Disruptor在撮合引擎的实践|得物技术

3,141 阅读14分钟

一、Disruptor的简介

Disruptor是基于事件异步驱动模型实现的,采用了RingBuffer数据结构,支持高并发、低延时、高吞吐量的高性能工作队列,它是由英国外汇交易公司LMAX开发的,研发的初衷是解决内存队列的延迟问题,不同于我们常用的分布式消息中间件RocketMQ、Kafaka,而Disruptor是单机的、本地内存队列,类似JDK的ArrayBlockingQueue等队列。

Disruptor的使用场景

  • 加密货币交易撮合引擎
  • Log4j2基于Disruptor实现的异步日志处理
  • Canal+Disruptor实现高效的数据同步
  • 知名开源框架Apache Strom

2010年在QCon的演讲,介绍了基于Disruptor开发的系统单线程能支撑每秒600万订单,由此可见该组件可以大幅提升系统的TPS,所以对于一些需要大幅提升单机应用的吞吐量的场景可以考虑使用Disruptor。

Disruptor和ArrayBlockingQueue性能对比

  • ArrayBlockingQueue是基于数组ArrayList实现的,通过ReentrantLock独占锁保证线程安全;
  • Disruptor是基于环形数组队列RingBuffer实现的,通过CAS乐观锁保证线程安全。在多种生产者-消费者模式下的性能对比。

Figure 1. Unicast: 1P–1C

02.jpg

Figure 2. Three Step Pipeline: 1P–3C

03.jpg

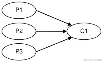
Figure 3. Sequencer: 3P–1C

04.jpg

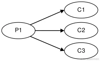
Figure 4. Multicast: 1P–3C

05.jpg

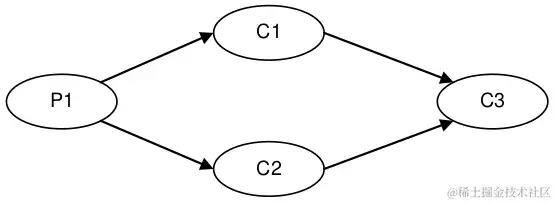
Figure 5. Diamond: 1P–3C

06.jpg

Disruptor快速接入指南

引入Maven依赖

<dependency>

    <groupld>com.lmax</groupld>

    <artifactld>disruptor</artifactld>

    <version>4.0.0</version>

</dependency>

自定义事件和事件工厂

    public class LongEvent {
        private long value;

        public void set(long value) {
            this.value = value;
        }

        @Override
        public String toString() {
            return "LongEvent{" + "value=" + value + '}';
        }
    }

    public class LongEventFactory implements EventFactory<LongEvent> {
        @Override
        public LongEvent newInstance() {
            return new LongEvent();
        }
    }

定义事件处理器,即消费者

    public class LongEventHandler implements EventHandler<LongEvent> {
        @Override
        public void onEvent(LongEvent event, long sequence, boolean endOfBatch) {
            System.out.println("Event: " + event);
        }
    }

定义事件生产者

    import com.lmax.disruptor.RingBuffer;
    import com.lmax.disruptor.examples.longevent.LongEvent;

    import java.nio.ByteBuffer;

    public class LongEventProducer {
        private final RingBuffer<LongEvent> ringBuffer;

        public LongEventProducer(RingBuffer<LongEvent> ringBuffer) {
            this.ringBuffer = ringBuffer;
        }

        public void onData(ByteBuffer bb) {
            long sequence = ringBuffer.next(); 
            try {
                LongEvent event = ringBuffer.get(sequence); 
                event.set(bb.getLong(0));  
            }
            finally {
                ringBuffer.publish(sequence);
            }
        }
    }

编写启动类

    public class LongEventMain {
        public static void main(String[] args) throws InterruptedException {
            // 消费者线程池
            Executor executor = Executors.newCachedThreadPool();
            // 事件工厂
            LongEventFactory eventFactory = new LongEventFactory();
            // 指定RingBuffer大小
            int bufferSize = 1024;
            // 构造事件分发器
            Disruptor<LongEvent> disruptor = new Disruptor<>(eventFactory
                    , bufferSize
                    , executor
                    , ProducerType.SINGLE // 1.ProducerType.SINGLE 单生产者模式 2.ProducerType.MULTI 多生产者模式
                    , new YieldingWaitStrategy());//消费者等待策略
            // 注册消费者
            disruptor.handleEventsWith(new LongEventHandler());
            // 启动事件分发
            disruptor.start();
            // 获取RingBuffer 用于生产事件
            RingBuffer<LongEvent> ringBuffer = disruptor.getRingBuffer();
            LongEventProducer producer = new LongEventProducer(ringBuffer);
            ByteBuffer bb = ByteBuffer.allocate(8);
            for (long i=0;true; i++) {
                bb.putLong(0, i);
                // 发送事件
                producer.onData(bb);
                Thread.sleep(1000);
            }
        }
    }

