Spark-机器学习-三-

241 阅读1小时+

Spark 机器学习(三)

原文:zh.annas-archive.org/md5/7A35D303E4132E910DFC5ADB5679B82A

译者:飞龙

协议:CC BY-NC-SA 4.0

第五章:使用 Spark 构建推荐引擎

现在您已经学会了数据处理和特征提取的基础知识,我们将继续详细探讨各个机器学习模型,首先是推荐引擎。

推荐引擎可能是公众所知的最好的机器学习模型之一。即使人们不确切知道推荐引擎是什么,他们很可能通过使用流行网站(如亚马逊、Netflix、YouTube、Twitter、LinkedIn 和 Facebook)来体验过。推荐是所有这些业务的核心部分,在某些情况下,推荐引擎推动了它们相当大比例的收入。

推荐引擎的理念是预测人们可能喜欢什么,并揭示项目之间的关系,以帮助发现过程;在这方面,它们与搜索引擎相似,实际上通常是互补的,后者也在发现中发挥作用。然而,与搜索引擎不同,推荐引擎试图向人们呈现他们并非必然搜索或甚至可能从未听说过的相关内容。

通常,推荐引擎试图建模用户和某种类型项目之间的连接。例如,在我们的电影流场景中,我们可以使用推荐引擎向用户展示他们可能喜欢的电影。如果我们能做到这一点,我们可以通过我们的服务保持用户的参与,这对我们的用户和我们都是有利的。同样,如果我们能够很好地向用户展示与给定电影相关的电影,我们可以帮助他们在我们的网站上发现和导航,从而提高我们用户的体验、参与度和我们内容对他们的相关性。

然而,推荐引擎不仅限于电影、书籍或产品。本章将探讨的技术可以应用于几乎任何用户对项目的关系,以及用户对用户的连接,比如社交网络上的连接,使我们能够做出推荐,比如你可能认识的人或者应该关注谁。

推荐引擎在两种一般情况下最有效,它们并不是互斥的。这里进行了解释:

  • 用户可用选项的大量:当有大量可用项目时,用户要找到他们想要的东西变得越来越困难。当用户知道他们在寻找什么时,搜索可以帮助,但通常,合适的项目可能是他们以前不知道的东西。在这种情况下,被推荐相关的用户可能不知道的项目可以帮助他们发现新项目。

  • 涉及个人口味的显著程度:当个人口味在选择中起到重要作用时,推荐模型(通常利用众人的智慧方法)可以帮助根据具有相似口味配置的其他人的行为发现项目。

在本章中,我们将涵盖以下主题:

  • 介绍各种类型的推荐引擎

  • 使用关于用户偏好的数据构建推荐模型

  • 使用训练好的模型为特定用户计算推荐,同时为给定项目计算类似项目,即相关项目

  • 应用标准评估指标来衡量我们创建的模型在预测能力方面的表现如何

推荐模型的类型

推荐系统得到了广泛研究,有许多不同的方法,但其中两种可能最为普遍:基于内容的过滤和协同过滤。最近,其他方法,如排名模型,也变得越来越受欢迎。在实践中,许多方法是混合的,将许多不同方法的元素纳入模型或模型组合。

基于内容的过滤

基于内容的方法试图使用项目的内容或属性,以及两个内容之间的相似性概念,来生成与给定项目相似的项目。这些属性通常是文本内容,如标题、名称、标签和附加到项目的其他元数据,或者在媒体的情况下,它们可能包括从音频和视频内容中提取的项目的其他特征。

以类似的方式,用户推荐可以基于用户或用户资料的属性生成,然后使用相似度的度量来将其与项目属性进行匹配。例如,用户可以由他们互动过的项目的组合属性来表示。这就成为了他们的用户资料,然后将其与项目属性进行比较,以找到与用户资料匹配的项目。

这些是为每个用户或项目创建描述其性质的资料的几个例子:

  • 电影资料包括有关演员、流派、受欢迎程度等的属性。

  • 用户资料包括人口统计信息或对特定问题的回答。

  • 内容过滤使用资料来关联用户或项目。

  • 基于关键词重叠的新项目与用户资料的相似度使用 Dice 系数进行计算。还有其他方法。

协同过滤

协同过滤仅依赖于过去的行为,如先前的评分或交易。其背后的思想是相似性的概念。

基本思想是用户对项目进行评分,隐式或显式地。过去口味相似的用户将来口味也会相似。

在基于用户的方法中,如果两个用户表现出类似的偏好,即以广泛相同方式与相同项目互动的模式,那么我们会假设他们在口味上相似。为了为给定用户生成未知项目的推荐,我们可以使用表现出类似行为的其他用户的已知偏好。我们可以通过选择一组相似的用户并计算基于他们对项目的偏好的某种形式的综合评分来实现这一点。总体逻辑是,如果其他人对一组项目有类似的口味,这些项目很可能是推荐的良好候选项。

我们还可以采用基于项目的方法,计算项目之间的相似度。这通常基于现有的用户-项目偏好或评分。那些倾向于被类似用户评价的项目在这种方法下会被归类为相似的。一旦我们有了这些相似性,我们可以根据用户与其互动的项目来表示用户,并找到与这些已知项目相似的项目,然后推荐给用户。同样,一组与已知项目相似的项目被用来生成一个综合评分,以估计未知项目。

基于用户和基于项目的方法通常被称为最近邻模型,因为估计的分数是基于最相似的用户或项目集合计算的,即它们的邻居。

传统的协同过滤算法将用户表示为项目的 N 维向量,其中 N 是不同项目的数量。向量的分量是正面或负面项目。为了计算最佳项目,该算法通常将向量分量乘以频率的倒数,即评价该项目的用户数量的倒数,使得不太知名的项目更加相关。对于大多数用户来说,这个向量非常稀疏。该算法基于与用户最相似的少数用户生成推荐。它可以使用一种称为余弦相似度的常见方法来衡量两个用户XY的相似度,即两个向量之间的夹角的余弦值。

最后,有许多基于模型的方法试图对用户-物品偏好本身进行建模,以便通过将模型应用于未知的用户-物品组合来直接估计新的偏好。

协同过滤的两种主要建模方法如下:

  • 邻域方法

  • 以用户为中心的方法集中在计算用户之间的关系

  • 以物品为中心的方法根据同一用户对相邻物品的评分来评估用户对物品的偏好

  • 使用居中余弦距离进行相似性计算,也称为皮尔逊相关系数

  • 潜在因子模型

  • 潜在因子模型(LFM)方法通过表征用户和物品来解释评分,以找到隐藏的潜在特征

  • 在电影中,诸如动作或戏剧、演员类型等都是潜在因子

  • 在用户中,喜欢电影评分的特征是潜在因子的一个例子

  • 类型包括神经网络、潜在狄利克雷分配、矩阵分解

在下一节中,我们将讨论矩阵分解模型。

矩阵分解

由于 Spark 的推荐模型目前只包括矩阵分解的实现,因此我们将把注意力集中在这类模型上。这种关注是有充分理由的;然而,这些类型的模型在协同过滤中一直表现出色,并且在著名的比赛中,如 Netflix 奖,它们一直是最佳模型之一。

矩阵分解假设:

  • 每个用户可以用 n 个属性或特征来描述。例如,特征一可能是一个数字,表示每个用户对动作电影的喜欢程度。

  • 每个物品可以用一组 n 个属性或特征来描述。与前面的例子相连,电影的特征一可能是一个数字,表示电影与纯动作的接近程度。

  • 如果我们将用户的每个特征乘以物品的相应特征并将所有内容相加,这将是用户给出该物品评分的良好近似。

有关 Netflix 奖的最佳算法的更多信息和简要概述,请参阅techblog.netflix.com/2012/04/netflix-recommendations-beyond-5-stars.html

显式矩阵分解

当我们处理由用户自己提供的用户偏好数据时,我们称之为显式偏好数据。这包括用户对物品的评分、点赞、喜欢等。

我们可以将这些评分组成一个二维矩阵,以用户为行,物品为列。每个条目表示用户对某个物品的评分。由于在大多数情况下,每个用户只与相对较小的一组物品进行了交互,因此该矩阵只有少数非零条目,即非常稀疏。

举个简单的例子,假设我们有一组电影的以下用户评分:

Tom: 星球大战,5

Jane: 泰坦尼克号,4

Bill: 蝙蝠侠,3

Jane: 星球大战,2

Bill: 泰坦尼克号,3

我们将形成以下评分矩阵:

一个简单的电影评分矩阵

矩阵分解(或矩阵完成)试图直接对用户-物品矩阵进行建模,将其表示为较低维度的两个较小矩阵的乘积。因此,这是一种降维技术。如果我们有U个用户和I个物品,那么我们的用户-物品矩阵的维度为 U x I,可能看起来像下图所示的矩阵:

一个稀疏的评分矩阵

如果我们想要找到一个低维(低秩)的用户-物品矩阵的近似值,维度为k,我们将得到两个矩阵:一个是用户大小为 U x k 的矩阵,另一个是物品大小为 I x k 的矩阵;这些被称为因子矩阵。如果我们将这两个因子矩阵相乘,我们将重构原始评分矩阵的近似版本。请注意,原始评分矩阵通常非常稀疏,而每个因子矩阵是密集的,如下图所示:

用户和物品因子矩阵

这些模型通常也被称为潜在特征模型,因为我们试图发现一些隐藏特征(由因子矩阵表示),这些特征解释了用户-物品评分矩阵中固有的行为结构。虽然潜在特征或因子通常不是直接可解释的,但它们可能代表一些东西,比如用户倾向于喜欢某个导演、类型、风格或一组演员的电影。

由于我们直接对用户-物品矩阵进行建模,因此这些模型中的预测相对简单:要计算用户和物品的预测评分,我们将计算用户因子矩阵的相关行(即用户的因子向量)与物品因子矩阵的相关行(即物品的因子向量)之间的向量点积。

这在下图中突出显示的向量中得到了说明:

从用户和物品因子向量计算推荐

要找出两个物品之间的相似性,我们可以使用与最近邻模型中使用的相似性度量相同的度量,只是我们可以直接使用因子向量,通过计算两个物品因子向量之间的相似性,如下图所示:

使用物品因子向量计算相似性

因子化模型的好处在于一旦模型创建完成,推荐的计算相对容易。然而,对于非常庞大的用户和物品集,这可能会成为一个挑战,因为它需要跨可能有数百万用户和物品因子向量的存储和计算。另一个优势,正如前面提到的,是它们往往提供非常好的性能。

Oryx(github.com/OryxProject/oryx)和 Prediction.io(github.com/PredictionIO/PredictionIO)等项目专注于为大规模模型提供模型服务,包括基于矩阵因子分解的推荐系统。

不足之处在于,与最近邻模型相比,因子化模型相对更复杂,而且在模型的训练阶段通常需要更多的计算资源。

隐式矩阵因子分解

到目前为止,我们已经处理了诸如评分之类的显式偏好。然而,我们可能能够收集到的许多偏好数据是隐式反馈,即用户和物品之间的偏好并未直接给出,而是从他们可能与物品的互动中暗示出来。例如,二进制数据,比如用户是否观看了一部电影,是否购买了一个产品,以及计数数据,比如用户观看一部电影的次数。

处理隐式数据有许多不同的方法。MLlib 实现了一种特定的方法,将输入评分矩阵视为两个矩阵:一个是二进制偏好矩阵P,另一个是置信权重矩阵C

例如,假设我们之前看到的用户-电影评分实际上是每个用户观看该电影的次数。这两个矩阵看起来可能像以下截图中显示的矩阵。在这里,矩阵P告诉我们电影被用户观看了,矩阵C代表置信度加权,以观看次数的形式--通常情况下,用户观看电影的次数越多,他们实际上喜欢它的置信度就越高。

隐式偏好和置信度矩阵的表示

隐式模型仍然创建用户和物品因子矩阵。然而,在这种情况下,模型试图逼近的矩阵不是整体评分矩阵,而是偏好矩阵P。如果我们通过计算用户和物品因子向量的点积来计算推荐,得分将不是对评分的直接估计。它将更多地是对用户对物品的偏好的估计;尽管不严格在 0 到 1 之间,这些得分通常会相当接近 0 到 1 的范围。

简而言之,矩阵分解方法通过从评分模式中推断出的因子向量来表征用户和物品。用户和物品因子之间的高置信度或对应关系会导致推荐。两种主要的数据类型是显式反馈,如评分(由稀疏矩阵表示),和隐式反馈,如购买历史、搜索模式、浏览历史和点击流数据(由密集矩阵表示)。

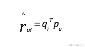
矩阵分解的基本模型

用户和物品都被映射到维度为f的联合潜在因子空间中,用户-物品交互在该空间中被建模为内积。物品i与向量q相关联,其中q衡量物品具有潜在因子的程度,用户u与向量p相关联,其中p衡量用户对物品的兴趣程度。

qp之间的点积捕捉了用户u和物品I之间的交互,即用户对物品的兴趣。模型的关键是找到向量qp

设计模型,获取用户和物品之间的潜在关系。生成评分矩阵的低维表示。对评分矩阵执行 SVD 以获取QSP。将矩阵S降维到k维以获取qp

现在,计算推荐:

优化函数(对观察到的评分)如下图所示;学习潜在因子向量qp,系统最小化一组评分的正则化平方误差。

使用的学习算法是随机梯度下降SGD)或交替最小二乘ALS)。

交替最小二乘

ALS 是解决矩阵分解问题的优化技术;这种技术功能强大,性能良好,并且已被证明相对容易在并行环境中实现。因此,它非常适合像 Spark 这样的平台。在撰写本书时,它是 Spark ML 中唯一实现的推荐模型。

ALS 通过迭代地解决一系列最小二乘回归问题来工作。在每次迭代中,用户或物品因子矩阵中的一个被视为固定,而另一个则使用固定因子和评分数据进行更新。然后,解决的因子矩阵依次被视为固定,而另一个被更新。这个过程持续进行直到模型收敛(或者达到固定次数的迭代):

目标函数不是凸的,因为qp都是未知的,但是如果我们固定其中一个未知数,优化可以被解决。如前所述,ALS 在固定qp之间交替。

Spark 的协同过滤文档包含了支持 ALS 算法实现显式和隐式数据的论文的引用。您可以在 spark.apache.org/docs/latest… 上查看文档。

以下代码解释了如何从头开始实现 ALS 算法。

让我们举个例子,展示它是如何实现的,并看一个真实的 3 部电影和 3 个用户的矩阵:

Array2DRowRealMatrix 
{{0.5306513708,0.5144338501,0.5183049}, 
{0.0612665269,0.0595122885,0.0611548878}, 
{0.3215637836,0.2964382622,0.1439834964}}

电影矩阵的第一次迭代是随机选择的:

ms = {RealVector[3]@3600} 
 0 = {ArrayRealVector@3605} "{0.489603683; 0.5979051631}" 
 1 = {ArrayRealVector@3606} "{0.2069873135; 0.4887559609}" 
 2 = {ArrayRealVector@3607} "{0.5286582698; 0.6787608323}"

用户矩阵的第一次迭代是随机选择的:

us = {RealVector[3]@3602} 
 0 = {ArrayRealVector@3611} "{0.7964247309; 0.091570682}" 
 1 = {ArrayRealVector@3612} "{0.4509758768; 0.0684475614}" 
 2 = {ArrayRealVector@3613} "{0.7812240904; 0.4180722562}"

挑选用户矩阵us的第一行,计算XtX(矩阵)和Xty(向量),如下面的代码所示:

m: {0.489603683; 0.5979051631} 
us: [Lorg.apache.commons.math3.linear.RealVector;@75961f16 
 XtX: Array2DRowRealMatrix{{0.0,0.0},{0.0,0.0}} 
 Xty: {0; 0}

j:0

u: {0.7964247309; 0.091570682} 
u.outerProduct(u): 
   Array2DRowRealMatrix{{0.634292352,0.0729291558},
   {0.0729291558,0.0083851898}} 
XtX = XtX.add(u.outerProduct(u)): 
   Array2DRowRealMatrix{{0.634292352,0.0729291558},
   {0.0729291558,0.0083851898}} 
R.getEntry(i, j)):0.5306513708051035 
u.mapMultiply(R.getEntry(i, j): {0.4226238752; 0.0485921079} 
Xty = Xty.add(u.mapMultiply(R.getEntry(i, j))): {0.4226238752; 
   0.0485921079}

挑选用户矩阵us的第二行,并按照下面的代码向XtX(矩阵)和Xty(向量)添加值:

j:1

u: {0.4509758768; 0.0684475614} 
u.outerProduct(u): Array2DRowRealMatrix{{0.2033792414,0.030868199},{0.030868199,0.0046850687}} 
XtX = XtX.add(u.outerProduct(u)): Array2DRowRealMatrix{{0.8376715935,0.1037973548},{0.1037973548,0.0130702585}} 
R.getEntry(i, j)):0.5144338501354986 
u.mapMultiply(R.getEntry(i, j): {0.2319972566; 0.0352117425} 
Xty = Xty.add(u.mapMultiply(R.getEntry(i, j))): {0.6546211318; 0.0838038505}

j:2

u: {0.7812240904; 0.4180722562} 
u.outerProduct(u): 
   Array2DRowRealMatrix{{0.6103110794,0.326608118},
   {0.326608118,0.1747844114}} 
XtX = XtX.add(u.outerProduct(u)): 
   Array2DRowRealMatrix{{1.4479826729,0.4304054728},
   {0.4304054728,0.1878546698}} 
R.getEntry(i, j)):0.5183049000396933 
u.mapMultiply(R.getEntry(i, j): {0.4049122741; 0.2166888989} 
Xty = Xty.add(u.mapMultiply(R.getEntry(i, j))): {1.0595334059; 
   0.3004927494} 
After Regularization XtX: 
   Array2DRowRealMatrix{{1.4779826729,0.4304054728},
   {0.4304054728,0.1878546698}} 
After Regularization XtX: Array2DRowRealMatrix{{1.4779826729,0.4304054728},{0.4304054728,0.2178546698}}

计算ms(使用XtXXtY的 Cholesky 分解的电影矩阵)的第一行的值:

CholeskyDecomposition{0.7422344051; -0.0870718111}

经过我们每一行的步骤后,我们得到了:

ms = {RealVector[3]@5078} 
 0 = {ArrayRealVector@5125} "{0.7422344051; -0.0870718111}" 
 1 = {ArrayRealVector@5126} "{0.0856607011; -0.007426896}" 
 2 = {ArrayRealVector@5127} "{0.4542083563; -0.392747909}"

列出了先前解释的数学实现的源代码:

object AlternatingLeastSquares { 

  var movies = 0 
  var users = 0 
  var features = 0 
  var ITERATIONS = 0 
  val LAMBDA = 0.01 // Regularization coefficient 

  private def vector(n: Int): RealVector = 
    new ArrayRealVector(Array.fill(n)(math.random)) 

  private def matrix(rows: Int, cols: Int): RealMatrix = 
    new Array2DRowRealMatrix(Array.fill(rows, cols)(math.random)) 

  def rSpace(): RealMatrix = { 
    val mh = matrix(movies, features) 
    val uh = matrix(users, features) 
    mh.multiply(uh.transpose()) 
  } 

  def rmse(targetR: RealMatrix, ms: Array[RealVector], us: 
   Array[RealVector]): Double = { 
    val r = new Array2DRowRealMatrix(movies, users) 
    for (i <- 0 until movies; j <- 0 until users) { 
      r.setEntry(i, j, ms(i).dotProduct(us(j))) 
    } 
    val diffs = r.subtract(targetR) 
    var sumSqs = 0.0 
    for (i <- 0 until movies; j <- 0 until users) { 
      val diff = diffs.getEntry(i, j) 
      sumSqs += diff * diff 
    } 
    math.sqrt(sumSqs / (movies.toDouble * users.toDouble)) 
  } 

  def update(i: Int, m: RealVector, us: Array[RealVector], R: 
   RealMatrix) : RealVector = { 
    val U = us.length 
    val F = us(0).getDimension 
    var XtX: RealMatrix = new Array2DRowRealMatrix(F, F) 
    var Xty: RealVector = new ArrayRealVector(F) 
    // For each user that rated the movie 
    for (j <- 0 until U) { 
      val u = us(j) 
      // Add u * u^t to XtX 
      XtX = XtX.add(u.outerProduct(u)) 
      // Add u * rating to Xty 
      Xty = Xty.add(u.mapMultiply(R.getEntry(i, j))) 
    } 
    // Add regularization coefs to diagonal terms 
    for (d <- 0 until F) { 
      XtX.addToEntry(d, d, LAMBDA * U) 
    } 
    // Solve it with Cholesky 
    new CholeskyDecomposition(XtX).getSolver.solve(Xty) 
  } 

  def main(args: Array[String]) { 

    movies = 100 
    users = 500 
    features = 10 
    ITERATIONS = 5 
    var slices = 2 

    val spark = 
     SparkSession.builder.master("local[2]").
     appName("AlternatingLeastS
   quares").getOrCreate() 
    val sc = spark.sparkContext 

    val r_space = rSpace() 

