Spark 2.x 机器学习秘籍(一)
原文:
zh.annas-archive.org/md5/3C1ECF91245FC64E4B95E8DC509841AB译者:飞龙
前言
教育不是学习事实,
但是训练思维。
- 阿尔伯特·爱因斯坦
数据是我们时代的新硅,而机器学习与生物启发式认知系统结合,不仅能够实现,还能够加速第四次工业革命的诞生。这本书献给我们的父母,他们通过极大的艰辛和牺牲,使我们的教育成为可能,并教导我们始终要行善。
Apache Spark 2.x 机器学习食谱由四位具有不同背景的朋友共同创作,他们在多个行业和学术学科中拥有丰富的经验。团队在手头的主题上拥有丰富的经验。这本书不仅关乎友谊,也关乎支撑 Spark 和机器学习的科学。我们希望将我们的想法汇集起来,为社区撰写一本书,不仅结合了 Spark 的 ML 代码和真实数据集,还提供了相关的解释、参考和阅读,以便更深入地理解并促进进一步的研究。这本书反映了我们团队在开始使用 Apache Spark 时希望拥有的东西。
我对机器学习和人工智能的兴趣始于八十年代中期,当时我有机会阅读两篇重要的文章,恰好在 1986 年 2 月的人工智能国际期刊第 28 卷第 1 期中依次列出。对于我这一代工程师和科学家来说,这是一个漫长的旅程,幸运的是,弹性分布式计算、云计算、GPU、认知计算、优化和先进的机器学习的进步使长达数十年的梦想成真。所有这些进步对当前一代机器学习爱好者和数据科学家都变得可及。
我们生活在历史上最罕见的时期之一——多种技术和社会趋势在同一时间点融合。具有内置 ML 和深度学习网络访问权限的云计算的弹性将提供一整套新的机会,以创造和占领新的市场。Apache Spark 作为近实时弹性分布式计算和数据虚拟化的通用语言的出现,为聪明的公司提供了在不需要大量投资于专门的数据中心或硬件的情况下应用 ML 技术的机会。
Apache Spark 2.x 机器学习食谱是对 Apache Spark 机器学习 API 最全面的处理之一,选择了 Spark 的子组件,为您提供在掌握机器学习和 Apache Spark 的高端职业之前所需的基础。本书的目标是提供清晰和易懂的内容,反映了我们自己的经验(包括阅读源代码)和学习曲线,我们从 Spark 1.0 开始。
Apache Spark 2.x 机器学习食谱处于 Apache Spark、机器学习和 Scala 的交汇处,面向开发人员和数据科学家,通过实践者的视角,他们不仅需要理解代码,还需要了解给定 Spark ML 算法或 API 的细节、理论和内部工作,以在新经济中建立成功的职业。
本书采用食谱格式,将可下载的即时运行的 Apache Spark ML 代码配方与背景、可操作的理论、参考、研究和真实数据集相结合,以帮助读者理解 Spark 为机器学习库提供的广泛功能背后的什么、如何和为什么。本书从奠定成功所需的基础开始,然后迅速发展到涵盖 Apache Spark 中所有有意义的 ML 算法。
本书内容
第一章,《使用 Scala 实现 Spark 的实用机器学习》,涵盖了在实际开发环境中安装和配置机器学习和 Apache Spark 的内容。通过屏幕截图,它引导您下载、安装和配置 Apache Spark 和 IntelliJ IDEA,以及必要的库,这些都反映了开发者在真实世界环境中的桌面。然后,它继续识别和列出了 40 多个真实数据集的数据存储库,这些数据集可以帮助读者通过实验和进一步的代码配方。最后,我们在 Spark 上运行我们的第一个 ML 程序,然后提供如何将图形添加到您的机器学习程序的指导,这些图形在后续章节中使用。
第二章,《Spark 中机器学习的线性代数基础》,涵盖了线性代数(向量和矩阵)的使用,这是机器学习中一些最重要的工作的基础。它通过该章的配方全面介绍了 Apache Spark 中可用的 DenseVector、SparseVector 和矩阵功能。它提供了本地和分布式矩阵的配方,包括 RowMatrix、IndexedRowMatrix、CoordinateMatrix 和 BlockMatrix,以提供对这个主题的详细解释。我们包括了这一章,因为只有通过逐行阅读大部分源代码,并理解矩阵分解和向量/矩阵算术在 Spark 中更粗粒度算法下的工作方式,才能掌握 Spark 和 ML/MLlib。
第三章,《Spark 的三大数据武士用于机器学习-完美结合》,提供了 Apache Spark 中具有弹性分布式数据处理和整理功能的三大支柱的端到端处理。该章节包括了从实践者的角度详细介绍 RDDs、DataFrame 和 Dataset 功能的详细配方。通过详尽的 17 个配方、示例、参考和解释,它奠定了在机器学习科学领域建立成功职业的基础。该章节提供了功能性(代码)和非功能性(SQL 接口)的编程方法,以巩固知识基础,反映了一名成功的 Spark ML 工程师在一线公司的真实需求。
第四章,《实现强大机器学习系统的常见配方》,通过 16 个简短但直截了当的代码配方,涵盖了大多数机器学习系统中常见的任务,并将这些任务因素化,读者可以在自己的真实世界系统中使用。它涵盖了一系列技术,从数据归一化到评估模型输出,使用了 Spark 的 ML/MLlib 功能的最佳实践指标,这些可能不会立即对读者可见。这是我们在日常工作中大多数情况下使用的配方的组合,但单独列出以节省空间和其他配方的复杂性。
第五章,《Spark 2.0 中回归和分类的实用机器学习-第一部分》,是探索 Apache Spark 中分类和回归的两章中的第一章。该章从广义线性回归(GLM)开始,扩展到具有不同类型优化的 Lasso、Ridge。然后,该章继续涵盖等温回归、生存回归、多层感知器(神经网络)和一对多分类器。
第六章,“Spark 2.0 中的回归和分类实用机器学习-第二部分”,是两个回归和分类章节中的第二部分。该章节涵盖了基于 RDD 的回归系统,从线性、逻辑和岭到套索,使用 Spark 中的随机梯度下降和 L_BFGS 优化。最后三个配方涵盖了支持向量机(SVM)和朴素贝叶斯,最后详细介绍了在 Spark ML 生态系统中占据重要位置的 ML 管道的配方。
第七章,“使用 Spark 扩展的推荐引擎”,介绍了如何探索数据集并利用 Spark 的 ML 库设施构建电影推荐引擎。它使用了大型数据集和一些配方,以及图表和解释,探索了推荐系统的各种方法,然后深入研究了 Spark 中的协同过滤技术。
第八章,“Apache Spark 2.0 中的无监督聚类”,涵盖了无监督学习中使用的技术,如 KMeans、混合和期望(EM)、幂迭代聚类(PIC)和潜在狄利克雷分布(LDA),同时也涵盖了为了帮助读者理解核心概念而介绍的原因和方法。利用 Spark Streaming,该章节以实时 KMeans 聚类配方开始,通过无监督手段将输入流分类为标记类。
第九章,“优化-使用梯度下降下山”,是一章独特的章节,它带领读者了解优化在机器学习中的应用。它从闭合形式公式和二次函数优化(例如成本函数)开始,到使用梯度下降(GD)来从头解决回归问题。该章节通过使用 Scala 代码来培养读者的技能,并深入解释如何编写和理解从头开始的随机下降(GD)。该章节以 Spark 的 ML API 结束,以实现我们从头开始编码的相同概念。
第十章,“使用决策树和集成模型构建机器学习系统”,深入介绍了 Spark 的机器学习库中用于分类和回归的树和集成模型。我们使用三个真实世界的数据集,使用决策树、随机森林树和梯度提升树来探索分类和回归问题。该章节提供了这些方法的深入解释,以及逐步探索 Apache Spark 的机器学习库的即插即用代码配方。
第十一章,“大数据中的高维度诅咒”,揭开了降维的艺术和科学之谜,并全面介绍了 Spark 的 ML/MLlib 库,该库在大规模机器学习中促进了这一重要概念。该章节充分深入地介绍了理论(什么和为什么),然后继续介绍了 Spark 中供读者使用的两种基本技术(如何)。该章节涵盖了与第二章相关的奇异值分解(SVD),然后深入研究了主成分分析(PCA),并附有代码和解释。
第十二章,使用 Spark 2.0 ML 库实现文本分析,介绍了 Spark 中用于实现大规模文本分析的各种技术。它从基础知识开始,如词频(TF)和相似性技术,如 Word2Vec,然后继续分析完整的维基百科转储,用于实际的 Spark ML 项目。本章最后深入讨论并提供了在 Spark 中实现潜在语义分析(LSA)和使用潜在狄利克雷分配(LDA)进行主题建模的代码。
第十三章,Spark Streaming 和机器学习库,首先介绍了 Spark 流处理的概念和未来发展方向,然后提供了基于 RDD(DStream)和结构化流的食谱,以建立基线。本章然后继续介绍了在撰写本书时 Spark 中所有可用的 ML 流算法。本章提供了代码,并展示了如何实现流 DataFrame 和流数据集,然后继续介绍了用于调试的 queueStream,然后进入了 Streaming KMeans(无监督学习)和使用真实世界数据集的流线性模型,如线性和逻辑回归。
本书所需的内容
请使用软件清单文档中的详细信息。
要执行本书中的食谱,您需要运行 Windows 7 及以上版本或 Mac 10 的系统,并安装以下软件:
-
Apache Spark 2.x
-
Oracle JDK SE 1.8.x
-
JetBrain IntelliJ Community Edition 2016.2.X 或更高版本
-
Scala 插件适用于 IntelliJ 2016.2.x
-
Jfreechart 1.0.19
-
breeze-core 0.12
-
Cloud9 1.5.0 JAR
-
Bliki-core 3.0.19
-
hadoop-streaming 2.2.0
-
Jcommon 1.0.23
-
Lucene-analyzers-common 6.0.0
-
Lucene-core-6.0.0
-
Spark-streaming-flume-assembly 2.0.0
-
Spark-streaming-kafka-assembly 2.0.0
此软件的硬件要求在本书的代码包中提供的软件清单中有所提及。
本书适合谁
本书适用于 Scala 开发人员,他们对机器学习技术有相当丰富的经验和理解,但缺乏 Spark 的实际实现。假定您具有扎实的机器学习算法知识,以及一些使用 Scala 实现 ML 算法的实际经验。但是,您不需要熟悉 Spark ML 库和生态系统。
部分
在本书中,您将经常看到几个标题(准备工作、如何做、工作原理、更多内容和参见)。为了清晰地说明如何完成食谱,我们使用以下部分:
准备工作
本节告诉您在食谱中可以期待什么,并描述了为食谱设置任何软件或任何先决设置所需的步骤。
如何做…
本节包含了遵循食谱所需的步骤。
工作原理…
本节通常包括对前一节中发生的事情的详细解释。
更多内容…
本节包括有关食谱的额外信息,以使读者更加了解食谱。
参见
本节提供了有关食谱的其他有用信息的链接。
约定
在本书中,您将找到许多文本样式,用于区分不同类型的信息。以下是一些样式的示例及其含义的解释。文本中的代码词、数据库表名、文件夹名、文件名、文件扩展名、路径名、虚拟 URL、用户输入和 Twitter 句柄显示如下:"Mac 用户请注意,我们在 Mac 机器上的/Users/USERNAME/spark/spark-2.0.0-bin-hadoop2.7/目录中安装了 Spark 2.0。"
代码块设置如下:
object HelloWorld extends App {
println("Hello World!")
