Excel-2019-金融建模实用指南-二-

347 阅读57分钟

Excel 2019 金融建模实用指南(二)

原文:zh.annas-archive.org/md5/3c97e70c885487f68835a4d0838eee09

译者:飞龙

协议:CC BY-NC-SA 4.0

第七章::现金流量表

以下列表显示了我们的议程,下一阶段是准备现金流量表:

  • 记录历史利润和损失以及资产负债表

  • 计算历史增长驱动因素

  • 为损益表和资产负债表预测增长驱动因素

  • 建立预测的损益表和资产负债表

  • 准备资产和折旧计划表

  • 准备债务计划表

  • 准备现金流量表

  • 比率分析

  • DCF 估值

  • 其他估值

  • 情景分析

在此阶段,我们已完成了损益表,唯一剩下的项目是仍然不平衡的资产负债表,那就是现金。在本章中,我们将探讨如何为我们的项目编制现金流量表。

在本章中,我们将涵盖以下主题:

  • 现金流量表简介

  • 不涉及现金流动的项目

  • 营运资本净变动

  • 平衡资产负债表

  • 制作快速现金流量表

现金流量表简介

损益表不同于现金流量表,因为它们不等待交易的现金影响被解决才认可该交易。例如,如果您出售了 N100,000 的货物或服务,客户已经收到货物或服务,但尚未付款,则没有现金流动。

但是,您和客户都认识到已经完成了销售 - 的确,货物的所有权和保管已经转移,因此损益表将其记录为信用销售,将营业额增加了 N100,000,并为完成复式分录,在该客户名下创建应收账款,表示他们欠您 N100,000。这是会计的权责基础,即收入应在其获得时期记录,支出应与其帮助产生的收入相匹配。

这通过各种账户贯穿始终,影响诸如提前支付的租金(只有今年的租金应通过损益表);尚未收到账单的用电量(将电费计入损益表);以及购买必须通过开销存货调整以便只有销售货物的成本反映在损益表中。

在所有这些示例中,实际现金流将与利润和损失账户中包含的金额不同。这在经济上是合理的,并且是为了得出每个期间的真实利润或损失而必不可少的。然而,正如前面引用的,营业额是虚荣的,利润是理智的,但现金才是现实的。无论公司赚取多少利润,如果没有现金支持,公司迟早都会破产。这就是现金流量表如此重要的原因。

你会记得我们在模型中创建了一个视觉检查,用于指示资产负债表是否平衡。所以,如果它们不平衡,检查单元格将会是红色的,但一旦它们达到平衡,单元格就会变成绿色,如下面的屏幕截图所示。历史资产负债表当然是平衡的。以下屏幕截图说明了预测年份不平衡的情况:

在编制财务报表时,现金流量表通常是从资产负债表和利润及损失账户中准备的。然后,现金的净流入或净流出被添加到或从现金的期初余额中减去,以得出现金及现金等价物的期末余额,这应与资产负债表上的相应数字一致。对于预测年份,资产负债表上没有现金数字,因此我们需要利用这种资产负债表与现金流量的关系来预测现金的数字。

通常,按照惯例准备现金流量表,以得出期末现金余额。然后,我们将这个数字作为现金及现金等价物填写到资产负债表中。如果资产负债表现在平衡了,这表明我们的模型在这个阶段是数学上正确的。否则,我们将开始繁琐的故障排除过程来追踪错误:

前面的屏幕截图显示了完成的现金流量表,其中期末现金余额现在已经填写到适当的资产负债表中,并且余额检查显示它们现在全部平衡了。准备现金流量表的逻辑起点是年度利润。

不涉及现金流动的项目

在得出PAT时,考虑了许多不涉及现金流动的项目,现在必须将它们逆转,以得出准确的现金流量数字,如下所示:

这方面的明显候选者是折旧。相关的现金流发生在购买资产时。然而,我们不会立即将全部成本计入利润及损失账户;正确的会计处理是在资产的有用生命周期内分配原始成本。

这种定期成本分配被称为折旧,显然不涉及现金的流动。由于它已经作为费用在我们的利润中扣除,我们需要将其添加回归净利润,如前面的屏幕截图所示。我们还将利润后税利润(PAT)中的利息添加回去。虽然这是现金流,但这是债务融资的成本,因此更适合在融资活动下进行处理。

营运资本净变化

让我们看一下关于营运资本净变化的以下屏幕截图:

本节将我们从应计基础转换为现金基础的利润。简单来说,以前的例子中,我们记录了一笔销售额为 N100,000,增加了我们的利润,尽管没有收到现金。本节考虑了应收账款的相应增加,为了在抵达经营活动现金流量之前扣除,在信用销售中记录的入账被逆转。

总之,在本节下,我们增加了运营资本负债的增加,并减去了运营资本资产的增加。当我们将本年度的数字减去上年度的数字时,假设本年度的数字高于上年度的数字,增加就会显现出来。

注意,如果你坚持使用这种语言,减少将自动解决。

让我们来看下面的表格:

YR2YR1
1. 应付账款50,00030,000
2. 应付账款50,00070,000

如果你将增长视为(YR2 - YR1),那么在示例 1 中,增加:应付账款增加 将给出以下结果:

+ (50,000 – 30,000) = 20,000 入账

在示例 2 中,有减少的情况,我们将得到以下结果:

+ (50,000 – 70,000) = +(-20,000) = -20,000 出账

对于运营资本资产,情况也是一样的,如下表所示:

YR2YR1
1. 应收账款40,00035,000
2. 应收账款50,00060,000

就像之前一样,增长是(YR2 - YR1),所以在示例 1 中,减少:应收账款增加 将给出以下结果:

- (40,000 – 35,000) = - 5,000 出账

在示例 2 中,有减少的情况,我们将得到以下结果:

- (50,000 – 60,000) = -(-10,000) = +10,000 入账

到目前为止的所有小计给出了经营活动现金流量。

投资活动的现金流

让我们来看看以下关于投资活动现金流的屏幕截图:

本节相当简单明了。它涉及到投资的购买或销售,包括其他公司的股票、CapEx 等等。

融资活动的现金流

让我们来看看以下关于融资活动现金流的屏幕截图:

到目前为止,我们应该已经习惯了融资来自内部来源、股本(股票)或外部来源的债务形式。这些余额的增减在此处处理。您会记得我们将利息费用加回了利润总额。那是为了在这里处理它,在融资活动中。我们还将作为出账减去支付的股息。

在融资和投资活动中,偶尔会发生一些重大的一次性交易,这些交易对净现金流量产生重大影响;例如,固定资产的出售。然而,运营活动反映了公司的日常经营活动。投资者在这里寻找线索,以确定一家公司是否产生足够的现金来清偿其负债和实现增长。

平衡资产负债表

收盘现金余额将作为流动资产下的现金及现金等价物记在资产负债表上。然而,需要注意的是,余额可能为负数,在这种情况下,它应该作为流动负债下的透支反映出来。由于你不知道它将是哪一个,尤其是因为它可能会因后续修改而改变,所以你需要以这样一种方式建立你的模型,即如果现金余额为正,则将其记入现金及现金等价物,如果为负则记为透支。

通常,当你需要建模一个依赖于逻辑问题(即产生真或假答案的问题)的情况时,你首先想到的是IF语句。例如,假设光标在单元格J35中,现金及现金等价物,并且你希望将其与现金流量表中的计算现金余额联系起来,该余额在单元格J86中。

当你按下Enter键时,你会输入=J86,现金余额将出现在J35单元格中。

要将前面部分中解释的不确定性与IF语句结合起来,你会键入=IF(J86>0,J86,"")。这表示如果现金余额为正数,大于 0,则将现金余额放入J35单元格;否则,将该单元格留空。

在相应的透支单元格中,比如J45单元格,你会输入=IF(J86>0,"",-J86)。这表示如果现金余额为正数,大于 0,则留空;否则,将现金余额的符号从负数改为正数,并将其放入J45单元格。

然而,有一种更加优雅的方式来处理这个问题,就是使用MINMAX公式。

J35单元格中,你只需输入= MAX(J86,0)。这个公式将确保现金余额和 0 的最大值始终出现在J35单元格中。

如果你仔细想一想,正数总是大于 0,因此它们始终会被视为现金及现金等价物。在J45单元格中,透支,你将键入=MIN(J86,0)

这将确保无论何时现金余额为负数,它都将始终被记在J45单元格中;否则该单元格将为 0。一旦完成了这个记账过程,资产负债表应该平衡,我们的平衡检查单元格应该全部变成绿色。如果情况不是这样,那么你就需要进行故障排除,找出错误的源头。

故障排除

第一步是检查你的现金流量表的准确性。由于历史年份已经有了现金余额或透支余额,你可以将那些年份的现金流量现金余额与资产负债表上的现金进行核对。

如果他们不同意,你将需要重新检查你的现金流入项:

  1. 首先,检查你的总数是否有任何算错。

  2. 接下来,确定差额是多少,然后除以 2。查看你的现金流量表,看是否有一个等于这个数字的金额。这个测试用来检查你是否错误地将一个数额记为负数,而不是正数,反之亦然。

