
iter=14 best fitness is =38.5966387729996
iter=15 best fitness is =38.5966387729996
iter=16 best fitness is =38.5966387729996
iter=17 best fitness is =36.691018990274586
iter=18 best fitness is =31.104006893451526
iter=19 best fitness is =31.104006893451526
iter=20 best fitness is =31.104006893451526
iter=21 best fitness is =31.104006893451526
iter=22 best fitness is =31.104006893451526
iter=23 best fitness is =31.104006893451526
iter=24 best fitness is =31.104006893451526
iter=25 best fitness is =31.104006893451526
iter=26 best fitness is =31.104006893451526
iter=27 best fitness is =30.71055488621937
iter=28 best fitness is =30.030588201965543
iter=29 best fitness is =30.030588201965543
iter=30 best fitness is =30.030588201965543
iter=31 best fitness is =30.030588201965543
iter=32 best fitness is =30.01029093772968
iter=33 best fitness is =29.990401804857754
iter=34 best fitness is =29.990401804857754
iter=35 best fitness is =29.950989401883703
iter=36 best fitness is =29.950989401883703
iter=37 best fitness is =29.88823708275629
iter=38 best fitness is =29.883783242305753
iter=39 best fitness is =22.450413721771895
iter=40 best fitness is =5.573548743084075
iter=41 best fitness is =1.2819795525663835
iter=42 best fitness is =1.2819795525663835
iter=43 best fitness is =1.2819795525663835
iter=44 best fitness is =1.2819795525663835
iter=45 best fitness is =1.2819795525663835
iter=46 best fitness is =1.2819795525663835
iter=47 best fitness is =1.2819795525663835
iter=48 best fitness is =1.2819795525663835
iter=49 best fitness is =0.9079497282054376
历史:灰狼
一个人可以和一只狼套近乎,甚至驯服一只狼,但没有人能真正驯服一只狼。
—乔治·马丁
这种元启发式算法是由 Seyedali Mirajaliali、Seyed Muhammad 和 Andrew Lewis 在 2014 年的一篇论文中提出的。它的灵感来自灰狼狩猎技术中的社会等级制度。
灰狼的社会等级根据适应度被定义为四个等级。
-
一级(阿尔法)
-
群体的领导者(可以是男性或女性)
-
负责决定何时何地狩猎
-
低级狼跟随阿尔法狼,并通过压低尾巴来表示认可
-
-
2 级(测试版)
-
这些狼帮助阿尔法做决策
-
建议阿尔法狼并负责维持纪律
-
在需要的时候从他们中间选出阿尔法(由于前阿尔法生病或死亡)
-
充当阿尔法狼和其他低等狼之间的中间人,监督阿尔法狼的命令得到执行,并向阿尔法狼提供反馈
-
-
三级(增量)
-
他们被称为下属
-
向阿尔法和贝塔报告,向欧米茄报告
-
三角洲进一步分为
-
负责监视边界的侦察员
-
负责保护狼群的哨兵
-
曾经是阿尔法和贝塔的长者
-
帮助阿尔法和贝塔打猎的猎人
-
帮助狼群中伤病者的看护者
-
-
-
四级(欧米茄)
-
等级制度中的最低层
-
大多是族群的替罪羊
-
必须最后一个吃
-
这种层次结构如图 2-2 所示。
图 2-2
灰狼的社会等级制度
狼越健康,它的级别就越高。这意味着阿尔法狼最适合,其次是贝塔狼,然后是德尔塔狼,最后是欧米加狼。
灰狼优化如何工作
寻找最优解的搜索过程基于灰狼狩猎行为模型,该模型有三个阶段。
-
寻找猎物。
-
包围猎物。
-
攻击猎物。
前两个阶段是探索性的,最后一个阶段是开拓性的。
搜索(探索)
探险是根据狼α、 β 和 δ 的指引寻找猎物。 C α参数,如果其值为> 1,则表示正在进行探测。 C p 参数引入了狼与猎物之间距离的随机性。这种随机性对于避免解决方案陷入局部最优非常重要。
环绕(探索)
在捕猎过程中,灰狼包围猎物,数学上用方程 2-6 表示。
方程式 2-6。狼和猎物之间的距离更新
在方程 2-6 中, t 代表当前迭代, A 和 C 为系数向量。 X p 是猎物的位置向量, X 是狼的位置向量。在等式 2-7 中计算出 A 和 C 矢量,并在迭代过程中线性减小。r1 和r2 为随机变量。
方程式 2-7。更新系数
攻击(剥削)
阿尔法狼带头发起攻击。贝塔狼和德尔塔狼可能会不时参与进来。最佳解决方案是根据阿尔法狼、贝塔狼和德尔塔狼的位置得出的。
攻击行为如图 2-3 所示。它还描述了该过程的开发阶段。当 C α参数减小时,暗示着狼正在向猎物靠近。相反,如果 C α增加,那么狼正在远离猎物。当这个参数变得小于 1 时,狼正在攻击猎物。
图 2-3
灰狼的狩猎行为
狼 ω 根据狼α、 β 和 δ 的位置不断更新其位置。等式 2-8 反映了其位置的更新。
方程式 2-8。根据狼α、β和δ的位置更新ω狼的位置
灰狼流程图
图 2-4 展示了灰狼优化算法的流程图。在高层次上,该流程图从初始化迭代次数和群体大小等参数开始。在每次迭代中,狼群的位置根据猎物的位置进行更新,并计算每只狼的适应度函数。在所有迭代之后,选择最佳适应值作为最佳解。
图 2-4
灰狼优化流程图
灰狼伪代码
以下伪代码描述了灰狼优化算法,如图 2-4 所示。
Begin
Initialize the parameters popsize, maxiter, ub and lb where
popsize: size of population,
maxiter: maximum number of iterations,
ub: upper bound(s) of the variables,
lb: lower bound(s) of the variables;