}
任何命令行输入或输出都按以下方式编写:
mysql -u root -p
新术语和重要单词以粗体显示。您在屏幕上看到的单词,例如菜单或对话框中的单词,会以这种方式出现在文本中:"配置全局库。选择 Scala SDK 作为您的全局库。"
警告或重要提示会显示为这样。
提示和技巧会显示为这样。
第一章:使用 Scala 进行实用机器学习与 Spark
在本章中,我们将涵盖:
-
下载和安装 JDK
-
下载和安装 IntelliJ
-
下载和安装 Spark
-
配置 IntelliJ 以与 Spark 配合并运行 Spark ML 示例代码
-
使用 Spark 运行示例 ML 代码
-
确定实际机器学习的数据来源
-
使用 IntelliJ IDE 运行第一个程序的 Apache Spark 2.0
-
如何将图形添加到您的 Spark 程序中
介绍
随着集群计算的最新进展以及大数据的崛起,机器学习领域已经被推到了计算的前沿。长期以来,实现大规模数据科学的交互平台一直是一个现实的梦想。
以下三个领域共同促成并加速了大规模交互式数据科学:
-
Apache Spark:一个统一的数据科学技术平台,将快速计算引擎和容错数据结构结合成一个设计良好且集成的产品
-
机器学习:一种人工智能领域,使机器能够模仿一些最初仅由人脑执行的任务
-
Scala:一种现代的基于 JVM 的语言,它建立在传统语言的基础上,但将函数式和面向对象的概念结合起来,而不像其他语言那样冗长。
首先,我们需要设置开发环境,其中将包括以下组件:
-
Spark
-
IntelliJ 社区版 IDE
-
Scala
本章的配方将为您提供安装和配置 IntelliJ IDE、Scala 插件和 Spark 的详细说明。设置开发环境后,我们将继续运行 Spark ML 示例代码之一,以测试设置。
Apache Spark
Apache Spark 正在成为大数据分析的事实标准平台和交易语言,作为Hadoop范例的补充。Spark 使数据科学家能够立即按照最有利于其工作流程的方式工作。Spark 的方法是在完全分布式的方式处理工作负载,而无需MapReduce(MR)或将中间结果重复写入磁盘。
Spark 提供了一个易于使用的统一技术堆栈中的分布式框架,这使得它成为数据科学项目的首选平台,这些项目往往需要一个最终朝着解决方案合并的迭代算法。由于其内部工作原理,这些算法生成大量中间结果,这些结果需要在中间步骤中从一阶段传递到下一阶段。对于大多数数据科学项目来说,需要一个具有强大本地分布式机器学习库(MLlib)的交互式工具,这排除了基于磁盘的方法。
Spark 对集群计算有不同的方法。它解决问题的方式是作为技术堆栈而不是生态系统。大量集中管理的库与一个快速的计算引擎相结合,可以支持容错数据结构,这使得 Spark 成为首选的大数据分析平台,取代了 Hadoop。
Spark 采用模块化方法,如下图所示:
机器学习
机器学习的目标是生产可以模仿人类智能并自动执行一些传统上由人脑保留的任务的机器和设备。机器学习算法旨在在相对较短的时间内处理非常大的数据集,并近似得出人类需要更长时间处理的答案。
机器学习领域可以分为许多形式,从高层次上来看,可以分为监督学习和无监督学习。监督学习算法是一类使用训练集(即标记数据)来计算概率分布或图形模型的机器学习算法,从而使它们能够对新数据点进行分类,而无需进一步的人为干预。无监督学习是一种用于从不带标记响应的输入数据集中推断的机器学习算法。
Spark 提供了丰富的机器学习算法,可以在大型数据集上部署,无需进一步编码。下图描述了 Spark 的 MLlib 算法作为思维导图。Spark 的 MLlib 旨在利用并行性,同时具有容错的分布式数据结构。Spark 将这些数据结构称为弹性分布式数据集或RDDs:
Scala
Scala是一种现代编程语言,正在成为传统编程语言(如Java和C++)的替代品。Scala 是一种基于 JVM 的语言,不仅提供了简洁的语法,而且还将面向对象和函数式编程结合到了一个极其简洁和非常强大的类型安全语言中。
Scala 采用灵活和富有表现力的方法,使其非常适合与 Spark 的 MLlib 交互。Spark 本身是用 Scala 编写的事实证明了 Scala 语言是一种全方位的编程语言,可以用来创建具有重大性能需求的复杂系统代码。
Scala 通过解决一些 Java 的缺点,同时避免了全有或全无的方法,继承了 Java 的传统。Scala 代码编译成 Java 字节码,从而使其能够与丰富的 Java 库互换使用。能够在 Scala 和 Java 之间使用 Java 库提供了连续性和丰富的环境,使软件工程师能够构建现代和复杂的机器学习系统,而不必完全脱离 Java 传统和代码库。
Scala 完全支持功能丰富的函数式编程范式,标准支持 lambda、柯里化、类型接口、不可变性、惰性求值和一种类似 Perl 的模式匹配范式,而不带有神秘的语法。由于 Scala 支持代数友好的数据类型、匿名函数、协变、逆变和高阶函数,因此 Scala 非常适合机器学习编程。
以下是 Scala 中的 hello world 程序:
object HelloWorld extends App {
println("Hello World!")
}
在 Scala 中编译和运行HelloWorld看起来像这样:
《Apache Spark 机器学习食谱》采用实用的方法,以开发人员为重点提供多学科视角。本书侧重于机器学习、Apache Spark和Scala的交互和凝聚力。我们还采取额外步骤,教您如何设置和运行开发环境,使其熟悉开发人员,并提供必须在交互式 shell 中运行的代码片段,而不使用现代 IDE 提供的便利设施:
本书中使用的软件版本和库
以下表格提供了本书中使用的软件版本和库的详细列表。如果您按照本章中的安装说明进行安装,将包括此处列出的大部分项目。可能需要特定配方的任何其他 JAR 或库文件都将通过各自配方中的额外安装说明进行覆盖:
| 核心系统 | 版本 |
|---|---|
| Spark | 2.0.0 |
| Java | 1.8 |
| IntelliJ IDEA | 2016.2.4 |
| Scala-sdk | 2.11.8 |
将需要的其他 JAR 如下:
| 其他 JAR | 版本 |
|---|---|
bliki-core | 3.0.19 |
breeze-viz | 0.12 |
Cloud9 | 1.5.0 |
Hadoop-streaming | 2.2.0 |
JCommon | 1.0.23 |
JFreeChart | 1.0.19 |
lucene-analyzers-common | 6.0.0 |
Lucene-Core | 6.0.0 |
scopt | 3.3.0 |
spark-streaming-flume-assembly | 2.0.0 |
spark-streaming-kafka-0-8-assembly | 2.0.0 |
我们还在 Spark 2.1.1 上测试了本书中的所有配方,并发现程序按预期执行。建议您在学习目的上使用这些表中列出的软件版本和库。
为了跟上快速变化的 Spark 领域和文档,本书中提到的 Spark 文档的 API 链接指向 Spark 2.x.x 的最新版本,但是配方中的 API 引用明确是针对 Spark 2.0.0 的。
本书提供的所有 Spark 文档链接都将指向 Spark 网站上的最新文档。如果您希望查找特定版本的 Spark 文档(例如,Spark 2.0.0),请使用以下 URL 在 Spark 网站上查找相关文档:
spark.apache.org/documentation.html
我们将代码尽可能简化,以便清晰地展示,而不是展示 Scala 的高级功能。
下载和安装 JDK
第一步是下载 Scala/Spark 开发所需的 JDK 开发环境。
准备工作
当您准备好下载和安装 JDK 时,请访问以下链接:
www.oracle.com/technetwork/java/javase/downloads/index.html
如何做...
下载成功后,请按照屏幕上的说明安装 JDK。
下载和安装 IntelliJ
IntelliJ Community Edition 是用于 Java SE、Groovy、Scala 和 Kotlin 开发的轻量级 IDE。为了完成设置您的机器学习与 Spark 开发环境,需要安装 IntelliJ IDE。
准备工作
当您准备好下载和安装 IntelliJ 时,请访问以下链接:
www.jetbrains.com/idea/download/
如何做...
在撰写本文时,我们使用的是 IntelliJ 15.x 或更高版本(例如,版本 2016.2.4)来测试本书中的示例,但是请随时下载最新版本。下载安装文件后,双击下载的文件(.exe)并开始安装 IDE。如果您不想进行任何更改,请将所有安装选项保持默认设置。按照屏幕上的说明完成安装:
下载和安装 Spark
现在我们继续下载和安装 Spark。
准备工作
当您准备好下载和安装 Spark 时,请访问 Apache 网站上的此链接:
spark.apache.org/downloads.html
如何做...
转到 Apache 网站并选择所需的下载参数,如此屏幕截图所示:
确保接受默认选择(点击下一步)并继续安装。
配置 IntelliJ 以便与 Spark 一起工作并运行 Spark ML 示例代码
在能够运行 Spark 提供的示例或本书中列出的任何程序之前,我们需要运行一些配置以确保项目设置正确。
准备工作
在配置项目结构和全局库时,我们需要特别小心。设置好一切后,我们继续运行 Spark 团队提供的示例 ML 代码以验证设置。示例代码可以在 Spark 目录下找到,也可以通过下载带有示例的 Spark 源代码获得。
如何做...
以下是配置 IntelliJ 以使用 Spark MLlib 并在示例目录中运行 Spark 提供的示例 ML 代码的步骤。示例目录可以在 Spark 的主目录中找到。使用 Scala 示例继续:
- 单击“Project Structure...”选项,如下截图所示,以配置项目设置:
- 验证设置:
- 配置全局库。选择 Scala SDK 作为全局库:
- 选择新的 Scala SDK 的 JAR 文件并让下载完成:
- 选择项目名称:
- 验证设置和额外的库:
- 添加依赖的 JAR 文件。在左侧窗格的项目设置下选择模块,然后单击依赖项选择所需的 JAR 文件,如下截图所示:
- 选择 Spark 提供的 JAR 文件。选择 Spark 的默认安装目录,然后选择
lib目录:
- 然后我们选择提供给 Spark 的示例 JAR 文件。
- 通过验证在左侧窗格中选择并导入所有列在
External Libraries下的 JAR 文件来添加所需的 JAR 文件:
- Spark 2.0 使用 Scala 2.11。运行示例需要两个新的流 JAR 文件,Flume 和 Kafka,并可以从以下 URL 下载:
下一步是下载并安装 Flume 和 Kafka 的 JAR 文件。出于本书的目的,我们使用了 Maven 存储库:
- 下载并安装 Kafka 组件:
- 下载并安装 Flume 组件:
- 下载完成后,将下载的 JAR 文件移动到 Spark 的
lib目录中。我们在安装 Spark 时使用了C驱动器:
- 打开您的 IDE 并验证左侧的
External Libraries文件夹中的所有 JAR 文件是否存在于您的设置中,如下截图所示:
- 构建 Spark 中的示例项目以验证设置:
- 验证构建是否成功:
还有更多...
在 Spark 2.0 之前,我们需要来自 Google 的另一个名为Guava的库来促进 I/O 并提供一组丰富的方法来定义表,然后让 Spark 在集群中广播它们。由于依赖问题很难解决,Spark 2.0 不再使用 Guava 库。如果您使用的是 2.0 之前的 Spark 版本(1.5.2 版本需要),请确保使用 Guava 库。Guava 库可以在以下 URL 中访问:
您可能想使用版本为 15.0 的 Guava,可以在这里找到:
mvnrepository.com/artifact/com.google.guava/guava/15.0
如果您正在使用以前博客中的安装说明,请确保从安装集中排除 Guava 库。
另请参阅
如果还有其他第三方库或 JAR 文件需要完成 Spark 安装,您可以在以下 Maven 存储库中找到:
repo1.maven.org/maven2/org/apache/spark/
从 Spark 运行示例 ML 代码
我们可以通过简单地从 Spark 源树下载示例代码并将其导入到 IntelliJ 中来验证设置,以确保其运行。
准备就绪
我们将首先运行逻辑回归代码从样本中验证安装。在下一节中,我们将继续编写同样程序的我们自己的版本,并检查输出以了解其工作原理。
如何做...
- 转到源目录并选择要运行的 ML 样本代码文件。我们选择了逻辑回归示例。
如果您在您的目录中找不到源代码,您可以随时下载 Spark 源代码,解压缩,然后相应地提取示例目录。
- 选择示例后,选择编辑配置...,如下面的截图所示:
- 在配置选项卡中,定义以下选项:
-
VM 选项:所示的选择允许您运行独立的 Spark 集群
-
程序参数:我们应该传递给程序的内容
- 通过转到运行'LogisticRegressionExample'来运行逻辑回归,如下面的截图所示:
- 验证退出代码,并确保其如下面的截图所示:
识别实际机器学习的数据来源
过去获取机器学习项目的数据是一个挑战。然而,现在有一套丰富的公共数据源,专门适用于机器学习。
准备就绪
除了大学和政府来源外,还有许多其他开放数据源可用于学习和编写自己的示例和项目。我们将列出数据来源,并向您展示如何最好地获取和下载每一章的数据。
如何做...