  3. 浏览资产负债表和损益表,看是否有金额等于第 1 步计算出的整体差额。这个测试用来检查你是否漏掉了现金流量中的某个金额。

  4. 浏览资产负债表和损益表,看是否有任何帐户或余额没有在你的现金流量表中列入账。这种情况经常发生在你有不规则帐户或交易的情况下;例如,股份溢价、特殊准备金和往年调整。

  5. 一旦你已经调节了你的历史现金流量表,使其与历史资产负债表相符,你的资产负债表核对现在应该都是绿色的。如果不是,那么你将需要扩大你的故障排除范围到模型的其余部分。

循环引用

假设你在单元格A1A4中有数据,然后在单元格A5中键入以下公式—=SUM(A1:A6)。这将被 Excel 标记为循环引用错误,因为你在求和范围中包含了答案单元格A5。总体而言,公司会投资任何剩余现金以赚取利息。另一方面,当现金透支时,将产生利息。

如果我们想要扩展我们的模型以包括这种情况,我们需要扩展我们的现金流量表,以包括现金余额上的利息收入或支出。然后,这些利息会被减去或加到利润和损失账户中的现有利息支出中,这会改变净利润。由于净利润与现金流量表相连,这也将导致期末现金余额的变化,这将影响到该余额上的利息收入或支出,循环持续下去,形成循环引用。

随着每个循环或迭代,现金流量表期末现金余额上的利息收支变化越来越小,最终趋近于零。为了故意创建循环引用,你需要要求 Excel 允许它,方法是转到选项并勾选启用迭代计算。你可以将最大迭代次数保留在 100 次。

我不建议除了专家用户以外的任何人使用这个方法,即使是专家用户,也只有在你不会与其他用户分享你的模型时才可以,原因如下:

不幸的是,启用循环引用通常是不可靠的,并且可能导致 Excel 变得不稳定。当发生这种情况时,Excel 会用错误填充工作表。然后,您需要花时间浏览模型,手动将循环引用的单元格清零。或者,您可以恢复不包含循环引用的备份。

这对于除了 Excel 专家用户之外的所有人来说可能会相当惊人,并且可能导致数小时的建模时间丢失。解决这个问题的最佳方法是从一开始就包含一个断路器,如下面的屏幕截图所示:

为此,指定一个空单元格,比如单元格E5,作为断路器,然后输入OFF1,以允许循环引用;或者输入ON0,以将循环引用的单元格清零。

然后在一个IF语句中封装包含循环引用的单元格(们)。逻辑问题应该是 E5=1。如果为真,则允许带有循环引用的公式;否则,将值设置为 0

断路器的默认值应为OFF;然后,如果公式出现问题,只需在断路器单元格中键入ON以触发IF语句中的0并清除循环引用。

请记住,Excel 会持续重新计算公式单元格,因此这可能是一个经常发生的情况。再次强调,这应该只由不会共享他们的模型的专业用户完成。

创建一个快速的现金流量表

现在你已经学会了如何创建现金流量表以及需要做的一切,让我们继续为特定场景准备一个简单的报表。假设你是一家网站设计公司的创始人,你需要跟踪你花钱的一切,因为作为一家初创公司,资金对公司的发展至关重要。我们将创建一个简单的现金流量表来跟踪第一年的支出,以便我们了解以后继续进行公司是否会有利可图:

  1. 我们将从创建两个单元格开始,一个用于记录财政年度,另一个用于记录当年初投资的现金,如下所示:

  1. 正如我们在本章中所学到的,现金流将分为三个主要部分,其中第一个部分是运营活动。因此,让我们创建一个包含所有核心运营下的支出和现金流入的表格。网站设计公司的运营流入主要来自两个地方:

    • 要求网站的客户

    • 员工进行的自由职业图形设计

因此,我们的现金发票选项卡将如下所示:

  1. 至于运营费用,它们可以按以下方式分类:

    • 为网站提供托管服务

    • 在网站工作所需的资源

    • 员工工资

    • 税收,等等

将所有这些编制成表格后,它应该看起来类似于以下截图:

  1. 最后,我们将添加一个净现金流行显示来显示来自运营的总现金流。在为其分配的单元格中,我们将输入以下公式:
=SUM(D8:D15)

我们现在已经完成了现金流量表的运营部分。

  1. 现在,我们将创建一个类似于运营表的表格;这次是为投资活动。在这个表格中,我们将使用以下现金发票:

    • 出售网络域名和模板

    • 图形设计销售

因此,我们的现金流量表现在看起来与以下截图类似:

  1. 投资活动的支出包括以下内容:

    • 购买计算机和其他设备

    • 员工的有趣活动

    • 员工赞赏

我们将按以下方式将这些添加到表格中:

  1. 然后,类似于运营表,我们将创建一行显示来自投资活动的总现金流。到目前为止,我们的现金流量表应该如下所示:

  1. 现在,我们将重复相同的流程,用于融资活动,修改元素,如下图所示:

  1. 我们的最后任务是创建一个单元格,显示年内经过扣除的总现金收入,如下所示:

要计算总现金收入,我们只需要找到所有三种活动的净现金流单元格中的值的总和,以及年初投资的现金。在这种情况下,公式如下:

=D16+D27+D38+D4

当你有一个没有中断的数字范围时,SUM函数更有用。当从不同地方添加值时,直接引用单元格总是更好。

因此,我们的最终现金流量表如下:

现在,我们将向所有必需的单元格输入一些值,并查看年底的最终现金余额:

嘿,这不错!看起来公司的情况不错,正朝着创业公司的正确道路前进!我们已经创建了一个简单的现金流量表,对于许多情景都可能很有用。此处创建的模板可以在 GitHub 书籍的存储库中找到,名称为CashFlowCompany.xlsx

总结

在本章中,我们学习了如何使用 Excel 中的各种函数来创建我们的现金流量表。我们学会了如何考虑各种因素,比如不涉及现金流动的项目,来自投资和融资等各种活动的现金流量等。我们还学会了如何平衡表格,以确保一切准确无误。我们还了解了如何解决可能发生的任何错误。最后,我们为特定情景创建了一个样本现金流量表。

在下一章中,我们将研究各种类型的比率分析。

第八章::估值

无论建立和经营一家公司的原因是什么,你都会在某个阶段想要了解企业的价值。这可能是由于以下原因之一:

  • 识别弱点

  • 确定企业是增长、停滞还是恶化

  • 申请贷款

  • 吸引投资者

  • 作为推动未来增长的平台建立参考点

  • 为了准备从公司撤资

有几种估值方法,但本章将讨论三种主要方法。

本章将涵盖以下主题:

  • 绝对估值

  • 相对估值

  • 解释结果

绝对估值

普遍认为,估价企业的最准确方法是使用贴现现金流DCF)方法进行绝对估值。关键是,该方法考虑了货币时间价值。它还考虑了企业预期寿命期间的现金流。这与企业价值的定义密切相关,即其能够产生的总现金流量。

DCF 方法包括技术概念和计算。我们将试图简化这些概念,但尽管如此,你不必重复推导出一些估值所需的复杂计算中的大多数。你将始终有可参考的资源,并且你肯定会创建自己的资源数据库,以便根据需要利用。

自由现金流

DCF 方法是从三表法结束的地方开始的。它始于自由现金流FCF的概念。目标是确定公司产生的现金流量;然而,你需要认识到,产生的现金中有一部分被用于满足债权人和资本支出计划等事项。因此,我们需要调整这些项目的现金以得到 FCF。通常,你会计算整个公司(FCFF)的自由现金流,并根据需要调整此数以得到股权持有人(FCFE)的自由现金流数。

第一个,FCFF,将引导我们到企业价值EV),第二个,FCFE,将引导我们到公司普通股的股价。就像现金流量表一样,你将从经营利润,即利息和税前收益EBIT)开始。由于政府征税是一项义务,你需要按照适用的税率扣除税款。

然后,你要加回不涉及资金流动的项目,如折旧。工作资本的增加表示现金的净流出,应该扣除。如果显示工作资本减少,表示现金的净流入,则应将其添加到你的总额中。最后,扣除任何计划的资本支出CapEx)和工作进展WIP)的增加,以得到公司的自由现金流量,即 FCFF 的数额。

当一家公司开始进行建造或建设固定资产的项目时,该项目有时会延续到年底。由于在那个阶段,项目尚未完成,因此将到目前为止发生的成本分配到资产账户将是误导性的。正常做法是创建一个在建工程账户,并将所有未完成项目的支出记入该账户。一旦项目结束,账户上的余额就转移到适当的财产、厂房和设备或固定资产账户上。

以下屏幕截图显示了五年 FCFF 预测的计算:

时间价值

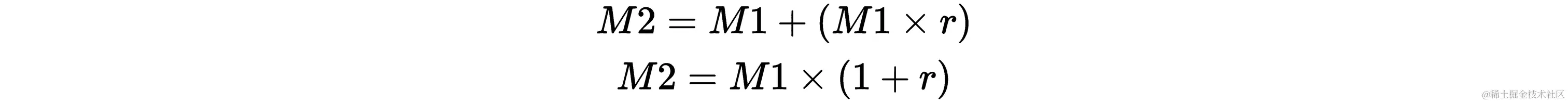
在第一章*,金融建模和 Excel 简介*中,我们介绍了时间价值的概念。今天手里的钱可能比一年后相同金额的资金更有价值。这是因为你可以投资这些资金,一年后,你可以收回它们并获得利息;以 10%投资的 N1,000 在一年后会给你带来 N1,100,如下计算所示:

例如,如果M1 代表第一年的现金,r代表利率,M2 代表第二年的现金,那么公式变为以下形式:

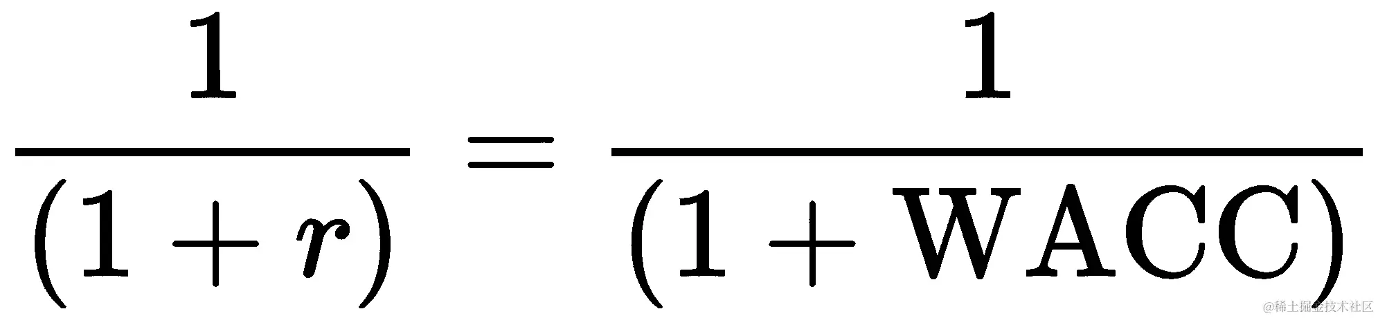
相反,以 N1,100 折现回今天将价值降至 N1,000。

重新排列前面的方程,我们得到以下结果:

换句话说,今天的现金等于明天的现金乘以一个折现因子。

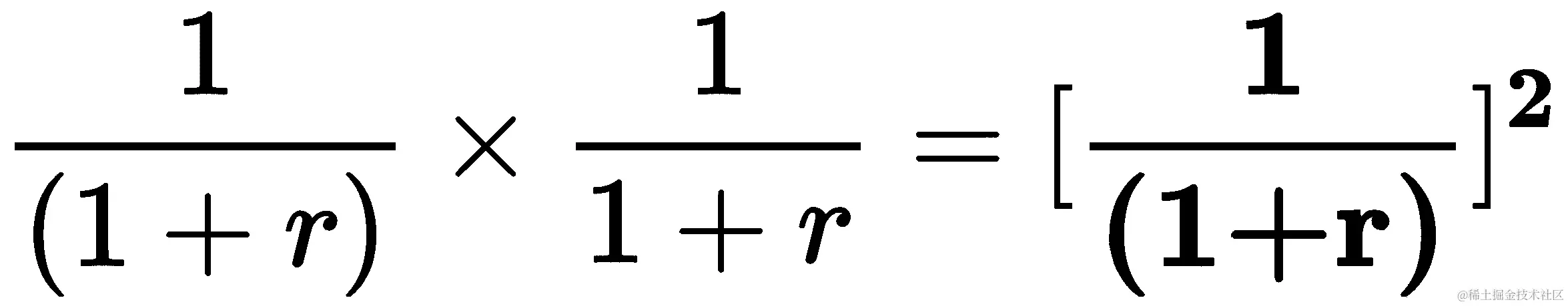
在上述屏幕截图中,第一年后的折现因子如下:

第二年后,折现因子如下:

第三年后,折现因子如下:

这导致我们得到年n后的折现因子如下:

我们已经预测了未来五年的自由现金流,并为每年的现金流获得了货币价值。

现在我们需要将这些现金流折现回今天的价值,然后才能得到折现现金流的总和,从而得出企业价值。

请注意,今天是 FY06 年的年初,也是预测年度的第一年。

加权平均资本成本

对于 DCF 模型,加权平均资本成本(WACC)是折现因子公式中的r。一家公司通常有不同的资本来源,债务和股本,每种来源都有其自己的成本或公司的期望。例如,债务资本的成本将是利息费用。这种利息是年度利润的一项费用,与其他可扣除费用一起,减少了应纳税利润的金额。

因此,尽管利息是从我们的现金流中调整的债务资本成本,但在我们对利润计息时也有一定的税收节省额。利息费用节省的税款通过使用税后资本成本来确认,如下所示:

WACC 是公司拥有的不同类型资本的平均成本。每种资本来源对 WACC 的贡献都是加权的,以考虑其所代表的总资本的比例。

例如,如果债务与股本比率为 2:1,则债务成本将对总资本的影响加倍于股本成本,并且债务成本在 WACC 中的权重将反映这一点,如下式所示:

这个方程被广泛称为资本资产定价模型(CAPM)。我们已经看到,债务成本是应付债权人的利息。计算股本成本是一个更复杂的练习。股本比债务更具风险,因此股本持有者对回报有更高的期望。只要公司是持续运营的,债权人就有保证其利息的权利。股本持有者必须依赖于普通股息,这可能会或可能不会被宣布。

股本成本计算如下:

在前述公式中,Rf是无风险利率。政府证券的利率通常被视为无风险利率:

在前述公式中,Rm是整个股市的风险溢价,β是公司股票相对于市场的波动性或风险。因此,可以说风险溢价是市场风险溢价与无风险利率之间的差异,经过调整以适应公司股票相对于市场的特定波动性。

β值为 1.0 表示股票与市场波动性完全匹配。市场变动 1%时,股票也会以相同方向 1%的幅度变动。较高的β值表示股票比市场更具波动性;它们承担的风险更大,但也比市场获得更多的回报。

较低的β值表示股票比市场更不易波动,而负的β值表示与市场负相关。换句话说,当市场价格上涨时,股价将下跌,反之亦然。

下面的截图显示了计算权益成本和 WACC 所需的方程式和参数:

示例图片

终值

在你的模型中,你已经对未来五年的数字进行了预测。然而,公司在五年结束后并不会停止存在,而是会继续产生可预见的未来收入。贴现现金流量法试图使用终值的概念量化所有未来现金流量。

在预测的五年结束时,假定公司已经达到了稳定的位置,并且将继续体验稳定的增长,直至其存在的剩余时间。这种稳定增长的速率称为终值增长率TGR)。基于这个假设,可以制定公式来模拟到无穷大的增长,然后通过数学重排,得出一个代表所有未来现金流的终值,从第五个预测年份结束开始,一直延伸到永恒。

终值的方程式如下:

示例图片

终值通常是 DCF 估值中最大的贡献因素,并且倾向于确保使用该方法获得的价值通常高于其他方法达到的估值。

下面的截图显示了终值的计算:

示例图片

计算现值

使用 WACC 作为r,现在您将贴现预测的五年现金流和终值,以获得每年现金流和终值的现值。

第一年的折现因子表示如下:

示例图片

从上面的截图中,我们可以看到 WACC 为 10.5%。在这里,我们将替换 WACC 的值:

示例图片

第一年的 FCFF 的现值如下:

示例图片

我们的预估年份 Y06F 的 FCFF 为 N53,854,如上截图所示。我们使用第一年的折现因子 0.90 来贴现:

示例图片

要得到 N(‘000) 48,719,这是第一年自由现金流(FCFF)的现值,我们应进行以下计算:

示例图片

我们重复此格式以获得每个预估年份和终值的 FCFF 的现值,如下截图所示。终值的折现因子将与最后一个预估年份 Y10E 相同。

现值的计算如下截图所示:

示例图片

企业价值(EV)是所有未来现金流的现值之和:

示例图片

为了获得股权价值,你需要偿还债权人。

你通过从企业价值中扣除净债务(债务 - 现金)和任何不确定性来做到这一点,如下图所示:

然后,你将股权价值除以股票数量,得出股价(NAIRA),即每股 117.2。

相对估值 - 比较公司分析

相对估值依赖于这样一个理论,即一般而言,类似的公司将产生类似的结果。这可能有点简单化,但在涉及大量假设和估计的学科中,相对估值在分析师中很受欢迎,因为它提供了一种得出商业价值的方法,这种方法是合理的、快速的和简单的。实际计算简单直接;难度在于确定可比较的公司。

主要考虑的主要标准如下:

  • 行业

  • 规模

  • 资本结构

  • 地理位置

  • 增长率

行业: 参考你的主要收入来源,确定公司所属的适当行业,并在该行业中寻找示例。

规模: 规模与利润之间的关系并非完全线性。资产基数两倍的公司不一定会赚取两倍的利润。规模可能会带来规模经济和访问受限的优势。大公司将能够获得量价折扣和对同一行业中较小公司不可获得的有利业务条款。因此,你应该寻找规模相似的公司。

资本结构: 一家依赖债务的公司会让其股东面临更大的风险。这是因为债权人必须在股东之前得到清偿——例如,在破产事件中。此外,负债严重的公司必须保持健康的利息盖息比率,以维持其信用价值。你应该寻找负债与股本比率相似的公司。

地理位置: 这非常重要,因为地理位置可能会对公司的运营产生重大影响。经济氛围、税收、关税和其他相关法规可能会有所不同,这可能会对最终利润产生重大影响。你应该寻找在相同地理位置的公司。