    // Initialize m and u randomly 
    var ms = Array.fill(movies)(vector(features)) 
    var us = Array.fill(users)(vector(features)) 

    // Iteratively update movies then users 
    val Rc = sc.broadcast(r_space) 
    var msb = sc.broadcast(ms) 
    var usb = sc.broadcast(us) 
    for (iter <- 1 to ITERATIONS) { 
      println(s"Iteration $iter:") 
      ms = sc.parallelize(0 until movies, slices) 
        .map(i => update(i, msb.value(i), usb.value, Rc.value)) 
        .collect() 
      msb = sc.broadcast(ms) // Re-broadcast ms because it was 
   updated 
      us = sc.parallelize(0 until users, slices) 
        .map(i => update(i, usb.value(i), msb.value, 
   Rc.value.transpose())) 
        .collect() 
      usb = sc.broadcast(us) // Re-broadcast us because it was 
   updated 
      println("RMSE = " + rmse(r_space, ms, us)) 
      println() 
    } 

    spark.stop() 
  } 
}

您可以在以下网址找到代码清单:github.com/ml-resources/spark-ml/blob/branch-ed2/Chapter_05/2.0.0/scala-spark-app/src/main/scala/com/spark/recommendation/AlternatingLeastSquares.scala

从数据中提取正确的特征

在这一部分,我们将使用显式评分数据,没有额外的用户、物品元数据或其他与用户-物品交互相关的信息。因此,我们需要的输入特征只是用户 ID、电影 ID 和分配给每个用户和电影对的评分。

从 MovieLens 100k 数据集中提取特征

在这个例子中,我们将使用在上一章中使用的相同的 MovieLens 数据集。在下面的代码中,将使用放置 MovieLens 100k 数据集的目录作为输入路径。

首先,让我们检查原始评分数据集:

object FeatureExtraction { 

def getFeatures(): Dataset[FeatureExtraction.Rating] = { 
  val spark = SparkSession.builder.master("local[2]").appName("FeatureExtraction").getOrCreate() 

  import spark.implicits._ 
  val ratings = spark.read.textFile("/data/ml-100k 2/u.data").map(parseRating) 
  println(ratings.first()) 

  return ratings 
} 

case class Rating(userId: Int, movieId: Int, rating: Float) 

def parseRating(str: String): Rating = { 
  val fields = str.split("t") 
  Rating(fields(0).toInt, fields(1).toInt, fields(2).toFloat) 
}

您可以在以下网址找到代码清单:github.com/ml-resources/spark-ml/blob/branch-ed2/Chapter_05/2.0.0/scala-spark-app/src/main/scala/com/spark/recommendation/FeatureExtraction.scala

您将看到类似于以下代码行的输出:

16/09/07 11:23:38 INFO CodeGenerator: Code generated in 7.029838 ms
16/09/07 11:23:38 INFO Executor: Finished task 0.0 in stage 0.0 (TID 
   0). 1276 bytes result sent to driver
16/09/07 11:23:38 INFO TaskSetManager: Finished task 0.0 in stage 0.0 
   (TID 0) in 82 ms on localhost (1/1)
16/09/07 11:23:38 INFO TaskSchedulerImpl: Removed TaskSet 0.0, whose 
   tasks have all completed, from pool
16/09/07 11:23:38 INFO DAGScheduler: ResultStage 0 (first at 
   FeatureExtraction.scala:25) finished in 0.106 s
16/09/07 11:23:38 INFO DAGScheduler: Job 0 finished: first at 
   FeatureExtraction.scala:25, took 0.175165 s
16/09/07 11:23:38 INFO CodeGenerator: Code generated in 6.834794 ms
Rating(196,242,3.0)

请记住,这个数据集(使用案例映射到Rating类)由userIDmovieIDratingtimestamp字段组成,由制表符("t")字符分隔。我们不需要训练模型时的评分时间,所以下面的代码片段中我们只是提取了前三个字段:

case class Rating(userId: Int, movieId: Int, rating: Float) 

def parseRating(str: String): Rating = { 
  val fields = str.split("t") 
  Rating(fields(0).toInt, fields(1).toInt, fields(2).toFloat) 
}

您可以在以下网址找到代码清单:github.com/ml-resources/spark-ml/blob/branch-ed2/Chapter_05/2.0.0/scala-spark-app/src/main/scala/com/spark/recommendation/FeatureExtraction.scala

我们将首先将每条记录分割为"t"字符,这样我们就得到了一个String[]数组。然后我们将使用案例类来映射并保留数组的前3个元素,分别对应userIDmovieIDrating

训练推荐模型

一旦我们从原始数据中提取了这些简单的特征,我们就可以继续进行模型训练;ML 会为我们处理这些。我们所要做的就是提供正确解析的输入数据集以及我们选择的模型参数。

将数据集分割为训练集和测试集,比例为 80:20,如下面的代码所示:

def createALSModel() { 
  val ratings = FeatureExtraction.getFeatures(); 

  val Array(training, test) = ratings.randomSplit(Array(0.8, 0.2)) 
  println(training.first()) 
}

您可以在以下网址找到代码清单:github.com/ml-resources/spark-ml/blob/branch-ed2/Chapter_05/2.0.0/scala-spark-app/src/main/scala/com/spark/recommendation/ALSModeling.scala

您将看到以下输出:

16/09/07 13:23:28 INFO Executor: Finished task 0.0 in stage 1.0 (TID 
   1). 1768 bytes result sent to driver
16/09/07 13:23:28 INFO TaskSetManager: Finished task 0.0 in stage 1.0 
   (TID 1) in 459 ms on localhost (1/1)
16/09/07 13:23:28 INFO TaskSchedulerImpl: Removed TaskSet 1.0, whose 
   tasks have all completed, from pool
16/09/07 13:23:28 INFO DAGScheduler: ResultStage 1 (first at 
   FeatureExtraction.scala:34) finished in 0.459 s
16/09/07 13:23:28 INFO DAGScheduler: Job 1 finished: first at 
   FeatureExtraction.scala:34, took 0.465730 s
Rating(1,1,5.0)

在 MovieLens 100k 数据集上训练模型

我们现在准备训练我们的模型!我们模型所需的其他输入如下:

  • rank:这指的是我们 ALS 模型中的因子数量,也就是我们低秩近似矩阵中的隐藏特征数量。通常来说,因子数量越多越好,但这直接影响内存使用,无论是计算还是存储模型用于服务,特别是对于大量用户或物品。因此,在实际应用中,这通常是一个权衡。它还影响所需的训练数据量。

  • 在 10 到 200 的范围内选择一个秩通常是合理的。

  • iterations:这是指要运行的迭代次数。虽然 ALS 中的每次迭代都保证会减少评级矩阵的重构误差,但 ALS 模型在相对较少的迭代后就会收敛到一个相当不错的解决方案。因此,在大多数情况下,我们不需要运行太多次迭代--大约 10 次通常是一个很好的默认值。

  • numBlocks:这是用户和物品将被分区成的块的数量,以并行化计算(默认为 10)。该数字取决于集群节点的数量以及数据的分区方式。

  • regParam:这指定 ALS 中的正则化参数(默认为 1.0)。常数λ称为正则化参数,如果用户和物品矩阵的分量过大(绝对值),它会对其进行惩罚。这对于数值稳定性很重要,几乎总是会使用某种形式的正则化。

  • implicitPrefs:这指定是否使用显式反馈 ALS 变体或者适用于隐式反馈数据的变体;默认为 false,表示使用显式反馈。

  • alpha:这是 ALS 隐式反馈变体适用的参数,它控制对偏好观察的基线置信度(默认为 1.0)。

  • nonnegative:这指定是否使用最小二乘法的非负约束(默认为false)。

我们将使用默认的rank5maxIter,以及regParam参数为0.01来说明如何训练我们的模型,如下面的代码所示:

// Build the recommendation model using ALS on the training data 
val als = new ALS() 
  .setMaxIter(5) 
  .setRegParam(0.01) 
  .setUserCol("userId") 
  .setItemCol("movieId") 
  .setRatingCol("rating") 

val model = als.fit(training)

您可以在github.com/ml-resources/spark-ml/blob/branch-ed2/Chapter_05/2.0.0/scala-spark-app/src/main/scala/com/spark/recommendation/ALSModeling.scala找到代码清单。

这将返回一个ALSModel对象,其中包含用户和物品因子。它们分别称为userFactorsitemFactors

例如,model.userFactors

您将看到以下输出:

16/09/07 13:08:16 INFO MapPartitionsRDD: Removing RDD 16 from 
   persistence list
16/09/07 13:08:16 INFO BlockManager: Removing RDD 16
16/09/07 13:08:16 INFO Instrumentation: ALS-als_1ca69e2ffef7-
   10603412-1: training finished
16/09/07 13:08:16 INFO SparkContext: Invoking stop() from shutdown 
   hook
[id: int, features: array<float>]

我们可以看到这些因子的形式是Array[float]

MLlib 的 ALS 实现中使用的操作是惰性转换,因此实际计算只有在我们对用户和物品因子的 DataFrame 调用某种操作时才会执行。在下面的代码中,我们可以使用 Spark 操作(如count)来强制执行计算:

model.userFactors.count()

这将触发计算,并且我们将看到类似以下代码行的大量输出文本:

16/09/07 13:21:54 INFO Executor: Running task 0.0 in stage 53.0 (TID 
   166)
16/09/07 13:21:54 INFO ShuffleBlockFetcherIterator: Getting 10 non-
   empty blocks out of 10 blocks
16/09/07 13:21:54 INFO ShuffleBlockFetcherIterator: Started 0 remote 
   fetches in 0 ms
16/09/07 13:21:54 INFO Executor: Finished task 0.0 in stage 53.0 (TID 
   166). 1873 bytes result sent to driver
16/09/07 13:21:54 INFO TaskSetManager: Finished task 0.0 in stage 
   53.0 (TID 166) in 12 ms on localhost (1/1)
16/09/07 13:21:54 INFO TaskSchedulerImpl: Removed TaskSet 53.0, whose 
   tasks have all completed, from pool
16/09/07 13:21:54 INFO DAGScheduler: ResultStage 53 (count at 
   ALSModeling.scala:25) finished in 0.012 s
16/09/07 13:21:54 INFO DAGScheduler: Job 7 finished: count at 
   ALSModeling.scala:25, took 0.123073 s
16/09/07 13:21:54 INFO CodeGenerator: Code generated in 11.162514 ms
943

如果我们对电影因子调用count,将会使用以下代码完成:

model.itemFactors.count()

这将触发计算,并且我们将得到以下输出:

16/09/07 13:23:32 INFO TaskSetManager: Starting task 0.0 in stage 
   68.0 (TID 177, localhost, partition 0, ANY, 5276 bytes)
16/09/07 13:23:32 INFO Executor: Running task 0.0 in stage 68.0 (TID 
   177)
16/09/07 13:23:32 INFO ShuffleBlockFetcherIterator: Getting 10 non-
   empty blocks out of 10 blocks
16/09/07 13:23:32 INFO ShuffleBlockFetcherIterator: Started 0 remote 
   fetches in 0 ms
16/09/07 13:23:32 INFO Executor: Finished task 0.0 in stage 68.0 (TID 
   177). 1873 bytes result sent to driver
16/09/07 13:23:32 INFO TaskSetManager: Finished task 0.0 in stage 
   68.0 (TID 177) in 3 ms on localhost (1/1)
16/09/07 13:23:32 INFO TaskSchedulerImpl: Removed TaskSet 68.0, whose 
   tasks have all completed, from pool
16/09/07 13:23:32 INFO DAGScheduler: ResultStage 68 (count at 
   ALSModeling.scala:26) finished in 0.003 s
16/09/07 13:23:32 INFO DAGScheduler: Job 8 finished: count at 
   ALSModeling.scala:26, took 0.072450 s

1651

如预期的那样,我们为每个用户(943个因子)和每部电影(1651个因子)都有一个因子数组。

使用隐式反馈数据训练模型

MLlib 中的标准矩阵分解方法处理显式评分。要处理隐式数据,可以使用trainImplicit方法。它的调用方式类似于标准的train方法。还有一个额外的参数alpha,可以设置(同样,正则化参数lambda应该通过测试和交叉验证方法进行选择)。

alpha参数控制应用的基线置信度权重。较高水平的alpha倾向于使模型更加确信缺失数据意味着用户-物品对的偏好不存在。

从 Spark 版本 2.0 开始,如果评分矩阵是从其他信息推断出来的,即从其他信号中推断出来的,您可以将setImplicitPrefs设置为true以获得更好的结果,如下例所示:

val als = new ALS() 
  .setMaxIter(5) 
  .setRegParam(0.01) 
  .setImplicitPrefs(true) 
  .setUserCol("userId") 
  .setItemCol("movieId") 
  .setRatingCol("rating")

作为练习,尝试将现有的 MovieLens 数据集转换为隐式数据集。一种可能的方法是通过在某个水平上对评分应用阈值,将其转换为二进制反馈(0 和 1)。

另一种方法可能是将评分值转换为置信权重(例如,也许低评分可能意味着零权重,甚至是负权重,这是 MLlib 实现支持的)。

在此数据集上训练模型,并将以下部分的结果与您的隐式模型生成的结果进行比较。

使用推荐模型

现在我们已经训练好模型,准备使用它进行预测。

ALS 模型推荐

从 Spark v2.0 开始,org.apache.spark.ml.recommendation.ALS建模是因子分解算法的阻塞实现,它将“用户”和“产品”因子分组到块中,并通过在每次迭代时仅向每个产品块发送每个用户向量的一份副本,并且仅对需要该用户特征向量的产品块进行通信,从而减少通信。

在这里,我们将从电影数据集中加载评分数据,其中每一行包括用户、电影、评分和时间戳。然后我们将训练一个 ALS 模型,默认情况下该模型适用于显式偏好(implicitPrefsfalse)。我们将通过测量评分预测的均方根误差来评估推荐模型,具体如下:

object ALSModeling { 

  def createALSModel() { 
    val ratings = FeatureExtraction.getFeatures(); 

    val Array(training, test) = ratings.randomSplit(Array(0.8, 
   0.2)) 
    println(training.first()) 

    // Build the recommendation model using ALS on the training 
   data 
    val als = new ALS() 
      .setMaxIter(5) 
      .setRegParam(0.01) 
      .setUserCol("userId") 
      .setItemCol("movieId") 
      .setRatingCol("rating") 

    val model = als.fit(training) 
    println(model.userFactors.count()) 
    println(model.itemFactors.count()) 

    val predictions = model.transform(test) 
    println(predictions.printSchema()) 

}

您可以在以下链接找到代码列表:github.com/ml-resources/spark-ml/blob/branch-ed2/Chapter_05/2.0.0/scala-spark-app/src/main/scala/com/spark/recommendation/ALSModeling.scala

以下是前述代码的输出:

16/09/07 17:58:42 INFO SparkContext: Created broadcast 26 from 
   broadcast at DAGScheduler.scala:1012
16/09/07 17:58:42 INFO DAGScheduler: Submitting 1 missing tasks from 
   ResultStage 67 (MapPartitionsRDD[138] at count at 
   ALSModeling.scala:31)
16/09/07 17:58:42 INFO TaskSchedulerImpl: Adding task set 67.0 with 1 
   tasks
16/09/07 17:58:42 INFO TaskSetManager: Starting task 0.0 in stage 
   67.0 (TID 176, localhost, partition 0, ANY, 5276 bytes)
16/09/07 17:58:42 INFO Executor: Running task 0.0 in stage 67.0 (TID 
   176)
16/09/07 17:58:42 INFO ShuffleBlockFetcherIterator: Getting 10 non-
   empty blocks out of 10 blocks
16/09/07 17:58:42 INFO ShuffleBlockFetcherIterator: Started 0 remote 
   fetches in 0 ms
16/09/07 17:58:42 INFO Executor: Finished task 0.0 in stage 67.0 (TID 
   176). 1960 bytes result sent to driver
16/09/07 17:58:42 INFO TaskSetManager: Finished task 0.0 in stage 
   67.0 (TID 176) in 3 ms on localhost (1/1)
16/09/07 17:58:42 INFO TaskSchedulerImpl: Removed TaskSet 67.0, whose 
   tasks have all completed, from pool
16/09/07 17:58:42 INFO DAGScheduler: ResultStage 67 (count at 
   ALSModeling.scala:31) finished in 0.003 s
16/09/07 17:58:42 INFO DAGScheduler: Job 7 finished: count at 
   ALSModeling.scala:31, took 0.060748 s
100
root
 |-- userId: integer (nullable = true)
 |-- movieId: integer (nullable = true)
 |-- rating: float (nullable = true)
 |-- timestamp: long (nullable = true)
 |-- prediction: float (nullable = true)

在我们继续之前,请注意以下关于用户和物品推荐的示例使用了 Spark v1.6 的 MLlib。请按照代码列表获取使用org.apache.spark.mllib.recommendation.ALS创建推荐模型的详细信息。

用户推荐

在这种情况下,我们希望为给定的用户生成推荐的物品。这通常采用top-K列表的形式,即我们的模型预测用户最有可能喜欢的K个物品。这是通过计算每个物品的预测得分并根据这个得分对列表进行排名来实现的。

执行此计算的确切方法取决于所涉及的模型。例如,在基于用户的方法中,使用相似用户对物品的评分来计算对用户的推荐;而在基于物品的方法中,计算基于用户评分的物品与候选物品的相似性。

在矩阵分解中,因为我们直接对评分矩阵进行建模,所以预测得分可以通过用户因子向量和物品因子向量之间的向量点积来计算。

从 MovieLens 100k 数据集生成电影推荐

由于 MLlib 的推荐模型是基于矩阵分解的,我们可以使用模型计算出的因子矩阵来计算用户的预测分数(或评分)。我们将专注于使用 MovieLens 数据的显式评分情况;然而,使用隐式模型时,方法是相同的。

MatrixFactorizationModel类有一个方便的predict方法,可以计算给定用户和项目组合的预测分数,如下面的代码所示:

val predictedRating = model.predict(789, 123)

输出如下:

14/03/30 16:10:10 INFO SparkContext: Starting job: lookup at 
   MatrixFactorizationModel.scala:45
14/03/30 16:10:10 INFO DAGScheduler: Got job 30 (lookup at 
   MatrixFactorizationModel.scala:45) with 1 output partitions 
   (allowLocal=false)
...
14/03/30 16:10:10 INFO SparkContext: Job finished: lookup at 
   MatrixFactorizationModel.scala:46, took 0.023077 s
predictedRating: Double = 3.128545693368485

正如我们所看到的,这个模型预测用户789对电影123的评分为3.12

请注意,您可能会看到与本节中显示的结果不同的结果,因为 ALS 模型是随机初始化的。因此,模型的不同运行将导致不同的解决方案。

predict方法也可以接受一个(user, item) ID 的 RDD 作为输入,并为每个生成预测。我们可以使用这个方法同时为许多用户和项目进行预测。

为了为用户生成top-K推荐项目,MatrixFactorizationModel提供了一个方便的方法叫做recommendProducts。这需要两个参数:usernum,其中user是用户 ID,num是要推荐的项目数。

它返回按预测分数排序的前num个项目。在这里,分数是通过用户因子向量和每个项目因子向量之间的点积计算的。

让我们按照以下方式为用户789生成前10个推荐项目:

val userId = 789 
val K = 10 
val topKRecs = model.recommendProducts(userId, K)