以下是一些值得探索的开源数据列表,如果您想在这个领域开发应用程序:
-
UCI 机器学习库:这是一个具有搜索功能的广泛库。在撰写本文时,有超过 350 个数据集。您可以单击
archive.ics.uci.edu/ml/index.html链接查看所有数据集,或使用简单搜索(Ctrl + F)查找特定集。 -
Kaggle 数据集:您需要创建一个帐户,但您可以下载任何用于学习以及参加机器学习竞赛的数据集。
www.kaggle.com/competitions链接提供了有关探索和了解 Kaggle 以及机器学习竞赛内部运作的详细信息。 -
MLdata.org:一个向所有人开放的公共网站,其中包含机器学习爱好者的数据集存储库。
-
Google 趋势:您可以在
www.google.com/trends/explore上找到自 2004 年以来任何给定术语的搜索量统计(作为总搜索量的比例)。 -
中央情报局世界概况:
www.cia.gov/library/publications/the-world-factbook/链接提供了有关 267 个国家的历史、人口、经济、政府、基础设施和军事的信息。
另请参阅
机器学习数据的其他来源:
-
来自 Lending Club 的金融数据集
www.lendingclub.com/info/download-data.action -
来自 Yahoo 的研究数据
webscope.sandbox.yahoo.com/index.php -
亚马逊 AWS 公共数据集
aws.amazon.com/public-data-sets/ -
来自 Image Net 的标记视觉数据
www.image-net.org -
人口普查数据集
www.census.gov -
编译的 YouTube 数据集
netsg.cs.sfu.ca/youtubedata/ -
从 MovieLens 网站收集的评分数据
grouplens.org/datasets/movielens/ -
Enron 数据集对公众开放
www.cs.cmu.edu/~enron/ -
经典书籍《统计学习要素》的数据集
statweb.stanford.edu/~tibs/ElemStatLearn/data.htmlIMDB -
康奈尔大学的大量数据集
arxiv.org/help/bulk_data_s3 -
Guttenberg 项目数据集
www.gutenberg.org/wiki/Gutenberg:Offline_Catalogs -
世界银行的数据集
data.worldbank.org -
来自 World Net 的词汇数据库
wordnet.princeton.edu -
纽约市警察局的碰撞数据
nypd.openscrape.com/#/ -
国会投票和其他数据集
voteview.com/dwnl.htm -
斯坦福大学的大型图数据集
snap.stanford.edu/data/index.html -
来自 datahub 的丰富数据集
datahub.io/dataset -
Yelp 的学术数据集
www.yelp.com/academic_dataset -
来自 GitHub 的数据来源
github.com/caesar0301/awesome-public-datasets -
Reddit 的数据集存档
www.reddit.com/r/datasets/
有一些专门的数据集(例如,西班牙文本分析和基因和 IMF 数据)可能会引起您的兴趣:
-
哥伦比亚的数据集(西班牙语):
www.datos.gov.co/frm/buscador/frmBuscador.aspx -
Pew 的研究数据
www.pewinternet.org/datasets/ -
来自伊利诺伊州/美国的数据
data.illinois.gov -
来自 freebase.com 的数据
www.freebase.com -
联合国及其相关机构的数据集
data.un.org -
国际货币基金组织数据集
www.imf.org/external/data.htm -
英国政府数据
data.gov.uk -
来自爱沙尼亚的开放数据
pub.stat.ee/px-web.2001/Dialog/statfile1.asp -
R 中的许多 ML 库包含可以导出为 CSV 的数据
www.r-project.org -
基因表达数据集
www.ncbi.nlm.nih.gov/geo/
使用 IntelliJ IDE 运行您的第一个 Apache Spark 2.0 程序
该程序的目的是让您熟悉使用刚刚设置的 Spark 2.0 开发环境编译和运行配方。我们将在后面的章节中探讨组件和步骤。
我们将编写我们自己的版本的 Spark 2.0.0 程序,并检查输出,以便我们了解它是如何工作的。需要强调的是,这个简短的示例只是一个简单的 RDD 程序,使用 Scala 语法糖,以确保在开始处理更复杂的示例之前,您已经正确设置了环境。
如何做...
-
在 IntelliJ 或您选择的 IDE 中启动一个新项目。确保包含必要的 JAR 文件。
-
下载本书的示例代码,找到
myFirstSpark20.scala文件,并将代码放在以下目录中。
我们在 Windows 机器上的C:\spark-2.0.0-bin-hadoop2.7\目录中安装了 Spark 2.0。
- 将
myFirstSpark20.scala文件放在C:\spark-2.0.0-bin-hadoop2.7\examples\src\main\scala/spark/ml/cookbook/chapter1目录中:
请注意,Mac 用户在 Mac 机器上的/Users/USERNAME/spark/spark-2.0.0-bin-hadoop2.7/目录中安装了 Spark 2.0。
将myFirstSpark20.scala文件放在/Users/USERNAME/spark/spark-2.0.0-bin-hadoop2.7/examples/src/main/scala/spark/ml/cookbook/chapter1目录中。
- 设置程序所在的包位置:
package spark.ml.cookbook.chapter1
- 导入 Spark 会话所需的必要包,以便访问集群和
log4j.Logger来减少 Spark 产生的输出量:
import org.apache.spark.sql.SparkSession
import org.apache.log4j.Logger
import org.apache.log4j.Level
- 将输出级别设置为
ERROR以减少 Spark 的日志输出:
Logger.getLogger("org").setLevel(Level.ERROR)
- 通过使用构建器模式指定配置来初始化 Spark 会话,从而使 Spark 集群的入口点可用:
val spark = SparkSession
.builder
.master("local[*]")
.appName("myFirstSpark20")
.config("spark.sql.warehouse.dir", ".")
.getOrCreate()
myFirstSpark20对象将在本地模式下运行。上一个代码块是开始创建SparkSession对象的典型方式。
- 然后我们创建了两个数组变量:
val x = Array(1.0,5.0,8.0,10.0,15.0,21.0,27.0,30.0,38.0,45.0,50.0,64.0)
val y = Array(5.0,1.0,4.0,11.0,25.0,18.0,33.0,20.0,30.0,43.0,55.0,57.0)
- 然后让 Spark 基于之前创建的数组创建两个 RDD:
val xRDD = spark.sparkContext.parallelize(x)
val yRDD = spark.sparkContext.parallelize(y)
- 接下来,让 Spark 在
RDD上操作;zip()函数将从之前提到的两个 RDD 创建一个新的RDD:
val zipedRDD = xRDD.zip(yRDD)
zipedRDD.collect().foreach(println)
在运行时的控制台输出中(有关如何在 IntelliJ IDE 中运行程序的更多详细信息),您将看到这个:
- 现在,我们对
xRDD和yRDD的值进行求和,并计算新的zipedRDD的总值。我们还计算了zipedRDD的项目计数:
val xSum = zipedRDD.map(_._1).sum()
val ySum = zipedRDD.map(_._2).sum()
val xySum= zipedRDD.map(c => c._1 * c._2).sum()
val n= zipedRDD.count()
- 我们在控制台中打印出先前计算的值:
println("RDD X Sum: " +xSum)
println("RDD Y Sum: " +ySum)
println("RDD X*Y Sum: "+xySum)
println("Total count: "+n)
这是控制台输出:
- 我们通过停止 Spark 会话来关闭程序:
spark.stop()
- 程序完成后,IntelliJ 项目资源管理器中的
myFirstSpark20.scala布局将如下所示:
- 确保没有编译错误。您可以通过重新构建项目来测试:
重建完成后,控制台上应该会有一个构建完成的消息:
Information: November 18, 2016, 11:46 AM - Compilation completed successfully with 1 warning in 55s 648ms
- 您可以通过右键单击项目资源管理器中的
myFirstSpark20对象,并选择上下文菜单选项(如下一截图所示)Run myFirstSpark20来运行上一个程序。
您也可以使用菜单栏中的运行菜单执行相同的操作。
- 程序成功执行后,您将看到以下消息:
Process finished with exit code 0
这也显示在以下截图中:
- 使用相同的上下文菜单,Mac 用户可以执行此操作。
将代码放在正确的路径中。
工作原理...
在这个例子中,我们编写了我们的第一个 Scala 程序myFirstSpark20.scala,并展示了在 IntelliJ 中执行程序的步骤。我们将代码放在了 Windows 和 Mac 的步骤中描述的路径中。
在myFirstSpark20代码中,我们看到了创建SparkSession对象的典型方式,以及如何使用master()函数将其配置为在本地模式下运行。我们从数组对象中创建了两个 RDD,并使用简单的zip()函数创建了一个新的 RDD。
我们还对创建的 RDD 进行了简单的求和计算,然后在控制台中显示了结果。最后,我们通过调用spark.stop()退出并释放资源。
还有更多...
Spark 可以从spark.apache.org/downloads.html下载。
有关与 RDD 相关的 Spark 2.0 文档可以在spark.apache.org/docs/latest/programming-guide.html#rdd-operations找到。
另请参阅
- 有关 JetBrain IntelliJ 的更多信息,请访问
www.jetbrains.com/idea/。
如何将图形添加到您的 Spark 程序
在这个示例中,我们讨论了如何使用 JFreeChart 将图形图表添加到您的 Spark 2.0.0 程序中。
如何做...
-
设置 JFreeChart 库。可以从
sourceforge.net/projects/jfreechart/files/网站下载 JFreeChart JAR 文件。 -
我们在本书中涵盖的 JFreeChart 版本是 JFreeChart 1.0.19,如下截图所示。可以从
sourceforge.net/projects/jfreechart/files/1.%20JFreeChart/1.0.19/jfreechart-1.0.19.zip/download网站下载:
-
一旦 ZIP 文件下载完成,解压它。我们在 Windows 机器上将 ZIP 文件解压到
C:\,然后继续找到解压目标目录下的lib目录。 -
然后找到我们需要的两个库(JFreeChart 需要 JCommon),
JFreeChart-1.0.19.jar和JCommon-1.0.23:
-
现在我们将之前提到的两个 JAR 文件复制到
C:\spark-2.0.0-bin-hadoop2.7\examples\jars\目录中。 -
如前面设置部分中提到的,此目录在 IntelliJ IDE 项目设置的类路径中:
在 macOS 中,您需要将前面提到的两个 JAR 文件放在/Users/USERNAME/spark/spark-2.0.0-bin-hadoop2.7/examples\jars\目录中。
-
在 IntelliJ 或您选择的 IDE 中启动一个新项目。确保包含必要的 JAR 文件。
-
下载该书的示例代码,找到
MyChart.scala,并将代码放在以下目录中。 -
我们在 Windows 的
C:\spark-2.0.0-bin-hadoop2.7\目录中安装了 Spark 2.0。将MyChart.scala放在C:\spark-2.0.0-bin-hadoop2.7\examples\src\main\scala\spark\ml\cookbook\chapter1目录中。 -
设置程序将驻留的包位置:
package spark.ml.cookbook.chapter1
-
导入 Spark 会话所需的包,以便访问集群和
log4j.Logger以减少 Spark 产生的输出量。 -
导入用于图形的必要 JFreeChart 包:
import java.awt.Color
import org.apache.log4j.{Level, Logger}
import org.apache.spark.sql.SparkSession
import org.jfree.chart.plot.{PlotOrientation, XYPlot}
import org.jfree.chart.{ChartFactory, ChartFrame, JFreeChart}
import org.jfree.data.xy.{XYSeries, XYSeriesCollection}
import scala.util.Random
- 将输出级别设置为
ERROR以减少 Spark 的日志输出:
Logger.getLogger("org").setLevel(Level.ERROR)
- 使用构建模式指定配置初始化 Spark 会话,从而为 Spark 集群提供入口点:
val spark = SparkSession
.builder
.master("local[*]")
.appName("myChart")
.config("spark.sql.warehouse.dir", ".")
.getOrCreate()
-
myChart对象将在本地模式下运行。前面的代码块是创建SparkSession对象的典型开始。 -
然后我们使用随机数创建一个 RDD,并将数字与其索引进行压缩:
val data = spark.sparkContext.parallelize(Random.shuffle(1 to 15).zipWithIndex)
- 我们在控制台打印出 RDD:
data.foreach(println)
这是控制台输出:
- 然后我们为 JFreeChart 创建一个数据系列来显示:
val xy = new XYSeries("")
data.collect().foreach{ case (y: Int, x: Int) => xy.add(x,y) }
val dataset = new XYSeriesCollection(xy)
- 接下来,我们从 JFreeChart 的
ChartFactory创建一个图表对象,并设置基本配置:
val chart = ChartFactory.createXYLineChart(
"MyChart", // chart title
"x", // x axis label
"y", // y axis label
dataset, // data
PlotOrientation.VERTICAL,
false, // include legend
true, // tooltips
false // urls
)
- 我们从图表中获取绘图对象,并准备显示图形:
val plot = chart.getXYPlot()
- 首先配置绘图:
configurePlot(plot)
configurePlot函数定义如下;它为图形部分设置了一些基本的颜色方案:
def configurePlot(plot: XYPlot): Unit = {
plot.setBackgroundPaint(Color.WHITE)
plot.setDomainGridlinePaint(Color.BLACK)
plot.setRangeGridlinePaint(Color.BLACK)
plot.setOutlineVisible(false)
}
- 现在我们展示
chart:
show(chart)
show()函数定义如下。这是一个非常标准的基于帧的图形显示函数:
def show(chart: JFreeChart) {
val frame = new ChartFrame("plot", chart)
frame.pack()
frame.setVisible(true)
}
- 一旦
show(chart)成功执行,将弹出以下窗口:
- 通过停止 Spark 会话来关闭程序:
spark.stop()
它是如何工作的...