增长率: 一个增长迅速的公司比增长率较慢的公司更具吸引力,更容易吸引潜在投资者。因此,你应该寻找增长率相似的公司。不可能找到符合所有这些标准的公司,因此你将不得不凭自己的判断力选择与你所建模公司最相似的公司。一旦你确定了四到五家公司,你就需要获得一些倍数,这些倍数将用于你的比较估值。

用于此目的的最常见倍数如下:

  • EV/销售额—按销售额计算的企业价值

  • EV/EBITDA—按 EBITDA 计算的企业价值

  • P/E—市盈率

类似的公司将会拥有相似的倍数。所以,如果EV/销售额=K对于公司 A 成立,那么对于另一个相似的公司 B,相同的倍数也会是*= K*。

以公司 A 为例:

EV / 销售额 = K

销售额移到右边以隔离EV,我们得到以下内容:

EV = K × 销售额

所以,一旦我们有了公司 B 的销售额,我们可以通过采用公司 A 的相同倍数K来计算 EV。

在实践中,你所确定的四到五个相似公司的倍数永远不会完全相同,因此你会取平均值或中位数作为常见倍数K

交易对标

以下是五家类似公司的交易倍数的截图;它展示了以表格形式列出的估值所需的相关参数:

市值 是市值,即公司普通股的总奈拉价值。取倍数的平均值和中位数。通常,中位数用于消除异常值的影响。如果你有一组数字,读作 3,5,4,3 和 22,那么平均值(或平均数)将是 7,中位数将是 4。看看这个集合,数字 22 显然是一个异常值;由于某种原因,它远远大于集合的其他成员。它显然影响了平均值返回一个数字 7,这似乎与集合中的其他数字不一致。

然而,由于中位数的特性,它已经中和了异常值的影响,返回了一个更具代表性的数字 4,这更加代表整体集合。

以下截图显示了用于计算公司股价的选定倍数的中位数:

对于 EV/销售额的倍数,方程如下:

EV/销售额的中位数为 2.3。

你正在审查的公司的销售额总计为 325,582。因此,我们这家公司的企业价值(EV)如下:

要得到股权价值,我们需要扣除 126,694 的净债务以获得市值:

股份数量为 1 亿,因此我们的股价将变为以下内容:

你正在审查的公司的 EBITDA 为 58,908。使用 EV/EBITDA,方程如下:

要得到股权价值,我们需要扣除 126,694 的净债务以获得市值:

股份数量为 1 亿,所以股价将变为以下内容:

以相同的方式使用 P/E 比率,我们得到股价为 N43.3,如上一截图所示。

先例交易比较

先例交易比较方法看待最近进行类似交易的类似公司,并假设证券交易价格。

以下截图显示了具有其倍数的类似交易的表格:

提取数据

股价计算如下截图所示:

足球场图表

使用 EV/Sales,股价为 N75.2。

使用 EV/EBITDA,股价为 N46.2。

使用 P/E 比率,股价为 N35.4。

摘要如下截图所示:

添加数据系列

我们可以用一个足球场图表来表示这些结果。图表得名于不同的值如何像足球场上的足球队员一样分散在图表周围。

为了绘制图表,我们创建一个表格,显示了每种方法和倍数下获得的股价的最小值和最大值,以及最小值和最大值之间的差异。

这是提取足球场图表所需数据的屏幕截图:

选择数据

让我们按照以下步骤进行:

  1. 使用 MINMAX 函数,提取使用每种列出的方法——DCFEV/SalesEV/EBITDAP/E——计算得到的最低和最高股价值。

  2. 转到插入 | 图表 | 2-D 条形图,并选择第二个选项,如下所示:

选择数据

  1. 出现一个空白图表。调整图表大小,并将其移动到表格的正下方:

选择条形图

  1. 转到图表工具 | 设计选项卡,然后单击“选择数据”:

选择数据

  1. 在“选择数据源”对话框中,您将添加数据系列。我们有三个数据系列,最低最高差异,但目前,我们只会使用 最低差异 系列。在图例条目(系列)部分,点击添加,然后选择最低列下值的范围,从 C70C73

选择数据

  1. 重复该过程,并添加第二个数据系列 E70 到 E73:

选择水平轴

  1. 右键单击 最低 系列的任何数据点,然后单击 “格式化系列”。在“格式化数据标签”对话框中,单击填充图标,然后选择无填充:

插入图表

  1. 现在选择 方法 部分作为水平轴,从 B70 到 B73:

选择数据

  1. 如果数据标签未显示在数据点上,请按照此步骤和下一步操作进行显示。单击“最低”系列的任意点。然后转到图表工具 | 设计 | 添加图表元素 | 数据标签 | 底部内部:

  1. 对于“差异”系列的数据标签,我们希望显示“最大”系列的值。转到图表工具 | 设计 | 添加图表元素 | 数据标签 | 内部末端。右键单击其中任何一个数据点;然后,在“格式数据标签”对话框中,在标签选项下,勾选“来自单元格的值”,单击“选择范围...”,选择单元格 D70 到 D73:

  1. 最大值显示在“差异”点上。在标签选项| 标签包含下,取消选中框**。

  2. 这样一来,我们在图表上显示了每种使用方法得到的最小值和最大值——DCFEV/SalesEV/EBITDAP/E

  1. 最后,转到图表工具 | 设计选项卡,然后单击添加图表元素 | 图表标题 | 在图表上方。在图表顶部出现的文本框中键入图表标题:

  1. 单击 DCF “最低”系列点,然后再次单击以取消选择其他点,仅留下 DCF 点处于选中状态,然后删除。我们这样做是因为 DCF 方法只有一个值。现在我们已经完成了足球场图表:

从结果中,我们可以得出以下结论:

  • Wazobia Global Ltd.的股票应该被报价为 35.4 奈拉至 117.2 奈拉之间。

  • 如果价格跌破 35.4 奈拉,股票被低估,您应该购买。由于股票被低估,很可能价格会上涨,届时您可以以利润出售。

  • 如果价格超过 117.2 奈拉,股票被高估,很可能价格会下降。不要购买,如果您以较低价格购买了股票,请在价格回落之前以利润出售它们。

摘要

在本章中,我们看了三种不同的估值方法:

  • 使用折现现金流量法的绝对估值

  • 使用交易对比的相对估值

  • 使用交易对比的相对估值

我们了解到 DCF 方法被广泛认为是最准确的,但由于其简单性和易于应用,相对估值在投资分析师中也很受欢迎。我们已经看到,没有一个正确答案;相反,我们得出一系列结果,这些结果给出了股价应该落在其中的范围。我们还学会了如何创建足球场图表来显示我们的结果,并学会了如何以有意义的方式解释它们。

在接下来的章节中,合理性和准确性的模型测试,我们将测试我们的模型,看看它如何对某些关键变量的变化作出响应。我们还将学习如何在鱼雷图中绘制我们的发现。我们将考虑在建模过程中应采取哪些步骤,以确保错误被保持在最低限度。然而,由于错误是不可避免的,我们还将查看故障排除程序。

第九章::比率分析

为了评估一个公司,大多数人通常会立即查看其利润历史。虽然这是应该考虑的指标之一,但仅仅根据这些信息做出决定可能是错误的。正如我们在第七章中所见,现金流量表,利润并不总是等于现金,即使是利润最丰厚的公司也可能会因利润没有得到现金流的支持而倒闭。

比率分析涵盖了公司的盈利能力、流动性、资产管理和效率、债务管理以及市场价值。每个比率从财务报表中选取两个战略项目,并检查它们之间的关系,以获得有关公司盈利能力、流动性等的一些见解。

在本章中,我们将涵盖以下主题:

  • 理解比率分析的意义和好处

  • 学习各种比率的意义

  • 解释比率

  • 理解比率分析的局限性

  • 使用比率找到财务稳定的公司

理解比率分析的意义和好处

比率是通过将一个项目除以另一个项目来计算的——例如,利润除以营业额。但是,您不应随意选择财务报表中的项目并对其进行划分;您应选择其比率将是有意义的并提供有助于决策的信息的项目。在利润除以营业额的示例中,这个比率,也称为利润率,告诉您每一卢比营业额产生多少利润。

比率通常以百分比的形式表示,但也以倍数天数的形式表示。20%的利润率意味着在扣除所有相关费用后,公司将其营业额的 20%作为利润留存。换句话说,该期间的利润占营业额的 20%。比率本身对于引导管理层和各部门关注存在问题的领域是有用的;然而,如果比率在一段时间内计算,以便建立趋势,那将更有用。

这一点对公司的外部利益相关者特别重要,例如投资者。管理层可以获取其他第三方无法获得的内部信息,因此可以更深入地从年度比率中提取更多意义。投资者只能访问已发布的财务报表。因此,从财务报表中准备的比率对投资者和其他外部利益相关者尤为重要。应该在多年时间内计算比率,以确保结果真实反映公司的绩效。然后可以将结果与类似公司以及公司所在行业的标准进行比较。它们还可以用作预测的基础。

学习各种比率的意义

有成千上万种比率,你可能会很容易迷失其中。为了让我们的生活更轻松,比率可以归类为五个广泛类别,即盈利能力、流动性、效率、债务管理和市场比率。

我们将对每个类别进行几个示例分析。

这些比率衡量公司将营业额转化为利润的能力。这些比率通常被称为利润率,通常意味着它们被营业额除以。让我们看一下毛利润率,其表达式如下:

在这里,毛利润是营业额减去销售成本。

有时,当公司出现亏损时,即使有毛利润,您仍然可以感到一些安慰。这意味着直接成本已经得到了覆盖,并且有一些用于支付一般开支或管理费用的捐款。毛利润率往往会在多年内保持相对稳定,因为它经常反映了公司的加价政策。如果毛利润率(或简称毛利率)非常低,甚至为负数,那么可以得出结论认为公司陷入了困境。这个比率对于制定公司加价政策的管理层尤其重要。

还有其他类型的利润,其利润率可以计算。利润率的相关性将取决于您属于哪个利益集团。债务提供者希望偿还本金和利息。因此,他们将对利息之前的利润感兴趣,即利息和税前利润,或者称为 EBIT。EBIT 利润率的表达式如下:

较高的利润率意味着投资者更加自信,因为利润率表明公司能够按期偿还本金和利息。股东等权益持有者是公司利润分配的最后考虑对象。只有在计提折旧、利息和税收后,才能得出可供分配的利润。因此,股东特别关心税后利润,即 PAT。

PAT 利润率的表达式如下:

EBITDA 受到一些分析师的青睐,因为他们认为这使得用户能够在其受到 CapEx 政策、折旧和债务偏好(如利息和政府政策)的影响之前观察公司的表现。

利息、税收、折旧和摊销前利润EBITDA)因此被认为是公司财务健康状况的更纯净指标。

EBITDA 利润率的表达式如下:

流动比率

流动性是评估公司是否能够及时履行义务的最重要指标之一,换句话说,评估公司是否是持续经营的。流动性比率比较公司的流动资产与其流动负债。如果短期负债未能得到足够的短期资产覆盖,那就是我们需要采取行动防止公司陷入困境的第一个信号。

当前比率的表达如下:

很难确定哪个数字代表了一个好的比率;然而,当前比率在 1.5 到 2 之间通常被认为是足够的。一个较低的数字可能表明公司可能正在努力满足其债务。

另一方面,一个非常高的比率可能表明资金被用来赚取收入。流动资产主要由库存、应收账款和现金组成。快速比率认识到库存不像其他流动资产那样容易转化为现金,并将流动资产减去库存与流动负债进行比较。

快速比率的表达如下:

流动性的最严格测试是酸试验,它将现金与流动负债进行比较。

酸测的表达如下:

效率比率

效率比率衡量公司如何有效利用其资产并管理其负债以产生收入。

以下是一些效率比率的示例:

  • 库存天数:平均库存是通过取期初和期末库存的平均值得到的。每日销售成本是通过将年销售成本除以 365 得到的。结果以天数表示,代表库存在销售前停留的时间。公司应保持足够的库存以满足客户需求,避免延迟;然而,保留过多库存或将库存保留时间过长将导致额外成本。管理层将不得不在两者之间找到平衡。此比率计算如下:

  • 应收账款(债务人)天数:平均应收账款是通过取期初和期末应收账款的平均值得到的。每日销售额是通过将年销售额除以 365 得到的。结果以天数表示,代表客户支付从公司信贷购买的货物所需的时间。管理层需要给予客户足够的时间支付货物和服务,以鼓励他们继续与公司做生意;然而,信贷条件不应过于宽松,否则可能导致现金流问题。此计算如下:

  • 应付账款债权人天数:平均应付账款是通过取期初和期末应付账款的平均值得出的。每日销售成本是将年度销售成本除以 365 得出的。结果以天数表示,表示公司支付从供应商购买的信用商品所需的时间。管理层应该尽可能地延长支付时间,而不会疏远供应商,以支付信用购买。计算方法如下:

图

平均资产回报率

平均资产回报率ROAA)将年度实现的利润与年度平均总资产进行比较。这是衡量公司利用其资产有效地产生利润的指标。

ROAA 的计算方法如下:

图

从这个公式中,我们知道 EBIT 是利息和税前的收益或利润,平均总资产是期初和期末总资产的平均值。这是一个非常重要的比率,因为它为一些盈利能力比率提供了背景。

请考虑以下 ROAA 的屏幕截图:

图

乍一看,公司 A 似乎更具吸引力,营业额和 EBIT 加倍;然而,仔细观察表明,公司 A 利用了 9000 万纳伦的资产赚取了 200 万纳伦的利润,而公司 B 只利用了 2250 万纳伦的资产赚取了 100 万纳伦的利润。

换句话说,公司 B 在资产使用效率上更高,平均资产回报率为 4.4%,而公司 A 仅为 2.2%。

平均资本回报率

平均资本回报率ROACE):此比率确定了公司如何有效地利用其资本。计算方法如下:

图

投入资本一词指的是债务和股本,可以按以下方式计算:

图

这是最流行的比率之一,用于比较不同公司如何经济地利用其资本。ROACE 越高,资本利用效率越高。没有绝对的 ROACE 目标值,与其他比率一样,随着时间的推移计算更有意义;但是,您期望 ROACE 高于资本成本。

平均股本回报率

平均股本回报率ROAE):计算方法如下:

图

在上述方程中,PAT 指的是税后利润。该比率使用净收入或 PAT 而不是 EBIT,因为在计算归属于股东的利润之前必须支付利息和税收。

重新整理会计方程式资产 = 负债 + 股权,你得到股权 = 资产 - 负债

这是确定股权的另一种方法。净资产收益率衡量公司如何高效地利用其股权资本并盈利。

债务管理比率

债务管理比率衡量公司的长期偿债能力。以下是一些债务管理比率:

  • 杠杆或债务比率:该比率衡量公司依赖债务融资与股权融资的程度。比率越高,公司就越依赖外部债务。一个高度杠杆化的公司必须确保能够满足长期债权人的期望,以免他们提前要求清偿债务,这可能会使公司陷入困境。此计算如下:

  • 利息保障倍数:该比率衡量公司是否产生足够的利润来轻松覆盖外部债务和利息成本。此计算如下:

  • **市值比率:**每股收益是计算市值的常用比率,计算如下:

如果存在优先股,优先股股利将在将其除以普通股数量之前从净利润后税前利润中扣除。每股收益也可以归类为盈利能力比率。之所以在此提及它,是因为它是一种流行的市场指标,用于衡量公司利润中有多少用于每股普通股的保留。

  • 市盈率:市盈率是投资者愿意为公司的利润或收益支付多少的衡量标准。此计算如下:

解读比率

公司的投资者和其他外部利益团体通常只能访问公司的财务报表。然而,仅凭财务细节来评估公司是有限的。比率是这些利益团体的有价值工具,使它们有机会以广泛接受的参数标准化的方式评估公司。

尝试比较不同规模、地理位置、财政司法管辖区和性质的公司通常是一个非常主观的过程。比率分析通过强调绩效而不是营业额或利润的绝对大小,提供了一个公平的竞争环境。效率、盈利能力和流动性或多或少与营业额、资产、利润和负债等个体参数的绝对大小无关。

比率分析允许比较不同的公司,并且还允许分析师为不同的比率设定基准,以便新兴公司可以评估其与这些基准的表现,并确定需要改进的领域,以及表现良好的领域。

管理层可以使用比率分析来监控部门负责人的业绩。他们可以用它来设定奖励或奖金的目标和阈值。如果比率在几个时期计算,它们可能会显示出一个趋势,这可能会突出显示出现即将发生的困难,然后可以在其具体化之前加以解决。

现在我们将看一些不同类型的趋势分析示例。

毛利率百分比的增加并不一定是一件好事。您需要考虑以下因素:

  • 确保增加不是由于某些错误,例如营业额过高或销售成本低估。

  • 弄清楚这是否是公司政策变化的结果。

  • 观察这对销售量产生了什么影响。增加的毛利率百分比可能导致市场份额的损失。

如果市场份额的损失继续不受控制,这可能会影响公司继续经营的能力。管理层可以决定降低产品的标记价格,以吸引客户回购其产品,并最终恢复市场份额。毛利率百分比的下降并不一定是一件坏事。您需要考虑以下因素:

  • 确保减少不是由于某些错误,例如营业额低估或销售成本高估。

  • 弄清楚这是否是公司政策变化的结果。

  • 观察这对销售量产生了什么影响。降低的毛利率百分比可能导致市场份额的增加,这将转化为利润增加。

解释比率的另一个例子涉及流动性比率。高流动比率表示公司在流动性方面健康;然而,速动比率将显示这种流动性在多大程度上依赖于库存。如果速动比率急剧下降,而不考虑库存,则管理层需要寻找减少对库存依赖以反映流动性的方法。

一种方法是减少库存中的现金量。只要不影响满足客户需求的能力,管理层可以考虑持有更少的库存。改善流动性的另一种方法是尝试提高周转率,这将传递到应收账款和/或现金。即使债权人也增加了公司的标记价格,这也将确保流动性有净改善。

酸度测试,它仅比较现金与流动负债,是一种最坏情况下的比率。只有在一个大债权人突然对公司欠他们的钱提出强制性要求时,它才会变得相关。

一些防范措施如下:

  • 避免仅依赖于一个供应商。在可能的情况下,将您的风险分散到多个供应商身上,以便如果一个供应商开始对未结算的余额施加压力,公司可以迅速将焦点转移到其他供应商身上。