Generate the initial positions of gray wolves with ub and lb;
Initialize and Calculate the fitness of each gray wolf;
alpha = the gray wolf with the first maximum fitness;
beta = the gray wolf with the second maximum fitness;
delta = the gray wolf with the third maximum fitness;
While
for : popsize
Update the position of the current gray wolf ;
end for
Update and
Calculate the fitness of all gray wolves;
Update alpha, beta, and delta;
;;
end while
Return alpha;
End
灰狼先决条件和代码
同样,确保您的计算机上安装了 Java 8 (JDK8 或更高版本)。像 Eclipse 这样的 IDE 是推荐的,但不是必需的,因为您可以使用命令行界面来运行代码,而不需要 IDE。
whale 算法的代码包含以下 Java 类。
-
点工具类,有三个成员(见清单 2-4 )
-
双数组
-
整数数组
-
整数
-
-
优化评估函数的 Rastrigin 实用程序类(见清单 2-5 和方程 2-9
-
GrayWolfOptimizer 优化类,算法功能的主要 Java 类(参见清单 2-6 )
方程式 2-9。 Rastrigin 基准函数
/*
Main optimizer class for Gray Wolf optimization. Objective function is minimizing the Rastrigin benchmark function
*/
import java.lang.Math;
import java.util.*;
public class GrayWolfOptimizer
{
// declare variables for population size, iterations and dimensions
int popSize;
int iterations;
int dimensions;
//declare upper and lower bounds for the search space
double ub=5.12,lb=-5.12;
//declare array for holding the fitness values
double fitness[];
// array which holds dimensions of the best solution
double[] bestSolution;
// declare coefficients like alpha, beta and gamma
double alpha = 0.5 ; // Randomness 0--1 (highly random)
double betamin = 0.20 ; // minimum value of beta
// minimum value of the solution
double minValueOfSolution;
//declare two dimensional array for holding position of each solution
double[][] positions;
double[][] positions1;
int[] sortedIndex;
double[] alphaPosition;
double[] betaPosition;
double[] deltaPosition;
//start with a high value (randomly chosen as 100000000)
double alphaScore=10000000;
double betaScore=10000000;
double deltaScore=10000000;
public GrayWolfOptimizer(int iterations,int popSize, int dimensions)
{
//initialize the iterations , population size and dimensions
this.iterations=iterations;
this.popSize=popSize;
this.dimensions=dimensions;
positions=new double[popSize][dimensions];
positions1=new double[popSize][dimensions];
fitness=new double[popSize];
alphaPosition=new double[dimensions];
betaPosition=new double[dimensions];
deltaPosition=new double[dimensions];
//loop through the population size and initialize the dimensions for each solution
// in the population
for(int i=0;i<popSize;i++)
{
for (int j=0;j<dimensions;j++)
{
// cap the positions between lower and upper bounds
positions[i][j]=Math.random()*(ub-lb)+lb;
}
}
}
//rastrigin function used
private double fitnessCalculator(double[] candidate)
{
Point p= new Point(candidate);
Rastrigin rast=new Rastrigin(10,dimensions);
//Ackley ack=new Ackley(10,10,10,10);
return rast.f(p);
}
/*
Method for updating the position of the wolves. This takes in a coefficient as the parameter value
*/
private void updateWolvesPosition(double a)
{
// Update the Position of search agents including omegas
for (int i=0;i<popSize;i++)
{
for (int j=0;j<dimensions;j++){
double r1 = Math.random() ;// r1 is a random number in [0,1]
double r2 = Math.random() ;// r2 is a random number in [0,1]
// calculate A1 and C1 based on Equation 2-6.