在这个示例中,我们编写了MyChart.scala,并看到了在 IntelliJ 中执行程序的步骤。我们在 Windows 和 Mac 的步骤中描述的路径中放置了代码。
在代码中,我们看到了创建SparkSession对象的典型方式以及如何使用master()函数。我们从 1 到 15 范围内的随机整数数组创建了一个 RDD,并将其与索引进行了压缩。
然后,我们使用 JFreeChart 来组合一个基本的图表,其中包含一个简单的x和y轴,并使用我们在前面步骤中从原始 RDD 生成的数据集来提供图表。
我们为图表设置了架构,并调用了 JFreeChart 中的show()函数,以显示一个带有x和y轴的线性图表。
最后,我们通过调用spark.stop()退出并释放资源。
还有更多...
有关 JFreeChart 的更多信息,请访问以下网站:
另请参阅
Additional examples about the features and capabilities of JFreeChart can be found at the following website:
www.jfree.org/jfreechart/samples.html
第二章:机器学习与 Spark 的线性代数基础
在本章中,我们将涵盖以下内容:
-
向量和矩阵的包导入和初始设置
-
创建 DenseVector 并在 Spark 2.0 中设置
-
创建 SparseVector 并在 Spark 2.0 中设置
-
创建 DenseMatrix 并在 Spark 2.0 中设置
-
使用 Spark 2.0 的稀疏本地矩阵
-
使用 Spark 2.0 进行向量运算
-
使用 Spark 2.0 进行矩阵运算
-
Spark 2.0 ML 库中的分布式矩阵
-
在 Spark 2.0 中探索 RowMatrix
-
在 Spark 2.0 中探索分布式 IndexedRowMatrix
-
在 Spark 2.0 中探索分布式 CoordinateMatrix
-
在 Spark 2.0 中探索分布式 BlockMatrix
介绍
线性代数是机器学习(ML)和数学 编程(MP)的基石。在处理 Spark 的机器库时,必须了解 Scala 提供的 Vector/Matrix 结构(默认导入)与 Spark 提供的 ML、MLlib Vector、Matrix 设施有所不同。后者由 RDD 支持,是所需的数据结构,如果要使用 Spark(即并行性)进行大规模矩阵/向量计算(例如,某些情况下用于衍生定价和风险分析的 SVD 实现替代方案,具有更高的数值精度)。Scala Vector/Matrix 库提供了丰富的线性代数操作,如点积、加法等,在 ML 管道中仍然有其自己的位置。总之,使用 Scala Breeze 和 Spark 或 Spark ML 之间的关键区别在于,Spark 设施由 RDD 支持,允许同时分布式、并发计算和容错,而无需任何额外的并发模块或额外的工作(例如,Akka + Breeze)。
几乎所有的机器学习算法都使用某种形式的分类或回归机制(不一定是线性的)来训练模型,然后通过比较训练输出和实际输出来最小化错误。例如,在 Spark 中任何推荐系统的实现都会严重依赖于矩阵分解、因子分解、近似或单值分解(SVD)。另一个与处理大型数据集的维度约简有关的机器学习领域是主成分分析(PCA),它严重依赖于线性代数、因子分解和矩阵操作。
当我们第一次在 Spark 1.x.x 中检查 Spark ML 和 MLlib 算法的源代码时,我们很快注意到向量和矩阵使用 RDD 作为许多重要算法的基础。
当我们重新审视 Spark 2.0 和机器学习库的源代码时,我们注意到一些有趣的变化需要在以后考虑。以下是从 Spark 1.6.2 到 Spark 2.0.0 的一些变化的示例,这些变化影响了我们在 Spark 中的一些线性代数代码:
- 在之前的版本(Spark 1.6.x)中,您可以通过使用
toBreeze()函数直接将DenseVector或SparseVector(参见spark.apache.org/docs/1.5.2/api/java/org/apache/spark/mllib/linalg/Vectors.html)转换为BreezeVector实例,如下面的代码所示:
val w3 = w1.toBreeze // spark 1.6.x code
val w4 = w2.toBreeze //spark 1.6.x code
-
在 Spark 2.0 中,
toBreeze()函数不仅已更改为asBreeze(),而且还已降级为私有函数 -
为了解决这个问题,可以使用以下代码片段之一将前面的向量转换为常用的
BreezeVector实例:
val w3 = new BreezeVector(x.toArray)//x.asBreeze, spark 2.0
val w4 = new BreezeVector(y.toArray)//y.asBreeze, spark 2.0
Scala 是一种简洁的语言,对象导向和函数式编程范式可以在其中共存而不冲突。虽然在机器学习范式中,函数式编程更受青睐,但在初始数据收集和稍后的展示阶段使用面向对象的方法也没有问题。
在大规模分布式矩阵方面,我们的经验表明,当处理大矩阵集 10⁹至 10¹³至 10²⁷等时,您必须更深入地研究分布式操作中固有的网络操作和洗牌。根据我们的经验,当您以规模运行时,本地和分布式矩阵/向量操作的组合(例如,点积,乘法等)在操作时效果最佳。
以下图片描述了可用 Spark 向量和矩阵的分类:
包导入和向量矩阵的初始设置
在我们可以在 Spark 中编程或使用向量和矩阵工件之前,我们首先需要导入正确的包,然后设置SparkSession,以便我们可以访问集群句柄。
在这个简短的配方中,我们突出了一系列可以涵盖大多数 Spark 线性代数操作的包。接下来的各个配方将包括特定程序所需的确切子集。
如何做...
-
在 IntelliJ 或您选择的 IDE 中启动一个新项目。确保包含必要的 JAR 文件。
-
设置程序将驻留的包位置:
package spark.ml.cookbook.chapter2
- 导入用于向量和矩阵操作的必要包:
import org.apache.spark.mllib.linalg.distributed.RowMatrix
import org.apache.spark.mllib.linalg.distributed.{IndexedRow, IndexedRowMatrix}
import org.apache.spark.mllib.linalg.distributed.{CoordinateMatrix, MatrixEntry}
import org.apache.spark.sql.{SparkSession}
import org.apache.spark.rdd._
import org.apache.spark.mllib.linalg._
import breeze.linalg.{DenseVector => BreezeVector}
import Array._
import org.apache.spark.mllib.linalg.DenseMatrix
import org.apache.spark.mllib.linalg.SparseVector
- 导入设置
log4j的包。这一步是可选的,但我们强烈建议这样做(随着开发周期的推移,适当更改级别):
import org.apache.log4j.Logger
import org.apache.log4j.Level
- 将日志级别设置为警告和错误,以减少输出。有关包要求,请参阅上一步:
Logger.getLogger("org").setLevel(Level.ERROR)
Logger.getLogger("akka").setLevel(Level.ERROR)
- 设置 Spark 上下文和应用程序参数,以便 Spark 可以运行:
val spark = SparkSession
.builder
.master("local[*]")
.appName("myVectorMatrix")
.config("spark.sql.warehouse.dir", ".")
.getOrCreate()
还有更多...
在 Spark 2.0 之前,SparkContext 和 SQLContext 必须分别初始化。如果您计划在 Spark 的早期版本中运行代码,请参考以下代码片段。
设置应用程序参数,以便 Spark 可以运行(使用 Spark 1.5.2 或 Spark 1.6.1):
val conf = new SparkConf().setMaster("local[*]").setAppName("myVectorMatrix").setSparkHome("C:\\spark-1.5.2-bin-hadoop2.6")
val sc = new SparkContext(conf)
val sqlContext = new SQLContext(sc)
另请参阅
SparkSession 是 Spark 2.x.x 及以上版本中集群的新入口点。SparkSession 统一了对集群和所有数据的访问。它统一了对 SparkContext、SQLContext 或 HiveContext 的访问,同时使得使用 DataFrame 和 Dataset API 更加容易。我们将在第四章中专门的配方中重新讨论 SparkSession,实现强大的机器学习系统的常见配方。
参考以下图片:
方法调用的文档可以在spark.apache.org/docs/2.0.0/api/scala/#org.apache.spark.sql.SparkSession中查看。
创建 DenseVector 并在 Spark 2.0 中设置
在这个配方中,我们将使用 Spark 2.0 机器库来探索DenseVectors。
Spark 提供了两种不同类型的向量设施(密集和稀疏),用于存储和操作将用于机器学习或优化算法中的特征向量。
如何做...
-
在本节中,我们将研究使用 Spark 2.0 机器库的
DenseVectors示例,这些示例最有可能用于实现/增强现有的机器学习程序。这些示例还有助于更好地理解 Spark ML 或 MLlib 源代码和底层实现(例如,单值分解)。 -
在这里,我们将从数组创建 ML 向量特征(具有独立变量),这是一个常见用例。在这种情况下,我们有三个几乎完全填充的 Scala 数组,对应于客户和产品特征集。我们将这些数组转换为 Scala 中相应的
DenseVectors:
val CustomerFeatures1: Array[Double] = Array(1,3,5,7,9,1,3,2,4,5,6,1,2,5,3,7,4,3,4,1)
val CustomerFeatures2: Array[Double] = Array(2,5,5,8,6,1,3,2,4,5,2,1,2,5,3,2,1,1,1,1)
val ProductFeatures1: Array[Double] = Array(0,1,1,0,1,1,1,0,0,1,1,1,1,0,1,2,0,1,1,0)
设置变量以从数组创建向量。从数组转换为DenseVector:
val x = Vectors.dense(CustomerFeatures1)
val y = Vectors.dense(CustomerFeatures2)
val z = Vectors.dense(ProductFeatures1)
- 下一步是创建
DenseVector并通过初始化赋值。
这是最常引用的情况,通常用于处理批量输入的类构造函数:
val denseVec2 = Vectors.dense(5,3,5,8,5,3,4,2,1,6)
- 以下是另一个示例,展示了在初始化期间从字符串转换为双精度的即时转换。在这里,我们从一个字符串开始,并在内联中调用
toDouble:
val xyz = Vectors.dense("2".toDouble, "3".toDouble, "4".toDouble)
println(xyz)
输出如下:
[2.0,3.0,4.0]
它是如何工作的...
- 该方法构造函数的签名为:
DenseVector (double[] values)
- 该方法继承自以下内容,使其具体方法对所有例程可用:
interface class java.lang.Object
interface org.apache.spark.mllib.linalg. Vector
-
有几个感兴趣的方法调用:
-
制作向量的深拷贝:
DenseVector copy()
-
- 转换为
SparseVector。如果您的向量很长,并且在进行了一定数量的操作后密度减小(例如,将不贡献的成员归零),则会执行此操作:
- 转换为
SparseVector toSparse()
-
- 查找非零元素的数量。如果密度 ID 较低,则这很有用,因此您可以即时转换为 SparseVector:
Int numNonzeros()
-
- 将向量转换为数组。在处理需要与 RDD 或使用 Spark ML 作为子系统的专有算法进行紧密交互的分布式操作时,这通常是必要的:
Double[] toArray()
还有更多...
必须小心,不要将Breeze库提供的向量功能与 Spark ML 向量混合使用。要使用 ML 库算法,您需要使用其本机数据结构,但您始终可以从 ML 向量转换为Breeze,进行所有数学运算,然后在使用 ML 库算法(例如 ALS 或 SVD)时转换为 Spark 所需的数据结构。
我们需要向量和矩阵导入语句,这样我们才能使用 ML 库本身,否则 Scala 向量和矩阵将默认使用。当程序无法在集群上扩展时,这是导致许多混乱的根源。
以下图示了一个图解视图,这应该有助于澄清主题:
另请参阅
-
方法调用的文档可在
spark.apache.org/docs/latest/api/java/org/apache/spark/mllib/linalg/DenseVector.html#method_summary找到
创建 SparseVector 并使用 Spark 进行设置
在这个示例中,我们检查了几种SparseVector的创建类型。当向量的长度增加(百万级)且密度保持较低(非零成员较少)时,稀疏表示变得越来越有利于DenseVector。
如何做...
-
在 IntelliJ 或您选择的 IDE 中启动一个新项目。确保包含必要的 JAR 文件。
-
导入向量和矩阵操作所需的必要包:
import org.apache.spark.sql.{SparkSession}
import org.apache.spark.mllib.linalg._
import breeze.linalg.{DenseVector => BreezeVector}
import Array._
import org.apache.spark.mllib.linalg.SparseVector
- 设置 Spark 上下文和应用程序参数,以便 Spark 可以运行。有关更多详细信息和变体,请参见本章的第一个示例:
val spark = SparkSession
.builder
.master("local[*]")
.appName("myVectorMatrix")
.config("spark.sql.warehouse.dir", ".")