Disruptor消费者等待策略

等待策略WaitStrategy是一种决定一个消费者如何等待生产者将event对象放入Disruptor的方式/策略。

下面是常见的4种消费者等待策略:

07.jpg

Disruptor灵活的消费者模式

支持单生产者和多生产者

构造Disruptor时指定生产者类型即可:ProducerType.SINGLE 和 ProducerType.MULTI 单消费者

单消费者

    //注册单个消费者
    disruptor.handleEventsWith(new LongEventHandler());

多消费者:并行的、广播模式

同一个事件会同时被所有消费者处理,同组内消费者之间不存在竞争关系。

    //注册多个消费者
    disruptor.handleEventsWith(new LongEventHandler()
    , new LongEventHandler1()
    , new LongEventHandler2());

多消费者:并行的、消费者组模式

同组内消费者之间互斥,一个事件只会被同组内单个消费者处理,但可以支持多个消费者组,消费者组之间完全隔离,互不影响,代码实现方式有两点不同之处:

  • 消费者需要实现WorkHandler接口,而不是 EventHandler 接口;
  • 使用handleEventsWithWorkerPool设置Disruptor的消费者,而不是handleEventsWith方法
    public class LongWorkHandler  implements WorkHandler<LongEvent> {
        @Override
        public void onEvent(LongEvent longEvent) throws Exception {
            System.out.println("Event: " + logEvent);
        }
    }
    public class OtherWorkHandler  implements WorkHandler<LongEvent> {
        @Override
        public void onEvent(LongEvent longEvent) throws Exception {
            System.out.println("Event: " + logEvent);
        }
    }

    //注册消费者组
    disruptor.handleEventsWithWorkerPool(new LongWorkHandler()
            , new LongWorkHandler()
            , new LongWorkHandler());
  • 多个消费者组之间并行模式

08.jpg

    //注册消费者组1
    disruptor.handleEventsWithWorkerPool(new LongWorkHandler()
            , new LongWorkHandler()
            , new LongWorkHandler());
    //注册消费者组2
    disruptor.handleEventsWithWorkerPool(new OtherWorkHandler()
            , new OtherWorkHandler()
            , new OtherWorkHandler());
  • 多个消费者组之间航道执行模式

09.jpg

    //注册消费者
    disruptor.handleEventsWithWorkerPool(new LongWorkHandler(), new LongWorkHandler(), new LongWorkHandler())
            .thenHandleEventsWithWorkerPool(new OtherWorkHandler(), new OtherWorkHandler(), new OtherWorkHandler());

多消费者:链式、菱形、六边形执行模式

通过多种组合方式,可实现灵活的消费者执行顺序,如下:

10.jpg

    //链式
    disruptor.handleEventsWith(new LongEventHandler11()).then(new LongEventHandler12());
    disruptor.handleEventsWith(new LongEventHandler21()).then(new LongEventHandler22());

    //菱形
    disruptor.handleEventsWith(new LongEventHandler1(), new LongEventHandler2())
        .then(new LongEventHandler3());
        
    //六边形
    LongEventHandler handler11 = new LongEventHandler();
    LongEventHandler handler12 = new LongEventHandler();
    LongEventHandler handler21 = new LongEventHandler();
    LongEventHandler handler22 = new LongEventHandler();
    LongEventHandler handler3 = new LongEventHandler();
    disruptor.handleEventsWith(handler11, handler21);
    disruptor.after(handler11).handleEventsWith(handler12);
    disruptor.after(handler21).handleEventsWith(handler22);
    disruptor.after(handler12, handler22).handleEventsWith(handler3);

二、Disruptor的核心概念

Disruptor内部组件交互图

11.jpg

核心概念

有些概念前面已经介绍过,在此不再赘述,说一说还未介绍的几个概念:

Sequence

Sequence本身就是一个序号管理器,它是严格顺序增长的,Disruptor通过它标识和定位RingBuffer中的每一个事件,每个Consumer都维护一个Sequence,通过Sequence可以跟踪Consumer事件处理进度,它有AtomicLong的大多数功能特性,而且它消除了CPU伪共享的问题。