double A1 = 2 * a * r1 - a;
double C1 = 2 * r2;
// update the position of alpha wolves
double D_alpha = Math.abs(C1 * alphaPosition[j] - positions[i][j]);
double X1 = alphaPosition[j] - A1 * D_alpha;
r1 = Math.random() ;// r1 is a random number in [0,1]
r2 = Math.random() ;// r2 is a random number in [0,1]
double A2 = 2 * a * r1 - a;
double C2 = 2 * r2;
// update the position of beta wolves
double D_beta = Math.abs(C2 * betaPosition[j] - positions[i][j]);
double X2 = betaPosition[j] - A2 * D_beta;
r1 = Math.random();
r2 = Math.random();
double A3 = 2 * a * r1 - a;
double C3 = 2 * r2;
// update the position of delta wolves
double D_delta = Math.abs(C3 * deltaPosition[j] - positions[i][j]);
double X3 = deltaPosition[j] - A3 * D_delta;
positions[i][j] = (X1 + X2 + X3) / 3 ;// Equation (2.8)
}
}
}
/*
This code is main method for the Gray Wolf optimization algorithm
*/
private void optimize()
{
//main loop for number of iterations
for(int it=0;it<iterations;it++){
//loop over individual
// loop through individual solution (wolves) in each iteration
for(int i=0;i<popSize;i++)
{
// calculate fitness of each solution
fitness[i]=fitnessCalculator(positions[i]);
// Update Alpha, Beta, and Delta scores and positions of alpha, beta and delta wolves
if (fitness[i] < alphaScore)
{
deltaScore=betaScore;
deltaPosition=betaPosition.clone();
betaScore=alphaScore;
betaPosition=alphaPosition.clone();
alphaScore=fitness[i];
alphaPosition=positions[i].clone();
}
// Update Alpha, Beta, and Delta scores and positions of alpha, beta and delta wolves
if (fitness[i] > alphaScore && fitness[i] < betaScore)
{
deltaScore=betaScore;
deltaPosition=betaPosition.clone();
betaScore=fitness[i];
betaPosition=positions[i].clone();
}
// Update Alpha, Beta, and Delta scores and positions of alpha, beta and delta wolves
if (fitness[i] > alphaScore && fitness[i] > betaScore && fitness[i] < deltaScore)
{
deltaScore = fitness[i] ;
deltaPosition=positions[i].clone();
}
double a = 2 - it * ((2) / iterations);
// in each iteration update positions of wolves based on updates to a
updateWolvesPosition(a);
}
System.out.println("best score after iteration "+it+" ="+alphaScore);
}
}
/*
Main method for executing the code. It takes as input the number of iterations, population Size and number of dimensions as command line parameters
*/
public static void main(String[] args)
{
int iter=Integer.parseInt(args[0]);
int pop=Integer.parseInt(args[1]);
int dim=Integer.parseInt(args[2]);
GrayWolfOptimizer gwo =new GrayWolfOptimizer(iter,pop,dim);
gwo.optimize();
}
}
Listing 2-6The GrayWolfOptimizer Class
/*
This class is used as the benchmark function and will be used throughout all algorithms.
*/
public class Rastrigin {
private double A;
private double n;
public Rastrigin(double A, double n) {
this.A = A;
this.n = n;
}
/*
This method is the main method for the Rastrigin benchmark function. It takes as input a Point object (explained above) and performs the calculations for the benchmark.
*/
public double f(Point x) {
double sum = 0;
//o = numpy.sum(x ** 2 - 10 * numpy.cos(2 * math.pi * x)) + 10 * dim
for (int i = 0; i < x.dim; i++) {
sum += Math.pow(x.p[i], 2) - A*Math.cos(2*Math.PI*x.p[i]);
}
return A*n + sum;
}
}
Listing 2-5The Rastrigin Class
public class Point {
public double p[];
public int ip[];
public int dim;
public Point(double p[]) {
this.dim = p.length;
this.p = p.clone();
}
public Point(int p[]) {
this.dim = p.length;
this.ip = p.clone();
}
public Point(int dim) {
this.dim = dim;
p = new double[dim];
}
/*
this method returns the square root of the sum of the square of the members in the array of doubles
*/
public double norm(){
double sum = 0;
for (int i = 0; i < dim ; i ++) {
sum += Math.pow(this.p[i], 2);
}
return Math.sqrt(sum);
}
/*
This method returns the square root of the distance between 2 points. Its calculated by taking sum of the square of the distance between each element of the double array and then doing a square root of it.
*/
public double dist(Point b){
double sum = 0;
for (int i = 0; i < dim ; i ++) {
sum += Math.pow(this.p[i]-b.p[i], 2);
}
return Math.sqrt(sum);
}
/*
This method adds the two Points by taking sum of the individual elements of the double array of each Point
*/
public static Point add(Point a, Point b) throws Exception {
if (a.dim != b.dim){
throw new IllegalArgumentException("Adding points from different dimensions");
}
int dim = a.dim;
double cp[] = new double[dim];
for (int i = 0; i < dim; i++){
cp[i] = a.p[i] + b.p[i];
}
return new Point(cp);
}
/*
This method adds the two Points by taking sum of the individual elements of the double array of each Point and then takes an average of each added elements and finally returns a Point with the averages points in the new array
*/
public static Point mid(Point a, Point b) throws Exception{
if (a.dim != b.dim){
throw new IllegalArgumentException("Incompatible points");
}
int dim = a.dim;
double cor[] = new double[dim];
for (int i = 0; i < dim; i++){
cor[i] = (a.p[i] + b.p[i]) / 2.0;
}
return new Point (cor);
}
/*
This method multiplies each element of the array of double with the constant a. a is the coefficient we use in the optimization algorithm.