现在,我们已经为用户789的每部电影预测了一组评分。如果我们打印出来,通过编写以下代码行,我们可以检查这个用户的前10个推荐:

println(topKRecs.mkString("n"))

您应该在控制台上看到以下输出:

Rating(789,715,5.931851273771102)
Rating(789,12,5.582301095666215)
Rating(789,959,5.516272981542168)
Rating(789,42,5.458065302395629)
Rating(789,584,5.449949837103569)
Rating(789,750,5.348768847643657)
Rating(789,663,5.30832117499004)
Rating(789,134,5.278933936827717)
Rating(789,156,5.250959077906759)
Rating(789,432,5.169863417126231)

检查推荐

我们可以通过快速查看用户评价过的电影和推荐的电影的标题来对这些推荐进行一次检查。首先,我们需要加载电影数据,这是我们在上一章中探讨的数据集之一。在下面的代码中,我们将收集这些数据作为Map[Int, String]方法,将电影 ID 映射到标题:

val movies = sc.textFile("/PATH/ml-100k/u.item") 
val titles = movies.map(line => 
   line.split("|").take(2)).map(array => (array(0).toInt,
   array(1))).collectAsMap() 
titles(123)

上述代码将产生以下输出:

res68: String = Frighteners, The (1996)

对于我们的用户789,我们可以找出他们评价过的电影,取得评分最高的10部电影,然后检查标题。我们将首先使用keyBy Spark 函数从我们的ratings RDD 中创建一个键值对的 RDD,其中键将是用户 ID。然后,我们将使用lookup函数将这个键(即特定的用户 ID)的评分返回给驱动程序,如下所述:

val moviesForUser = ratings.keyBy(_.user).lookup(789)

让我们看看这个用户评价了多少部电影。这将是moviesForUser集合的size

println(moviesForUser.size)

我们将看到这个用户已经评价了33部电影。

接下来,我们将通过对moviesForUser集合使用Rating对象的rating字段进行排序,取得评分最高的10部电影。然后,我们将从我们的电影标题映射中提取相关产品 ID 附加到Rating类的电影标题,并打印出带有其评分的前10个标题,如下所示:

moviesForUser.sortBy(-_.rating).take(10).map(rating => 
   (titles(rating.product), rating.rating)).foreach(println)

您将看到以下输出显示:

(Godfather, The (1972),5.0)
(Trainspotting (1996),5.0)
(Dead Man Walking (1995),5.0)
(Star Wars (1977),5.0)
(Swingers (1996),5.0)
(Leaving Las Vegas (1995),5.0)
(Bound (1996),5.0)
(Fargo (1996),5.0)
(Last Supper, The (1995),5.0)
(Private Parts (1997),4.0)

现在,让我们看看这个用户的前10个推荐,并查看标题,使用与我们之前使用的相同方法(请注意,推荐已经排序):

topKRecs.map(rating => (titles(rating.product), 
   rating.rating)).foreach(println)

输出如下:

(To Die For (1995),5.931851273771102)
(Usual Suspects, The (1995),5.582301095666215)
(Dazed and Confused (1993),5.516272981542168)
(Clerks (1994),5.458065302395629)
(Secret Garden, The (1993),5.449949837103569)
(Amistad (1997),5.348768847643657)
(Being There (1979),5.30832117499004)
(Citizen Kane (1941),5.278933936827717)
(Reservoir Dogs (1992),5.250959077906759)
(Fantasia (1940),5.169863417126231)

我们留给您决定这些推荐是否有意义。

项目推荐

项目推荐是关于回答以下问题的:对于某个项目,与之最相似的项目是什么?在这里,相似性的精确定义取决于所涉及的模型。在大多数情况下,相似性是通过使用某些相似性度量来比较两个项目的向量表示来计算的。常见的相似性度量包括皮尔逊相关系数和余弦相似度用于实值向量,以及杰卡德相似度用于二进制向量。

为 MovieLens 100k 数据集生成相似的电影

当前的MatrixFactorizationModelAPI 不直接支持项目之间的相似度计算。因此,我们需要创建自己的代码来完成这个任务。

我们将使用余弦相似度度量,并使用 jblas 线性代数库(MLlib 的依赖项)来计算所需的向量点积。这类似于现有的predictrecommendProducts方法的工作方式,只是我们将使用余弦相似度而不仅仅是点积。

我们想要使用我们的相似度度量来比较我们选择的项目的因子向量与其他项目的因子向量。为了执行线性代数计算,我们首先需要从因子向量中创建一个向量对象,这些因子向量的形式是Array[Double]JBLASDoubleMatrixArray[Double]作为构造函数参数,如下所示:

import org.jblas.DoubleMatrix

使用以下构造函数从数组实例化DoubleMatrix

jblas类是一个用 Java 编写的线性代数库。它基于 BLAS 和 LAPACK,是矩阵计算的事实行业标准,并使用像ATLAS这样的实现来进行计算例程,使得 jBLAS 非常快速。

它是对 BLAS 和 LAPACK 例程的轻量级封装。BLAS 和 LAPACK 包起源于 Fortran 社区。

让我们看一个例子:

public DoubleMatrix(double[] newData)

使用newData作为数据数组创建一个列向量。对创建的DoubleMatrix的任何更改都将在输入数组newData中进行更改。

让我们创建一个简单的DoubleMatrix

val aMatrix = new DoubleMatrix(Array(1.0, 2.0, 3.0))

以下是前面代码的输出:

aMatrix: org.jblas.DoubleMatrix = [1.000000; 2.000000; 3.000000]

请注意,使用 jblas,向量表示为一维的DoubleMatrix类,而矩阵表示为二维的DoubleMatrix类。

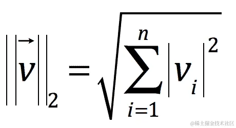
我们需要一个方法来计算两个向量之间的余弦相似度。余弦相似度是n维空间中两个向量之间角度的度量。首先计算向量之间的点积,然后将结果除以分母,分母是每个向量的范数(或长度)相乘在一起(具体来说,余弦相似度中使用 L2 范数)。

在线性代数中,向量的大小称为的范数。我们将讨论几种不同类型的范数。在本讨论中,我们将向量 v 定义为一组有序的数字。

一范数:向量的一范数(也称为 L1 范数或均值范数)如下图所示,并定义为其组件的绝对值的总和:

二范数(也称为 L2 范数、均方根范数、最小二乘范数)

向量的范数如下图所示:

此外,它被定义为其组件的绝对值的平方和的平方根:

这样,余弦相似度是一个归一化的点积。余弦相似度测量值介于-11之间。值为1意味着完全相似,而值为 0 意味着独立(即没有相似性)。这个度量是有用的,因为它还捕捉到了负相似性,即值为-1意味着向量不仅不相似,而且完全不相似:

让我们在这里创建我们的cosineSimilarity函数:

def cosineSimilarity(vec1: DoubleMatrix, vec2: DoubleMatrix): Double = { 
  vec1.dot(vec2) / (vec1.norm2() * vec2.norm2()) 
}

请注意,我们为这个函数定义了一个Double的返回类型。虽然 Scala 具有类型推断功能,我们并不需要这样做。然而,为 Scala 函数记录返回类型通常是有用的。

让我们尝试对项目567的项目因子之一进行操作。我们需要从我们的模型中收集一个项目因子;我们将使用lookup方法来做到这一点,方式与我们之前收集特定用户的评分的方式类似。在下面的代码行中,我们还将使用head函数,因为lookup返回一个值数组,我们只需要第一个值(实际上,只会有一个值,即这个项目的因子向量)。

由于这将是一个构造函数Array[Double],因此我们需要从中创建一个DoubleMatrix对象,并计算与自身的余弦相似度,如下所示:

val itemId = 567 
val itemFactor = model.productFeatures.lookup(itemId).head 
val itemVector = new DoubleMatrix(itemFactor) 
cosineSimilarity(itemVector, itemVector)

相似度度量应该衡量两个向量在某种意义上的接近程度。在下面的示例中,我们可以看到我们的余弦相似度度量告诉我们,这个项目向量与自身相同,这是我们所期望的。

res113: Double = 1.0

现在,我们准备将我们的相似度度量应用于每个项目,如下所示:

val sims = model.productFeatures.map{ case (id, factor) => 
  val factorVector = new DoubleMatrix(factor) 
  val sim = cosineSimilarity(factorVector, itemVector) 
  (id, sim) 
}

接下来,我们可以通过对每个项目的相似度分数进行排序来计算前 10 个最相似的项目:

// recall we defined K = 10 earlier 
val sortedSims = sims.top(K)(Ordering.by[(Int, Double), Double] { 
   case (id, similarity) => similarity })

在上述代码片段中,我们使用了 Spark 的top函数,这是一种在分布式方式中计算top-K结果的高效方法,而不是使用collect将所有数据返回到驱动程序并在本地进行排序(请记住,在推荐模型的情况下,我们可能会处理数百万用户和项目)。

我们需要告诉 Spark 如何对sims RDD 中的(项目 ID,相似度分数)对进行排序。为此,我们将传递一个额外的参数给top,这是一个 ScalaOrdering对象,告诉 Spark 应该按照键值对中的值进行排序(即按照相似度进行排序)。

最后,我们可以打印与给定项目计算出的最高相似度度量的 10 个项目:

println(sortedSims.take(10).mkString("n"))

您将看到以下类似的输出:

(567,1.0000000000000002)
(1471,0.6932331537649621)
(670,0.6898690594544726)
(201,0.6897964975027041)
(343,0.6891221044611473)
(563,0.6864214133620066)
(294,0.6812075443259535)
(413,0.6754663844488256)
(184,0.6702643811753909)
(109,0.6594872765176396)

毫不奇怪,我们可以看到排名最高的相似项是我们的项目。其余的是我们项目集中的其他项目,按照我们的相似度度量进行排名。

检查相似项目

让我们看看我们选择的电影的标题是什么:

println(titles(itemId))

上述代码将打印以下输出:

    Wes Craven's New Nightmare (1994)

与用户推荐一样,我们可以对项目之间的相似性计算进行感知检查,并查看最相似电影的标题。这次,我们将取前 11 个,以便排除给定的电影。因此,我们将在列表中取 1 到 11 的数字:

val sortedSims2 = sims.top(K + 1)(Ordering.by[(Int, Double), 
   Double] { case (id, similarity) => similarity }) 
sortedSims2.slice(1, 11).map{ case (id, sim) => (titles(id), sim) 
   }.mkString("n")

您将看到显示电影标题和分数的输出类似于此输出:

(Hideaway (1995),0.6932331537649621)
(Body Snatchers (1993),0.6898690594544726)
(Evil Dead II (1987),0.6897964975027041)
(Alien: Resurrection (1997),0.6891221044611473)
(Stephen King's The Langoliers (1995),0.6864214133620066)
(Liar Liar (1997),0.6812075443259535)
(Tales from the Crypt Presents: Bordello of Blood (1996),0.6754663844488256)
(Army of Darkness (1993),0.6702643811753909)
(Mystery Science Theater 3000: The Movie (1996),0.6594872765176396)
(Scream (1996),0.6538249646863378)

再次注意,由于随机模型初始化,您可能会看到完全不同的结果。

现在,您已经使用余弦相似度计算了相似的项目,请尝试对用户因子向量执行相同操作,以计算给定用户的相似用户。

评估推荐模型的性能

我们如何知道我们训练的模型是否是一个好模型?我们需要能够以某种方式评估其预测性能。评估指标是模型预测能力或准确性的度量。有些是直接衡量模型预测模型目标变量的能力,例如均方误差,而其他指标则关注模型在预测可能不会直接优化的事物方面的表现,但通常更接近我们在现实世界中关心的内容,例如平均精度。

评估指标提供了一种标准化的方式,用于比较具有不同参数设置的相同模型的性能,并比较跨不同模型的性能。使用这些指标,我们可以执行模型选择,从我们希望评估的模型集中选择表现最佳的模型。

在这里,我们将向您展示如何计算推荐系统和协同过滤模型中使用的两个常见评估指标:均方误差MSE)和K 处的平均精度MAPK)。

ALS 模型评估

从 Spark v2.0 开始,我们将使用org.apache.spark.ml.evaluation.RegressionEvaluator来解决回归问题。回归评估是衡量拟合模型在留出测试数据上表现如何的度量标准。在这里,我们将使用均方根误差RMSE),它只是 MSE 度量的平方根:

object ALSModeling { 

  def createALSModel() { 
    val ratings = FeatureExtraction.getFeatures(); 

    val Array(training, test) = ratings.randomSplit(Array(0.8, 0.2)) 
    println(training.first()) 

    // Build the recommendation model using ALS on the training data 
    val als = new ALS() 
      .setMaxIter(5) 
      .setRegParam(0.01) 
      .setUserCol("userId") 
      .setItemCol("movieId") 
      .setRatingCol("rating") 

    val model = als.fit(training) 
    println(model.userFactors.count()) 
    println(model.itemFactors.count()) 

    val predictions = model.transform(test) 
    println(predictions.printSchema()) 

    val evaluator = new RegressionEvaluator() 
      .setMetricName("rmse") 
      .setLabelCol("rating") 
      .setPredictionCol("prediction") 
    val rmse = evaluator.evaluate(predictions) 

    println(s"Root-mean-square error = $rmse") 
  } 

  def main(args: Array[String]) { 
    createALSModel() 
  } 

}

你可以在github.com/ml-resources/spark-ml/blob/branch-ed2/Chapter_05/2.0.0/scala-spark-app/src/main/scala/com/spark/recommendation/ALSModeling.scala找到代码清单。

你将看到如下输出:

16/09/07 17:58:45 INFO ShuffleBlockFetcherIterator: Getting 4 non-
   empty blocks out of 200 blocks
16/09/07 17:58:45 INFO ShuffleBlockFetcherIterator: Getting 2 non-
   empty blocks out of 200 blocks
16/09/07 17:58:45 INFO ShuffleBlockFetcherIterator: Started 0 remote 
   fetches in 0 ms
16/09/07 17:58:45 INFO ShuffleBlockFetcherIterator: Started 0 remote 
   fetches in 0 ms
16/09/07 17:58:45 INFO ShuffleBlockFetcherIterator: Getting 1 non-
   empty blocks out of 10 blocks
16/09/07 17:58:45 INFO ShuffleBlockFetcherIterator: Getting 1 non-
   empty blocks out of 10 blocks
16/09/07 17:58:45 INFO ShuffleBlockFetcherIterator: Started 0 remote 
   fetches in 0 ms
16/09/07 17:58:45 INFO ShuffleBlockFetcherIterator: Started 0 remote 
   fetches in 0 ms
Root-mean-square error = 2.1487554400294777

在我们进一步进行之前,请注意以下评估示例使用 Spark v1.6 中的 MLLib。请按照代码清单获取使用org.apache.spark.mllib.recommendation.ALS创建推荐模型的详细信息。

均方误差

MSE 是用户-物品评分矩阵重建误差的直接度量。它也是某些模型中被最小化的目标函数,特别是包括 ALS 在内的许多矩阵分解技术。因此,在显式评分设置中通常使用它。

它被定义为平方误差之和除以观察次数。而平方误差则是给定用户-物品对的预测评分与实际评分之间的差的平方。

我们将以用户789为例。让我们从之前计算的moviesForUser集合的Ratings中取出该用户的第一个评分:

val actualRating = moviesForUser.take(1)(0)

以下是输出:

actualRating: org.apache.spark.mllib.recommendation.Rating = 
   Rating(789,1012,4.0)

我们将看到该用户-物品组合的评分为 4。接下来,我们将计算模型的预测评分:

val predictedRating = model.predict(789, actualRating.product)

模型预测评分的输出如下:

...
14/04/13 13:01:15 INFO SparkContext: Job finished: lookup at MatrixFactorizationModel.scala:46, took 0.025404 s
predictedRating: Double = 4.001005374200248

我们将看到预测评分约为 4,非常接近实际评分。最后,我们将计算实际评分和预测评分之间的平方误差:

val squaredError = math.pow(predictedRating - actualRating.rating, 
   2.0)

上述代码将输出平方误差:

squaredError: Double = 1.010777282523947E-6

因此,为了计算数据集的整体 MSE,我们需要为每个(用户电影实际评分预测评分)条目计算这个平方误差,将它们相加,然后除以评分数量。我们将在以下代码片段中执行此操作。

注意:以下代码改编自 Apache Spark ALS 的编程指南,网址为spark.apache.org/docs/latest/mllib-collaborative-filtering.html

首先,我们将从ratings RDD 中提取用户和产品 ID,并使用model.predict对每个用户-物品对进行预测。我们将使用用户-物品对作为键,预测评分作为值:

val usersProducts = ratings.map{ case Rating(user, product, 
   rating)  => (user, product)} 
val predictions = model.predict(usersProducts).map{ 
    case Rating(user, product, rating) => ((user, product), 
   rating) 
}

接下来,我们将提取实际评分,并将ratings RDD 映射,使用户-物品对成为键,实际评分成为值。现在我们有了两个具有相同键形式的 RDD,我们可以将它们连接在一起,创建一个新的 RDD,其中包含每个用户-物品组合的实际和预测评分:

val ratingsAndPredictions = ratings.map{ 
  case Rating(user, product, rating) => ((user, product), rating) 
}.join(predictions)

最后,我们将通过使用reduce求和平方误差,并除以记录数量的count方法来计算 MSE:

val MSE = ratingsAndPredictions.map{ 
    case ((user, product), (actual, predicted)) =>  math.pow((actual - predicted), 2) 
}.reduce(_ + _) / ratingsAndPredictions.count 
println("Mean Squared Error = " + MSE)

输出如下:

Mean Squared Error = 0.08231947642632852

通常使用 RMSE,它只是 MSE 度量的平方根。这更具可解释性,因为它与基础数据(即本例中的评分)具有相同的单位。它相当于预测和实际评分之间差异的标准差。我们可以简单地计算如下:

val RMSE = math.sqrt(MSE) 
println("Root Mean Squared Error = " + RMSE)

上述代码将打印 RMSE:

Root Mean Squared Error = 0.2869137090247319

为了解释前面的结果,请记住以下定义。降低 RMSE 值意味着预测值与实际值的拟合更好。在解释 RMSE 时,请记住实际数据的最小值和最大值。

K 处的平均精度

K处的平均精度是数据集中所有实例的K 处的平均精度(APK)指标的平均值。APK 是信息检索常用的度量标准。APK 是对响应查询呈现的top-K文档的平均相关性分数的度量。对于每个查询实例,我们将top-K结果集与实际相关文档集进行比较,也就是查询的真实相关文档集。

在 APK 指标中,结果集的顺序很重要,如果结果文档既相关又相关文档在结果中排名较高,则 APK 得分会更高。因此,这是推荐系统的一个很好的指标;通常,我们会为每个用户计算top-K推荐的项目,并将这些项目呈现给用户。当然,我们更喜欢那些具有最高预测分数的项目的模型,这些项目在推荐列表的顶部呈现时,实际上是用户最相关的项目。APK 和其他基于排名的指标也更适合隐式数据集的评估指标;在这里,MSE 没有太多意义。

为了评估我们的模型,我们可以使用 APK,其中每个用户相当于一个查询,而top-K推荐项目集是文档结果集。相关文档,也就是在这种情况下的真相,是用户交互的项目集。因此,APK 试图衡量我们的模型在预测用户会发现相关并选择与之交互的项目方面有多好。

以下平均精度计算的代码基于github.com/benhamner/Metrics

更多关于 MAPK 的信息可以在www.kaggle.com/wiki/MeanAveragePrecision找到。

我们的计算 APK 的函数如下所示:

def avgPrecisionK(actual: Seq[Int], predicted: Seq[Int], k: Int): 
   Double = { 
    val predK = predicted.take(k) 
    var score = 0.0 
    var numHits = 0.0 
    for ((p, i) <- predK.zipWithIndex) { 
      if (actual.contains(p)) { 
        numHits += 1.0 
        score += numHits / (i.toDouble + 1.0) 
      } 
    } 
    if (actual.isEmpty) { 
      1.0 
    } else { 
      score / scala.math.min(actual.size, k).toDouble 
    } 
  }