.getOrCreate()
- 在这里,我们看一下创建与其等效的 DenseVector 相对应的 ML SparseVector。调用包括三个参数:向量的大小,非零数据的索引,最后是数据本身。
在下面的示例中,我们可以比较密集与 SparseVector 的创建。如您所见,四个非零元素(5、3、8、9)对应于位置(0、2、18、19),而数字 20 表示总大小:
val denseVec1 = Vectors.dense(5,0,3,0,0,0,0,0,0,0,0,0,0,0,0,0,0,0,8,9)
val sparseVec1 = Vectors.sparse(20, Array(0,2,18,19), Array(5, 3, 8,9))
- 为了更好地理解数据结构,我们比较输出和一些重要属性,这些属性对我们有所帮助,特别是在使用向量进行动态编程时。
首先,我们看一下 DenseVector 的打印输出,以查看其表示:
println(denseVec1.size)
println(denseVec1.numActives)
println(denseVec1.numNonzeros)
println("denceVec1 presentation = ",denseVec1)
输出如下:
denseVec1.size = 20
denseVec1.numActives = 20
denseVec1.numNonzeros = 4
(denseVec1 presentation = ,[5.0,0.0,3.0,0.0,0.0,
0.0,0.0,0.0,0.0,0.0,0.0,0.0,0.0,0.0,0.0,0.0,0.0,0.0,8.0,9.0])
- 接下来,我们看一下 SparseVector 的打印输出,以查看其内部表示:
println(sparseVec1.size)
println(sparseVec1.numActives)
println(sparseVec1.numNonzeros)
println("sparseVec1 presentation = ",sparseVec1)
如果我们比较内部表示和元素数量与活跃和非零元素的对比,您会发现 SparseVector 只存储非零元素和索引以减少存储需求。
输出如下:
denseVec1.size = 20
println(sparseVec1.numActives)= 4
sparseVec1.numNonzeros = 4
(sparseVec1 presentation = ,(20,[0,2,18,19],[5.0,3.0,8.0,9.0]))
- 我们可以根据需要在稀疏向量和密集向量之间进行转换。您可能想这样做的原因是,外部数学和线性代数不符合 Spark 的内部表示。我们明确指定了变量类型以阐明观点,但在实际操作中可以消除该额外声明:
val ConvertedDenseVect : DenseVector= sparseVec1.toDense
val ConvertedSparseVect : SparseVector= denseVec1.toSparse
println("ConvertedDenseVect =", ConvertedDenseVect)
println("ConvertedSparseVect =", ConvertedSparseVect)
输出如下:
(ConvertedDenseVect =,[5.0,0.0,3.0,0.0,0.0,0.0,0.0,0.0,
0.0,0.0,0.0,0.0,0.0,0.0,0.0,0.0,0.0,0.0,8.0,9.0])
(ConvertedSparseVect =,(20,[0,2,18,19],[5.0,3.0,8.0,9.0]))
工作原理...
- 此方法构造函数的签名为:
SparseVector(int size, int[] indices, double[] values)
该方法继承自以下内容,使其具体方法对所有例程可用:
interface class java.lang.Object
有几个与向量相关的方法调用是有趣的:
-
- 对向量进行深拷贝:
SparseVector Copy()
-
- 转换为
SparseVector。如果您的向量很长,并且密度在多次操作后减少(例如,将不贡献的成员归零),则会执行此操作:
- 转换为
DenseVector toDense()
-
- 查找非零元素的数量。这很有用,因此您可以在需要时将其转换为稀疏向量,如果密度 ID 较低。
Int numNonzeros()
-
- 将向量转换为数组。在处理需要与 RDD 或使用 Spark ML 作为子系统的专有算法进行 1:1 交互的分布式操作时,通常需要这样做:
Double[] toArray()
还有更多...
-
必须记住,密集向量和稀疏向量是本地向量,不得与分布式设施混淆(例如,分布式矩阵,如 RowMatrix 类)。
-
本地机器上向量的基本数学运算将由两个库提供:
-
- Breeze:
www.scalanlp.org/
- Breeze:
-
JBLAS:
jblas.org/
还有一个与向量直接相关的数据结构,称为 LabeledPoint,我们在第四章中介绍过,实现强大的机器学习系统的常见配方。简而言之,它是一种数据结构,用于存储 ML 数据,包括特征向量和标签(例如,回归中的自变量和因变量)。
-
LIBLINEAR:
www.csie.ntu.edu.tw/~cjlin/liblinear/
另请参阅
-
方法调用的文档可在
spark.apache.org/docs/latest/api/java/org/apache/spark/mllib/linalg/SparseVector.html#method_summary找到
创建密集矩阵并使用 Spark 2.0 进行设置
在这个配方中,我们探讨了您在 Scala 编程中可能需要的矩阵创建示例,以及在阅读许多用于机器学习的开源库的源代码时可能需要的示例。
Spark 提供了两种不同类型的本地矩阵设施(密集和稀疏),用于在本地级别存储和操作数据。简单来说,将矩阵视为向量的列是一种思考方式。
准备工作
在这里要记住的关键是,该配方涵盖了存储在一台机器上的本地矩阵。我们将在本章中介绍的另一个配方Spark2.0 ML 库中的分布式矩阵,用于存储和操作分布式矩阵。
如何做...
-
在 IntelliJ 或您选择的 IDE 中启动一个新项目。确保包含必要的 JAR 文件。
-
导入向量和矩阵操作所需的包:
import org.apache.spark.sql.{SparkSession}
import org.apache.spark.mllib.linalg._
import breeze.linalg.{DenseVector => BreezeVector}
import Array._
import org.apache.spark.mllib.linalg.SparseVector
- 设置 Spark 会话和应用程序参数,以便 Spark 可以运行:
val spark = SparkSession
.builder
.master("local[*]")
.appName("myVectorMatrix")
.config("spark.sql.warehouse.dir", ".")
.getOrCreate()
- 在这里,我们将从 Scala 数组创建 ML 向量特征。让我们定义一个 2x2 的密集矩阵,并用数组实例化它:
val MyArray1= Array(10.0, 11.0, 20.0, 30.3)
val denseMat3 = Matrices.dense(2,2,MyArray1)
输出如下:
DenseMat3=
10.0 20.0
11.0 30.3
通过初始化一步构建密集矩阵并分配值:
通过内联定义数组直接构造密集本地矩阵。这是一个 3x3 的数组,有九个成员。您可以将其视为三列三个向量(3x3):
val denseMat1 = Matrices.dense(3,3,Array(23.0, 11.0, 17.0, 34.3, 33.0, 24.5, 21.3,22.6,22.2))
输出如下:
denseMat1=
23.0 34.3 21.3
11.0 33.0 22.6
17.0 24.5 22.2
这是另一个示例,展示了使用向量内联实例化密集本地矩阵。这是一个常见情况,您将向量收集到矩阵(列顺序)中,然后对整个集合执行操作。最常见的情况是收集向量,然后使用分布式矩阵执行分布式并行操作。
在 Scala 中,我们使用++运算符与数组实现连接:
val v1 = Vectors.dense(5,6,2,5)
val v2 = Vectors.dense(8,7,6,7)
val v3 = Vectors.dense(3,6,9,1)
val v4 = Vectors.dense(7,4,9,2)
val Mat11 = Matrices.dense(4,4,v1.toArray ++ v2.toArray ++ v3.toArray ++ v4.toArray)
println("Mat11=\n", Mat11)
输出如下:
Mat11=
5.0 8.0 3.0 7.0
6.0 7.0 6.0 4.0
2.0 6.0 9.0 9.0
5.0 7.0 1.0 2.0
它是如何工作的...
- 此方法构造函数的签名为(按列主要密集矩阵):
DenseMatrix(int numRows, int numCols, double[] values)
DenseMatrix(int numRows, int numCols, double[] values, boolean isTransposed)
- 该方法继承自以下内容,使其具体方法对所有例程可用:
-
接口类 java.lang.Object
-
java.io.Serializable
-
矩阵
-
有几个感兴趣的方法调用:
-
从向量中提供的值生成对角矩阵:
static DenseMatrix(Vector vector)
-
- 创建一个单位矩阵。单位矩阵是对角线为 1,其他元素为 0 的矩阵:
static eye(int n)
-
- 跟踪矩阵是否被转置:
boolean isTransposed()
-
- 创建一个包含一组随机数的矩阵-从均匀分布中抽取:
static DenseMatrix rand(int numRows, int numCols, java.util.Random rng)
-
- 创建一个包含一组随机数的矩阵-从高斯分布中抽取:
static DenseMatrix randn(int numRows, int numCols, java.util.Random rng)
-
- 转置矩阵:
DenseMatrix transpose()
-
- 对向量进行深拷贝:
DenseVector Copy()
-
- 转换为稀疏向量。如果您的向量很长,并且密度在一系列操作后减少(例如,将不贡献的成员归零),则会执行此操作:
SparseVector toSparse()
-
- 查找非零元素的数量。这很有用,因此您可以根据需要将其转换为稀疏向量,如果密度 ID 较低:
Int numNonzeros()
-
- 获取矩阵中存储的所有值:
Double[] Values()
还有更多...
在 Spark 中处理矩阵最困难的部分是习惯于列顺序与行顺序。要记住的关键是,Spark ML 使用的底层库更适合使用列存储机制。以下是一个示例:
- 给定定义 2x2 矩阵的矩阵:
val denseMat3 = Matrices.dense(2,2, Array(10.0, 11.0, 20.0, 30.3))
- 矩阵实际上存储为:
10.0 20.0
11.0 30.3
您从值集合的左侧移动到右侧,然后从列到列进行矩阵的放置。
- 如您所见,矩阵按行存储的假设与 Spark 方法不一致。从 Spark 的角度来看,以下顺序是不正确的:
10.0 11.0
20.0 30.3
另请参阅
-
方法调用的文档可在
spark.apache.org/docs/latest/api/java/org/apache/spark/mllib/linalg/DenseMatrix.html#method_summary找到
使用 Spark 2.0 的稀疏本地矩阵
在这个示例中,我们专注于稀疏矩阵的创建。在上一个示例中,我们看到了如何声明和存储本地密集矩阵。许多机器学习问题领域可以表示为矩阵中的一组特征和标签。在大规模机器学习问题中(例如,疾病在大型人口中的传播,安全欺诈,政治运动建模等),许多单元格将为 0 或 null(例如,患有某种疾病的人数与健康人口的当前数量)。
为了帮助存储和实时操作的高效性,稀疏本地矩阵专门用于以列表加索引的方式高效存储单元格,从而实现更快的加载和实时操作。
如何做到...
-
在 IntelliJ 或您选择的 IDE 中启动新项目。确保包含必要的 JAR 文件。
-
导入向量和矩阵操作所需的包:
import org.apache.spark.mllib.linalg.distributed.RowMatrix
import org.apache.spark.mllib.linalg.distributed.{IndexedRow, IndexedRowMatrix}
import org.apache.spark.mllib.linalg.distributed.{CoordinateMatrix, MatrixEntry}
import org.apache.spark.sql.{SparkSession}
import org.apache.spark.mllib.linalg._
import breeze.linalg.{DenseVector => BreezeVector}
import Array._
import org.apache.spark.mllib.linalg.DenseMatrix
import org.apache.spark.mllib.linalg.SparseVector
- 设置 Spark 上下文和应用程序参数,以便 Spark 可以运行-有关更多详细信息和变体,请参见本章的第一个配方:
val spark = SparkSession
.builder
.master("local[*]")
.appName("myVectorMatrix")
.config("spark.sql.warehouse.dir", ".")
.getOrCreate()
- 由于我们将稀疏表示存储为压缩列存储(CCS),因此稀疏矩阵的创建要复杂一些,也称为 Harwell-Boeing 稀疏矩阵格式。 请参见*它是如何工作...*以获取详细说明。
我们声明并创建一个本地的 3x2 稀疏矩阵,只有三个非零成员:
val sparseMat1= Matrices.sparse(3,2 ,Array(0,1,3), Array(0,1,2), Array(11,22,33))
让我们检查输出,以便我们充分理解在较低级别发生的情况。 这三个值将被放置在(0,0),(1,1),(2,1):
println("Number of Columns=",sparseMat1.numCols)
println("Number of Rows=",sparseMat1.numRows)
println("Number of Active elements=",sparseMat1.numActives)
println("Number of Non Zero elements=",sparseMat1.numNonzeros)
println("sparseMat1 representation of a sparse matrix and its value=\n",sparseMat1)
输出如下:
(Number of Columns=,2)
(Number of Rows=,3)
(Number of Active elements=,3)
(Number of Non Zero elements=,3)
sparseMat1 representation of a sparse matrix and its value= 3 x 2 CSCMatrix
(0,0) 11.0
(1,1) 22.0
(2,1) 33.0)
进一步澄清,这是稀疏矩阵的代码,该矩阵在 Spark 的文档页面上有所说明(请参阅以下标题为另请参阅的部分)。 这是一个 3x3 矩阵,有六个非零值。 请注意,声明的顺序是:矩阵大小,列指针,行索引,值作为最后一个成员:
/* from documentation page
1.0 0.0 4.0
0.0 3.0 5.0
2.0 0.0 6.0
*
*/
//[1.0, 2.0, 3.0, 4.0, 5.0, 6.0], rowIndices=[0, 2, 1, 0, 1, 2], colPointers=[0, 2, 3, 6]
val sparseMat33= Matrices.sparse(3,3 ,Array(0, 2, 3, 6) ,Array(0, 2, 1, 0, 1, 2),Array(1.0, 2.0, 3.0, 4.0, 5.0, 6.0))
println(sparseMat33)
输出如下:
3 x 3 CSCMatrix
(0,0) 1.0
(2,0) 2.0
(1,1) 3.0
(0,2) 4.0
(1,2) 5.0
(2,2) 6.0
-
列指针= [0,2,3,6]
-
行索引= [0,2,1,0,1,2]
-
非零值= [1.0,2.0,3.0,4.0,5.0,6.0]
它是如何工作的...