*/
public Point mull(double a) {
double p[] = new double[this.dim];
Point m = new Point(p);
for (int i = 0; i < this.dim; i++){
m.p[i] = this.p[i]*a;
}
return m;
}
/*
This method returns a string representation of the double array
*/
@Override
public String toString() {
if (p != null) {
String s = "[";
for (int i = 0; i < this.dim; i++){
s += (float)p[i];
if (i == this.dim - 1) {
s += "]";
} else {
s += ",";
}
}
return s;
} else {
String s = "[";
for (int i = 0; i < this.dim; i++){
s += (int)ip[i];
if (i == this.dim - 1) {
s += "]";
} else {
s += ",";
}
}
return s;
}
}
}
Listing 2-4The Point Class
执行 Wolf 代码
下面的代码编译这些文件。
javac Point.java
javac Rastrigin.java
javac GrayWolfOptimizer.java
//running the example with 50 iterations and population size of 10 and 30 dimensions
java GrayWolfOptimizer 50 10 30
以下是运行上述代码的输出。
best score after iteration 0 =509.96673667327343
best score after iteration 1 =426.41598649085057
best score after iteration 2 =338.22309610465413
best score after iteration 3 =308.52361359264995
best score after iteration 4 =277.9213584359936
best score after iteration 5 =248.83646851559863
best score after iteration 6 =203.07265223211158
best score after iteration 7 =203.07265223211158
best score after iteration 8 =203.07265223211158
best score after iteration 9 =203.07265223211158
best score after iteration 10 =203.07265223211158
best score after iteration 11 =203.07265223211158
best score after iteration 12 =203.07265223211158
best score after iteration 13 =184.70404858170573
best score after iteration 14 =184.70404858170573
best score after iteration 15 =184.70404858170573
best score after iteration 16 =184.70404858170573
best score after iteration 17 =184.70404858170573
best score after iteration 18 =184.70404858170573
best score after iteration 19 =182.58434165600903
best score after iteration 20 =182.58434165600903
best score after iteration 21 =181.7495365991856
best score after iteration 22 =181.7495365991856
best score after iteration 23 =181.663022402521
best score after iteration 24 =181.663022402521
best score after iteration 25 =157.10334848914758
best score after iteration 26 =156.35153795887368
best score after iteration 27 =139.32771778897705
best score after iteration 28 =139.32771778897705
best score after iteration 29 =139.32771778897705
best score after iteration 30 =137.75584129668897
best score after iteration 31 =137.75584129668897
best score after iteration 32 =137.75584129668897
best score after iteration 33 =128.32651340584417
best score after iteration 34 =126.37388487653246
best score after iteration 35 =126.37388487653246
best score after iteration 36 =126.37388487653246
best score after iteration 37 =126.37388487653246
best score after iteration 38 =124.71241252923625
best score after iteration 39 =124.71241252923625
best score after iteration 40 =124.71241252923625
best score after iteration 41 =124.71241252923625
best score after iteration 42 =124.71241252923625
best score after iteration 43 =124.71241252923625
best score after iteration 44 =124.71241252923625
best score after iteration 45 =124.71241252923625
best score after iteration 46 =124.71241252923625
best score after iteration 47 =124.71241252923625
best score after iteration 48 =124.71241252923625
best score after iteration 49 =124.71241252923625
历史:蝙蝠
大黄蜂蝙蝠,你晚上怎么看?