如您所见,这需要输入一个与用户相关联的“实际”项目 ID 列表和另一个“预测”ID 列表,以便我们的估计对用户是相关的。

我们可以计算我们示例用户789的 APK 指标如下。首先,我们将提取用户的实际电影 ID,如下所示:

val actualMovies = moviesForUser.map(_.product)

输出如下:

actualMovies: Seq[Int] = ArrayBuffer(1012, 127, 475, 93, 1161, 286, 
   293, 9, 50, 294, 181, 1, 1008, 508, 284, 1017, 137, 111, 742, 248, 
   249, 1007, 591, 150, 276, 151, 129, 100, 741, 288, 762, 628, 124)

然后,我们将使用先前制作的电影推荐来使用K = 10计算 APK 得分:

val predictedMovies = topKRecs.map(_.product)

这是输出:

predictedMovies: Array[Int] = Array(27, 497, 633, 827, 602, 849, 401, 
   584, 1035, 1014)

以下代码将产生平均精度:

val apk10 = avgPrecisionK(actualMovies, predictedMovies, 10)

前面的代码将打印以下命令行:

apk10: Double = 0.0

在这种情况下,我们可以看到我们的模型并没有很好地预测这个用户的相关电影,因为 APK 得分为0

为了计算每个用户的 APK 并对其进行平均以计算整体 MAPK,我们需要为数据集中的每个用户生成推荐列表。虽然这在大规模上可能相当密集,但我们可以使用我们的 Spark 功能来分发计算。然而,一个限制是每个工作节点必须有完整的项目因子矩阵可用,以便它可以计算相关用户向量和所有项目向量之间的点积。当项目数量非常高时,这可能是一个问题,因为项目矩阵必须适合一个机器的内存中。

实际上,没有简单的方法可以解决这个限制。一种可能的方法是仅使用近似技术,如局部敏感哈希(en.wikipedia.org/wiki/Locality-sensitive_hashing),为总项目集的子集计算推荐。

我们现在将看看如何做。首先,我们将收集项目因子并从中形成一个DoubleMatrix对象:

val itemFactors = model.productFeatures.map { case (id, factor) => 
   factor }.collect() 
val itemMatrix = new DoubleMatrix(itemFactors) 
println(itemMatrix.rows, itemMatrix.columns)

前面代码的输出如下:

(1682,50)

这给我们一个具有1682行和50列的矩阵,这是我们从1682部电影中期望的因子维度为50的矩阵。接下来,我们将将项目矩阵作为广播变量分发,以便它在每个工作节点上都可用:

val imBroadcast = sc.broadcast(itemMatrix)

您将看到以下输出:

14/04/13 21:02:01 INFO MemoryStore: ensureFreeSpace(672960) called 
   with curMem=4006896, maxMem=311387750
14/04/13 21:02:01 INFO MemoryStore: Block broadcast_21 stored as 
   values to memory (estimated size 657.2 KB, free 292.5 MB)
imBroadcast: 
   org.apache.spark.broadcast.Broadcast[org.jblas.DoubleMatrix] = 
   Broadcast(21)

现在我们准备为每个用户计算推荐。我们将通过对每个用户因子应用map函数来执行用户因子向量和电影因子矩阵之间的矩阵乘法来实现这一点。结果是一个向量(长度为1682,即我们拥有的电影数量),其中包含每部电影的预测评分。然后,我们将按预测评分对这些预测进行排序:

val allRecs = model.userFeatures.map{ case (userId, array) => 
  val userVector = new DoubleMatrix(array) 
  val scores = imBroadcast.value.mmul(userVector) 
  val sortedWithId = scores.data.zipWithIndex.sortBy(-_._1) 
  val recommendedIds = sortedWithId.map(_._2 + 1).toSeq 
  (userId, recommendedIds) 
}

您将在屏幕上看到以下内容:

allRecs: org.apache.spark.rdd.RDD[(Int, Seq[Int])] = MappedRDD[269] 
   at map at <console>:29

我们现在有一个 RDD,其中包含每个用户 ID 的电影 ID 列表。这些电影 ID 按照估计的评分顺序排列。

请注意,我们需要将返回的电影 ID 加 1(如前面的代码片段中所示),因为项目因子矩阵是从 0 开始索引的,而我们的电影 ID 从1开始。

我们还需要每个用户的电影 ID 列表,作为actual参数传递给我们的 APK 函数。我们已经准备好了ratings RDD,所以我们可以从中提取用户和电影 ID。

如果我们使用 Spark 的groupBy操作符,我们将得到一个 RDD,其中包含每个用户 ID 的(userid, movieid)对列表(因为用户 ID 是我们执行groupBy操作的键),如下所示:

val userMovies = ratings.map{ case Rating(user, product, rating) 
   => (user, product) }.groupBy(_._1)

上述代码的输出如下:

userMovies: org.apache.spark.rdd.RDD[(Int, Seq[(Int, Int)])] = 
  MapPartitionsRDD[277] at groupBy at <console>:21

最后,我们可以使用 Spark 的join操作符在用户 ID 键上将这两个 RDD 连接在一起。然后,对于每个用户,我们有实际和预测的电影 ID 列表,我们可以将其传递给我们的 APK 函数。类似于我们计算 MSE 的方式,我们将使用reduce操作来对这些 APK 分数进行求和,并除以用户数量,即allRecs RDD 的计数,如下面的代码所示:

val K = 10 
val MAPK = allRecs.join(userMovies).map{ case (userId, (predicted, actualWithIds)) => 
  val actual = actualWithIds.map(_._2).toSeq 
  avgPrecisionK(actual, predicted, K) 
}.reduce(_ + _) / allRecs.count 
println("Mean Average Precision at K = " + MAPK)

上述代码将打印K处的平均精度如下:

Mean Average Precision at K = 0.030486963254725705

我们的模型实现了一个相当低的 MAPK。但是,请注意,推荐任务的典型值通常相对较低,特别是如果项目集非常大的话。

尝试一些lambdarank(如果您使用 ALS 的隐式版本,则还有alpha)的参数设置,并查看是否可以找到基于 RMSE 和 MAPK 评估指标表现更好的模型。

使用 MLlib 的内置评估函数

虽然我们已经从头开始计算了 MSE、RMSE 和 MAPK,这是一个有用的学习练习,但是 MLlib 提供了方便的函数来在RegressionMetricsRankingMetrics类中为我们执行这些操作。

RMSE 和 MSE

首先,我们将使用RegressionMetrics计算 MSE 和 RMSE 指标。我们将通过传入表示每个数据点的预测和真实值的键值对 RDD 来实例化RegressionMetrics实例,如下面的代码片段所示。在这里,我们将再次使用我们在之前示例中计算的ratingsAndPredictions RDD:

import org.apache.spark.mllib.evaluation.RegressionMetrics 
val predictedAndTrue = ratingsAndPredictions.map { case ((user, 
   product), (predicted, actual)) => (predicted, actual) } 
val regressionMetrics = new RegressionMetrics(predictedAndTrue)

然后,我们可以访问各种指标,包括 MSE 和 RMSE。我们将在这里打印出这些指标:

println("Mean Squared Error = " + 
   regressionMetrics.meanSquaredError) 
println("Root Mean Squared Error = " + 
   regressionMetrics.rootMeanSquaredError)

在以下命令行中,您将看到 MSE 和 RMSE 的输出与我们之前计算的指标完全相同:

Mean Squared Error = 0.08231947642632852
Root Mean Squared Error = 0.2869137090247319

MAP

正如我们对 MSE 和 RMSE 所做的那样,我们可以使用 MLlib 的RankingMetrics类来计算基于排名的评估指标。类似地,与我们自己的平均精度函数一样,我们需要传入一个键值对的 RDD,其中键是用户的预测项目 ID 数组,而值是实际项目 ID 的数组。

RankingMetrics中,平均精度在 K 函数的实现与我们的略有不同,因此我们将得到不同的结果。但是,如果我们选择K非常高(比如至少与我们的项目集中的项目数量一样高),则整体平均精度(MAP,不使用 K 阈值)的计算与我们的函数相同。

首先,我们将使用RankingMetrics计算 MAP 如下:

import org.apache.spark.mllib.evaluation.RankingMetrics 
val predictedAndTrueForRanking = allRecs.join(userMovies).map{ 
   case (userId, (predicted, actualWithIds)) => 
    val actual = actualWithIds.map(_._2) 
    (predicted.toArray, actual.toArray) 
} 
val rankingMetrics = new 
   RankingMetrics(predictedAndTrueForRanking) 
println("Mean Average Precision = " + 
   rankingMetrics.meanAveragePrecision)

您将在屏幕上看到以下输出:

Mean Average Precision = 0.07171412913757183

接下来,我们将使用我们的函数以与之前完全相同的方式计算 MAP,只是将K设置为一个非常高的值,比如2000

val MAPK2000 = allRecs.join(userMovies).map{ case (userId, 
   (predicted, actualWithIds)) => 
  val actual = actualWithIds.map(_._2).toSeq 
  avgPrecisionK(actual, predicted, 2000) 
}.reduce(_ + _) / allRecs.count 
println("Mean Average Precision = " + MAPK2000)

您将看到我们自己函数计算的 MAP 与使用RankingMetrics计算的 MAP 相同:

Mean Average Precision = 0.07171412913757186.

我们将不在本章涵盖交叉验证,因为我们将在接下来的几章中提供详细的处理。但是,请注意,探讨在即将到来的章节中探索的交叉验证技术可以用于使用 MSE、RMSE 和 MAP 等性能指标来评估推荐模型的性能,这些指标我们在本节中已经涵盖。

FP-Growth 算法

我们将应用 FP-Growth 算法来找出经常推荐的电影。

FP-Growth 算法已在 Han 等人的论文中描述,Mining frequent patterns without candidate generation,可在dx.doi.org/10.1145/335191.335372上找到,其中FP代表frequent pattern。对于给定的交易数据集,FP-Growth 的第一步是计算项目频率并识别频繁项目。FP-Growth 算法实现的第二步使用后缀树(FP-tree)结构来编码交易;这是在不显式生成候选集的情况下完成的,通常对于大型数据集来说生成候选集是昂贵的。

FP-Growth 基本示例

让我们从一个非常简单的随机数字数据集开始:

val transactions = Seq( 
      "r z h k p", 
      "z y x w v u t s", 
      "s x o n r", 
      "x z y m t s q e", 
      "z", 
      "x z y r q t p") 
      .map(_.split(" "))

我们将找出最频繁的项目(在本例中是字符)。首先,我们将按如下方式获取 Spark 上下文:

val sc = new SparkContext("local[2]", "Chapter 5 App")

将我们的数据转换为 RDD:

val rdd = sc.parallelize(transactions, 2).cache()

初始化FPGrowth实例:

val fpg = new FPGrowth()

FP-Growth 可以配置以下参数:

  • minSupport:被识别为频繁项集的最小支持数。例如,如果一个项目在 10 个交易中出现 3 次,则其支持率为 3/10=0.3。

  • numPartitions:要分发工作的分区数。

设置minsupport和 FP-Growth 实例的分区数,并在 RDD 对象上调用 run。分区数应设置为数据集中的分区数--数据将从中加载的工作节点数,如下所示:

val model = fpg.setMinSupport(0.2).setNumPartitions(1).run(rdd)

获取输出的项目集并打印:

model.freqItemsets.collect().foreach { 
itemset => 
        println(itemset.items.mkString( 
"[", ",", "]") + ", " + itemset.freq 
  )

前面代码的输出如下,您可以看到[Z]出现最多:

[s], 3
[s,x], 3
[s,x,z], 2
[s,z], 2
[r], 3
[r,x], 2
[r,z], 2
[y], 3
[y,s], 2
[y,s,x], 2
[y,s,x,z], 2
[y,s,z], 2
[y,x], 3
[y,x,z], 3
[y,t], 3
[y,t,s], 2
[y,t,s,x], 2
[y,t,s,x,z], 2
[y,t,s,z], 2
[y,t,x], 3
[y,t,x,z], 3
[y,t,z], 3
[y,z], 3
[q], 2
[q,y], 2
[q,y,x], 2
[q,y,x,z], 2
[q,y,t], 2
[q,y,t,x], 2
[q,y,t,x,z], 2
[q,y,t,z], 2
[q,y,z], 2
[q,x], 2
[q,x,z], 2
[q,t], 2
[q,t,x], 2
[q,t,x,z], 2
[q,t,z], 2
[q,z], 2
[x], 4
[x,z], 3
[t], 3
[t,s], 2
[t,s,x], 2
[t,s,x,z], 2
[t,s,z], 2
[t,x], 3
[t,x,z], 3
[t,z], 3
[p], 2
[p,r], 2
[p,r,z], 2
[p,z], 2
[z], 5

应用于 Movie Lens 数据的 FP-Growth

让我们将算法应用于 Movie Lens 数据,以找到我们频繁的电影标题:

  1. 通过编写以下代码行来实例化SparkContext
        val sc = Util.sc 
        val rawData = Util.getUserData() 
        rawData.first()

  1. 获取原始评分并通过编写以下代码行打印第一个:
        val rawRatings = rawData.map(_.split("t").take(3)) 
        rawRatings.first() 
        val ratings = rawRatings.map { case Array(user, movie, 
           rating) => 
        Rating(user.toInt, movie.toInt, rating.toDouble) } 
            val ratingsFirst = ratings.first() 
        println(ratingsFirst)

  1. 加载电影数据并获取标题如下:
        val movies = Util.getMovieData() 
        val titles = movies.map(line => 
        line.split("|").take(2)).map(array 
        => (array(0).toInt, array(1))).collectAsMap() 
        titles(123)

  1. 接下来,我们将使用 FP-Growth 算法找出从 501 到 900 号用户中 400 个用户最频繁的电影。

  2. 首先通过编写以下代码行创建 FP-Growth 模型:

        val model = fpg 
              .setMinSupport(0.1) 
              .setNumPartitions(1) 
              .run(rddx)

  1. 其中0.1是要考虑的最小截止值,rddx是加载到 400 个用户的原始电影评分的 RDD。一旦我们有了模型,我们可以迭代overitemsetritemset并打印结果。

完整的代码清单在此处给出,并且也可以在github.com/ml-resources/spark-ml/blob/branch-ed2/Chapter_05/scala-spark-app/src/main/scala/MovieLensFPGrowthApp.scala找到。

可以通过编写以下代码行来完成:

            var eRDD = sc.emptyRDD 
            var z = Seq[String]() 

            val l = ListBuffer() 
            val aj = new ArrayString 
            var i = 0 
            for( a <- 501 to 900) { 
              val moviesForUserX = ratings.keyBy(_.user). 
                lookup(a) 
             val moviesForUserX_10 = 
               moviesForUserX.sortBy(-_.rating).take(10) 
             val moviesForUserX_10_1 = moviesForUserX_10.map
               (r => r.product) 
             var temp = "" 
             for( x <- moviesForUserX_10_1){ 
                if(temp.equals("")) 
                  temp = x.toString 
                else { 
                  temp =  temp + " " + x 
                } 
             } 
             aj(i) = temp 
             i += 1 
            } 
            z = aj 
            val transaction = z.map(_.split(" ")) 
            val rddx = sc.parallelize(transaction, 2).cache() 
            val fpg = new FPGrowth() 
            val model = fpg 
              .setMinSupport(0.1) 
              .setNumPartitions(1) 
              .run(rddx) 
            model.freqItemsets.collect().foreach { itemset => 
              println(itemset.items.mkString("[", ",", "]") 
                + ", " + itemset.freq) 
            } 
            sc.stop()

前面示例的输出如下:

        [302], 40
 [258], 59
 [100], 49
 [286], 50
 [181], 45
 [127], 60
 [313], 59
 [300], 49
 [50], 94

这为用户 ID 501 到 900 提供了具有最大频率的电影。

摘要

在本章中,我们使用 Spark 的 ML 和 MLlib 库来训练协同过滤推荐模型,并学习如何使用该模型来预测给定用户可能偏好的项目。我们还使用我们的模型来找到与给定项目相似或相关的项目。最后,我们探索了评估我们推荐模型的预测能力的常见指标。

在下一章中,您将学习如何使用 Spark 训练模型来对数据进行分类,并使用标准评估机制来衡量模型的性能。

第六章:使用 Spark 构建分类模型

在本章中,您将学习分类模型的基础知识,以及它们在各种情境中的应用。分类通常指将事物分类到不同的类别中。在分类模型的情况下,我们通常希望基于一组特征分配类别。这些特征可能代表与物品或对象、事件或背景相关的变量,或者这些变量的组合。

最简单的分类形式是当我们有两个类别时;这被称为二元分类。其中一个类通常被标记为正类(分配标签 1),而另一个被标记为负类(分配标签-1,有时为 0)。下图显示了一个具有两个类的简单示例。在这种情况下,输入特征具有两个维度,并且特征值在图中的 x 和 y 轴上表示。我们的任务是训练一个模型,可以将这个二维空间中的新数据点分类为一个类(红色)或另一个类(蓝色)。

一个简单的二元分类问题

如果我们有超过两个类别,我们将称之为多类分类,类别通常使用从 0 开始的整数编号(例如,五个不同的类别的标签范围从 0 到 4)。示例如下图所示。再次强调,为了便于说明,假设输入特征是二维的:

一个简单的多类分类问题

分类是一种监督学习的形式,我们通过包含已知目标或感兴趣结果的训练示例来训练模型(即,模型受这些示例结果的监督)。分类模型可以在许多情况下使用,但一些常见的例子包括以下几种:

  • 预测互联网用户点击在线广告的概率;在这里,类别的性质是二元的(即点击或不点击)

  • 检测欺诈;同样,在这种情况下,类别通常是二元的(欺诈或无欺诈)

  • 预测贷款违约(二元)

  • 对图像、视频或声音进行分类(通常是多类,可能有很多不同的类)

  • 将新闻文章、网页或其他内容分配到类别或标签中(多类)

  • 发现电子邮件和网络垃圾邮件、网络入侵和其他恶意行为(二元或多类)

  • 检测故障情况,例如计算机系统或网络中的故障

  • 按照客户或用户购买产品或使用服务的概率对其进行排名

  • 预测可能停止使用产品、服务或提供者的客户或用户(称为流失)

这只是一些可能的用例。事实上,可以说分类是现代企业中最广泛使用的机器学习和统计技术之一,尤其是在线企业。

在本章中,我们将进行以下操作:

  • 讨论 ML 库中可用的分类模型类型

  • 使用 Spark 从原始输入数据中提取适当的特征

  • 使用 ML 库训练多个分类模型

  • 使用我们的分类模型进行预测

  • 应用多种标准评估技术来评估我们模型的预测性能

  • 说明如何使用第四章中的一些特征提取方法来改善模型性能,使用 Spark 获取、处理和准备数据

  • 探索参数调整对模型性能的影响,并学习如何使用交叉验证来选择最优的模型参数

分类模型的类型

我们将探讨 Spark 中可用的三种常见分类模型:线性模型、决策树和朴素贝叶斯模型。线性模型虽然较为简单,但相对容易扩展到非常大的数据集。决策树是一种强大的非线性技术,可能更难扩展(幸运的是,ML 库会为我们处理这个问题!)并且训练时计算量更大,但在许多情况下提供领先的性能。朴素贝叶斯模型更简单,但易于高效训练和并行化(事实上,它们只需要对数据集进行一次遍历)。在适当的特征工程使用的情况下,它们也可以在许多情况下提供合理的性能。朴素贝叶斯模型还提供了一个良好的基准模型,可以用来衡量其他模型的性能。

目前,Spark 的 ML 库支持线性模型、决策树和朴素贝叶斯模型的二元分类,以及决策树和朴素贝叶斯模型的多类分类。在本书中,为了简化示例,我们将专注于二元情况。

线性模型

线性模型(或广义线性模型)的核心思想是,我们将感兴趣的预测结果(通常称为目标因变量)建模为应用于输入变量(也称为特征或自变量)的简单线性预测器的函数。

y = f(W^Tx)