根据我们的经验,大多数稀疏矩阵的困难来自于对压缩行存储(CRS)和压缩列存储(CCS)之间差异的理解不足。 我们强烈建议读者深入研究这个主题,以清楚地理解这些差异。
简而言之,Spark 使用 CCS 格式来处理转置目标矩阵:
-
此方法调用构造函数有两个不同的签名:
-
SparseMatrix(int numRows,int numCols,int[] colPtrs,int[] rowIndices,double[] values)
- 稀疏矩阵(int numRows,int numCols,int[] colPtrs,int[] rowIndices,double[] values,boolean isTransposed)
在第二个选项中,我们指示矩阵已经声明为转置,因此将以不同方式处理矩阵。
- 该方法继承自以下内容,使它们的具体方法对所有例程可用:
-
接口类 java.lang.Object
-
java.io.Serializable
-
矩阵
- 有几个感兴趣的方法调用:
- 从向量中提供的值生成对角矩阵:
static SparseMatrix spdiag(Vector vector)
-
- 创建一个单位矩阵。 单位矩阵是一个对角线为 1,其他任何元素为 0 的矩阵:
static speye(int n)
-
- 跟踪矩阵是否转置:
boolean isTransposed()
-
- 创建一个具有一组随机数的矩阵-从均匀分布中抽取:
static SparseMatrix sprand(int numRows, int numCols, java.util.Random rng)
-
- 创建一个具有一组随机数的矩阵-从高斯分布中抽取:
static SparseMatrix sprandn(int numRows, int numCols, java.util.Random rng)
-
- 转置矩阵:
SparseMatrix transpose()
-
- 对向量进行深层复制
SparseMatrix Copy()
-
- 转换为稀疏向量。 如果您的向量很长,并且在一些操作后密度减小(例如,将不贡献的成员归零),则会执行此操作:
DenseMatrix toDense()
-
- 查找非零元素的数量。 这很有用,因此您可以根据需要将其转换为稀疏向量(例如,如果密度 ID 较低):
Int numNonzeros()
-
- 获取矩阵中存储的所有值:
Double[] Values()
-
- 还有其他对应于稀疏矩阵特定操作的调用。 以下是一个示例,但我们强烈建议您熟悉手册页面(请参阅*还有更多...*部分):
-
-
- 获取行索引:
int rowIndices()
- 获取行索引:
-
-
检查是否转置:
booleanisTransposed() -
获取列指针:
int[]colPtrs()
还有更多...
再次强调,在许多机器学习应用中,由于特征空间的大尺寸特性不是线性分布的,最终会处理稀疏性。 举例来说,我们以最简单的情况为例,有 10 个客户指示他们对产品线中四个主题的亲和力:
| 主题 1 | 主题 2 | 主题 3 | 主题 4 | |
|---|---|---|---|---|
| Cust 1 | 1 | 0 | 0 | 0 |
| Cust 2 | 0 | 0 | 0 | 1 |
| Cust 3 | 0 | 0 | 0 | 0 |
| Cust 4 | 0 | 1 | 0 | 0 |
| Cust 5 | 1 | 1 | 1 | 0 |
| Cust 6 | 0 | 0 | 0 | 0 |
| Cust 7 | 0 | 0 | 1 | 0 |
| Cust 8 | 0 | 0 | 0 | 0 |
| 客户 9 | 1 | 0 | 1 | 1 |
| 客户 10 | 0 | 0 | 0 | 0 |
正如你所看到的,大部分元素都是 0,当我们增加客户和主题的数量到数千万(M x N)时,将它们存储为密集矩阵是不可取的。SparseVector 和矩阵有助于以高效的方式存储和操作这些稀疏结构。
另请参阅
-
方法调用的文档可在
spark.apache.org/docs/latest/api/java/org/apache/spark/mllib/linalg/SparseMatrix.html#method_summary找到
使用 Spark 2.0 进行向量运算
在本教程中,我们使用Breeze库进行底层操作,探索了在 Spark 环境中进行向量加法的方法。向量允许我们收集特征,然后通过线性代数运算(如加法、减法、转置、点积等)对其进行操作。
操作步骤...
-
在 IntelliJ 或您选择的 IDE 中启动一个新项目。确保包含必要的 JAR 文件。
-
导入向量和矩阵操作所需的包:
import org.apache.spark.mllib.linalg.distributed.RowMatrix
import org.apache.spark.mllib.linalg.distributed.{IndexedRow, IndexedRowMatrix}
import org.apache.spark.mllib.linalg.distributed.{CoordinateMatrix, MatrixEntry}
import org.apache.spark.sql.{SparkSession}
import org.apache.spark.mllib.linalg._
import breeze.linalg.{DenseVector => BreezeVector}
import Array._
import org.apache.spark.mllib.linalg.DenseMatrix
import org.apache.spark.mllib.linalg.SparseVector
- 设置 Spark 会话和应用程序参数,以便 Spark 可以运行:
val spark = SparkSession
.builder
.master("local[*]")
.appName("myVectorMatrix")
.config("spark.sql.warehouse.dir", ".")
.getOrCreate()
- 我们创建向量:
val w1 = Vectors.dense(1,2,3)
val w2 = Vectors.dense(4,-5,6)
- 我们将向量从 Spark 公共接口转换为
Breeze(库)工件,以便使用丰富的向量操作符:
val w1 = Vectors.dense(1,2,3)
val w2 = Vectors.dense(4,-5,6)
val w3 = new BreezeVector(w1.toArray)//w1.asBreeze
val w4= new BreezeVector(w2.toArray)// w2.asBreeze
println("w3 + w4 =",w3+w4)
println("w3 - w4 =",w3+w4)
println("w3 * w4 =",w3.dot(w4))
- 让我们看一下输出并理解结果。要了解向量加法、减法和乘法的操作原理,请参阅本教程中的*How it works...*部分。
输出如下:
w3 + w4 = DenseVector(5.0, -3.0, 9.0)
w3 - w4 = DenseVector(5.0, -3.0, 9.0)
w3 * w4 =12.0
- 使用 Breeze 库转换的稀疏和密集向量的向量操作包括:
val sv1 = Vectors.sparse(10, Array(0,2,9), Array(5, 3, 13))
val sv2 = Vectors.dense(1,0,1,1,0,0,1,0,0,13)
println("sv1 - Sparse Vector = ",sv1)
println("sv2 - Dense Vector = ",sv2)
println("sv1 * sv2 =", new BreezeVector(sv1.toArray).dot(new BreezeVector(sv2.toArray)))
这是一种替代方法,但它的缺点是使用了一个私有函数(请参阅 Spark 2.x.x 的实际源代码)。我们建议使用之前介绍的方法:
println("sv1 * sve2 =", sv1.asBreeze.dot(sv2.asBreeze))
我们来看一下输出:
sv1 - Sparse Vector = (10,[0,2,9],[5.0,3.0,13.0])
sv2 - Dense Vector = [1.0,0.0,1.0,1.0,0.0,0.0,1.0,0.0,0.0,13.0]
sv1 * sv2 = 177.0
操作原理...
向量是数学工件,允许我们表达大小和方向。在机器学习中,我们将对象/用户的偏好收集到向量和矩阵中,以便利用分布式操作规模化。
向量通常是一些属性的元组,通常用于机器学习算法。这些向量通常是实数(测量值),但很多时候我们使用二进制值来表示对特定主题的偏好或偏见的存在或不存在。
向量可以被看作是行向量或列向量。列向量的表示更适合于机器学习思维。列向量表示如下:
行向量表示如下:
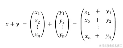
向量加法表示如下:
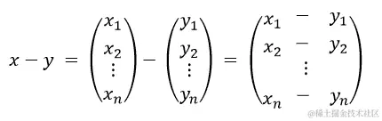
向量减法表示如下:
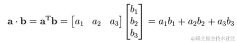
向量乘法或“点”积表示如下:
还有更多...
Spark ML 和 MLlib 库提供的公共接口,无论是用于稀疏向量还是密集向量,目前都缺少进行完整向量运算所需的运算符。我们必须将我们的本地向量转换为Breeze库向量,以便使用线性代数运算符。
在 Spark 2.0 之前,转换为Breeze(toBreeze)的方法是可用的,但现在该方法已更改为asBreeze()并且变为私有!需要快速阅读源代码以了解新的范式。也许这种变化反映了 Spark 核心开发人员希望减少对底层Breeze库的依赖。
如果你使用的是 Spark 2.0 之前的任何版本(Spark 1.5.1 或 1.6.1),请使用以下代码片段进行转换。
Spark 2.0 之前的示例 1:
val w1 = Vectors.dense(1,2,3)
val w2 = Vectors.dense(4,-5,6)
val w3 = w1.toBreeze
val w4= w2.toBreeze
println("w3 + w4 =",w3+w4)
println("w3 - w4 =",w3+w4)
println("w3 * w4 =",w3.dot(w4))
Spark 2.0 之前的示例 2:
println("sv1 - Sparse Vector = ",sv1)
println("sv2 - Dense Vector = ",sv2)
println("sv1 * sv2 =", sv1.toBreeze.dot(sv2.toBreeze))
另请参阅
-
Breeze库文档可在www.scalanlp.org/api/breeze/#breeze.package找到 -
Linalg库文档可在spark.apache.org/docs/latest/api/java/allclasses-noframe.html找到
使用 Spark 2.0 执行矩阵运算
在这个示例中,我们探讨了 Spark 中的矩阵操作,如加法、转置和乘法。更复杂的操作,如逆、SVD 等,将在未来的章节中介绍。Spark ML 库的本机稀疏和密集矩阵提供了乘法运算符,因此不需要显式转换为Breeze。
矩阵是分布式计算的工作马。收集的 ML 特征可以以矩阵配置的形式进行排列,并在规模上进行操作。许多 ML 方法,如ALS(交替最小二乘法)和SVD(奇异值分解),依赖于高效的矩阵和向量操作来实现大规模机器学习和训练。
如何做...
-
在 IntelliJ 或您选择的 IDE 中启动一个新项目。确保包含必要的 JAR 文件。
-
导入必要的包进行向量和矩阵操作:
import org.apache.spark.mllib.linalg.distributed.RowMatrix
import org.apache.spark.mllib.linalg.distributed.{IndexedRow, IndexedRowMatrix}
import org.apache.spark.mllib.linalg.distributed.{CoordinateMatrix, MatrixEntry}
import org.apache.spark.sql.{SparkSession}
import org.apache.spark.mllib.linalg._
import breeze.linalg.{DenseVector => BreezeVector}
import Array._
import org.apache.spark.mllib.linalg.DenseMatrix
import org.apache.spark.mllib.linalg.SparseVector
- 设置 Spark 会话和应用程序参数,以便 Spark 可以运行:
val spark = SparkSession
.builder
.master("local[*]")
.appName("myVectorMatrix")
.config("spark.sql.warehouse.dir", ".")