我发出吱吱的声音,无论碰到什么都会反弹回来。我通过听觉看到。
——达林伦德
蝙蝠算法与其他元启发式算法是一致的,近似 NP 难问题。杨新社在 2010 年开发了这个算法。
这种算法是基于微老鼠的回声定位能力,其中发射率和响度是变化的。
微型蝙蝠是一种体重约 2 克的小蝙蝠。回声定位是蝙蝠以一定角度发出的声音脉冲。蝙蝠听到声波从周围物体反射回来的回声。这有助于蝙蝠找到猎物并避开障碍物。声波的频率范围从 25 千赫到 150 千赫。
图 2-5 展示了蝙蝠发射声纳波时回声定位的工作原理。距离障碍物的距离是通过结合声波反射回来的时间和发射波的频率来计算的。
图 2-5
蝙蝠的回声定位
蝙蝠利用图 2-6 所示的尺寸来搜寻猎物。
图 2-6
蝙蝠的各种尺寸
蝙蝠会根据与猎物的距离自动调整发射脉冲的频率或波长。假设响度从很高的值( A 0)变化到固定的最小值。等式 2-10 计算蝙蝠变化的位置和速度。
方程式 2-10。根据物体的位置改变位置和速度
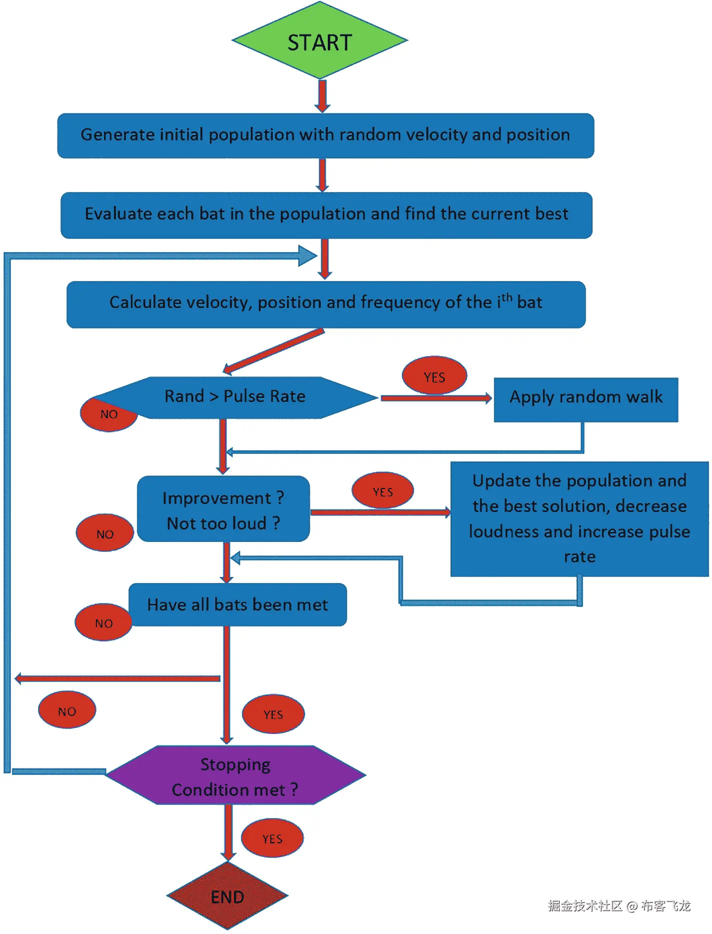
Bat 流程图
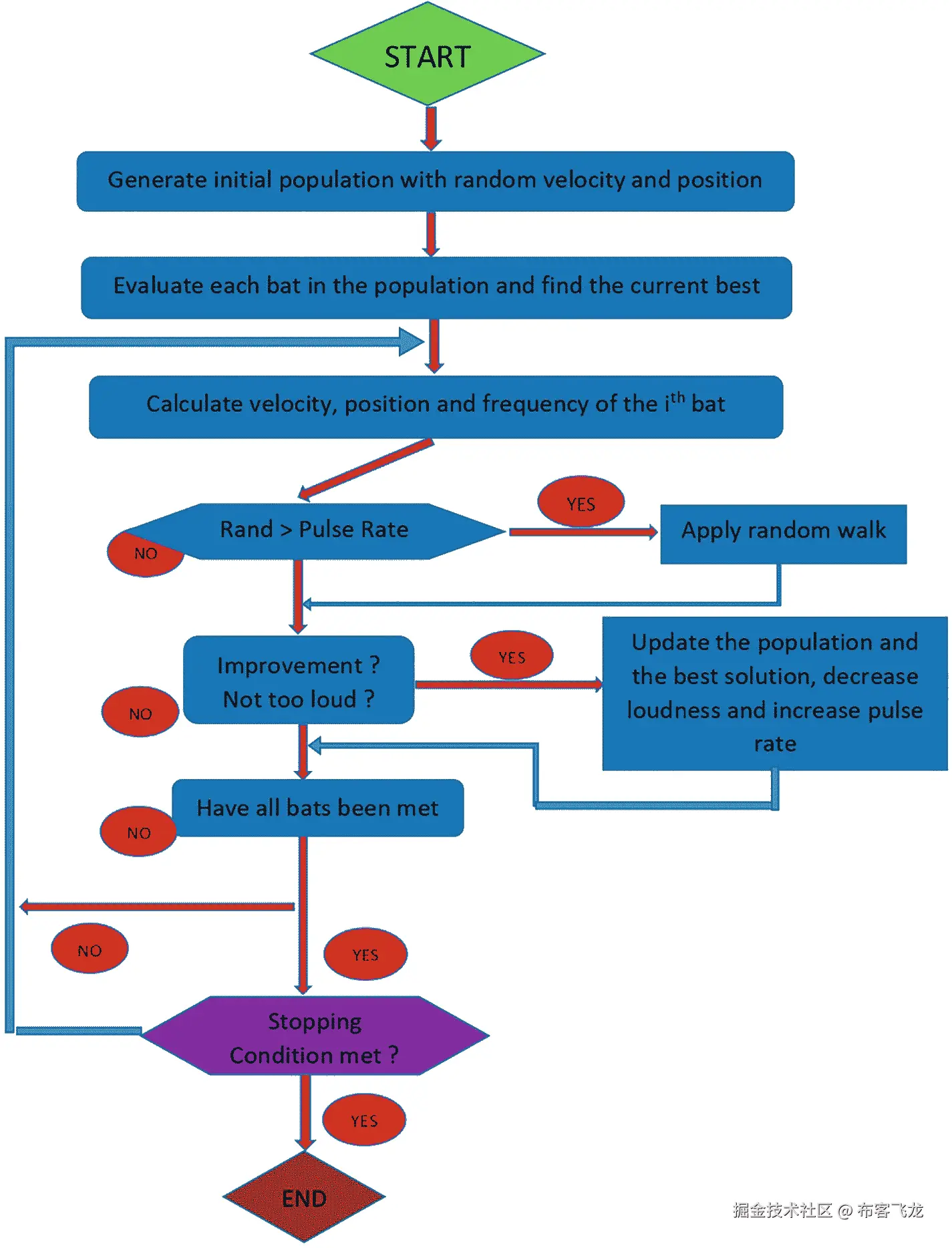
图 2-7 是蝙蝠优化算法的流程图。在高层次上,该流程图从初始化参数(例如,迭代次数和蝙蝠种群大小)开始。在每次迭代中,蝙蝠的位置和速度被更新,并且每个蝙蝠的适应度函数被计算。在所有迭代之后,选择最佳适应值作为最佳解。
图 2-7
Bat 优化流程图
Bats 伪代码
以下伪代码描述了 bat 优化算法,如图 2-7 所示。
Objective function f(x), x = (x1, ..., xd)
Initialize the bat population Xi (i = 1, 2, . . ., n)
Define the pulse rate ri and the loudness Ai
Input: Initial bat population
while ( t < Max number of iterations ) do
Generate new solutions by adjusting frequency, and updating velocities and locations/solutions (Equations in 2-10 )
if ( rand > ri ) then
Select a solution among the best solutions
Generate a local solution around the selected best solution
end if
Generate a new solution by flying randomly
if ( rand < Ai & f(Xi) < f(X∗) ) then
Accept the new solutions
Increase emission rate and reduce loudness
end if
Rank the bats and find the current best Xbest
end while
Output: Best bat found (i.e. best solution)
Bat 先决条件和 Bat 代码
同样,确保您的计算机上安装了 Java 8 (JDK8 或更高版本)。像 Eclipse 这样的 IDE 是推荐的,但不是必需的,因为您可以使用命令行界面来运行代码,而不需要 IDE。
bat 算法的代码包含以下类。
-
点工具类,有三个成员(见清单 2-7 )
-
双数组
-
整数数组
-
整数
-
-
优化评估函数的 Rastrigin 实用程序类(见清单 2-8 和方程 2-11
-
BatOptimizer 优化类,算法功能的主要 Java 类(参见清单 2-9 )
方程式 2-11。 Rastrigin 基准函数
/*
Main class for the Bat optimizer. Goal is to minimize the objective function represented by the Rastrigin benchmark