在这里,y是目标变量,w是参数向量(称为权重向量),x是输入特征向量。

wTx是权重向量w和特征向量x的线性预测器(或向量点积)。对于这个线性预测器,我们应用了一个函数f(称为链接函数)。

线性模型实际上可以用于分类和回归,只需改变链接函数。标准线性回归(在下一章中介绍)使用恒等链接(即y =W^Tx直接),而二元分类使用本文讨论的替代链接函数。

让我们来看一下在线广告的例子。在这种情况下,如果在网页上显示的广告(称为曝光)没有观察到点击,则目标变量将为 0(在数学处理中通常被分配为-1 的类标签)。如果发生了点击,则目标变量将为 1。每个曝光的特征向量将由与曝光事件相关的变量组成(例如与用户、网页、广告和广告商相关的特征,以及与事件背景相关的各种其他因素,如使用的设备类型、时间和地理位置)。

因此,我们希望找到一个模型,将给定的输入特征向量(广告曝光)映射到预测结果(点击或未点击)。为了对新数据点进行预测,我们将采用新的特征向量(未见过,因此我们不知道目标变量是什么),并计算与我们的权重向量的点积。然后应用相关的链接函数,结果就是我们的预测结果(在某些模型的情况下,应用阈值到预测结果)。

给定一组以特征向量和目标变量形式的输入数据,我们希望找到最适合数据的权重向量,即我们最小化模型预测和实际观察结果之间的某种误差。这个过程称为模型拟合、训练或优化。

更正式地说,我们试图找到最小化所有训练示例的损失(或错误)的权重向量,该损失是从某个损失函数计算出来的。损失函数将权重向量、特征向量和给定训练示例的实际结果作为输入,并输出损失。实际上,损失函数本身是由链接函数有效地指定的;因此,对于给定类型的分类或回归(即给定链接函数),存在相应的损失函数。

有关线性模型和损失函数的更多细节,请参阅Spark 编程指南中与二元分类相关的线性方法部分spark.apache.org/docs/latest/mllib-linear-methods.html#binary-classificationspark.apache.org/docs/latest/ml-classification-regression.html#linear-methods

另请参阅维基百科关于广义线性模型的条目en.wikipedia.org/wiki/Generalized_linear_model

虽然对线性模型和损失函数的详细处理超出了本书的范围,但 Spark ML 提供了两个适用于二元分类的损失函数(您可以从 Spark 文档中了解更多信息)。第一个是逻辑损失,它等同于一个称为逻辑回归的模型,而第二个是铰链损失,它等同于线性支持向量机SVM)。请注意,SVM 并不严格属于广义线性模型的统计框架,但可以像它一样使用,因为它本质上指定了损失和链接函数。

在下图中,我们展示了逻辑损失和铰链损失相对于实际零一损失的情况。零一损失是二元分类的真实损失--如果模型预测正确,则为零,如果模型预测错误,则为一。它实际上没有被使用的原因是它不是一个可微的损失函数,因此不可能轻松地计算梯度,因此非常难以优化。

其他损失函数是零一损失的近似,这使得优化成为可能:

逻辑、铰链和零一损失函数

前面的损失图是从 scikit-learn 示例调整而来的scikit-learn.org/stable/auto_examples/linear_model/plot_sgd_loss_functions.html

逻辑回归

逻辑回归是一个概率模型,也就是说,它的预测值介于 0 和 1 之间,对于二元分类,等同于模型对数据点属于正类的概率的估计。逻辑回归是最广泛使用的线性分类模型之一。

如前所述,逻辑回归中使用的链接函数是 logit 链接:

1 / (1 + exp(- W^Tx)) a

逻辑回归的相关损失函数是逻辑损失:

*log(1 + exp(-y W^Tx)) *

这里,y是实际的目标变量(正类别为 1,负类别为-1)。

多项式逻辑回归

多项式逻辑回归推广到多类问题;它允许结果变量有两个以上的类别。与二元逻辑回归一样,多项式逻辑回归也使用最大似然估计来评估概率。

多项式逻辑回归主要用于被解释变量是名义的情况。多项式逻辑回归是一个分类问题,其中观察到的特征和参数的线性组合可以用来计算依赖变量的每个特定结果的概率。

在本章中,我们将使用一个不同的数据集,而不是我们用于推荐模型的数据集,因为 MovieLens 数据对于我们解决分类问题并不多。我们将使用 Kaggle 上的一项竞赛数据集。该数据集由 StumbleUpon 提供,问题涉及对给定网页进行分类,判断其是短暂的(即短暂存在,很快就不再流行)还是长青的(即持续流行)在他们的网页内容推荐页面上。

此处使用的数据集可以从www.kaggle.com/c/stumbleupon/data下载。

下载训练数据(train.tsv)-您需要在下载数据集之前接受条款和条件。

您可以在www.kaggle.com/c/stumbleupon找到有关该竞赛的更多信息。

可以在github.com/ml-resources/spark-ml/tree/branch-ed2/Chapter_06/2.0.0/src/scala/org/sparksamples/classification/stumbleupon找到开始的代码列表。

以下是使用 Spark SQLContext 存储为临时表的 StumbleUpon 数据集的一瞥:

可视化 StumbleUpon 数据集

我们运行了自定义逻辑,将特征数量减少到两个,以便我们可以在二维平面上可视化数据集,保持数据集中的线条不变。

{ 
 val sc = new SparkContext("local[1]", "Classification") 

  // get StumbleUpon dataset 'https://www.kaggle.com/c/stumbleupon' 
  val records = sc.textFile( 
   SparkConstants.PATH + "data/train_noheader.tsv").map( 
   line => line.split("\t")) 

  val data_persistent = records.map { r => 
    val trimmed = r.map(_.replaceAll("\"", "")) 
    val label = trimmed(r.size - 1).toInt 
    val features = trimmed.slice(4, r.size - 1).map( 
     d => if (d == "?") 0.0 else d.toDouble) 
    val len = features.size.toInt 
    val len_2 = math.floor(len/2).toInt 
    val x = features.slice(0,len_2) 

    val y = features.slice(len_2 -1 ,len ) 
    var i=0 
    var sum_x = 0.0 
    var sum_y = 0.0 
    while (i < x.length) { 
    sum_x += x(i) 
    i += 1 
 } 

 i = 0 
 while (i < y.length) { 
   sum_y += y(i) 
   i += 1 
 } 

 if (sum_y != 0.0) { 
    if(sum_x != 0.0) { 
       math.log(sum_x) + "," + math.log(sum_y) 
    }else { 
       sum_x + "," + math.log(sum_y) 
    }   
 }else { 
    if(sum_x != 0.0) { 
         math.log(sum_x) + "," + 0.0 
    }else { 
        sum_x + "," + 0.0 
    } 
  } 

} 
val dataone = data_persistent.first() 
  data_persistent.saveAsTextFile(SparkConstants.PATH + 
   "/results/raw-input-log") 
  sc.stop() 

} 

一旦我们将数据转换为二维格式,就会对xy应用对数尺度以方便绘图。在我们的情况下,我们使用 D3.js 进行绘图,如下所示。这些数据将被分类为两类,并且我们将使用相同的基础图像来显示分类:

从 Kaggle/StumbleUpon 长青分类数据集中提取特征

在开始之前,我们将删除文件的第一行列名标题,以便我们更容易在 Spark 中处理数据。切换到您下载数据的目录(这里称为PATH),运行以下命令以删除第一行,并将结果导出到一个名为train_noheader.tsv的新文件中:

  > sed 1d train.tsv > train_noheader.tsv 

现在,我们准备启动我们的 Spark shell(记得从您的 Spark 安装目录运行此命令):

  >./bin/spark-shell --driver-memory 4g  

您可以直接在 Spark shell 中输入本章剩余部分的代码。

与之前章节类似,我们将将原始训练数据加载到 RDD 中,并进行检查:

val rawData = sc.textFile("/PATH/train_noheader.tsv") 
val records = rawData.map(line => line.split("\t")) 
records.first() 

屏幕上会看到以下内容:

Array[String] = Array("http://www.bloomberg.com/news/2010-12-23/ibm-predicts-holographic-calls-air-breathing-batteries-by-2015.html", "4042", ...  

您可以通过阅读数据集页面上的概述来检查可用的字段,如前面提到的。前两列包含页面的 URL 和 ID。下一列包含一些原始文本内容。下一列包含分配给页面的类别。接下来的 22 列包含各种数字或分类特征。最后一列包含目标--1 表示长青,而 0 表示非长青。

我们将从直接使用可用的数字特征开始。由于每个分类变量都是二进制的,我们已经对这些变量进行了1-of-k编码,因此我们不需要进行进一步的特征提取。

由于数据格式的原因,在初始处理过程中,我们将不得不进行一些数据清理,去除额外的引号字符(")。数据集中还存在缺失值;它们由"?"字符表示。在这种情况下,我们将简单地为这些缺失值分配一个零值。

import org.apache.spark.mllib.regression.LabeledPoint 
import org.apache.spark.mllib.linalg.Vectors 
val data = records.map { r => 
  val trimmed = r.map(_.replaceAll("\"", "")) 
  val label = trimmed(r.size - 1).toInt 
  val features = trimmed.slice(4, r.size - 1).map(d => if (d ==   "?") 0.0 else d.toDouble) 
  LabeledPoint(label, Vectors.dense(features)) 
} 

在上述代码中,我们从最后一列中提取了label变量,并在清理和处理缺失值后,提取了列 5 到 25 的features数组。我们将label变量转换为整数值,将features变量转换为Array[Double]。最后,我们将labelfeatures包装在LabeledPoint实例中,将特征转换为 MLlib 向量。

我们还将缓存数据并计算数据点的数量如下:

data.cache 
val numData = data.count 

您将看到numData的值为7395

稍后我们将更详细地探索数据集,但现在我们会告诉您数值数据中有一些负特征值。正如我们之前看到的,朴素贝叶斯模型需要非负特征,并且如果遇到负值,将会抛出错误。因此,现在我们将通过将任何负特征值设置为零来为朴素贝叶斯模型创建我们输入特征向量的版本。

val nbData = records.map { r => 
  val trimmed = r.map(_.replaceAll("\"", "")) 
  val label = trimmed(r.size - 1).toInt 
  val features = trimmed.slice(4, r.size - 1).map(d => if (d ==  
  "?") 0.0 else d.toDouble).map(d => if (d < 0) 0.0 else d) 
  LabeledPoint(label, Vectors.dense(features)) 
}  

StumbleUponExecutor

StumbleUponExecutor (github.com/ml-resources/spark-ml/blob/branch-ed2/Chapter_06/2.0.0/scala-spark-app/src/main/scala/org/sparksamples/classification/stumbleupon/StumbleUponExecutor.scala) 对象可用于选择和运行相应的分类模型;例如,要运行LogisiticRegression并执行逻辑回归管道,将程序参数设置为 LR。有关其他命令,请参考以下代码片段:

case "LR" => LogisticRegressionPipeline.logisticRegressionPipeline(vectorAssembler, dataFrame) 

case "DT" => DecisionTreePipeline.decisionTreePipeline(vectorAssembler, dataFrame) 

case "RF" => RandomForestPipeline.randomForestPipeline(vectorAssembler, dataFrame) 

case "GBT" => GradientBoostedTreePipeline.gradientBoostedTreePipeline(vectorAssembler, dataFrame) 

case "NB" => NaiveBayesPipeline.naiveBayesPipeline(vectorAssembler, dataFrame) 

case "SVM" => SVMPipeline.svmPipeline(sparkContext) 

让我们通过将 StumbleUpon 数据集分成 80%的训练集和 20%的测试集来进行训练;使用LogisticRegressionTrainValidationSplit从 Spark 构建模型,并获得关于测试数据的评估指标:

// create logisitic regression object 
val lr = new LogisticRegression() 

为了创建一个管道对象,我们将使用ParamGridBuilderParamGridBuilder用于构建参数网格,这是一个供估计器选择或搜索的参数列表,以便进行最佳模型选择。您可以在以下链接找到更多详细信息:

spark.apache.org/docs/2.0.0/api/java/org/apache/spark/ml/tuning/ParamGridBuilder.html

-------------------------------------------------------------------------------------------
org.apache.spark.ml.tuning 
Class ParamGridBuilder 
Builder for a param grid used in grid search-based model selection. 
-------------------------------------------------------------------------------------------

// set params using ParamGrid builder 
val paramGrid = new ParamGridBuilder() 
  .addGrid(lr.regParam, Array(0.1, 0.01)) 
  .addGrid(lr.fitIntercept) 
  .addGrid(lr.elasticNetParam, Array(0.0, 0.25, 0.5, 0.75, 1.0)) 
  .build() 

// set pipeline to run the vector assembler and logistic regression // estimator 
val pipeline = new Pipeline().setStages(Array(vectorAssembler, 
 lr)) 

我们将使用TrainValidationSplit进行超参数调整。与CrossValidator相比,它对每个参数组合进行一次评估,而不是k次。它创建一个单一的训练、测试数据集对,并且基于trainRatio参数进行训练和测试的拆分。

Trainvalidationsplit接受Estimator,在estimatorParamMaps参数中提供的一组ParamMaps,以及Evaluator。有关更多信息,请参考以下链接:

spark.apache.org/docs/latest/api/scala/index.html#org.apache.spark.ml.tuning.TrainValidationSplit

-------------------------------------------------------------------------------------------
org.apache.spark.ml.tuning 
Class TraiValidationSplit 
Validation for hyper-parameter tuning. Randomly splits the input dataset into train and validation sets. 
-------------------------------------------------------------------------------------------

// use train validation split and regression evaluator for //evaluation 
val trainValidationSplit = new TrainValidationSplit() 
  .setEstimator(pipeline) 
  .setEvaluator(new RegressionEvaluator) 
  .setEstimatorParamMaps(paramGrid) 
  .setTrainRatio(0.8) 

val Array(training, test) = dataFrame.randomSplit(Array(0.8, 0.2), seed = 12345) 

// run the estimator 
val model = trainValidationSplit.fit(training) 

val holdout = model.transform(test).select("prediction","label") 

// have to do a type conversion for RegressionMetrics 
val rm = new RegressionMetrics(holdout.rdd.map(x => (x(0).asInstanceOf[Double], x(1).asInstanceOf[Double]))) 

logger.info("Test Metrics") 
logger.info("Test Explained Variance:") 
logger.info(rm.explainedVariance) 
logger.info("Test R² Coef:") 
logger.info(rm.r2) 
logger.info("Test MSE:") 
logger.info(rm.meanSquaredError) 
logger.info("Test RMSE:") 
logger.info(rm.rootMeanSquaredError) 

val totalPoints = test.count() 
val lrTotalCorrect = holdout.rdd.map(
  x => if (x(0).asInstanceOf[Double] == x(1).asInstanceOf[Double]) 
  1 else 0).sum() 
val accuracy = lrTotalCorrect/totalPoints 
println("Accuracy of LogisticRegression is: ", accuracy) 

您将看到以下输出显示:

Accuracy of LogisticRegression is: ,0.6374918354016982
Mean Squared Error:,0.3625081645983018
Root Mean Squared Error:,0.6020865092312747  

代码清单可以在此链接找到:github.com/ml-resources/spark-ml/blob/branch-ed2/Chapter_06/2.0.0/scala-spark-app/src/main/scala/org/sparksamples/classification/stumbleupon/LogisticRegressionPipeline.scala

在这两个截图中显示了预测和实际数据的二维散点图可视化:

线性支持向量机

SVM 是回归和分类的强大且流行的技术。与逻辑回归不同,它不是概率模型,而是根据模型评估是正面还是负面来预测类别。

SVM 链接函数是恒等链接,因此预测的结果如下:

y = w^Tx

因此,如果wTx的评估大于或等于阈值 0,SVM 将把数据点分配给类 1;否则,SVM 将把它分配给类 0。

(此阈值是 SVM 的模型参数,可以进行调整)。

SVM 的损失函数称为铰链损失,定义如下:

max(0, 1 - yw^Tx)

SVM 是最大间隔分类器--它试图找到一个权重向量,使得类尽可能分开。已经证明在许多分类任务上表现良好,线性变体可以扩展到非常大的数据集。

SVM 有大量的理论支持,超出了本书的范围,但您可以访问en.wikipedia.org/wiki/Support_vector_machinewww.support-vector-machines.org/了解更多详情。

在下图中,我们根据之前解释的简单二元分类示例,绘制了逻辑回归(蓝线)和线性 SVM(红线)的不同决策函数。

您可以看到 SVM 有效地聚焦于距离决策函数最近的点(边际线用红色虚线显示):

逻辑回归和线性 SVM 的二元分类决策函数

让我们通过将 StumbleUpon 数据集分为 80%的训练集和 20%的测试集,使用 Spark 中的 SVM 构建模型,并在测试数据周围获取评估指标:

// read stumble upon dataset as rdd 
val records = sc.textFile("/home/ubuntu/work/ml-resources/spark-ml/train_noheader.tsv").map(line => line.split("\t")) 

// get features and label from the rdd 
val data = records.map { r => 
    val trimmed = r.map(_.replaceAll("\"", "")) 
    val label = trimmed(r.size - 1).toInt 
    val features = trimmed.slice(4, r.size - 1).map(d => if (d == "?") 0.0 else d.toDouble) 
    LabeledPoint(label, Vectors.dense(features)) 
  } 

  // params for SVM 
  val numIterations = 10 

  // Run training algorithm to build the model 
  val svmModel = SVMWithSGD.train(data, numIterations) 

  // Clear the default threshold. 
  svmModel.clearThreshold() 

  val svmTotalCorrect = data.map { point => 
    if(svmModel.predict(point.features) == point.label) 1 else 0 
  }.sum() 

  // calculate accuracy 
  val svmAccuracy = svmTotalCorrect / data.count() 
  println(svmAccuracy) 
} 

您将看到以下输出显示:

 Area under ROC = 1.0  

代码清单可在github.com/ml-resources/spark-ml/blob/branch-ed2/Chapter_06/2.0.0/scala-spark-app/src/main/scala/org/sparksamples/classification/stumbleupon/SVMPipeline.scala找到。

朴素贝叶斯模型

朴素贝叶斯是一个概率模型,通过计算数据点属于给定类的概率来进行预测。朴素贝叶斯模型假设每个特征对分配给类的概率做出独立贡献(假设特征之间具有条件独立性)。

由于这个假设,每个类的概率成为特征出现给定类的概率以及该类的概率的乘积函数。这使得训练模型变得可行且相对简单。类先验概率和特征条件概率都是从数据集中的频率估计得出的。分类是通过选择最可能的类来执行的,给定特征和类概率。

还对特征分布做出了假设(其参数是从数据中估计得出的)。Spark ML 实现了多项式朴素贝叶斯,假设特征分布是代表特征的非负频率计数的多项式分布。

它适用于二元特征(例如,1-of-k 编码的分类特征),通常用于文本和文档分类(正如我们在第四章中看到的,使用 Spark 获取、处理和准备数据,词袋向量是典型的特征表示)。

在 Spark 文档的ML - 朴素贝叶斯部分查看更多信息,网址为spark.apache.org/docs/latest/ml-classification-regression.html#naive-bayes

维基百科页面en.wikipedia.org/wiki/Naive_Bayes_classifier对数学公式有更详细的解释。

在下图中,我们展示了朴素贝叶斯在我们简单的二元分类示例上的决策函数:

朴素贝叶斯的决策函数用于二元分类

让我们将 StumbleUpon 数据集分成 80%的训练集和 20%的测试集,使用 Spark 中的朴素贝叶斯构建模型,并在测试数据周围获取评估指标如下:

// split data randomly into training and testing dataset 
val Array(training, test) = dataFrame.randomSplit(Array(0.8, 0.2), seed = 12345) 

// Set up Pipeline 
val stages = new mutable.ArrayBuffer[PipelineStage]() 

val labelIndexer = new StringIndexer() 
  .setInputCol("label") 
  .setOutputCol("indexedLabel") 
stages += labelIndexer 

// create naive bayes model 
val nb = new NaiveBayes() 

stages += vectorAssembler 
stages += nb 
val pipeline = new Pipeline().setStages(stages.toArray) 

// Fit the Pipeline 
val startTime = System.nanoTime() 
val model = pipeline.fit(training) 
val elapsedTime = (System.nanoTime() - startTime) / 1e9 
println(s"Training time: $elapsedTime seconds") 

val holdout = model.transform(test).select("prediction","label") 