.getOrCreate()
- 我们创建了矩阵:
val sparseMat33= Matrices.sparse(3,3 ,Array(0, 2, 3, 6) ,Array(0, 2, 1, 0, 1, 2),Array(1.0, 2.0, 3.0, 4.0, 5.0, 6.0))
val denseFeatureVector= Vectors.dense(1,2,1)
val denseVec13 = Vectors.dense(5,3,0)
- 将矩阵和向量相乘并打印结果。这是一个非常有用的操作,在大多数 Spark ML 案例中都是一个常见主题。我们使用
SparseMatrix来演示密集、稀疏和矩阵是可互换的,只有密度(例如非零元素的百分比)和性能应该是选择的标准:
val result0 = sparseMat33.multiply(denseFeatureVector)
println("SparseMat33 =", sparseMat33)
println("denseFeatureVector =", denseFeatureVector)
println("SparseMat33 * DenseFeatureVector =", result0)
输出如下:
(SparseMat33 =,3 x 3 CSCMatrix
(0,0) 1.0
(2,0) 2.0
(1,1) 3.0
(0,2) 4.0
(1,2) 5.0
(2,2) 6.0)
denseFeatureVector =,[1.0,2.0,1.0]
SparseMat33 * DenseFeatureVector = [5.0,11.0,8.0]
- 将
DenseMatrix与DenseVector相乘。
这是为了完整性考虑,将帮助用户更轻松地跟随矩阵和向量乘法,而不用担心稀疏性:
println("denseVec2 =", denseVec13)
println("denseMat1 =", denseMat1)
val result3= denseMat1.multiply(denseVec13)
println("denseMat1 * denseVect13 =", result3)
输出如下:
denseVec2 =,[5.0,3.0,0.0]
denseMat1 = 23.0 34.3 21.3
11.0 33.0 22.6
17.0 24.5 22.2
denseMat1 * denseVect13 =,[217.89,154.0,158.5]
- 我们演示了矩阵的转置,这是一种交换行和列的操作。如果你参与 Spark ML 或数据工程,这是一个重要的操作,几乎每天都会用到。
在这里我们演示了两个步骤:
-
- 将稀疏矩阵转置并通过输出检查新的结果矩阵:
val transposedMat1= sparseMat1.transpose
println("transposedMat1=\n",transposedMat1)
输出如下:
Original sparseMat1 =,3 x 2 CSCMatrix
(0,0) 11.0
(1,1) 22.0
(2,1) 33.0)
(transposedMat1=,2 x 3 CSCMatrix
(0,0) 11.0
(1,1) 22.0
(1,2) 33.0)
1.0 4.0 7.0
2.0 5.0 8.0
3.0 6.0 9.0
-
- 演示转置的转置产生原始矩阵:
val transposedMat1= sparseMat1.transpose
println("transposedMat1=\n",transposedMat1) println("Transposed twice", denseMat33.transpose.transpose) // we get the original back
输出如下:
Matrix transposed twice=
1.0 4.0 7.0
2.0 5.0 8.0
3.0 6.0 9.0
转置密集矩阵并通过输出检查新的结果矩阵:
这样更容易看到行和列索引是如何交换的:
val transposedMat2= denseMat1.transpose
println("Original sparseMat1 =", denseMat1)
println("transposedMat2=" ,transposedMat2)
Original sparseMat1 =
23.0 34.3 21.3
11.0 33.0 22.6
17.0 24.5 22.2
transposedMat2=
23.0 11.0 17.0
34.3 33.0 24.5
21.3 22.6 22.2
-
- 现在我们来看矩阵乘法以及在代码中的表现。
我们声明了两个 2x2 的密集矩阵:
// Matrix multiplication
val dMat1: DenseMatrix= new DenseMatrix(2, 2, Array(1.0, 3.0, 2.0, 4.0))
val dMat2: DenseMatrix = new DenseMatrix(2, 2, Array(2.0,1.0,0.0,2.0))
println("dMat1 * dMat2 =", dMat1.multiply(dMat2)) //A x B
println("dMat2 * dMat1 =", dMat2.multiply(dMat1)) //B x A not the same as A xB
输出如下:
dMat1 =,1.0 2.0
3.0 4.0
dMat2 =,2.0 0.0
1.0 2.0
dMat1 * dMat2 =,4.0 4.0
10.0 8.0
//Note: A x B is not the same as B x A
dMat2 * dMat1 = 2.0 4.0
7.0 10.0
它是如何工作的...
矩阵可以被看作是向量的列。矩阵是涉及线性代数变换的分布式计算的强大工具。可以通过矩阵收集和操作各种属性或特征表示。
简而言之,矩阵是二维m x n数组,其中元素可以使用两个元素的下标i和j来引用(通常是实数):
矩阵表示如下:
矩阵转置表示如下:
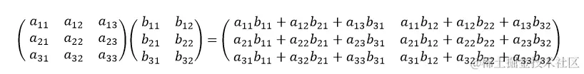
矩阵乘法表示如下:
向量矩阵乘法或“点”积表示如下:
Spark 2.0 ML 库中的分布式矩阵:在接下来的四个配方中,我们将介绍 Spark 中的四种分布式矩阵类型。Spark 提供了对由 RDD 支持的分布式矩阵的全面支持。Spark 支持分布式计算的事实并不意味着开发人员可以不考虑并行性来规划他们的算法。
底层的 RDD 提供了存储在矩阵中的数据的全面并行性和容错性。Spark 捆绑了 MLLIB 和 LINALG,它们共同提供了一个公共接口,并支持那些由于其大小或链式操作的复杂性而需要完整集群支持的矩阵。
Spark ML 提供了四种类型的分布式矩阵来支持并行性:RowMatrix、IndexedRowMatrix、CoordinateMatrix和BlockMatrix:
-
RowMatrix:表示与 ML 库兼容的面向行的分布式矩阵 -
IndexedRowMatrix:与RowMatrix类似,但具有一个额外的好处,即对行进行索引。这是RowMatrix的一个专门版本,其中矩阵本身是从IndexedRow(索引,向量)数据结构的 RDD 创建的。要可视化它,想象一个矩阵,其中每一行都是一对(长,RDD),并且已经为您完成了它们的配对(zip函数)。这将允许您在给定算法的计算路径中将索引与 RDD 一起携带(规模上的矩阵运算)。 -
CoordinateMatrix:用于坐标的非常有用的格式(例如,在投影空间中的x、y、z坐标) -
BlockMatrix:由本地维护的矩阵块组成的分布式矩阵
我们将简要介绍这四种类型的创建,然后迅速转向一个更复杂(代码和概念)的用例,涉及RowMatrix,这是一个典型的 ML 用例,涉及大规模并行分布式矩阵操作(例如乘法)与本地矩阵。
如果您计划编写或设计大型矩阵操作,您必须深入了解 Spark 内部,例如核心 Spark 以及在每个版本的 Spark 中分期、流水线和洗牌的工作方式(每个版本中的持续改进和优化)。
在着手进行大规模矩阵和优化之旅之前,我们还建议以下几点:
Apache Spark 中矩阵计算和优化的来源可在www.kdd.org/kdd2016/papers/files/adf0163-bosagh-zadehAdoi.pdf和pdfs.semanticscholar.org/a684/fc37c79a3276af12a21c1af1ebd8d47f2d6a.pdf找到。
使用 Spark 进行高效大规模分布式矩阵计算的来源可在www.computer.org/csdl/proceedings/big-data/2015/9926/00/07364023.pdf和dl.acm.org/citation.cfm?id=2878336&preflayout=flat找到。
探索矩阵依赖关系以实现高效的分布式矩阵计算的来源可在net.pku.edu.cn/~cuibin/Papers/2015-SIGMOD-DMac.pdf和dl.acm.org/citation.cfm?id=2723712找到。
探索 Spark 2.0 中的 RowMatrix
在这个配方中,我们探索了 Spark 提供的RowMatrix功能。RowMatrix顾名思义,是一个面向行的矩阵,但缺少可以在RowMatrix的计算生命周期中定义和传递的索引。这些行是 RDD,它们提供了分布式计算和容错性。
矩阵由本地向量的行组成,通过 RDDs 并行化和分布。简而言之,每行将是一个 RDD,但列的总数将受到本地向量最大大小的限制。在大多数情况下,这不是问题,但出于完整性考虑,我们觉得应该提一下。
如何做...
-
在 IntelliJ 或您选择的 IDE 中启动一个新项目。确保包含必要的 JAR 文件。
-
导入向量和矩阵操作所需的包:
import org.apache.spark.mllib.linalg.distributed.RowMatrix
import org.apache.spark.mllib.linalg.distributed.{IndexedRow, IndexedRowMatrix}
import org.apache.spark.mllib.linalg.distributed.{CoordinateMatrix, MatrixEntry}
import org.apache.spark.sql.{SparkSession}
import org.apache.spark.mllib.linalg._
import breeze.linalg.{DenseVector => BreezeVector}
import Array._
import org.apache.spark.mllib.linalg.DenseMatrix
import org.apache.spark.mllib.linalg.SparseVector
- 设置 Spark 上下文和应用程序参数,以便 Spark 可以运行。有关更多详细信息和变体,请参阅本章的第一个配方:
val spark = SparkSession
.builder
.master("local[*]")
.appName("myVectorMatrix")
.config("spark.sql.warehouse.dir", ".")
.getOrCreate()
- 由于分布式计算(非顺序)的性质,警告语句的数量和时间返回的输出会有所不同。消息与实际输出的交错程度取决于执行路径,这导致输出难以阅读。在以下语句中,我们将
log4j消息从警告(WARN - 默认)提升到错误(ERROR)以便更清晰。我们建议开发人员详细跟踪警告消息,以了解这些操作的并行性质并充分理解 RDD 的概念:
import Log4J logger and the level
import org.apache.log4j.Logger
import org.apache.log4j.Level
将级别设置为错误:
Logger.getLogger("org").setLevel(Level.ERROR)
Logger.getLogger("akka").setLevel(Level.ERROR)
最初的输出如下
Logger.getLogger("org").setLevel(Level.WARN)
Logger.getLogger("akka").setLevel(Level.WARN)
- 我们定义了两个密集向量的序列数据结构。
Scala 密集本地向量的序列,这将是分布式RowMatrix的数据:
val dataVectors = Seq(
Vectors.dense(0.0, 1.0, 0.0),
Vectors.dense(3.0, 1.0, 5.0),
Vectors.dense(0.0, 7.0, 0.0)
)
Scala 密集本地向量的序列,这将是本地身份矩阵的数据。线性代数的快速检查表明,任何矩阵乘以一个单位矩阵将产生相同的原始矩阵(即,A x I = A)。我们喜欢使用单位矩阵来证明乘法有效,并且原始矩阵上计算的原始统计量与原始* x *单位矩阵相同:
val identityVectors = Seq(
Vectors.dense(1.0, 0.0, 0.0),
Vectors.dense(0.0, 1.0, 0.0),
Vectors.dense(0.0, 0.0, 1.0)
)
- 通过并行化基础密集向量到 RDDs,创建我们的第一个分布式矩阵。
从现在开始,我们的密集向量现在是由 RDD 支持的新分布式向量中的行(即,所有 RDD 操作都得到充分支持!)。
将原始序列(由向量组成)转换为 RDDs。我们将在下一章详细介绍 RDDs。在这个单一语句中,我们已经将一个本地数据结构转换为了一个分布式工件:
val distMat33 = new RowMatrix(sc.parallelize(dataVectors))
我们计算一些基本统计量,以验证RowMatrix是否正确构建。要记住的是,密集向量现在是行而不是列(这是导致许多混淆的根源):
println("distMatt33 columns - Count =", distMat33.computeColumnSummaryStatistics().count)
println("distMatt33 columns - Mean =", distMat33.computeColumnSummaryStatistics().mean)
println("distMatt33 columns - Variance =", distMat33.computeColumnSummaryStatistics().variance)
println("distMatt33 columns - CoVariance =", distMat33.computeCovariance())
输出如下:
计算的统计量(均值、方差、最小值、最大值等)是针对每列而不是整个矩阵的。这就是为什么您看到均值和方差对应于每列的三个数字的原因。
distMatt33 columns - Count = 3
distMatt33 columns - Mean = [ 1.0, 3.0, 1.66 ]
(distMatt33 columns - Variance = [ 3.0,12.0,8.33 ]
(distMatt33 columns - CoVariance = 3.0 -3.0 5.0
-3.0 12.0 -5.0
5.0 -5.0 8.33
- 在这一步中,我们从身份向量的数据结构中创建我们的本地矩阵。要记住的一点是,乘法需要一个本地矩阵而不是分布式矩阵。请查看调用签名以进行验证。我们使用
map、toArray和flatten操作符来创建一个 Scala 扁平化数组数据结构,该数据结构可以作为创建本地矩阵的参数之一,如下一步所示:
val flatArray = identityVectors.map(x => x.toArray).flatten.toArray
dd.foreach(println(_))
- 我们将本地矩阵创建为单位矩阵,以便验证乘法A * I = A:
val dmIdentity: Matrix = Matrices.dense(3, 3, flatArray)
- 我们将分布式矩阵乘以本地矩阵,并创建一个新的分布式矩阵。这是一个典型的用例,您最终会将一个高瘦的本地矩阵与大规模分布式矩阵相乘,以实现规模和结果矩阵的继承降维:
val distMat44 = distMat33.multiply(dmIdentity)
println("distMatt44 columns - Count =", distMat44.computeColumnSummaryStatistics().count)
println("distMatt44 columns - Mean =", distMat44.computeColumnSummaryStatistics().mean)
println("distMatt44 columns - Variance =", distMat44.computeColumnSummaryStatistics().variance)
println("distMatt44 columns - CoVariance =", distMat44.computeCovariance())
- 比较第 7 步和第 8 步,我们实际上看到操作进行正确,并且我们可以通过描述性统计和协方差矩阵验证A x I = A,使用分布式和本地矩阵。
输出如下:
distMatt44 columns - Count = 3
distMatt44 columns - Mean = [ 1.0, 3.0, 1.66 ]
distMatt44 columns - Variance = [ 3.0,12.0,8.33 ]
distMatt44 columns - CoVariance = 3.0 -3.0 5.0
-3.0 12.0 -5.0
5.0 -5.0 8.33
工作原理...