*/
import java.lang.Math;
import java.util.*;
public class BatOptimizer
{
// Declare number of iterations, population size and dimensions of each bat
int popSize;
int iterations;
int dimensions;
int ub=100,lb=-100;
// declare different coefficients and constants for the algo
double a=0.5;
double r=0.5;
double freq_min=0;
double freq_max=2;
// double array to hold the frequencies
double[] frequencies;
//two dimensional array of doubles for bat velocities
double[][] velocities;
double[][] solutions;
// array holding fitness value for each solution
double fitness[];
double[] bestSolution;
double[][] s;
double minValueOfSolution;
/*
Constructor for initializing the population and populating initial fitness of each solution (bat)
*/
public BatOptimizer(int iterations,int popSize, int dimensions)
{
this.iterations=iterations;
this.popSize=popSize;
this.dimensions=dimensions;
frequencies=new double[popSize];
velocities=new double[popSize][dimensions];
solutions=new double[popSize][dimensions];
s=new double[popSize][dimensions];
fitness=new double[popSize];
//initialize solutions by looping over each member in the population
for(int i=0;i<popSize;i++)
{
for (int j=0;j<dimensions;j++)
{
solutions[i][j]=Math.random()*(ub-lb)+lb;
}
}
// calculate fitness of each solution
for(int i=0;i<popSize;i++)
{
fitness[i]=fitnessCalculator(solutions[i]);
}
// find the index of the best solution initially as well as the bestSolution
int bestIndex= indexOfSmallest(fitness);
bestSolution=solutions[bestIndex];
minValueOfSolution=smallestInArray(fitness);
}
//rastrigin function used
private double fitnessCalculator(double[] candidate)
{
Point p= new Point(candidate);
Rastrigin rast=new Rastrigin(10,dimensions);
return rast.f(p);
}
/*
Helper method for returning smallest value in array of doubles.