  • 在选择供应商时要慎重。应该避免选择那些历史上突然提出结算要求的供应商。

  • 管理层应采用了解供应商政策。所有供应商的健康状况应该受到监控,以便在第一次发现供应商出现问题并可能需要迅速结算余额时,公司可以采取适当措施减少对该供应商的依赖。

  • 管理层应确保库存和应收账款被有效地转换为现金。

了解比率分析的局限性

重要的是要意识到,比率实际上并没有解决任何问题;它们只是突出显示趋势和异常,然后可以采取行动。比率的定义经常因分析师而异——例如,快速比率和酸碱测试。一些分析师将当前资产减去库存除以流动负债的比率称为快速比率,而其他人则将同一比率称为酸碱测试。

有一派学说使用年末资产余额来计算 ROA 和股本和长期负债来计算 ROACE。另一派学说意识到公司可以通过在年末进行重大交易,然后在新的一年中撤销这些交易来操纵这个比率。因此,他们使用那些将对这种做法进行反制的余额的平均值。这种方法上的差异可能导致截然不同的结果。比率分析的另一个批评是,它使用历史值,并不考虑市值的变化。

最后,比率分析本质上只关注定量结果、比率的货币含义和趋势。一个对公司的评估不能完整,而没有考虑到定性特征,比如社会责任、商业模式、市场份额、管理质量和运营对环境的影响。

现在我们了解了各种比率,让我们试着将它们应用到实际场景中去。

使用比率来找到财务稳定的公司

假设你想要投资于一家财务稳定且市值良好的公司。我们可以使用以下比率来找到最佳的公司:

  • EPS:这是一个有用的比率,用于找到最佳的投资公司,因为它显示公司为每一股出售的股票赚取了多少利润。

  • P/E 比率:此比率告诉您公司未来可能有更多的增长,并显示您愿意为一股支付多少。

我们将按以下步骤使用这些比率:

  1. 打开CompanyInvestment.xlsx文件,在其中你会找到一些公司的详细信息,例如它们的 PAT、股份数量和每股的市场价格,如下截图所示:

  1. 现在,我们将通过使用单元格引用,计算每家公司的EPS,方法是将每家公司的PAT除以其No of Shares,如下所示:

我们可以从中看出,公司 1每股赚取0.40$

  1. 现在,我们将通过双击填充手柄来为所有其他公司计算相同的内容,以便我们可以看到所有公司的每股收益(EPS),如下所示:

我们可以看到公司 5具有最高的EPS,从长远来看,对投资者来说将更具有利润性。

  1. 现在,我们将为每家公司计算市盈率。对于公司 1,我们可以通过将其股票的市场价格除以该公司的EPS来完成这个计算,如下所示:

我们可以看到该公司的市盈率非常高,约为124!这意味着该公司未来有很高的增长机会。

  1. 最后,我们将找到所有公司的市盈率。你的表格应该类似于以下内容:

我们可以看到,从投资角度来看,公司 1是最佳选择,而公司 4是一个投资的中间地带。

摘要

在本章中,我们学习了比率分析的重要性。我们已经看到了成千上万的比率,但我们已经学会了并非所有比率在任何给定情况下都相关的道理。我们看了如何确定五大比率群体,并且从所有五大群体中的例子中进行了实践。

在下一章中,我们将探讨绝对(通过贴现现金流)和相对(通过比较测量)的估值方法。我们将涵盖货币时间价值的概念,并在我们的计算中广泛使用它。我们将学习一些概念,包括自由现金流、加权平均资本成本和终端价值等。

第十章::模型测试的合理性和准确性

准备财务模型涉及许多假设和主观决策。为了尽可能减少这种主观性的影响,您需要采取某些程序,其中一些我们已经提到,并进行某些旨在突出显示最不稳定假设并直接关注模型最敏感输入的测试。

在本章中,我们将涵盖以下主题:

  • 纳入内置测试和程序

  • 故障排除

  • 理解敏感性分析

  • 使用直接和间接方法

  • 理解场景分析

  • 创建一个简单的蒙特卡洛模拟模型

纳入内置测试和程序

由于其本质,财务模型充满了公式和计算。虽然大多数都很简单,但其数量和重复性会增加错误的风险,这可能会让最有经验的建模者在尝试追踪它们时感到恐慌。

以下是为了减少这种风险而在您的模型中采取的一些程序:

  • 硬编码单元格:这些单元格应使用蓝色字体加以区分。以下截图显示了一个蓝色字体的硬编码单元格,以将其与标准黑色字体的计算单元格区分开来:

如果要修改模型,需要调整这些硬编码的单元格以实现所需的更改。使用蓝色字体可以减少导航到需要修改的单元格所需的时间。

  • 余额核对:为资产负债表创建一个余额核对可以确保您能够确认其是否平衡,并快速识别导致其不平衡的任何操作。余额核对应该显眼,并清楚区分平衡和不平衡的情况。

    要使资产负债表平衡,总资产减去流动负债必须等于总股本和非流动负债。如果存在未显示的四舍五入差异,这仍会导致不平衡警报。这就是为什么您应该使用ROUND函数来确保 Excel 在比较两个总数时忽略小数位数。

    以下截图显示了一个余额核对的示例:

  • 现金及现金等价物:资产负债表上的现金及现金等价物应与现金流量表中对应年度的期末现金余额相同。这样做可以确保到目前为止,模型在数学上是准确的。

  • 只输入值一次:如果需要再次输入值,只需参考包含该值原始输入的单元格。这样做可以减少错误的风险,并确保如果需要修改该值,您只需调整原始输入,所有其他出现都将相应更新。

  • 每行使用一个公式:利用 Excel 的引用框架,该框架在 第四章 中有解释,在 Excel 中应用引用框架,只需输入一次公式,然后将相同的公式沿着行向右填充到其余年份。如果操作正确,这将大大减少建模时间并降低错误发生率。

故障排除

在发生错误的情况下,有一些步骤可以快速排除几种可能性:

  • 前置项:前置项是在计算特定单元格的值时所引用的单元格

  • 依赖项:依赖项是在其公式中包含焦点单元格的那些单元格

下图将进一步解释这一点:

从上图中,让我们看一下单元格 K8。该单元格中的公式是 =K6*(1-$D$7),因此单元格 K6D7 是单元格 K8 的前置项。另一方面,单元格 K8 是单元格 K6D7 的依赖项。

公式 标签中,在 公式审计 组中,选择 追踪前置项追踪依赖项 将显示将单元格链接到其前置项或依赖项的细蓝色箭头。

下图显示了我们如何使用 Excel 可视化查看依赖项和前置项:

我们可以看到单元格 D7 有几个依赖项。然而,由于它是硬编码的输入,它没有前置项。如果任何单元格出现问题,追踪前置项和/或依赖项可以揭示可能导致异常的错误引用。

  • 显示公式:有一个有用的键盘快捷键,Ctrl + *,允许您在工作表中显示所有相关单元格的公式或将它们保留为值之间切换。按一次 *Ctrl + 会显示工作表中的所有公式,如下图所示:

再次按下 Ctrl+` 将显示返回到值,如下图所示:

这很有用,因为它允许您快速浏览工作表中的公式并发现任何明显的错误。

  • 评估公式:有一个运算顺序规定了 Excel 将执行操作数(+,-,x,\ 和 ^)的顺序—括号,然后是指数,然后是乘法,除法(从左到右的第一个),然后是加法和减法(从左到右的第一个)。当你需要编写包含多个操作数的复杂公式时,以下运算顺序有助于确保公式正确执行。不可避免地,会有时候你排列公式错误并且顺序错误,导致得到错误答案。

公式求值 功能逐步引导您了解 Excel 在执行公式并得出显示的答案时所采取的步骤。例如,用于计算终值的公式如下:

当此公式输入到 Excel 单元格中时,将变为以下形式:

=N12*(1+D23)/(D21-D23)

选定终值单元格后,转到 公式求值公式 选项卡 > 公式编辑 组 > 公式求值)。公式求值 对话框将启动,如下面的截图所示:

公式求值 对话框显示正在评估的带有公式的单元格(在本例中为 N25)、公式本身,其在 评估 框中再现,并显示对话框底部的四个按钮,即 评估步入步出关闭。在 评估 框中,将下一个要评估的项目标记为下划线。这可以是一个操作(+、-、x、\、^),将单元格引用转换为该单元格中的值,或者从方程式的一部分中移除括号。

默认情况下,Excel 将从左向右执行一个公式,直到到达决策点,在那里有一个选项来执行一个优先级更高的操作数,这将导致不同的答案。然后 Excel 将跳转到该更高优先级的操作数,并首先执行它,然后返回到较低优先级的操作数,并继续从左向右执行。

N25 中的公式中,第一步是 Excel 将第一个引用 N12 和 FCFF 转换为该单元格中的值。因此,在前面的截图中,引用 N12 已被下划线标记。以下截图逐步演示了公式的执行过程:

引用 N12 现在已被其值所取代。请注意 Excel 并未显示缩写的金额,即 87,232,这是通过格式化进行四舍五入的结果,而是显示到小数点后 10 位的完整数字。