Sequencer

Sequencer是一个接口,它有两个实现类:SingleProducerSequencer(单生产者实现)、MultiProducerSequencer(多生产者实现),它主要作用是实现生产者和消费者之间快速、正确传递数据的并发算法。

Sequencer是生产者与缓冲区RingBuffer之间的桥梁。生产者可以通过Sequencer向RingBuffer申请数据的存放空间,并使用publish()方法通过WaiteStrategy通知消费者。

SequenceBarrier(序列屏障)

SequenceBarrier用于保证事件的有序性。它通过维护一组Sequence来跟踪消费者的进度,当生产者发布新的事件时,序列屏障会检查是否所有消费者都已处理完前面的事件,如果是,则通知生产者可以发布新的事件。

SequenceBarrier是消费者与RingBuffer之间的桥梁。在Disruptor中,消费者直接访问的是SequenceBarrier,而不是RingBuffer,因此SequenceBarrier能减少RingBuffer上的并发冲突,当消费者的消费速度大于生产者的生产速度时,消费者就可以通过waitFor()方法给予生产者一定的缓冲时间,从而协调了生产者和消费者的速度问题。

SequenceBarrier同时也是消费者与消费者之间消费依赖的抽象,SequenceBarrier只有一个实现类,即ProcessingSequenceBarrier。ProcessingSequenceBarrier由生产者Sequencer、消费定位cursorSequence、等待策略waitStrategy、还有一组依赖Sequence(dependentSequence)组成。

12.jpg

三、Disruptor的特点

环形数组结构

  • 采用首尾相接的数组而非链表,无需担心index溢出问题,且数组对处理器的缓存机制更加友好;
  • 在RingBuffer数组长度设置为2^N时,通过sequence & (bufferSize-1)加速定位元素实际下标索引,通过结合左移(<<)操作实现乘法;
  • 结合SequenceBarrier机制,实现线程与线程之间高效的数据交互。

无锁化设计

每个生产者或者消费者线程,会先申请可以操作的元素在数组中的位置,申请到之后,直接在该位置写入或者读取数据,整个过程通过原子变量CAS,保证操作的线程安全,即Disruptor的Sequence的自增就是CAS的自旋自增,对应的ArrayBlockQueue的数组索引index是互斥自增。

独占缓存行的方式消除伪共享

什么是伪共享

出现伪共享问题(False Sharing)的原因:

  • 一个缓存行可以存储多个变量(存满当前缓存行的字节数);64个字节可以放8个long,16个int;
  • 而CPU对缓存的修改又是以缓存行为最小单位的;不是以long 、byte这样的数据类型为单位的;
  • 在多线程情况下,如果需要修改“共享同一个缓存行的其中一个变量”,该行中其他变量的状态就会失效,甚至进行一致性保护。

所以,伪共享问题(False Sharing)的本质是:

CPU针对缓存的操作是以Cache Line为基本单位,对缓存行中的单个变量进行修改,会导致整个缓存行其他不相关的数据也都失效了,需要从主存重新加载,这个过程会带来性能损耗。

Disruptor是如何解决伪共享的

Sequence是标识RingBuffer环形数组的下标,同时生产者和消费者也会维护各自的Sequence,最重要的是,Sequence通过填充CPU缓存行避免了伪共享带来的性能损耗,来看下其填充缓存行源码:

13.jpg

预分配内存

环形队列存放的是Event对象,而且是在Disruptor创建的时候调用EventFactory创建并一次将队列填满。Event保存生产者生产的数据,消费者也是通过Event获取数据,后续生产者只需要替换掉Event中的属性值。这种方式避免了重复创建对象,降低JVM的GC频率,带来系统性能的提升。后续我们在做编码的时候其实也可以借鉴这种实现思路。

见com.lmax.disruptor.RingBuffer.fill(EventFactoryeventFactory)

14.jpg

四、Disruptor在撮合引擎中的应用

数字货币交易系统的简介

背景&价值

为用户提供数字虚拟货币的实时在线交易平台,实现盈亏。

C端核心界面

15.jpg 16.jpg

段落引用以上截图仅用于技术展示,不构成投资建议

交易系统简化交互图

为了便于理解,简单列举交易系统的核心服务和数据流向,见下图:

17.jpg

撮合应用的特点

  • 纯内存的、CPU密集型的

应用启动时加载数据库未处理订单、写日志、撮合成功发送消息到MQ会涉及IO操作。

  • 有状态的

正因为应用是有状态的,所以需要通过Disruptor提升单机的性能和吞吐量。

为什么撮合应用不设计成无状态的?