*/
private static double smallestInArray(double[] array){
// add this
if (array.length == 0)
return -1;
int index = 0;
double min = array[index];
for (int i = 1; i < array.length; i++){
if (array[i] <= min){
min = array[i];
//index = i;
}
}
return min;
}
/*
Helper method for returning index of the smallest member in the array
*/
private static int indexOfSmallest(double[] array){
// add this
if (array.length == 0)
return -1;
int index = 0;
double min = array[index];
for (int i = 1; i < array.length; i++){
if (array[i] <= min){
min = array[i];
index = i;
}
}
return index;
}
/*
Main method of the algorithm
*/
private void optimize()
{
//main loop for number of iterations
for(int i=0;i<iterations;i++){
//loop over individual bat
for(int j=0;j<popSize;j++)
{
// update frequency of each bat
frequencies[j]=freq_min+(freq_max-freq_min)*Math.random();
//velocities update for each bat
//v[i, :] = v[i, :] + (Sol[i, :] - best) * Q[i]
// calculate difference from the best solution
double[] diffFromBest=subtractElementwise(solutions[j],bestSolution,frequencies);
//update velocities for the bat
velocities[j]= addElementwise(velocities[j],diffFromBest);
s[j]= addElementwise(solutions[j],velocities[j]);
s[j]=simpleBounds(s[j],lb,ub);
if( Math.random() > r){
s[j] = addArrayToRnd(bestSolution , 0.001 * rnd(dimensions));
}
//update the solution if fitness is better for the candidate
// Evaluate new solutions
double fNew = fitnessCalculator(s[j]);
// Update if the solution improves
if ((fNew <= fitness[j]) && (Math.random() < a))
{
solutions[j]= s[j].clone();
//Sol[i, :] = numpy.copy(S[i, :])
fitness[j] = fNew;
}
// Update the current best solution
if (fNew <= minValueOfSolution)
{
bestSolution =s[j].clone();
minValueOfSolution = fNew;
}
}
System.out.println("iter="+i+" best fitness is ="+minValueOfSolution);
}
}
/*
Helper method for returning a new array of double by adding the passed argument to individual member of the array
*/
private static double[] addArrayToRnd(double[] a, double num) throws ArithmeticException {
double[] result = new double[a.length];
for (int i = 0; i < a.length; i++) {
result[i] = (a[i] + num);
}
return result;
}
/*
Helper method for returning a random value sampled from a gaussian
*/
private double rnd(int dim)
{
Random r = new Random(dim);
double randomValue = 0+ r.nextGaussian()*1;
return randomValue;
}
/*
Helper method for keeping values in between lower and upper bounds
*/
private double[] simpleBounds(double[] val, double lower, double upper){
double[] result = new double[val.length];
for (int i = 0; i < val.length; i++) {
if (val[i] < lower){
result[i] = lower;
}
else if (val[i] > upper){
result[i] = upper;
}
else
{
result[i]=val[i];
}
}
return result;
}
/*
Helper method for returning difference between the elements of two array of doubles multiplied by the frequency of the specific bat
*/
private static double[] subtractElementwise(double[] a, double[] b, double[] freq) throws ArithmeticException {
if (a.length != b.length) {
throw new ArithmeticException();
} else {
double[] result = new double[a.length];
for (int i = 0; i < a.length; i++) {
result[i] = (a[i] - b[i])*freq[i];
}
return result;
}
}
/*
Helper method for adding individual elements of the arrays of doubles
*/
private static double[] addElementwise(double[] a, double[] b) throws ArithmeticException {
if (a.length != b.length) {
throw new ArithmeticException();
} else {
double[] result = new double[a.length];
for (int i = 0; i < a.length; i++) {
result[i] = (a[i] + b[i]);
}
return result;
}
}
public static void main(String[] args)
{
int iter=Integer.parseInt(args[0]);
int pop=Integer.parseInt(args[1]);
int dim=Integer.parseInt(args[2]);
BatOptimizer bat=new BatOptimizer(iter,pop,dim);
bat.optimize();
}
}
Listing 2-9The BatOptimizer Class
/*
This class is used as the benchmark function and will be used throughout all algorithms.
*/
public class Rastrigin {
private double A;
private double n;
public Rastrigin(double A, double n) {
this.A = A;
this.n = n;
}
/*
This method is the main method for the Rastrigin benchmark function. It takes as input a Point object (explained above) and performs the calculations for the benchmark
.
*/
public double f(Point x) {
double sum = 0;
//o = numpy.sum(x ** 2 - 10 * numpy.cos(2 * math.pi * x)) + 10 * dim
for (int i = 0; i < x.dim; i++) {
sum += Math.pow(x.p[i], 2) - A*Math.cos(2*Math.PI*x.p[i]);
}
return A*n + sum;
}
}
Listing 2-8The Rastrigin Class
public class Point {
public double p[];
public int ip[];
public int dim;
public Point(double p[]) {
this.dim = p.length;
this.p = p.clone();
}
public Point(int p[]) {
this.dim = p.length;
this.ip = p.clone();
}
public Point(int dim) {
this.dim = dim;
p = new double[dim];
}
/*
this method returns the square root of the sum of the square of the members in the array of doubles
*/
public double norm(){
double sum = 0;
for (int i = 0; i < dim ; i ++) {
sum += Math.pow(this.p[i], 2);
}
return Math.sqrt(sum);
}
/*
This method returns the square root of the distance between 2 points. Its calculated by taking sum of the square of the distance between each element of the double array and then doing a square root of it.