序列中的下一个操作数应该是乘法。然而,括号的优先级高于乘法,因此将优先执行。Excel 将在返回默认的从左到右顺序之前完全执行括号内的内容。

在下面的截图中,第一组括号内的引用 D23 现在已经被下划线标记,表示它将被下一个执行:

引用 D23 现在已被其值 0.05(5%)所取代,并且该行现在位于第一组括号的内容下方,表示下一个执行的是加法,即使它的优先级较低,也将给出 (1.05)

在下面的截图中,括号周围的 1.05 已被移除,该行现在返回到正常顺序,并位于乘法下方:

以下截图显示了乘法的结果:

然后,单元格引用 D21 将转换为其值:

现在,D23将被其在单元格中显示的值替换:

在接下来的两个截图中,首先显示了减法的结果,然后去掉了括号。首先,计算减法的结果:

接下来,去掉括号,将其中的数字引入到公式中:

然后,执行最终的操作,即除法,以给出公式的结果,如下截图所示:

您应该注意,如果在任何阶段检测到公式中存在错误,您可以单击 逐步调试 来暂停评估,进入公式中,进行更正,然后单击 逐步跳出 来恢复评估。

理解敏感度分析

在第九章 估值 中,我们计算了股权价格的价值。由于模型中固有的不确定性,您应该采取一些措施来减轻这一点。一种方法是运行一些测试,观察当您更改了用于确定该值的一些输入和驱动因素时股价的行为。

这个过程称为敏感度分析。除了您目标值的波动性外,它还指示了哪些输入或驱动因素对目标值产生了最大影响。您需要确定两个在您的模型中显著的输入或驱动因素。

我们已经提到营业额是损益表中最显著的数字。因此,我们可以将营收增长驱动因素视为敏感度分析的一项。另一个显著的项目是终端价值。

我们在第九章 估值 中已经看到了这对您的股价估值有多大影响。您可以使用终端增长率,这是用于确定终端价值的变量,作为第二个项目进行敏感度分析。其思想是变化这些输入,观察其对股价的影响,并绘制结果。

使用直接和间接方法

敏感度分析有两种方法:直接方法和间接方法。这两种方法都利用数据表,可以在 Excel 的 数据 标签页中的 预测 组下的 假设分析 中找到。以下是 数据表... 选项的位置截图:

为了使用数据表,您必须以特定方式组织数据。以下截图显示了数据表的布局:

表布局的左上角单元格必须与目标值股价相关联,我们希望观察其行为。该特定位置对于数据表功能的工作至关重要。但是,由于它将不被用于其他任何用途,因此在此以白色字体颜色显示,使其对肉眼不可见,以免引起任何干扰。

行输入值输入在表的顶部行中。我们已选择终端增长率作为行输入,其值从 3%开始,以 1%的增量递增至 7%。列输入为营收增长率(CAGR),输入在表的最左侧列中,其值从 0%开始,以 2.5%的增量递增至 9.5%。

然而,5%的输入被更改为 4.5%,以与作为营收增长驱动因素使用的实际历史 CAGR 相匹配。为了准备数据表功能,请从左上角具有目标值的单元格开始选择整个表,不包括输入/驱动值。然后,从数据功能区的预测组中选择数据表...。这将启动数据表对话框,如下面的屏幕截图所示:

数据表对话框有两个输入,行输入单元格列输入单元格

直接方法

在这种方法中,行和列输入单元格直接与模型相关联,通过它们在模型中出现的单元格。在这种情况下,行输入单元格是与您的模型相关联的估值部分中的终端增长率单元格;单元格D265列输入单元格是与您的模型相关联的假设部分中Y06F的营业额增长驱动因素;单元格J11

以下截图是行输入单元格的示例:

以下截图是列输入单元格的示例:

当您按下确定时,数据表将填入从数据表行和列标题中替换终端增长率和营收增长驱动因素的备选值在您的模型中生成的结果。以下是完成的数据表的截图:

您可以通过查看终端增长率为 5%和营收增长驱动因素为 4.5%时的股价来测试您的数据表的准确性。

您的表已经排列好,以便该值位于表格中间,即填充颜色较深的单元格中。它显示为117.1,与您的估值结果117.2相比。这让您确信您的数据表设置正确且计算正确。

从表中我们可以看到,当终端增长率为 3%,营收增长为 0%时,最低股价为 N80.2,而最高股价为 N194.3,在终端增长率为 7%和营收增长率为 9.5%时获得。

间接方法

此方法将数据表链接到包含我们选择的变量或驱动器的公式中。为此,我们首先设置数据表,如下截图所示:

所有三个输入都有一个 0.0%的基准值,该值将被添加到包含我们选择的输入的公式中。然后,我们还添加了营业额增长率和销售成本的两个额外值为-2.5%和 2.5%,以及终端增长率的-1.0%和 1.0%。变化值表示我们将使用间接方法的数据表测试模型敏感性的范围。

然后,您需要编辑相关的公式,通过添加 0.0%单元格将数据表链接到模型中。例如,预测的第一年Y06F的营业额是通过将营业额增长驱动器应用于前一年的营业额Y05A而得到的,如下公式所示:

您将编辑公式,将数据表中的营业额增长驱动器的基准值添加到单元格C295,如下所示:

=I10*(1+J11+C295)

然后,您应该将公式复制到其他预测年份。通过这种方式,您已将数据表链接到模型而不改变其结果:

以相同的方式,将销售成本数据表链接到单元格J12中的公式:

现在,您可以返回并使用假设分析数据表功能填充您的数据表。首先,选择整个营业额增长表:

转到数据>假设分析下的数据表,或使用键盘快捷键*Alt *+ A + W + T,以弹出数据表对话框。以下是数据表对话框的截图:

行输入单元格留空,并选择 0.0%作为列输入单元格的单元格。当您点击确定时,数据表将填充为以比原始速率低 2.5%和高 2.5%的营业额增长率计算的股价的值。

以下截图显示了填充的营业额增长率数据表:

重复以上步骤,对销售成本终端增长率数据表进行相同操作。这是使用间接方法的完整数据表的截图:

再次检查您的数据表,您会注意到它比基准营业额增长率 4.5% 高 2.5%;换句话说,是 7.0%。

在 7% 的营业额增长率和 5% 的终端增长率下,使用直接方法,我们得到 N123.3 的股价,与我们间接方法数据库中营业额增长值一致。在 4% 的终端增长率和 4.5% 的营业额增长率下,使用直接方法,我们得到 N101.0 的股价,与我们间接方法数据库中终端增长率一致。

因为间接方法数据表本身难以理解,所以您需要进一步准备一个龙卷风图。龙卷风图是一种有效地展示多个输入和驱动器变化影响的方法。您将首先准备一个包含图表所需信息的表格,从间接方法数据表中获取。

第一步是计算从基准值到负变化值的股价百分比变化。我们不关心变化是负数还是正数,只需要绝对变化。所以,我们将使用以下公式:

股价百分比变化,伴随着输入或驱动器的变化,显示在以下屏幕截图中:

重复这个公式来计算销售成本和终端增长率。现在,使用以下公式对最小的百分比变化进行排名:

=SMALL(% change, rank number)

将公式复制到接下来的两行,以使排名编号从 1 变为 2,然后变为 3。这将导致百分比按从小到大的顺序排列,如以下屏幕截图所示:

使用 INDEXMATCH 函数(参见第三章,公式与函数),在排名输出(绝对变化)旁边输入适当的输入和驱动器名称。这些将作为我们的水平轴标签。

以下是 INDEXMATCH 公式的屏幕截图:

将输出放在标签的右侧,并形成两个系列,一个是正数,另一个是相同数字的负数。以下屏幕截图显示了完整的表格:

现在,通过转到插入 > 柱形图或条形图,然后选择2-D 堆叠柱形图来创建一个图表。一个空白的图表将被放置在您的工作表上。从上下文敏感的图表设计菜单中,单击选择数据选择数据源对话框框会打开,如下所示:

现在,按顺序添加两个系列,依次选择图例项(系列)下的添加编辑系列对话框弹出。选择正输出的列作为第一个系列。选择第一个数据系列如下截图所示:

重复该过程以添加第二个系列。选择第二个数据系列如下截图所示:

现在,选择水平轴标签。点击编辑,然后选择包含输入和驱动器名称的列。以下截图显示了对水平轴标签的编辑:

以下截图显示了编辑水平轴标签的另一种方法:

标签将显示在水平轴上,在负系列数据内:

双击水平轴以启动格式轴对话框,如下截图所示:

请记住,您的图表是堆叠条形图,因此会被翻转,使得水平轴实际上是垂直的。

向下滚动以显示标签选项并点击它。将标签位置更改为

这将导致以下输出:

现在,依次点击每个有颜色的系列,并将颜色更改为更合适的颜色:

添加图表标题并编辑以使其具有适当的突出性:

图表清楚地显示,更改营业额增长驱动因素对股价影响最大,其次是销售成本,最后是终端增长率。

理解情景分析

在敏感性分析中,我们选择了一些输入或驱动器并对其进行了更改,同时保持所有其他变量不变。这向我们展示了所选输入对股价的孤立影响。然而,在实践中,这种情况很少见。变量不会孤立地改变。通常情况下,您会有一些变量因某些情况或场景而改变。情景分析通常会考虑两个或三个情况集,最可能的是最好情况和最坏情况。