在学习或者实际做架构设计时,一般大多数情况都建议将应用设计为无状态的,可以通过水平扩展,实现应用的高可用、高性能。而有状态的应用一般有单点故障问题,难以通过水平扩展提升应用的性能,但是做架构设计的时候,还是需要从实际的场景出发,而撮合应用场景很显然更适合设计成有状态的。在数字加密货币交易平台,每一种数字加密货币都是由唯一的“交易对”去标识的,类似股票交易中的股票代码,针对不同交易对的买卖交易单是天然隔离的,而同种交易对的买卖交易单必须是在同一个应用去处理的,否则匹配撮合的时候是有问题的。如果使用无状态的设计,那么所有的交易对都必须在一个集群内处理,而且每个应用都必须要有全量交易对的订单数据,这样就会存在两个问题:多个应用撮合匹配结果不一致,以哪个为准、热点交易对如何做隔离,所以解决方案就是根据交易对维度对订单做分片,同一个交易对的订单消息路由到同一个撮合应用进行处理,这样其实就是将撮合应用设计成有状态的。每一种交易对每个时刻有且只有一个应用能处理,然后再通过k8s的Liveness和Readiness探针做自动故障转移和恢复来解决单点故障的问题,最后通过本地缓存Caffeine+高性能队列Disruptor提升单pod的吞吐量。16C64G的配置在实际业务场景压测的结果是,单机最大TPS在200w/s左右,对于整个交易系统而言性能瓶颈已经不在撮合应用,因为极端情况下可以配置成一个pod处理一个交易对。

撮合引擎流程图

撮合引擎服务核心链路流程图:

18.jpg

撮合引擎之Disruptor代码

为了便于理解,删除了和Disruptor无关的代码,只列举和Disruptor相关联的代码。

定义事件:用户交易单

    @Data
    @Builder
    @NoArgsConstructor
    @AllArgsConstructor
    public class DisruptorEvent implements Serializable {

        private static final long serialVersionUID = -5886259612924517631L;

        //成交单
        private EntrustOrder entrustOrder;
    }

定义事件处理器:对用户买单和卖单进行撮合匹配

    //撮合事件处理器
    public class ResultsHandler implements EventHandler<DisruptorEvent> {

        private final Set<Integer> symbolIdSet = new HashSet<>();
        private int workerQueueSize;

        public ResultsHandler(Set<Integer> symbolIdSet, int queueSize) {
            this.symbolIdSet.addAll(symbolIdSet);
            this.workerQueueSize = queueSize;
        }

        @Override
        public void onEvent(DisruptorEvent disruptorEvent, long sequence, boolean endOfBatch) {
            try {
                //获取订单
                EntrustOrder entrustOrder = disruptorEvent.getEntrustOrder();
          
                //常规的撮合,正常撤单,异常撤单
                if (OperationTypeEnum.MATCH.getCode() == entrustOrder.getOperationType() ||
                        OperationTypeEnum.CANCEL.getCode() == entrustOrder.getOperationType()) {
                    // 取消订单需要在引擎内处理
                    if (Objects.equals(entrustOrder.getOperationType(), OperationTypeEnum.MATCH.getCode())) {
                        //更新为处理中
                        OrderBook.addToOrderBook(entrustOrder.getOrderId(), MatchStatusEnum.MATCH_ING);
                    } else if (Objects.equals(entrustOrder.getOperationType(), OperationTypeEnum.CANCEL.getCode())) {
                        //更新为处理中
                        if (OrderBook.getByOrderId(entrustOrder.getOrderId()) != null) {
                            OrderBook.addToOrderBook(entrustOrder.getOrderId(), MatchStatusEnum.CANCEL_ING);
                        }
                    }
                    // 执行撮合
                    this.doMatch(entrustOrder);
                }
            } catch (Exception e) {
                log.error("match disruptor event handler error:{}", e.getMessage(), e);
            }
        }
        