*/
public double dist(Point b){
double sum = 0;
for (int i = 0; i < dim ; i ++) {
sum += Math.pow(this.p[i]-b.p[i], 2);
}
return Math.sqrt(sum);
}
/*
This method adds the two Points by taking sum of the individual elements of the double array of each Point
*/
public static Point add(Point a, Point b) throws Exception {
if (a.dim != b.dim){
throw new IllegalArgumentException("Adding points from different dimensions");
}
int dim = a.dim;
double cp[] = new double[dim];
for (int i = 0; i < dim; i++){
cp[i] = a.p[i] + b.p[i];
}
return new Point(cp);
}
/*
This method adds the two Points by taking sum of the individual elements of the double array of each Point and then takes an average of each added elements and finally returns a Point with the averages points in the new array
*/
public static Point mid(Point a, Point b) throws Exception{
if (a.dim != b.dim){
throw new IllegalArgumentException("Incompatible points");
}
int dim = a.dim;
double cor[] = new double[dim];
for (int i = 0; i < dim; i++){
cor[i] = (a.p[i] + b.p[i]) / 2.0;
}
return new Point (cor);
}
/*
This method multiplies each element of the array of double with the constant a. a is the coefficient we use in the optimization algorithm.
*/
public Point mull(double a) {
double p[] = new double[this.dim];
Point m = new Point(p);
for (int i = 0; i < this.dim; i++){
m.p[i] = this.p[i]*a;
}
return m;
}
/*
This method returns a string representation of the double array
*/
@Override
public String toString() {
if (p != null) {
String s = "[";
for (int i = 0; i < this.dim; i++){
s += (float)p[i];
if (i == this.dim - 1) {
s += "]";
} else {
s += ",";
}
}
return s;
} else {
String s = "[";
for (int i = 0; i < this.dim; i++){
s += (int)ip[i];
if (i == this.dim - 1) {
s += "]";
} else {
s += ",";
}
}
return s;
}
}
}
Listing 2-7The Point Class
执行 Bat 代码
下面的代码编译这些文件。
javac Point.java
javac Rastrigin.java
javac BatOptimizer.java
//running the example with 50 iterations and population size of 10 and 30 dimensions
java BatOptimizer 50 10 30
以下是运行上述代码的输出。
iter=0 best fitness is =76483.71345283325
iter=1 best fitness is =76478.96155973038
iter=2 best fitness is =42783.77839770218
iter=3 best fitness is =42781.20842991052
iter=4 best fitness is =42779.167603237656
iter=5 best fitness is =42776.63576280687
iter=6 best fitness is =42774.62583068019
iter=7 best fitness is =42772.62987212166
iter=8 best fitness is =42771.63717776008
iter=9 best fitness is =42769.66244601229
iter=10 best fitness is =42766.72724352279
iter=11 best fitness is =42764.3061741315
iter=12 best fitness is =42761.43117104229
iter=13 best fitness is =42758.589572619385
iter=14 best fitness is =42755.31708648613
iter=15 best fitness is =42753.00804487652
iter=16 best fitness is =42751.17802334106
iter=17 best fitness is =42748.01258167695
iter=18 best fitness is =42746.22509580061
iter=19 best fitness is =42743.57316308794
iter=20 best fitness is =42742.260442575454
iter=21 best fitness is =42741.82483808292
iter=22 best fitness is =42738.80326661441
iter=23 best fitness is =42736.25202522932
iter=24 best fitness is =42733.320918717385
iter=25 best fitness is =42731.25727358482
iter=26 best fitness is =42728.007604724946
iter=27 best fitness is =42726.406891353756
iter=28 best fitness is =42723.64438883426
iter=29 best fitness is =42721.315796905874
iter=30 best fitness is =42718.64490574986
iter=31 best fitness is =42716.767293101264
iter=32 best fitness is =42714.54728307373
iter=33 best fitness is =42713.45080389827
iter=34 best fitness is =42711.64333019462
iter=35 best fitness is =42709.50725503373
iter=36 best fitness is =42708.10307075944
iter=37 best fitness is =42707.40691961385
iter=38 best fitness is =42705.34214633038
iter=39 best fitness is =42704.66175678234
iter=40 best fitness is =42703.64852114836
iter=41 best fitness is =42702.31121228729
iter=42 best fitness is =42700.33439530883
iter=43 best fitness is =42698.713593464
iter=44 best fitness is =42697.752620941945
iter=45 best fitness is =42695.54366609986
iter=46 best fitness is =42693.68707677068
iter=47 best fitness is =42691.56348775477
iter=48 best fitness is =42690.37030417116
iter=49 best fitness is =42688.31731561078
摘要
本章介绍了针对哺乳动物的优化问题解决方案,特别是鲸鱼、灰狼和蝙蝠。它涵盖了优化问题和解决方案的基本流程,并提供了相关的流程图、伪代码和用 Java 编写的代码。Rastrigin 基准函数用作所有算法的目标函数。*