- 此方法构造函数的签名为:
-
RowMatrix(RDD<Vector> rows) -
RowMatrix(RDD<Vector>, long nRows, Int nCols)
- 该方法继承自以下内容,使它们的具体方法对所有例程可用:
-
接口类 java.lang.Object
-
实现以下接口:
-
记录
-
分布式矩阵
- 有一些有趣的方法调用:
- 计算描述性统计,如均值、最小值、最大值、方差等:
-
-
MultivariateStatisticalSummary
-
-
computeColumnSummaryStatistics() -
从原始计算协方差矩阵:
-
Matrix computeCovariance() -
计算 Gramian 矩阵,也称为 Gram 矩阵
(A^TA ):
-
Matrix computeGramianMatrix() -
计算 PCA 组件:
-
Matrix computePrincipalComponents(int k)
k是主成分的数量
-
- 计算原始矩阵的 SVD 分解:
SingularValueDecomposition<RowMatrix, Matrix> computeSVD(int k, boolean compute, double rCond)
k是要保留的前导奇异值的数量(0<k<=n)。
-
- 相乘:
-
-
RowMatrix Multiply(Matrix B)
-
-
行:
-
RDD<Vector> rows() -
计算 QR 分解:
-
QRDecomposition<RowMatrix, Matrix> tallSkinnyQR(boolean computeQ)) -
找到非零元素的数量。如果密度较低,这很有用,因此您可以在需要时转换为 SparseVector:
-
Int numNonzeros() -
获取矩阵中存储的所有值:
-
Double[] Values() -
其他:
-
计算列之间的相似性(在文档分析中非常有用)。有两种可用的方法,这些方法在第十二章中有介绍,使用 Spark 2.0 ML 库实现文本分析
-
-
- 我们发现对于动态规划很有用的列数和行数
-
还有更多...
在使用稀疏或密集元素(向量或块矩阵)时,还有一些额外的因素需要考虑。通常情况下,通过本地矩阵进行乘法是更可取的,因为它不需要昂贵的洗牌。
在处理大矩阵时,更喜欢简单和控制,这四种分布式矩阵类型简化了设置和操作。这四种类型各有优缺点,必须根据以下三个标准进行考虑和权衡:
-
基础数据的稀疏度或密度
-
在使用这些功能时将进行的洗牌。
-
处理边缘情况时的网络容量利用率
出于上述原因,尤其是为了减少分布式矩阵操作(例如两个 RowMatrix 相乘)期间所需的洗牌(即网络瓶颈),我们更喜欢使用本地矩阵进行乘法,以显着减少洗牌。虽然这乍看起来有点违反直觉,但在实践中,对于我们遇到的情况来说是可以的。原因是当我们将一个大矩阵与一个向量或高瘦矩阵相乘时,结果矩阵足够小,可以放入内存中。
另一个需要注意的地方是返回的信息(行或本地矩阵)必须足够小,以便可以将其返回给驱动程序。
对于导入,我们需要本地和分布式向量和矩阵导入,以便我们可以使用 ML 库进行工作。否则,默认情况下将使用 Scala 向量和矩阵。
另请参阅
在 Spark 2.0 中探索分布式 IndexedRowMatrix
在这个教程中,我们介绍了IndexRowMatrix,这是本章中我们介绍的第一个专门的分布式矩阵。IndexedRowMatrix的主要优势是索引可以与行(RDD)一起传递,这就是数据本身。
在IndexRowMatrix的情况下,我们有一个由开发人员定义的索引,它与给定的行永久配对,对于随机访问非常有用。索引不仅有助于随机访问,而且在执行join()操作时也用于标识行本身。
如何做...
-
在 IntelliJ 或您选择的 IDE 中启动一个新项目。确保包含必要的 JAR 文件。
-
导入向量和矩阵操作所需的包:
import org.apache.spark.mllib.linalg.distributed.RowMatrix
import org.apache.spark.mllib.linalg.distributed.{IndexedRow, IndexedRowMatrix}
import org.apache.spark.mllib.linalg.distributed.{CoordinateMatrix, MatrixEntry}
import org.apache.spark.sql.{SparkSession}
import org.apache.spark.mllib.linalg._
import breeze.linalg.{DenseVector => BreezeVector}
import Array._
import org.apache.spark.mllib.linalg.DenseMatrix
import org.apache.spark.mllib.linalg.SparseVector
- 设置 Spark 上下文和应用程序参数,以便 Spark 可以运行。有关更多详细信息和变体,请参见本章的第一个教程:
val spark = SparkSession
.builder
.master("local[*]")
.appName("myVectorMatrix")
.config("spark.sql.warehouse.dir", ".")
.getOrCreate()
-
我们从原始数据向量开始,然后继续构造一个适当的数据结构(即 RowIndex)来容纳索引和向量。
-
然后我们继续构造
IndexedRowMatrix并显示访问。对于那些使用过 LIBSVM 的人来说,这种格式接近标签和向量的工件,但标签现在是索引(即长)。 -
从一系列向量作为
IndexedRowMatrix的基本数据结构开始:
val dataVectors = Seq(
Vectors.dense(0.0, 1.0, 0.0),
Vectors.dense(3.0, 1.0, 5.0),
Vectors.dense(0.0, 7.0, 0.0)
)
- 从一系列向量作为
IndexedRowMatrix的基本数据结构开始:
val distInxMat1
= sc.parallelize( List( IndexedRow( 0L, dataVectors(0)), IndexedRow( 1L, dataVectors(1)), IndexedRow( 1L, dataVectors(2))))
println("distinct elements=", distInxMat1.distinct().count())
输出如下:
(distinct elements=,3)
工作原理...
索引是一个长数据结构,为IndexedRowMatrix的每一行提供了一个有意义的行索引。实现底层的动力是 RDDs,它们从一开始就在并行环境中提供了分布式弹性数据结构的所有优势。
IndexedRowMatrix的主要优势是索引可以与数据本身(RDD)一起传递。我们可以定义并携带数据(矩阵的实际行)的索引,这在join()操作需要键来选择特定数据行时非常有用。
下图显示了IndexedRowMatrix的图解视图,应有助于澄清主题:
定义可能不清晰,因为您需要重复定义索引和数据来组成原始矩阵。以下代码片段显示了内部列表中(索引,数据)的重复以供参考:
List( IndexedRow( 0L, dataVectors(0)), IndexedRow( 1L, dataVectors(1)), IndexedRow( 1L, dataVectors(2)))
其他操作与前一篇中介绍的IndexRow矩阵类似。
另请参阅
在 Spark 2.0 中探索分布式 CoordinateMatrix
在这个教程中,我们介绍了专门的分布式矩阵的第二种形式。在处理需要处理通常较大的 3D 坐标系(x,y,z)的 ML 实现时,这是非常方便的。这是一种将坐标数据结构打包成分布式矩阵的便捷方式。
如何做...
-
在 IntelliJ 或您选择的 IDE 中启动一个新项目。确保包含必要的 JAR 文件。
-
导入向量和矩阵操作所需的包:
import org.apache.spark.mllib.linalg.distributed.RowMatrix
import org.apache.spark.mllib.linalg.distributed.{IndexedRow, IndexedRowMatrix}
import org.apache.spark.mllib.linalg.distributed.{CoordinateMatrix, MatrixEntry}
import org.apache.spark.sql.{SparkSession}
import org.apache.spark.mllib.linalg._
import breeze.linalg.{DenseVector => BreezeVector}
import Array._
import org.apache.spark.mllib.linalg.DenseMatrix
import org.apache.spark.mllib.linalg.SparseVector
- 设置 Spark 上下文和应用程序参数,以便 Spark 可以运行。有关更多详细信息和变体,请参见本章的第一个教程:
val spark = SparkSession
.builder
.master("local[*]")
.appName("myVectorMatrix")
.config("spark.sql.warehouse.dir", ".")
.getOrCreate()
- 我们从
MatrixEntry的 SEQ 开始,它对应于每个坐标,并将放置在CoordinateMatrix中。请注意,这些条目不再可以是实数(毕竟它们是 x、y、z 坐标):
val CoordinateEntries = Seq(
MatrixEntry(1, 6, 300),
MatrixEntry(3, 1, 5),
MatrixEntry(1, 7, 10)
)
- 我们实例化调用并构造
CoordinateMatrix。我们需要额外的步骤来创建 RDD,我们已经在构造函数中使用 Spark 上下文进行了展示(即sc.parallelize):
val distCordMat1 = new CoordinateMatrix( sc.parallelize(CoordinateEntries.toList))
- 我们打印第一个
MatrixEntry以验证矩阵元素。我们将在下一章中讨论 RDD,但请注意,“count()”本身就是一个动作,使用“collect()”将是多余的:
println("First Row (MatrixEntry) =",distCordMat1.entries.first())
输出如下:
First Row (MatrixEntry) =,MatrixEntry(1,6,300.0)
它是如何工作的...
-
CoordinateMatrix是一种专门的矩阵,其中每个条目都是一个坐标系或三个数字的元组(长,长,长对应于x,y,z坐标)。相关的数据结构是MatrixEntry,其中将存储坐标,然后放置在CoordinateMatrix的位置。以下代码片段演示了MaxEntry的使用,这似乎本身就是一个混乱的来源。 -
下图显示了
CoordinateMatrix的图示视图,这应该有助于澄清主题:
包含三个坐标的代码片段是:
MatrixEntry(1, 6, 300), MatrixEntry(3, 1, 5), MatrixEntry(1, 7, 10)
MaxEntry只是一个必需的结构,用于保存坐标。除非您需要修改 Spark 提供的源代码(请参阅 GitHubCoordinateMatrix.scala)以定义一个更专业的容器(压缩),否则没有必要进一步了解它:
-
CoordinateMatrix也由 RDD 支持,这让您可以从一开始就利用并行性。
-
您还需要导入
IndexedRow,这样您就可以在实例化IndexedRowMatrix之前定义带有索引的行。 -
这个矩阵可以转换为
RowMatrix、IndexedRowMatrix和BlockMatrix。
稀疏坐标系统还带来了高效的存储、检索和操作的附加好处(例如,所有设备与位置的安全威胁矩阵)。
另请参阅
-
MaxEntry 的文档位于
spark.apache.org/docs/latest/api/java/index.html
在 Spark 2.0 中探索分布式 BlockMatrix
在这个示例中,我们探索了BlockMatrix,这是一个很好的抽象和其他矩阵块的占位符。简而言之,它是其他矩阵(矩阵块)的矩阵,可以作为单元访问。
CoordinateMatrix to a BlockMatrix and then do a quick check for its validity and access one of its properties to show that it was set up properly. BlockMatrix code takes longer to set up and it needs a real life application (not enough space) to demonstrate and show its properties in action.
如何做...
-
在 IntelliJ 或您选择的编辑器中启动一个新项目,并确保所有必要的 JAR 文件(Scala 和 Spark)对您的应用程序可用。
-
导入用于向量和矩阵操作的必要包:
import org.apache.spark.mllib.linalg.distributed.RowMatrix
import org.apache.spark.mllib.linalg.distributed.{IndexedRow, IndexedRowMatrix}
import org.apache.spark.mllib.linalg.distributed.{CoordinateMatrix, MatrixEntry}
import org.apache.spark.sql.{SparkSession}
import org.apache.spark.mllib.linalg._
import breeze.linalg.{DenseVector => BreezeVector}
import Array._
import org.apache.spark.mllib.linalg.DenseMatrix
import org.apache.spark.mllib.linalg.SparseVector
- 设置 Spark 上下文和应用程序参数,以便 Spark 可以运行。有关更多详细信息和变化,请参见本章的第一个示例:
val spark = SparkSession
.builder
.master("local[*]")
.appName("myVectorMatrix")
.config("spark.sql.warehouse.dir", ".")
.getOrCreate()
- 快速创建一个
CoordinateMatrix以用作转换的基础:
val distCordMat1 = new CoordinateMatrix( sc.parallelize(CoordinateEntries.toList))
- 我们将
CoordinateMatrix转换为BlockMatrix:
val distBlkMat1 = distCordMat1.toBlockMatrix().cache()
- 这是一个非常有用的矩阵类型的调用。在现实生活中,通常需要在进行计算之前检查设置:
distBlkMat1.validate()
println("Is block empty =", distBlkMat1.blocks.isEmpty())
输出如下:
Is block empty =,false
它是如何工作的...
矩阵块将被定义为(int,int,Matrix)的元组。这种矩阵的独特之处在于它具有Add()和Multiply()函数,这些函数可以将另一个BlockMatrix作为分布式矩阵的第二个参数。虽然一开始设置它有点令人困惑(特别是在数据到达时),但有一些辅助函数可以帮助您验证您的工作,并确保BlockMatrix被正确设置。这种类型的矩阵可以转换为本地的IndexRowMatrix和CoordinateMatrix。BlockMatrix最常见的用例之一是拥有CoordinateMatrices的BlockMatrix。