        /**
         * 根据规则选择不同的撮合策略算法,进行撮合处理
         * @param takerOrder
         */
        public void doMatch(EntrustOrder takerOrder) {
            SideEnum sideEnum = SideEnum.getSideEnum(takerOrder.getSide());
            OrderTypeEnum orderTypeEnum = OrderTypeEnum.getOrderTypeEnum(takerOrder.getOrderType());
            //选择撮合策略
            MatchService matchService = MatchStrategy.router(orderTypeEnum, sideEnum);
            MatchContext matchContext = MatchContext.getContext();
            matchContext.setTakerOrder(takerOrder);
            //执行撮合
            matchService.start(matchContext);
            //撮合完成
            matchService.stop(matchContext);
        }
    }

事件生产者:构建Disruptor、生产事件

    /**
     * disruptor启动入口类,当系统读取到当前机器需要为哪些交易对提供服务的时候,
     * 我们需要为这些交易对进行分组服务,哪些交易对放到同一个disruptor中
     * 通过分组,一方面确保了活跃度高的交易对能够最大程度的利用资源,另一方面活跃度低的交易对能够有效处理,
     * 同时降低了cpu暴涨的风险
     */
    @Service
    @Slf4j
    public class ExchangeLauncher {

        private static int BUFFER_SIZE = 1024 * 16;
       
        @Resource
        private LimitBuyMatchService limitBuyMatchService;
        @Resource
        private LimitSellMatchService limitSellMatchService;
        @Resource
        private MarketBuyMatchService marketBuyMatchService;
        @Resource
        private MarketSellMatchService marketSellMatchService;
        @Resource
        private MatchClusterConfiguration matchClusterConfiguration;
        @Value("${match.worker-queue-size:5}")
        private int workSize;
        //一个交易对对应一个disruptor
        private Map<Integer, ExchangeCore> exchangeCoreMap = new ConcurrentHashMap<>();

        private List<ExchangeCore> exchangeCoreList = new CopyOnWriteArrayList<>();

        public void start() {
            try {
                //init order book
                OrderBook.init();

                Set<Integer> symbolIdListSet = matchClusterConfiguration.getMasterSymbolIdSet();
                
                if (CollectionUtils.isNotEmpty(symbolIdListSet)) {
                    List<Integer> allSymbolIds = new ArrayList<>(symbolIdListSet);
                    List<List<Integer>> pageList = ListUtils.partition(allSymbolIds, workSize);
                    pageList.forEach(symbolIds -> {
                        ResultsHandler handler = new ResultsHandler(new HashSet<>(symbolIds), workSize);
                        ExchangeCore exchangeCore = new ExchangeCore(handler, BUFFER_SIZE, new NamedThreadFactory("match", false));
                        exchangeCore.start();
                        exchangeCoreList.add(exchangeCore);
                        symbolIds.forEach(symbolId -> exchangeCoreMap.put(symbolId, exchangeCore));
                    });
                }
                // 注册matchService子类
                registerMatchServices();
            } catch (Exception e) {
                log.error("exchangeLauncher start error:{}", e.getMessage(), e);
            }
        }
        
        private void registerMatchServices() {
            MatchStrategy.register(OrderTypeEnum.LIMIT, SideEnum.BUY, limitBuyMatchService);
            MatchStrategy.register(OrderTypeEnum.LIMIT, SideEnum.SELL, limitSellMatchService);
            MatchStrategy.register(OrderTypeEnum.MARKET, SideEnum.BUY, marketBuyMatchService);
            MatchStrategy.register(OrderTypeEnum.MARKET, SideEnum.SELL, marketSellMatchService);
        }
      }
    public class ExchangeCore extends AbstractLifeCycle {

        private final Disruptor<DisruptorEvent> disruptor;

        private MatchEventPublisher publisher;

        private ResultsHandler eventHandler;

        public ExchangeCore(ResultsHandler matchHandler, int ringBufferSize, ThreadFactory threadFactory) {
            EventFactory eventFactory = () -> new DisruptorEvent();
            this.disruptor = new Disruptor<>(eventFactory, ringBufferSize, threadFactory);
            publisher = new MatchEventPublisher(this.disruptor);
            disruptor.setDefaultExceptionHandler(new DisruptorExceptionHandler());
            this.eventHandler = matchHandler;
            disruptor.handleEventsWith(eventHandler);
            disruptor.start();
        }

        @Override
        public void start() {
            super.start();
        }

        @Override
        public void stop() {
            super.stop();
            disruptor.shutdown();
        }


        public BaseResponse doMatch(EntrustOrder taker) {
            // 前置处理----start
            if (OrderTypeEnum.getOrderTypeEnum(taker.getOrderType()) == null || SideEnum.getSideEnum(taker.getSide()) == null) {
                log.error("{} - parameter error:{} or {}", taker.getTraceId(), "orderType", "side");
                return BaseResponse.error(TradingMatchCodeEnum.PARAMETER_ERROR);
            }