// Select (prediction, true label) and compute test error 
val evaluator = new MulticlassClassificationEvaluator() 
  .setLabelCol("label") 
  .setPredictionCol("prediction") 
  .setMetricName("accuracy") 
val mAccuracy = evaluator.evaluate(holdout) 
println("Test set accuracy = " + mAccuracy) 

您将看到以下输出显示:

Training time: 2.114725642 seconds
Accuracy: 0.5660377358490566   

完整的代码清单可在github.com/ml-resources/spark-ml/blob/branch-ed2/Chapter_06/2.0.0/scala-spark-app/src/main/scala/org/sparksamples/classification/stumbleupon/NaiveBayesPipeline.scala找到。

在这里显示了预测和实际数据的二维散点图的可视化:

决策树

决策树模型是一种强大的非概率技术,可以捕捉更复杂的非线性模式和特征交互。已经证明在许多任务上表现良好,相对容易理解和解释,可以处理分类和数值特征,并且不需要输入数据进行缩放或标准化。它们非常适合包含在集成方法中(例如,决策树模型的集成,称为决策森林)。

决策树模型构建了一棵树,其中叶子表示对类 0 或 1 的类分配,分支是一组特征。在下图中,我们展示了一个简单的决策树,其中二元结果是呆在家里去海滩。特征是外面的天气。

一个简单的决策树

决策树算法是自顶向下的方法,从根节点(或特征)开始,然后在每一步选择一个特征,该特征通过信息增益来衡量数据集的最佳分割。信息增益是从节点不纯度(标签在节点上相似或同质的程度)减去由分割创建的两个子节点的不纯度的加权和计算而来。对于分类任务,有两种可以用来选择最佳分割的度量。这些是基尼不纯度和熵。

有关决策树算法和分类的不纯度度量的更多细节,请参阅spark.apache.org/docs/latest/ml-classification-regression.html#decision-tree-classifier中的ML Library - Decision Tree部分的Spark 编程指南

在下面的截图中,我们已经绘制了决策树模型的决策边界,就像我们之前对其他模型所做的那样。我们可以看到决策树能够拟合复杂的非线性模型:

二元分类的决策树的决策函数

让我们将 StumbleUpon 数据集分成 80%的训练集和 20%的测试集,使用 Spark 中的决策树构建模型,并在测试数据周围获取评估指标如下:

// split data randomly into training and testing dataset 
val Array(training, test) = dataFrame.randomSplit(Array(0.8, 0.2), seed = 12345) 

// Set up Pipeline 
val stages = new mutable.ArrayBuffer[PipelineStage]() 

val labelIndexer = new StringIndexer() 
  .setInputCol("label") 
  .setOutputCol("indexedLabel") 
stages += labelIndexer 

// create Decision Tree Model 
val dt = new DecisionTreeClassifier() 
  .setFeaturesCol(vectorAssembler.getOutputCol) 
  .setLabelCol("indexedLabel") 
  .setMaxDepth(5) 
  .setMaxBins(32) 
  .setMinInstancesPerNode(1) 
  .setMinInfoGain(0.0) 
  .setCacheNodeIds(false) 
  .setCheckpointInterval(10) 

stages += vectorAssembler 
stages += dt 
val pipeline = new Pipeline().setStages(stages.toArray) 

// Fit the Pipeline 
val startTime = System.nanoTime() 
val model = pipeline.fit(training) 
val elapsedTime = (System.nanoTime() - startTime) / 1e9 
println(s"Training time: $elapsedTime seconds") 

val holdout = model.transform(test).select("prediction","label") 

// Select (prediction, true label) and compute test error 
val evaluator = new MulticlassClassificationEvaluator() 
  .setLabelCol("label") 
  .setPredictionCol("prediction") 
  .setMetricName("accuracy") 
val mAccuracy = evaluator.evaluate(holdout) 
println("Test set accuracy = " + mAccuracy) 

您将看到以下输出显示:

Accuracy: 0.3786163522012579  

代码清单可在github.com/ml-resources/spark-ml/blob/branch-ed2/Chapter_06/2.0.0/scala-spark-app/src/main/scala/org/sparksamples/classification/stumbleupon/DecisionTreePipeline.scala找到。

在下面的图中显示了二维散点图中预测和实际数据的可视化:

树的集成

集成方法是一种机器学习算法,它创建由一组其他基本模型组成的模型。Spark 机器学习支持两种主要的集成算法:随机森林和梯度提升树。

随机森林

随机森林被称为决策树的集成,由许多决策树组成。与决策树一样,随机森林可以处理分类特征,支持多类别分类,并且不需要特征缩放。

Spark ML 支持随机森林用于二元和多类别分类以及使用连续和分类特征进行回归。

让我们通过将样本 lib SVM 数据分为 80%的训练和 20%的测试,使用 Spark 中的随机森林分类器来构建模型,并获得关于测试数据的评估指标。模型可以被持久化并加载以供以后使用。

让我们通过将 StumbleUpon 数据集分为 80%的训练和 20%的测试,使用 Spark 中的随机森林树来构建模型,并获得关于测试数据的评估指标:

// split data randomly into training and testing dataset 
val Array(training, test) = dataFrame.randomSplit(Array(0.8, 0.2), seed = 12345) 

// Set up Pipeline 
val stages = new mutable.ArrayBuffer[PipelineStage]() 

val labelIndexer = new StringIndexer() 
  .setInputCol("label") 
  .setOutputCol("indexedLabel") 
stages += labelIndexer 

// create Random Forest Model 
val rf = new RandomForestClassifier() 
  .setFeaturesCol(vectorAssembler.getOutputCol) 
  .setLabelCol("indexedLabel") 
  .setNumTrees(20) 
  .setMaxDepth(5) 
  .setMaxBins(32) 
  .setMinInstancesPerNode(1) 
  .setMinInfoGain(0.0) 
  .setCacheNodeIds(false) 
  .setCheckpointInterval(10) 

stages += vectorAssembler 
stages += rf 
val pipeline = new Pipeline().setStages(stages.toArray) 

// Fit the Pipeline 
val startTime = System.nanoTime() 
val model = pipeline.fit(training) 
val elapsedTime = (System.nanoTime() - startTime) / 1e9 
println(s"Training time: $elapsedTime seconds") 

val holdout = model.transform(test).select("prediction","label") 

// Select (prediction, true label) and compute test error 
val evaluator = new MulticlassClassificationEvaluator() 
  .setLabelCol("label") 
  .setPredictionCol("prediction") 
  .setMetricName("accuracy") 
val mAccuracy = evaluator.evaluate(holdout) 
println("Test set accuracy = " + mAccuracy) 

您将看到以下输出显示:

Accuracy: 0.348  

完整的代码清单可在github.com/ml-resources/spark-ml/blob/branch-ed2/Chapter_06/2.0.0/scala-spark-app/src/main/scala/org/sparksamples/classification/stumbleupon/RandomForestPipeline.scala找到。

在这里显示了二维散点图中的预测和实际数据的可视化:

梯度提升树

梯度提升树是决策树的集成。梯度提升树迭代训练决策树以最小化损失函数。梯度提升树处理分类特征,支持多类别分类,并且不需要特征缩放。

Spark ML 使用现有的决策树实现梯度提升树。它支持分类和回归。

让我们通过将 StumbleUpon 数据集分为 80%的训练和 20%的测试,使用 Spark 中的梯度提升树来构建模型,并获得关于测试数据的评估指标:

// split data randomly into training and testing dataset 
val Array(training, test) = dataFrame.randomSplit(Array(0.8, 0.2), seed = 12345) 

// Set up Pipeline 
val stages = new mutable.ArrayBuffer[PipelineStage]() 

val labelIndexer = new StringIndexer() 
  .setInputCol("label") 
  .setOutputCol("indexedLabel") 
stages += labelIndexer 

// create GBT Model 
val gbt = new GBTClassifier() 
  .setFeaturesCol(vectorAssembler.getOutputCol) 
  .setLabelCol("indexedLabel") 
  .setMaxIter(10) 

stages += vectorAssembler 
stages += gbt 
val pipeline = new Pipeline().setStages(stages.toArray) 

// Fit the Pipeline 
val startTime = System.nanoTime() 
val model = pipeline.fit(training) 
val elapsedTime = (System.nanoTime() - startTime) / 1e9 
println(s"Training time: $elapsedTime seconds") 

val holdout = model.transform(test).select("prediction","label") 

// have to do a type conversion for RegressionMetrics 
val rm = new RegressionMetrics(holdout.rdd.map(x => (x(0).asInstanceOf[Double], x(1).asInstanceOf[Double]))) 

logger.info("Test Metrics") 
logger.info("Test Explained Variance:") 
logger.info(rm.explainedVariance) 
logger.info("Test R² Coef:") 
logger.info(rm.r2) 
logger.info("Test MSE:") 
logger.info(rm.meanSquaredError) 
logger.info("Test RMSE:") 
logger.info(rm.rootMeanSquaredError) 

val predictions = model.transform(test).select("prediction").rdd.map(_.getDouble(0)) 
val labels = model.transform(test).select("label").rdd.map(_.getDouble(0)) 
val accuracy = new MulticlassMetrics(predictions.zip(labels)).precision 
println(s"  Accuracy : $accuracy") 

您将看到以下输出显示:

Accuracy: 0.3647  

代码清单可以在github.com/ml-resources/spark-ml/blob/branch-ed2/Chapter_06/2.0.0/scala-spark-app/src/main/scala/org/sparksamples/classification/stumbleupon/GradientBoostedTreePipeline.scala找到。

在以下图表中显示了二维散点图中的预测可视化:

多层感知器分类器

神经网络是一个复杂的自适应系统,它根据通过它流动的信息改变其内部结构,使用权重。优化多层神经网络的权重称为反向传播。反向传播略微超出了本书的范围,并涉及激活函数和基本微积分。

多层感知器分类器基于前馈人工神经网络。它由多个层组成。每个神经层与网络中的下一个神经层完全连接,输入层中的节点表示输入数据。所有其他节点通过使用节点的权重和偏差执行输入的线性组合,并应用激活或链接函数将输入映射到输出。

让我们通过将样本libsvm数据分为 80%的训练和 20%的测试,使用 Spark 中的多层感知器分类器来构建模型,并获得关于测试数据的评估指标:

package org.sparksamples.classification.stumbleupon 

import org.apache.spark.ml.classification.MultilayerPerceptronClassifier 
import org.apache.spark.ml.evaluation.MulticlassClassificationEvaluator 
import org.apache.spark.sql.SparkSession 

// set VM Option as -Dspark.master=local[1] 
object MultilayerPerceptronClassifierExample { 

  def main(args: Array[String]): Unit = { 
    val spark = SparkSession 
      .builder 
      .appName("MultilayerPerceptronClassifierExample") 
      .getOrCreate() 

    // Load the data stored in LIBSVM format as a DataFrame. 
    val data = spark.read.format("libsvm") 
      .load("/Users/manpreet.singh/Sandbox/codehub/github/machinelearning/spark-ml/Chapter_06/2.0.0/scala-spark-app/src/main/scala/org/sparksamples/classification/dataset/spark-data/sample_multiclass_classification_data.txt") 

    // Split the data into train and test 
    val splits = data.randomSplit(Array(0.8, 0.2), seed = 1234L) 
    val train = splits(0) 
    val test = splits(1) 

    // specify layers for the neural network: 
    // input layer of size 4 (features),  
    //two intermediate of size 5 and 4 
    // and output of size 3 (classes) 
    val layers = ArrayInt 

    // create the trainer and set its parameters 
    val trainer = new MultilayerPerceptronClassifier() 
      .setLayers(layers) 
      .setBlockSize(128) 
      .setSeed(1234L) 
      .setMaxIter(100) 

    // train the model 
    val model = trainer.fit(train) 

    // compute accuracy on the test set 
    val result = model.transform(test) 
    val predictionAndLabels = result.select("prediction", "label") 
    val evaluator = new MulticlassClassificationEvaluator() 
      .setMetricName("accuracy") 

    println("Test set accuracy = " + 
     evaluator.evaluate(predictionAndLabels)) 

    spark.stop() 
  } 
} 

您将看到以下输出显示:

Precision = 1.0  

代码清单可在github.com/ml-resources/spark-ml/blob/branch-ed2/Chapter_06/2.0.0/scala-spark-app/src/main/scala/org/sparksamples/classification/stumbleupon/MultilayerPerceptronClassifierExample.scala找到。

在我们进一步进行之前,请注意以下特征提取和分类的示例使用 Spark v1.6 中的 MLLib 包。请按照之前提到的代码清单来使用 Spark v2.0 基于 Dataframe 的 API。截至 Spark 2.0,基于 RDD 的 API 已进入维护模式。

从数据中提取正确的特征

您可能还记得第四章中的内容,使用 Spark 获取、处理和准备数据,大多数机器学习模型都是在特征向量的数值数据上操作的。此外,对于监督学习方法,如分类和回归,我们需要提供目标变量(或在多类情况下的变量)以及特征向量。

MLlib 中的分类模型操作LabeledPoint的实例,它是目标变量(称为label)和feature向量的包装器。

case class LabeledPoint(label: Double, features: Vector) 


在大多数分类使用的示例中,您将遇到已经以向量格式存在的现有数据集,但在实践中,您通常会从需要转换为特征的原始数据开始。正如我们已经看到的,这可能涉及预处理和转换,如对数值特征进行分箱处理,对特征进行缩放和归一化,以及对分类特征使用 1-of-k 编码。

训练分类模型

现在我们已经从数据集中提取了一些基本特征并创建了我们的输入 RDD,我们已经准备好训练多个模型了。为了比较不同模型的性能和使用情况,我们将使用逻辑回归、SVM、朴素贝叶斯和决策树来训练一个模型。您会注意到,训练每个模型看起来几乎相同,尽管每个模型都有自己特定的模型参数,可以设置。Spark ML 在大多数情况下设置了合理的默认值,但在实践中,最佳参数设置应该使用评估技术来选择,我们将在本章后面介绍。

在 Kaggle/StumbleUpon 永久分类数据集上训练分类模型

现在,我们可以将 Spark ML 中的模型应用于我们的输入数据。首先,我们需要导入所需的类,并为每个模型设置一些最小输入参数。对于逻辑回归和 SVM,这是迭代次数,而对于决策树模型,这是最大树深度。

import  
org.apache.spark.mllib.classification.LogisticRegressionWithSGD 
import org.apache.spark.mllib.classification.SVMWithSGD 
import org.apache.spark.mllib.classification.NaiveBayes 
import org.apache.spark.mllib.tree.DecisionTree 
import org.apache.spark.mllib.tree.configuration.Algo 
import org.apache.spark.mllib.tree.impurity.Entropy  
val numIterations = 10 
val maxTreeDepth = 5 

现在,依次训练每个模型。首先,我们将训练逻辑回归模型如下:

val lrModel = LogisticRegressionWithSGD.train(data, numIterations) 

您将看到以下输出:

...
14/12/06 13:41:47 INFO DAGScheduler: Job 81 finished: reduce at RDDFunctions.scala:112, took 0.011968 s
14/12/06 13:41:47 INFO GradientDescent: GradientDescent.runMiniBatchSGD finished. Last 10 stochastic losses 0.6931471805599474, 1196521.395699124, Infinity, 1861127.002201189, Infinity, 2639638.049627607, Infinity, Infinity, Infinity, Infinity
lrModel: org.apache.spark.mllib.classification.LogisticRegressionModel = (weights=[-0.11372778986947886,-0.511619752777837, 
...  

接下来,我们将这样训练一个 SVM 模型:

val svmModel = SVMWithSGD.train(data, numIterations) 

您现在将看到以下输出:

...
14/12/06 13:43:08 INFO DAGScheduler: Job 94 finished: reduce at RDDFunctions.scala:112, took 0.007192 s
14/12/06 13:43:08 INFO GradientDescent: GradientDescent.runMiniBatchSGD finished. Last 10 stochastic losses 1.0, 2398226.619666797, 2196192.9647478117, 3057987.2024311484, 271452.9038284356, 3158131.191895948, 1041799.350498323, 1507522.941537049, 1754560.9909073508, 136866.76745605646
svmModel: org.apache.spark.mllib.classification.SVMModel = (weights=[-0.12218838697834929,-0.5275107581589767,
...  

然后,我们将训练朴素贝叶斯模型;请记住使用您特殊的非负特征数据集:

val nbModel = NaiveBayes.train(nbData) 

以下是输出:

...
14/12/06 13:44:48 INFO DAGScheduler: Job 95 finished: collect at NaiveBayes.scala:120, took 0.441273 s
nbModel: org.apache.spark.mllib.classification.NaiveBayesModel = org.apache.spark.mllib.classification.NaiveBayesModel@666ac612 
...  

最后,我们将训练我们的决策树。

val dtModel = DecisionTree.train(data, Algo.Classification, Entropy, maxTreeDepth) 

输出如下:

...
14/12/06 13:46:03 INFO DAGScheduler: Job 104 finished: collectAsMap at DecisionTree.scala:653, took 0.031338 s
...
total: 0.343024
findSplitsBins: 0.119499
findBestSplits: 0.200352
chooseSplits: 0.199705
dtModel: org.apache.spark.mllib.tree.model.DecisionTreeModel = DecisionTreeModel classifier of depth 5 with 61 nodes 
...  

请注意,我们将决策树的模式或算法设置为Classification,并使用Entropy不纯度度量。

使用分类模型

我们现在已经对我们的输入标签和特征进行了四个模型的训练。现在我们将看到如何使用这些模型对我们的数据集进行预测。目前,我们将使用相同的训练数据来说明每个模型的预测方法。

为 Kaggle/StumbleUpon 永久分类数据集生成预测

我们将以逻辑回归模型为例(其他模型使用方式相同):

val dataPoint = data.first 
val prediction = lrModel.predict(dataPoint.features) 

以下是输出:

prediction: Double = 1.0  

我们看到,在我们的训练数据集中,第一个数据点的模型预测标签为 1(即永久)。让我们检查这个数据点的真实标签。

val trueLabel = dataPoint.label 

您可以看到以下输出:

trueLabel: Double = 0.0  

所以,在这种情况下,我们的模型出错了!