            MatchStatusEnum matchStatusEnum = OrderBook.getByOrderId(taker.getOrderId());

            MetricService metricService = SpringContextUtil.getBean(MetricService.class);
            MatchClusterConfiguration configuration = SpringContextUtil.getBean(MatchClusterConfiguration.class);
            // 撮合防重校验,并发存在问题。但是消费的时候,是单线程,做了校验,不存在重复撮合的问题。
            if (OperationTypeEnum.MATCH.getCode() == taker.getOperationType()) {
                if (matchStatusEnum != null) {
                    //短时间内重复撮合
                    log.error("{} - match repeat ,orderId :{}", taker.getTraceId(), taker.getOrderId());
                    return BaseResponse.error(TradingMatchCodeEnum.REPEAT_REQUEST);
                }
                //构造对象进入等待队列
                OrderBook.addToOrderBook(taker.getOrderId(), MatchStatusEnum.WAIT_ING);
                metricService.count(MetricNames.ORDER_TYPE_NUM, "type", "match", "group", configuration.getClusterName());
            } else if (OperationTypeEnum.CANCEL.getCode() == taker.getOperationType()) {
                int cancelType = taker.getCancelType();
                /**
                 异常单-产生情况:收单服务 调用撮合 出现异常,不知道成功没,没有明确响应 开始进行异常撤单
                 */
                if (CancelTypeEnum.NORMAL_CANCEL.getCode() == cancelType) {
                    if (matchStatusEnum == null) {
                        // 数据有可能在请求队列中被逐出,需要继续走逻辑
                        //
                    } else {
                        if (MatchStatusEnum.MATCH_END == matchStatusEnum) {
                            //重复撤销,深度盘已经没有数据,没必要继续往下,不走disruptor 和撮合直接返回
                            log.error("{} - cancel failed, match end ,orderId :{}", taker.getTraceId(), taker.getOrderId());
                            return BaseResponse.error(TradingMatchCodeEnum.REPEAT_REQUEST);
                        }
                        OrderBook.addToOrderBook(taker.getOrderId(), MatchStatusEnum.WAIT_CANCEL);
                    }
                } else {
                    // reload异常撤单,要加入内存
                    OrderBook.addToOrderBook(taker.getOrderId(), MatchStatusEnum.WAIT_CANCEL);
                }
            } else {
                log.warn("--------can not find the operationType[{}]", taker.getOperationType());
                throw new TradingMatchException("can not find the operationType[" + taker.getOperationType() + "]");
            }
            // 前置处理----end
            
            //Disruptor开始发布事件
            publisher.publish(taker);
            return BaseResponse.success();
        }

        public Disruptor<DisruptorEvent> getDisruptor() {
            return disruptor;
        }
    }
    public class MatchEventPublisher {
        private Disruptor<DisruptorEvent> disruptor;

        public MatchEventPublisher(Disruptor<DisruptorEvent> disruptor) {
            this.disruptor = disruptor;
        }

        private static final EventTranslatorOneArg<DisruptorEvent, EntrustOrder> TRANSLATOR =
                (event, sequence, entrustOrder) -> {
                    event.setEntrustOrder(entrustOrder);
                };

        public void publish(EntrustOrder taker) {
            RingBuffer<DisruptorEvent> ringBuffer = disruptor.getRingBuffer();
            taker.setSequence(ringBuffer.getCursor());
            taker.setArriveTime(System.currentTimeMillis());
            ringBuffer.publishEvent(TRANSLATOR, taker);
            // ...
        }

    }

五、总结

Disruptor作为一个以高性能著称的队列,它有很多优秀的设计思想值得我们学习,比如环形数组队列RingBuffer、SequenceBarrier机制、无锁化设计、预分配内存、消除伪共享、以及灵活丰富的生产者和消费者模式。本文只是介绍了一些对Disruptor的基本功能和实际使用场景,后续大家有兴趣可以结合源码去做更加深入的理解。由于本人文笔和经验有限,若有不足之处,还请及时指正,共同学习和进步。

引用: lmax-exchange.github.io/disruptor/u…

*文/ 天佑

本文属得物技术原创,更多精彩文章请看:得物技术

未经得物技术许可严禁转载,否则依法追究法律责任!