我们还可以通过传入RDD[Vector]来批量进行预测:

val predictions = lrModel.predict(data.map(lp => lp.features)) 
predictions.take(5) 

以下是输出:

Array[Double] = Array(1.0, 1.0, 1.0, 1.0, 1.0)  

评估分类模型的性能

当我们使用我们的模型进行预测时,就像我们之前做的那样,我们如何知道预测是好还是不好?我们需要能够评估我们的模型的表现如何。在二元分类中常用的评估指标包括预测准确度和错误、精确度和召回率、精确-召回曲线下面积、接收器操作特征(ROC)曲线、ROC 曲线下面积(AUC)和 F-度量。

准确率和预测错误

二元分类的预测错误可能是可用的最简单的度量。它是被错误分类的训练示例数除以总示例数。同样,准确率是正确分类的示例数除以总示例数。

通过对每个输入特征进行预测并将其与真实标签进行比较,我们可以计算我们在训练数据中模型的准确率。我们将总结正确分类的实例数,并将其除以数据点的总数以获得平均分类准确率。

val lrTotalCorrect = data.map { point => 
  if (lrModel.predict(point.features) == point.label) 1 else 0 
}.sum  
val lrAccuracy = lrTotalCorrect / data.count 

输出如下:

lrAccuracy: Double = 0.5146720757268425  

这给我们带来了 51.5%的准确率,看起来并不特别令人印象深刻!我们的模型只正确分类了一半的训练示例,这似乎与随机机会一样好。

模型做出的预测通常不是完全 1 或 0。输出通常是一个实数,必须转换为类预测。这是通过分类器的决策或评分函数中的阈值来实现的。

例如,二元逻辑回归是一个概率模型,它在评分函数中返回类 1 的估计概率。因此,典型的决策阈值为 0.5。也就是说,如果被估计为类 1 的概率高于 50%,模型决定将该点分类为类 1;否则,它将被分类为类 0。

阈值本身实际上是一种可以在某些模型中进行调整的模型参数。它还在评估度量中发挥作用,我们现在将看到。

其他模型呢?让我们计算其他三个的准确率:

val svmTotalCorrect = data.map { point => 
  if (svmModel.predict(point.features) == point.label) 1 else 0 
}.sum 
val nbTotalCorrect = nbData.map { point => 
  if (nbModel.predict(point.features) == point.label) 1 else 0 
}.sum 

请注意,决策树预测阈值需要明确指定,如下所示:

val dtTotalCorrect = data.map { point => 
  val score = dtModel.predict(point.features) 
  val predicted = if (score > 0.5) 1 else 0  
  if (predicted == point.label) 1 else 0 
}.sum  

我们现在可以检查其他三个模型的准确性。首先是 SVM 模型,如下所示:

val svmAccuracy = svmTotalCorrect / numData 

以下是 SVM 模型的输出:

svmAccuracy: Double = 0.5146720757268425  

接下来是我们的朴素贝叶斯模型。

val nbAccuracy = nbTotalCorrect / numData 

输出如下:

nbAccuracy: Double = 0.5803921568627451  

最后,我们计算决策树的准确率:

val dtAccuracy = dtTotalCorrect / numData 

输出如下:

dtAccuracy: Double = 0.6482758620689655  

我们可以看到 SVM 和朴素贝叶斯的表现也相当糟糕。决策树模型的准确率为 65%,但这仍然不是特别高。

精确度和召回率

在信息检索中,精确度是结果质量的常用度量,而召回率是结果完整性的度量。

在二元分类环境中,精确度被定义为真正例数(即被正确预测为类 1 的示例数)除以真正例数和假正例数之和(即被错误预测为类 1 的示例数)。因此,我们可以看到,如果分类器预测为类 1 的每个示例实际上都是类 1(即没有假正例),则可以实现 1.0(或 100%)的精确度。

召回率被定义为真正例数除以真正例数和假反例数之和(即模型错误预测为类 0 的实例数)。我们可以看到,如果模型没有错过任何属于类 1 的示例(即没有假反例),则可以实现 1.0(或 100%)的召回率。

通常,精确度和召回率是相互关联的;通常,较高的精确度与较低的召回率相关,反之亦然。为了说明这一点,假设我们构建了一个总是预测类别 1 的模型。在这种情况下,模型预测将没有假阴性,因为模型总是预测 1;它不会错过任何类别 1。因此,对于这个模型,召回率将为 1.0。另一方面,假阳性率可能非常高,这意味着精确度会很低(这取决于数据集中类的确切分布)。

精确度和召回率作为独立的度量并不特别有用,但通常一起使用以形成一个聚合或平均度量。精确度和召回率也依赖于模型选择的阈值。

直观地,以下是一些模型将始终预测类别 1 的阈值水平。因此,它将具有召回率为 1,但很可能精确度较低。在足够高的阈值下,模型将始终预测类别 0。然后,模型将具有召回率为 0,因为它无法实现任何真阳性,并且可能有许多假阴性。此外,其精确度得分将是未定义的,因为它将实现零真阳性和零假阳性。

精确度-召回率PR)曲线在下图中绘制了给定模型的精确度与召回率结果,随着分类器的决策阈值的改变。这个 PR 曲线下的面积被称为平均精度。直观地,PR 曲线下的面积为 1.0 将等同于一个完美的分类器,将实现 100%的精确度和召回率。

精确度-召回率曲线

请参阅en.wikipedia.org/wiki/Precision_and_recallen.wikipedia.org/wiki/Average_precision#Average_precision以获取有关精确度、召回率和 PR 曲线下面积的更多详细信息。

ROC 曲线和 AUC

ROC 曲线是与 PR 曲线类似的概念。它是分类器的真阳性率与假阳性率的图形表示。

真阳性率TPR)是真阳性的数量除以真阳性和假阴性的总和。换句话说,它是真阳性与所有正例的比率。这与我们之前看到的召回率相同,通常也被称为灵敏度。

假阳性率FPR)是假阳性的数量除以假阳性和真阴性的总和(即正确预测为类别 0 的示例数量)。换句话说,它是假阳性与所有负例的比率。

与精确度和召回率类似,ROC 曲线(在下图中绘制)表示分类器在不同决策阈值下 TPR 与 FPR 的性能折衷。曲线上的每个点代表分类器决策函数中的不同阈值。

ROC 曲线

ROC 曲线下的面积(通常称为 AUC)代表了一个平均值。同样,AUC 为 1.0 将代表一个完美的分类器。面积为 0.5 被称为随机分数。因此,实现 AUC 为 0.5 的模型不比随机猜测更好。

由于 PR 曲线下面积和 ROC 曲线下面积都被有效地归一化(最小为 0,最大为 1),我们可以使用这些度量来比较具有不同参数设置的模型,甚至比较完全不同的模型。因此,这些指标在模型评估和选择方面很受欢迎。

MLlib 带有一组内置例程,用于计算二元分类的 PR 曲线和 ROC 曲线下的面积。在这里,我们将为我们的每个模型计算这些度量:

import org.apache.spark.mllib.evaluation.BinaryClassificationMetrics 
val metrics = Seq(lrModel, svmModel).map { model =>  
  val scoreAndLabels = data.map { point => 
    (model.predict(point.features), point.label) 
  } 
  val metrics = new BinaryClassificationMetrics(scoreAndLabels) 
  (model.getClass.getSimpleName, metrics.areaUnderPR, metrics.areaUnderROC) 
} 

与之前训练朴素贝叶斯模型和计算准确率一样,我们需要使用我们创建的nbData版本的数据集来计算分类指标。

val nbMetrics = Seq(nbModel).map{ model => 
  val scoreAndLabels = nbData.map { point => 
    val score = model.predict(point.features) 
    (if (score > 0.5) 1.0 else 0.0, point.label) 
  } 
  val metrics = new BinaryClassificationMetrics(scoreAndLabels) 
  (model.getClass.getSimpleName, metrics.areaUnderPR,  
  metrics.areaUnderROC) 
} 

请注意,因为DecisionTreeModel模型没有实现其他三个模型实现的ClassificationModel接口,我们需要在以下代码中单独计算该模型的结果:

val dtMetrics = Seq(dtModel).map{ model => 
  val scoreAndLabels = data.map { point => 
    val score = model.predict(point.features) 
    (if (score > 0.5) 1.0 else 0.0, point.label) 
  } 
  val metrics = new BinaryClassificationMetrics(scoreAndLabels) 
  (model.getClass.getSimpleName, metrics.areaUnderPR,  
  metrics.areaUnderROC) 
} 
val allMetrics = metrics ++ nbMetrics ++ dtMetrics 
allMetrics.foreach{ case (m, pr, roc) =>  
  println(f"$m, Area under PR: ${pr * 100.0}%2.4f%%, Area under  
  ROC: ${roc * 100.0}%2.4f%%")  
} 

你的输出将类似于这里的输出:

LogisticRegressionModel, Area under PR: 75.6759%, Area under ROC: 50.1418%
SVMModel, Area under PR: 75.6759%, Area under ROC: 50.1418%
NaiveBayesModel, Area under PR: 68.0851%, Area under ROC: 58.3559%
DecisionTreeModel, Area under PR: 74.3081%, Area under ROC: 64.8837%  

我们可以看到,所有模型在平均精度指标上取得了大致相似的结果。

逻辑回归和支持向量机的 AUC 结果约为 0.5。这表明它们的表现甚至不如随机机会!我们的朴素贝叶斯和决策树模型稍微好一些,分别达到了 0.58 和 0.65 的 AUC。但就二元分类性能而言,这仍然不是一个很好的结果。

虽然我们在这里没有涉及多类分类,但 MLlib 提供了一个类似的评估类,称为MulticlassMetrics,它提供了许多常见指标的平均版本。

改进模型性能和调整参数

那么,出了什么问题?为什么我们复杂的模型的表现甚至不如随机机会?我们的模型有问题吗?

回想一下,我们最初只是将数据投放到我们的模型中。事实上,我们甚至没有将所有数据都投放到模型中,只是那些易于使用的数值列。此外,我们对这些数值特征没有进行大量分析。

特征标准化

我们使用的许多模型对输入数据的分布或规模做出了固有的假设。其中最常见的假设形式之一是关于正态分布特征的。让我们更深入地研究一下我们特征的分布。

为此,我们可以将特征向量表示为 MLlib 中的分布矩阵,使用RowMatrix类。RowMatrix是由向量组成的 RDD,其中每个向量是矩阵的一行。

RowMatrix类带有一些有用的方法来操作矩阵,其中之一是在矩阵的列上计算统计数据的实用程序。

import org.apache.spark.mllib.linalg.distributed.RowMatrix 
val vectors = data.map(lp => lp.features) 
val matrix = new RowMatrix(vectors) 
val matrixSummary = matrix.computeColumnSummaryStatistics() 

以下代码语句将打印矩阵的均值:

println(matrixSummary.mean) 

这里是输出:

0.41225805299526636,2.761823191986623,0.46823047328614004, ...  

以下代码语句将打印矩阵的最小值:

println(matrixSummary.min) 

这里是输出:

[0.0,0.0,0.0,0.0,0.0,0.0,0.0,-1.0,0.0,0.0,0.0,0.045564223,-1.0, ...  

以下代码语句将打印矩阵的最大值:

println(matrixSummary.max) 

输出如下:

[0.999426,363.0,1.0,1.0,0.980392157,0.980392157,21.0,0.25,0.0,0.444444444, ...  

以下代码语句将打印矩阵的方差:

println(matrixSummary.variance) 

方差的输出是:

[0.1097424416755897,74.30082476809638,0.04126316989120246, ...  

以下代码语句将打印矩阵的非零数:

println(matrixSummary.numNonzeros) 

这里是输出:

[5053.0,7354.0,7172.0,6821.0,6160.0,5128.0,7350.0,1257.0,0.0, ...  

computeColumnSummaryStatistics方法计算特征的各列统计数据,包括均值和方差,并将每个统计数据存储在一个向量中,每列一个条目(也就是在我们的情况下,每个特征一个条目)。

从上面的均值和方差输出中,我们可以清楚地看到第二个特征的均值和方差比其他一些特征要高得多(你会发现还有一些其他类似的特征,还有一些更极端的特征)。因此,我们的数据在原始形式下明显不符合标准的高斯分布。为了使数据更适合我们的模型,我们可以对每个特征进行标准化,使其均值为零,标准差为单位。我们可以通过以下方式实现:从每个特征值中减去列均值,然后除以特征的列标准差。

(x - μ) / sqrt(variance)

实际上,对于输入数据集中的每个特征向量,我们可以简单地对先前的均值向量进行逐元素减法运算,然后对特征向量进行逐元素除法运算,除以特征标准差向量。标准差向量本身可以通过对方差向量进行逐元素平方根运算得到。

正如我们在[第四章中提到的,使用 Spark 获取、处理和准备数据,我们幸运地可以访问 Spark 的StandardScaler的便利方法来完成这个任务。

StandardScaler的工作方式与我们在该章节中使用的 Normalizer 特征基本相同。我们将通过传入两个参数来实例化它,告诉它是否从数据中减去平均值,以及是否应用标准差缩放。然后,我们将在我们的输入向量上拟合StandardScaler。最后,我们将在transform函数中传入一个输入向量,然后返回一个标准化向量。我们将在以下map函数中执行此操作,以保留数据集中的label

import org.apache.spark.mllib.feature.StandardScaler 
val scaler = new StandardScaler(withMean = true, withStd = true).fit(vectors) 
val scaledData = data.map(lp => LabeledPoint(lp.label, scaler.transform(lp.features))) 

我们的数据现在应该是标准化的。让我们检查原始和标准化特征的第一行。

println(data.first.features) 

前面一行代码的输出如下:

0.789131,2.055555556,0.676470588,0.205882353,  

以下代码将是标准化特征的第一行:

println(scaledData.first.features) 

输出如下:

[1.1376439023494747,-0.08193556218743517,1.025134766284205,-0.0558631837375738,  

正如我们所看到的,通过应用标准化公式,第一个特征已经被转换。我们可以通过从第一个特征中减去平均值(我们之前计算过的)并将结果除以方差的平方根(我们之前计算过的)来检查这一点。

println((0.789131 - 0.41225805299526636)/ math.sqrt(0.1097424416755897)) 

结果应该等于我们缩放向量的第一个元素:

1.137647336497682  

现在我们可以使用标准化的数据重新训练我们的模型。我们将仅使用逻辑回归模型来说明特征标准化的影响(因为决策树和朴素贝叶斯不受此影响)。

val lrModelScaled = LogisticRegressionWithSGD.train(scaledData, numIterations) 
val lrTotalCorrectScaled = scaledData.map { point => 
  if (lrModelScaled.predict(point.features) == point.label) 1 else  
  0 
}.sum 
val lrAccuracyScaled = lrTotalCorrectScaled / numData 
val lrPredictionsVsTrue = scaledData.map { point =>  
  (lrModelScaled.predict(point.features), point.label)  
} 
val lrMetricsScaled = new BinaryClassificationMetrics(lrPredictionsVsTrue) 
val lrPr = lrMetricsScaled.areaUnderPR 
val lrRoc = lrMetricsScaled.areaUnderROC 
println(f"${lrModelScaled.getClass.getSimpleName}\nAccuracy: ${lrAccuracyScaled * 100}%2.4f%%\nArea under PR: ${lrPr * 100.0}%2.4f%%\nArea under ROC: ${lrRoc * 100.0}%2.4f%%")  

结果应该看起来类似于这样:

LogisticRegressionModel
Accuracy: 62.0419%
Area under PR: 72.7254%
Area under ROC: 61.9663%   

仅仅通过对特征进行标准化,我们已经将逻辑回归的准确性和 AUC 从 50%(不比随机好)提高到了 62%。

额外的特征

我们已经看到,我们需要小心地对特征进行标准化和可能的归一化,对模型性能的影响可能很严重。在这种情况下,我们仅使用了部分可用的特征。例如,我们完全忽略了类别变量和 boilerplate 变量列中的文本内容。

这是为了便于说明而做的,但让我们评估添加额外特征(如类别特征)的影响。

首先,我们将检查类别,并形成一个索引到类别的映射,您可能会认识到这是对这个分类特征进行 1-of-k 编码的基础:

val categories = records.map(r => r(3)).distinct.collect.zipWithIndex.toMap 
val numCategories = categories.size 
println(categories) 

不同类别的输出如下:

Map("weather" -> 0, "sports" -> 6, "unknown" -> 4, "computer_internet" -> 12, "?" -> 11, "culture_politics" -> 3, "religion" -> 8, "recreation" -> 2, "arts_entertainment" -> 9, "health" -> 5, "law_crime" -> 10, "gaming" -> 13, "business" -> 1, "science_technology" -> 7)  

以下代码将打印类别的数量:

println(numCategories) 

以下是输出:

14  

因此,我们需要创建一个长度为 14 的向量来表示这个特征,并为每个数据点的相关类别的索引分配一个值为 1。然后,我们可以将这个新的特征向量放在其他数值特征向量的前面,如下所示:

val dataCategories = records.map { r => 
  val trimmed = r.map(_.replaceAll("\"", "")) 
  val label = trimmed(r.size - 1).toInt 
  val categoryIdx = categories(r(3)) 
  val categoryFeatures = Array.ofDim[Double 
  categoryFeatures(categoryIdx) = 1.0 
  val otherFeatures = trimmed.slice(4, r.size - 1).map(d => if   (d == "?") 0.0 else d.toDouble) 
  val features = categoryFeatures ++ otherFeatures 
  LabeledPoint(label, Vectors.dense(features)) 
} 
println(dataCategories.first) 

您应该看到类似于这里显示的输出。您可以看到我们特征向量的第一部分现在是一个长度为 14 的向量,其中在相关类别索引处有一个非零条目。

LabeledPoint(0.0[0.0,1.0,0.0,0.0,0.0,0.0,0.0,0.0,0.0,0.0,0.0,0.0,0.0,0.0,0.789131,2.055555556,0.676470588,0.205882353,0.047058824,0.023529412,0.443783175,0.0,0.0,0.09077381,0.0,0.245831182,0.003883495,1.0,1.0,24.0,0.0,5424.0,170.0,8.0,0.152941176,0.079129575])  

同样,由于我们的原始特征没有标准化,我们应该在对这个扩展数据集进行新模型训练之前,使用与之前相同的StandardScaler方法进行转换:

val scalerCats = new StandardScaler(withMean = true, withStd = true).fit(dataCategories.map(lp => lp.features)) 
val scaledDataCats = dataCategories.map(lp => LabeledPoint(lp.label, scalerCats.transform(lp.features))) 

我们可以像之前一样检查缩放前后的特征。

println(dataCategories.first.features) 

输出如下:

0.0,1.0,0.0,0.0,0.0,0.0,0.0,0.0,0.0,0.0,0.0,0.0,0.0,0.0,0.789131,2.055555556 ...  

以下代码将打印缩放后的特征:

println(scaledDataCats.first.features) 

您将在屏幕上看到以下内容:

[-0.023261105535492967,2.720728254208072,-0.4464200056407091,-0.2205258360869135, ...  

虽然原始的原始特征是稀疏的(即有许多条目为零),但如果我们从每个条目中减去平均值,我们将得到一个非稀疏(密集)表示,就像前面的例子中所示的那样。在这种情况下,这并不是一个问题,因为数据规模很小,但通常大规模的现实世界问题具有极其稀疏的输入数据和许多特征(在线广告和文本分类是很好的例子)。在这种情况下,不建议失去这种稀疏性,因为等效的密集表示的内存和处理要求可能会随着许多百万特征的增加而迅速增加。我们可以使用StandardScaler并将withMean设置为false来避免这种情况。

现在我们准备使用扩展的特征集训练一个新的逻辑回归模型,然后我们将评估其性能。

val lrModelScaledCats = LogisticRegressionWithSGD.train(scaledDataCats, numIterations) 
val lrTotalCorrectScaledCats = scaledDataCats.map { point => 
  if (lrModelScaledCats.predict(point.features) == point.label) 1 else 0 
}.sum 
val lrAccuracyScaledCats = lrTotalCorrectScaledCats / numData 
val lrPredictionsVsTrueCats = scaledDataCats.map { point =>  
  (lrModelScaledCats.predict(point.features), point.label)  
} 
val lrMetricsScaledCats = new BinaryClassificationMetrics(lrPredictionsVsTrueCats) 
val lrPrCats = lrMetricsScaledCats.areaUnderPR 
val lrRocCats = lrMetricsScaledCats.areaUnderROC 
println(f"${lrModelScaledCats.getClass.getSimpleName}\nAccuracy: ${lrAccuracyScaledCats * 100}%2.4f%%\nArea under PR: ${lrPrCats * 100.0}%2.4f%%\nArea under ROC: ${lrRocCats * 100.0}%2.4f%%")  

您应该看到类似于这样的输出:

LogisticRegressionModel
Accuracy: 66.5720%
Area under PR: 75.7964%
Area under ROC: 66.5483%  

通过对我们的数据应用特征标准化转换,我们将准确度和 AUC 指标从 50%提高到 62%,然后通过将类别特征添加到我们的模型中,我们进一步提高到了 66%(记得对我们的新特征集应用标准化)。

比赛中最佳的模型性能是 AUC 为 0.88906(请参阅www.kaggle.com/c/stumbleupon/leaderboard/private)。

www.kaggle.com/c/stumbleupon/forums/t/5680/beating-the-benchmark-leaderboard-auc-0-878中概述了实现几乎与最高性能相当的方法。

请注意,我们尚未使用的特征仍然存在;尤其是在 boilerplate 变量中的文本特征。领先的竞赛提交主要使用 boilerplate 特征和基于原始文本内容的特征来实现他们的性能。正如我们之前看到的,虽然添加类别可以提高性能,但大多数变量并不是很有用作预测因子,而文本内容却具有很高的预测性。

研究一些在这些比赛中表现最佳的方法可以让您了解特征提取和工程在模型性能中起到了关键作用。

使用正确的数据形式

模型性能的另一个关键方面是使用每个模型的正确数据形式。之前我们看到,将朴素贝叶斯模型应用于我们的数值特征会导致性能非常差。这是因为模型本身存在缺陷吗?

在这种情况下,请记住 MLlib 实现了一个多项式模型。该模型适用于非零计数数据的输入形式。这可以包括分类特征的二进制表示(例如之前介绍的 1-of-k 编码)或频率数据(例如文档中单词出现的频率)。我们最初使用的数值特征不符合这种假定的输入分布,因此模型表现不佳可能并不奇怪。

为了说明这一点,我们将仅使用类别特征,当进行 1-of-k 编码时,这符合模型的正确形式。我们将创建一个新的数据集,如下所示:

val dataNB = records.map { r => 
  val trimmed = r.map(_.replaceAll("\"", "")) 
  val label = trimmed(r.size - 1).toInt 
  val categoryIdx = categories(r(3)) 
  val categoryFeatures = Array.ofDimDouble 
  categoryFeatures(categoryIdx) = 1.0 
  LabeledPoint(label, Vectors.dense(categoryFeatures)) 
} 

接下来,我们将训练一个新的朴素贝叶斯模型并评估其性能。

val nbModelCats = NaiveBayes.train(dataNB) 
val nbTotalCorrectCats = dataNB.map { point => 
  if (nbModelCats.predict(point.features) == point.label) 1 else 0 
}.sum 
val nbAccuracyCats = nbTotalCorrectCats / numData 
val nbPredictionsVsTrueCats = dataNB.map { point =>  
  (nbModelCats.predict(point.features), point.label)  
} 
val nbMetricsCats = new BinaryClassificationMetrics(nbPredictionsVsTrueCats) 
val nbPrCats = nbMetricsCats.areaUnderPR 
val nbRocCats = nbMetricsCats.areaUnderROC 
println(f"${nbModelCats.getClass.getSimpleName}\nAccuracy: ${nbAccuracyCats * 100}%2.4f%%\nArea under PR: ${nbPrCats * 100.0}%2.4f%%\nArea under ROC: ${nbRocCats * 100.0}%2.4f%%") 

您应该看到以下输出:

NaiveBayesModel
Accuracy: 60.9601%
Area under PR: 74.0522%
Area under ROC: 60.5138%

因此,通过确保我们使用正确形式的输入,我们将朴素贝叶斯模型的性能略微从 58%提高到 60%。

调整模型参数

前面的部分展示了特征提取和选择对模型性能的影响,以及输入数据的形式和模型对数据分布的假设。到目前为止,我们只是简单地讨论了模型参数,但它们在模型性能中也起着重要作用。

MLlib 的默认训练方法使用每个模型参数的默认值。让我们更深入地研究一下它们。

线性模型

逻辑回归和支持向量机共享相同的参数,因为它们使用相同的随机梯度下降SGD)的优化技术。它们只在应用的损失函数上有所不同。如果我们看一下 MLlib 中逻辑回归的类定义,我们会看到以下定义:

class LogisticRegressionWithSGD private ( 
  private var stepSize: Double, 
  private var numIterations: Int, 
  private var regParam: Double, 
  private var miniBatchFraction: Double) 

  extends GeneralizedLinearAlgorithm[LogisticRegressionModel] ... 

我们可以看到可以传递给构造函数的参数是stepSizenumIterationsregParamminiBatchFraction。其中,除了regParam之外,所有参数都与底层优化技术有关。

逻辑回归的实例化代码初始化了gradientupdateroptimizer,并为optimizer(在本例中为GradientDescent)设置了相关参数。

private val gradient = new LogisticGradient() 
private val updater = new SimpleUpdater() 
override val optimizer = new GradientDescent(gradient, updater) 
  .setStepSize(stepSize) 
  .setNumIterations(numIterations) 
  .setRegParam(regParam) 
  .setMiniBatchFraction(miniBatchFraction) 

LogisticGradient设置了定义我们逻辑回归模型的逻辑损失函数。

虽然对优化技术的详细处理超出了本书的范围,但 MLlib 为线性模型提供了两种优化器:SGD 和 L-BFGS。L-BFGS 通常更准确,并且参数更少需要调整。

SGD 是默认值,而 L-BGFS 目前只能通过LogisticRegressionWithLBFGS直接用于逻辑回归。自己试一试,并将结果与 SGD 找到的结果进行比较。

有关更多详细信息,请参阅spark.apache.org/docs/latest/mllib-optimization.html

为了调查剩余参数设置的影响,我们将创建一个辅助函数,它将根据一组参数输入训练逻辑回归模型。首先,我们将导入所需的类:

import org.apache.spark.rdd.RDD 
import org.apache.spark.mllib.optimization.Updater 
import org.apache.spark.mllib.optimization.SimpleUpdater 
import org.apache.spark.mllib.optimization.L1Updater 
import org.apache.spark.mllib.optimization.SquaredL2Updater 
import org.apache.spark.mllib.classification.ClassificationModel 

接下来,我们将定义一个辅助函数来训练给定一组输入的模型:

def trainWithParams(input: RDD[LabeledPoint], regParam: Double, numIterations: Int, updater: Updater, stepSize: Double) = { 
  val lr = new LogisticRegressionWithSGD 
  lr.optimizer.setNumIterations(numIterations).  
  setUpdater(updater).setRegParam(regParam).setStepSize(stepSize) 
  lr.run(input) 
} 

最后,我们将创建第二个辅助函数,以获取输入数据和分类模型,并生成相关的 AUC 指标:

def createMetrics(label: String, data: RDD[LabeledPoint], model: ClassificationModel) = { 
  val scoreAndLabels = data.map { point => 
    (model.predict(point.features), point.label) 
  } 
  val metrics = new BinaryClassificationMetrics(scoreAndLabels) 
  (label, metrics.areaUnderROC) 
} 

我们还将缓存我们的缩放数据集,包括类别,以加快速度

我们将使用多个模型训练运行来探索这些不同的参数设置,如下所示:

scaledDataCats.cache 

迭代

许多机器学习方法都是迭代的,通过多次迭代收敛到一个解(最小化所选损失函数的最优权重向量)。SGD 通常需要相对较少的迭代次数才能收敛到一个合理的解,但可以运行更多次迭代来改善解。我们可以通过尝试一些不同的numIterations参数设置,并像这样比较 AUC 结果来看到这一点:

val iterResults = Seq(1, 5, 10, 50).map { param => 
  val model = trainWithParams(scaledDataCats, 0.0, param, new  
SimpleUpdater, 1.0) 
  createMetrics(s"$param iterations", scaledDataCats, model) 
} 
iterResults.foreach { case (param, auc) => println(f"$param, AUC =  
${auc * 100}%2.2f%%") } 

你的输出应该是这样的:

1 iterations, AUC = 64.97%
5 iterations, AUC = 66.62%
10 iterations, AUC = 66.55%
50 iterations, AUC = 66.81%  

因此,我们可以看到一旦完成了一定数量的迭代,迭代次数对结果的影响很小。

步长

在 SGD 中,步长参数控制算法在更新模型权重向量之后每个训练样本时所采取的步骤方向的梯度。较大的步长可能加快收敛,但步长太大可能会导致收敛问题,因为好的解决方案被超越。学习率确定我们采取的步骤大小,以达到(局部或全局)最小值。换句话说,我们沿着目标函数创建的表面的斜率方向向下走,直到我们到达一个山谷。

我们可以看到改变步长的影响在这里:

val stepResults = Seq(0.001, 0.01, 0.1, 1.0, 10.0).map { param => 
  val model = trainWithParams(scaledDataCats, 0.0, numIterations, new SimpleUpdater, param) 
  createMetrics(s"$param step size", scaledDataCats, model) 
} 
stepResults.foreach { case (param, auc) => println(f"$param, AUC =  
${auc * 100}%2.2f%%") } 

这将给我们以下结果,显示增加步长太多可能开始对性能产生负面影响:

0.001 step size, AUC = 64.95%
0.01 step size, AUC = 65.00%
0.1 step size, AUC = 65.52%
1.0 step size, AUC = 66.55%
10.0 step size, AUC = 61.92%

正则化

在前面的逻辑回归代码中,我们简要介绍了Updater类。MLlib 中的Updater类实现了正则化。正则化可以通过有效地惩罚模型复杂性来帮助避免模型对训练数据的过度拟合。这可以通过向损失函数添加一个项来实现,该项作用是随着模型权重向量的函数增加损失。

在实际使用情况下,几乎总是需要正则化,但当特征维度非常高(即可以学习的有效变量权重数量很高)相对于训练样本数量时,正则化尤为重要。

当没有或很低的正则化时,模型可能会过拟合。没有正则化时,大多数模型会在训练数据集上过拟合。这是使用交叉验证技术进行模型拟合的一个关键原因(我们现在将介绍)。

在我们进一步进行之前,让我们定义一下过拟合和欠拟合数据的含义。过拟合发生在模型学习训练数据中的细节和噪音,从而对新数据的性能产生负面影响的程度。模型不应该过于严格地遵循训练数据集,在欠拟合中,模型既不能对训练数据建模,也不能推广到新数据。

相反,当应用正则化时,鼓励简化模型,当正则化很高时,模型性能可能会受到影响,导致数据欠拟合。

MLlib 中可用的正则化形式如下:

  • SimpleUpdater:这等同于没有正则化,是逻辑回归的默认值

  • SquaredL2Updater:这实现了基于权重向量的平方 L2 范数的正则化器;这是 SVM 模型的默认值

  • L1Updater:这应用基于权重向量的 L1 范数的正则化器;这可能导致权重向量中的稀疏解(因为不太重要的权重被拉向零)

正则化及其与优化的关系是一个广泛而深入研究的领域。有关更多信息,请参考以下链接:

让我们使用SquaredL2Updater来探索一系列正则化参数的影响。

val regResults = Seq(0.001, 0.01, 0.1, 1.0, 10.0).map { param => 
  val model = trainWithParams(scaledDataCats, param, numIterations, new SquaredL2Updater, 1.0) 
  createMetrics(s"$param L2 regularization parameter",  
scaledDataCats, model) 
} 
regResults.foreach { case (param, auc) => println(f"$param, AUC =  
${auc * 100}%2.2f%%") } 

你的输出应该像这样:

0.001 L2 regularization parameter, AUC = 66.55%
0.01 L2 regularization parameter, AUC = 66.55%
0.1 L2 regularization parameter, AUC = 66.63%
1.0 L2 regularization parameter, AUC = 66.04%
10.0 L2 regularization parameter, AUC = 35.33%  

正如我们所看到的,在正则化水平较低时,模型性能没有太大影响。然而,随着正则化的增加,我们可以看到欠拟合对我们模型评估的影响。

当使用 L1 正则化时,您将会得到类似的结果。通过对 AUC 指标进行相同的正则化参数评估,尝试使用 L1Updater。

决策树

决策树控制树的最大深度,从而控制模型的复杂性。更深的树会导致更复杂的模型,能够更好地拟合数据。

对于分类问题,我们还可以在GiniEntropy之间选择两种不纯度度量。

调整树深度和不纯度

我们将以与逻辑回归模型相似的方式来说明树深度的影响。

首先,我们需要在 Spark shell 中创建另一个辅助函数,如下所示:

import org.apache.spark.mllib.tree.impurity.Impurity 
import org.apache.spark.mllib.tree.impurity.Entropy 
import org.apache.spark.mllib.tree.impurity.Gini 

def trainDTWithParams(input: RDD[LabeledPoint], maxDepth: Int, impurity: Impurity) = { 
  DecisionTree.train(input, Algo.Classification, impurity, maxDepth) 
} 

现在,我们准备计算不同树深度设置下的 AUC 指标。在这个例子中,我们将简单地使用我们的原始数据集,因为我们不需要数据被标准化。

请注意,决策树模型通常不需要特征被标准化或归一化,也不需要分类特征被二进制编码。

首先,使用Entropy不纯度度量和不同的树深度来训练模型,如下所示:

val dtResultsEntropy = Seq(1, 2, 3, 4, 5, 10, 20).map { param => 
  val model = trainDTWithParams(data, param, Entropy) 
  val scoreAndLabels = data.map { point => 
    val score = model.predict(point.features) 
    (if (score > 0.5) 1.0 else 0.0, point.label) 
  } 
  val metrics = new BinaryClassificationMetrics(scoreAndLabels) 
  (s"$param tree depth", metrics.areaUnderROC) 
} 
dtResultsEntropy.foreach { case (param, auc) => println(f"$param, AUC = ${auc * 100}%2.2f%%") } 

上述代码应该输出以下结果:

1 tree depth, AUC = 59.33%
2 tree depth, AUC = 61.68%
3 tree depth, AUC = 62.61%
4 tree depth, AUC = 63.63%
5 tree depth, AUC = 64.88%
10 tree depth, AUC = 76.26%
20 tree depth, AUC = 98.45%  

接下来,我们将使用Gini不纯度度量执行相同的计算(我们省略了代码,因为它非常相似,但可以在代码包中找到)。你的结果应该看起来像这样:

1 tree depth, AUC = 59.33%
2 tree depth, AUC = 61.68%
3 tree depth, AUC = 62.61%
4 tree depth, AUC = 63.63%
5 tree depth, AUC = 64.89%
10 tree depth, AUC = 78.37%
20 tree depth, AUC = 98.87%  

从前面的结果中可以看出,增加树深度参数会导致更准确的模型(正如预期的那样,因为模型允许在更大的树深度下变得更复杂)。很可能在更高的树深度下,模型会显著地过度拟合数据集。随着树深度的增加,泛化能力会降低,泛化是指机器学习模型学习的概念如何适用于模型从未见过的示例。

这两种不纯度度量的性能几乎没有什么区别。

朴素贝叶斯模型

最后,让我们看看改变朴素贝叶斯的lambda参数会产生什么影响。这个参数控制加法平滑,处理当classfeature值在数据集中没有同时出现的情况。

更多关于加法平滑的细节,请参见en.wikipedia.org/wiki/Additive_smoothing

我们将采用与之前相同的方法,首先创建一个方便的训练函数,然后使用不同水平的lambda来训练模型,如下所示:

def trainNBWithParams(input: RDD[LabeledPoint], lambda: Double) = { 
  val nb = new NaiveBayes 
  nb.setLambda(lambda) 
  nb.run(input) 
} 
val nbResults = Seq(0.001, 0.01, 0.1, 1.0, 10.0).map { param => 
  val model = trainNBWithParams(dataNB, param) 
  val scoreAndLabels = dataNB.map { point => 
    (model.predict(point.features), point.label) 
  } 
  val metrics = new BinaryClassificationMetrics(scoreAndLabels) 
  (s"$param lambda", metrics.areaUnderROC) 
} 
nbResults.foreach { case (param, auc) => println(f"$param, AUC = ${auc * 100}%2.2f%%")  
} 

训练的结果如下:

0.001 lambda, AUC = 60.51%
0.01 lambda, AUC = 60.51%
0.1 lambda, AUC = 60.51%
1.0 lambda, AUC = 60.51%
10.0 lambda, AUC = 60.51%  

我们可以看到在这种情况下lambda没有影响,因为如果特征和类标签的组合在数据集中没有出现在一起,这不会成为问题。

交叉验证

到目前为止,在这本书中,我们只是简要提到了交叉验证和样本外测试的概念。交叉验证是现实世界机器学习的关键部分,是许多模型选择和参数调整流程的核心。

交叉验证的基本思想是我们想知道我们的模型在未见数据上的表现如何。在真实的、实时数据上评估这一点(例如在生产系统中)是有风险的,因为我们并不真正知道训练好的模型是否是最佳的,能够对新数据进行准确的预测。正如我们之前在正则化方面看到的那样,我们的模型可能已经过度拟合了训练数据,在未经训练的数据上做出预测可能很差。

交叉验证提供了一种机制,我们可以使用可用数据集的一部分来训练我们的模型,另一部分来评估这个模型的性能。由于模型在训练阶段没有见过这部分数据,当在数据集的这部分上评估模型的性能时,可以给我们一个关于我们的模型在新数据点上的泛化能力的估计。

在这里,我们将使用训练-测试分离来实现一个简单的交叉验证评估方法。我们将把我们的数据集分成两个不重叠的部分。第一个数据集用于训练我们的模型,称为训练集。第二个数据集,称为测试集留出集,用于使用我们选择的评估指标评估我们的模型的性能。实际使用的常见分割包括 50/50、60/40 和 80/20 的分割,但只要训练集不太小以至于模型无法学习(通常至少 50%是一个实际的最小值),你可以使用任何分割。

在许多情况下,会创建三组数据:一个训练集,一个评估集(类似于前面提到的测试集,用于调整模型参数,如 lambda 和步长),以及一个测试集(从不用于训练模型或调整任何参数,只用于生成对完全未见数据的估计真实性能)。

在这里,我们将探讨一个简单的训练-测试分离方法。还有许多更详尽和复杂的交叉验证技术。

一个流行的例子是K 折交叉验证,其中数据集被分成K个不重叠的折叠。模型在K-1个数据折叠上进行训练,并在剩下的保留的折叠上进行测试。这个过程重复K次,然后对结果进行平均以得到交叉验证分数。训练-测试分割实际上就像是两折交叉验证。

其他方法包括留一交叉验证和随机抽样。更多细节请参见en.wikipedia.org/wiki/Cross-validation_(statistics)的文章。

首先,我们将把数据集分成 60%的训练集和 40%的测试集(我们将在这里使用一个常数随机种子 123,以确保我们获得相同的结果以便进行说明)。

val trainTestSplit = scaledDataCats.randomSplit(Array(0.6, 0.4), 123) 
val train = trainTestSplit(0) 
val test = trainTestSplit(1) 

接下来,我们将计算感兴趣的评估指标(再次,我们将使用 AUC)的一系列正则化参数设置。请注意,这里我们将使用更精细的步长在评估的正则化参数之间,以更好地说明 AUC 的差异,在这种情况下差异非常小。

val regResultsTest = Seq(0.0, 0.001, 0.0025, 0.005, 0.01).map { param => 
  val model = trainWithParams(train, param, numIterations, new SquaredL2Updater, 1.0) 
  createMetrics(s"$param L2 regularization parameter", test, model) 
} 
regResultsTest.foreach { case (param, auc) => println(f"$param, AUC = ${auc * 100}%2.6f%%")  
} 

接下来,我们将计算在训练集上训练的结果,以及在测试集上评估的结果,如下所示:

0.0 L2 regularization parameter, AUC = 66.480874%
0.001 L2 regularization parameter, AUC = 66.480874%
0.0025 L2 regularization parameter, AUC = 66.515027%
0.005 L2 regularization parameter, AUC = 66.515027%
0.01 L2 regularization parameter, AUC = 66.549180%  

现在,让我们将这与在训练集上进行训练和测试的结果进行比较。

(这是我们之前在所有数据上进行训练和测试的做法)。同样,我们将省略代码,因为它非常相似(但它在代码包中是可用的):

0.0 L2 regularization parameter, AUC = 66.260311%
0.001 L2 regularization parameter, AUC = 66.260311%
0.0025 L2 regularization parameter, AUC = 66.260311%
0.005 L2 regularization parameter, AUC = 66.238294%
0.01 L2 regularization parameter, AUC = 66.238294%  

因此,我们可以看到当我们在相同的数据集上训练和评估我们的模型时,通常在正则化较低时会获得最高的性能。这是因为我们的模型已经看到了所有的数据点,并且在低水平的正则化下,它可以过度拟合数据集并获得更高的性能。

相比之下,当我们在一个数据集上训练并在另一个数据集上测试时,通常略高水平的正则化会导致更好的测试集性能。

在交叉验证中,我们通常会找到参数设置(包括正则化以及其他各种参数,如步长等),以获得最佳的测试集性能。然后我们将使用这些参数设置在所有数据上重新训练模型,以便在新数据上进行预测。

回想一下第五章,使用 Spark 构建推荐引擎,我们没有涉及交叉验证。您可以应用我们之前使用的相同技术,将该章节中的评分数据集分成训练集和测试集。然后,您可以尝试在训练集上尝试不同的参数设置,同时在测试集上评估 MSE 和 MAP 性能指标,方式类似于我们之前所做的。试一试吧!

总结

在本章中,我们介绍了 Spark MLlib 中可用的各种分类模型,并且我们看到了如何在输入数据上训练模型,以及如何使用标准指标和度量来评估它们的性能。我们还探讨了如何应用一些先前介绍的技术来转换我们的特征。最后,我们调查了使用正确的输入数据格式或分布对模型性能的影响,以及增加更多数据对我们的模型,调整模型参数和实施交叉验证的影响。

在下一章中,我们将采用类似的方法来深入 MLlib 的回归模型。