对于每个情景,您将假设所选变量的备选值。在选择变量时,您将专注于那些最主观的输入或驱动因素。情景分析涉及将给定情景的所有所选变量替换到您的模型中,并检查这对股价的影响。我们将查看乐观、基准和悲观情景。我们还将选择营业额复合年增长率TGRWACC,因为这些变量对股价有显著影响。

设置表格如下截图所示,使用适当的值分别反映乐观和悲观情景。基准案例将反映我们的 DCF 估值计算出的值。以下截图显示了情景表:

图示

现在我们需要设置一个选择框,允许我们选择一个情景并将情景链接到我们为每个情景选择的值。我们将使用组合框和OFFSET函数。此组合框可以在 Excel 的开发者选项卡中的插入组中找到。如果开发者选项卡未显示,请转到文件>选项>自定义功能区。在主选项卡下,选中开发者旁边的复选框。

以下截图显示了开发者选项卡上组合框的位置:

图示

组合框放置在参考框旁边,在组合框上右键单击,并选择格式控制。启动格式对象对话框,如下截图所示:

图示

对于输入范围,请选择带有情景标签的单元格。单元链接可以是任何空白单元格。选择SHARE PRICE标签左侧的单元格。以下截图显示了组合框格式对象对话框:

图示

单击组合框右侧的箭头。下拉列表显示带有情景名称的选项。以下截图是组合框选项的下拉列表:

图示

一旦您选择了任何选项,它们将显示在组合框中,并且会在单元链接单元中显示一个数字,该数字对应于您所选择的选项列表中的位置。现在我们需要在参考栏中反映所选情景的变量值。为此,我们将使用OFFSET函数,以及单元单位中的计数器。OFFSET函数的参数被安排以允许您指导 Excel 到特定的单元格以提取内容。

以下截图显示了OFFSET函数的参数:

图示

此函数允许您选择一个reference变量。下一个参数,rows,允许您指定从该参考点向下偏移的行数;cols允许您指定从该参考点向右偏移的列数;heightwidth仅在您想要指定一个范围而不是单个单元格时使用。

下面的截图显示了单元格链接中的数字 2。当选择基本情况时,列表中的第二个方案被选中:

选择Combo Box中的基本情况后,单元格链接中显示数字 2(参见上面的截图)。这对应于Combo Box下拉列表中基本情况的位置。接下来,选择参考框中的单元格,然后输入OFFSET函数。

利用我们对 Excel 引用框架的了解,我们认识到我们要在参考框中输入的是相同的公式。因此,我们可以选择这三个单元格,输入一次公式,然后按下Ctrl + Enter以完成并一次性填充所有三个单元格。以下截图显示了输入OFFSET公式参数时的值:

使参考单元格G306成为Turnover CAGR标题。当参考向右复制时,我们希望它查看同一行的下一列中的单元格H306,即TGR标题。将行单元格$F$314设为单元格链接。我们锁定了这个单元格引用,这样当参考向右复制时,它仍然会查看单元格链接

然后,在row参数之后添加一个逗号,以表示我们已经完成了该参数的输入。但是,由于我们不再输入任何参数,因此我们可以关闭括号,然后按Ctrl + Enter以完成并一次性填充所有三个单元格。现在,将股价链接到模型中估值部分的适当单元格。我们还将单元格链接单元格清空,以免分散注意力。以下截图显示了具有链接的股价和空白的单元格链接的场景模板:

下一步是将参考框中的单元格链接到模型中的适当位置。首先,将Assumptions中的营收增长CAGR单元格,单元格I10,与参考框中的G312相关联。以下截图显示了将CAGR单元格链接到参考框的场景:

然后,将TGR,单元格D247,链接到参考框中的单元格H312。以下截图显示了如何将TGR链接到参考框中:

然后,将单元格D245WACC)链接到参考框中的单元格H312。下面的截图显示了如何将WACC链接到参考框中:

最后,我们使用条件格式设置来突出显示当前选择的任何场景。在主页功能区中转到条件格式 > 新建规则...。以下截图显示了主页功能区上的条件格式选项:

选择新建规则...以打开新格式规则对话框:

现在,选择使用公式确定要格式化的单元格

我们需要使用此公式,而不是仅选择预设选项之一,因为我们将要指定条件的某些单元格与要应用条件的单元格不相同。以下屏幕截图显示了新格式规则对话框:

再次,我们将节省时间,方法是利用我们对相对引用、绝对引用和混合引用的了解,只需输入一次公式。我们将使用的条件如下:当我们场景模板中的任何值等于参考框中同一列中的值时,显示我们将指定的特殊格式。

首先,我们突出显示场景模板中的所有值单元格,然后按照前面截图中显示的公式输入公式:

=G307=G$312

当该语句为真(当前为假)时,该单元格将显示我们将指定的特殊格式。当将公式复制到右边时,G307变为H307,而G$312变为H$312。当将公式向下复制时,G307变为G308,而G$312保持为G$312。这确保了该公式始终与参考框的行,行312链接。

现在我们确信公式是正确的,我们按下Ctrl + Enter来填充场景模板中的所有值单元格。现在,我们可以指定满足条件时要显示的特殊格式。选择粗体和红色风格的字体。以下截图显示了如何指定自定义字体格式:

现在,我们将选择更好的颜色填充。以下截图显示了如何指定自定义填充格式:

当您按下确定时,您将被带回到新格式规则对话框,该对话框现在显示了特殊格式的示例。以下截图显示了带有自定义格式示例的新格式规则对话框:

当您按下确定时,您将被带回到工作表,并且将观察到基本情况的值显示条件格式。这是因为这是我们组合框中当前选择的场景。在基本情况场景下,股价为117.6。带有条件格式的基准情景如下截图所示:

组合框中,选择乐观场景。以下截图显示了具有条件格式的乐观场景:

现在,乐观场景的值显示了条件格式。这是因为我们组合框中当前选择的场景是乐观场景。股价是222.4。现在,选择悲观场景。

以下截图显示了具有条件格式的悲观场景:

现在,悲观场景的值显示了条件格式。这是因为我们组合框中当前选择的场景是悲观场景。股价是69.9

创建一个简单的蒙特卡洛模拟模型

蒙特卡洛模拟是一个模型,它计算在一个过程中不确定性很大的情况下不同结果的概率。该模型利用随机生成的数字来获得成千上万个可能的结果,从中可以推断出最可能的结果。我们将研究自由现金流 FCFF 的增长以及资本成本 WACC,它们都是我们 DCF 模型的组成部分。

使用以下公式计算历史年度Y02AY05A的 FCFF 增长率:

以下截图显示了 FCFF 的历史增长计算:

通常,蒙特卡洛模拟使用数千次重复。然而,为了说明问题,我们将限制数量为 100。让我们计算 FCFF 历史增长的平均值。

以下截图显示了 FCFF 平均增长的计算:

我们从模型的估值部分获得WACC。以下截图显示了如何获得:

我们将假设每个标准差为 1%。标准差是我们预计模拟与我们的 FCFF 增长和 WACC 的起始值有多大差异的度量。现在,我们使用 Excel 函数RAND为 FCFF 增长和 WACC 创建随机数生成器。

以下截图显示了我们如何为 FCFF 增长和 WACC 创建随机数生成器:

RAND函数生成一个 0 到 1 之间的随机数。每次 Excel 在这个或其他单元格中进行计算时,函数会重新计算,并生成另一个随机数。数字0.83751对应着发生该值的83.75%的概率。

使用这个设置,Excel 为 FCFF 增长和 WACC 生成 100 个不同的结果。如果这些结果被绘制在图表上,它们将遵循所谓的正态分布

这是一个正态分布图:

点被聚集在一个中央峰值周围。值离峰值越远,发生该值的可能性就越小。峰值代表所有值的平均值,是变量最可能的值。从图中,您可以从 X 轴,即水平轴上选择一个值,然后沿着垂直向上的线追踪。它与曲线相交的点给出了该值发生的概率

在我们创建的方案中,我们正在生成随机概率,并希望将其转换为 FCFF 增长和 WACC 的值。为此,我们使用 Excel 函数 NORMINV。此函数使用平均值、标准偏差和概率来计算 FCFF 增长WACC 变量的值。

下面是展示 NORMINV 函数的屏幕截图:

我们可以通过简单地按下F2编辑),然后按下Enter,手动强制 Excel 生成一个新的随机数。每次生成新的随机数时,都会为 FCFF 增长和 WACC 创建新值。

请注意,屏幕截图中的值在不同的截图之间是不同的。这是因为作为 RAND 函数的结果,新的随机数正在不断生成。

我们可以将这些新值逐个复制粘贴到另一个位置,以制表结果。为了覆盖我们正在构建的方案所需的模拟次数,我们需要重复这样做 100 次。或者,有一种更有效的方法,使用数据表。

从一个空单元格开始输入 1。选择该单元格后,单击 编辑 组中的 填充 图标,然后选择 序列。这是 填充 > 序列 的选择屏幕截图:

打开一个 序列 对话框。在 序列位于 字段中选择 ,将 步长 设置为 1,将 停止值 设置为 100。这是 序列 对话框的屏幕截图:

当您按下 确定 后,将在列中生成从 1 到 100 的序列,从您先前输入的数字 1 开始。现在,通过将 FCFF 增长与数字 1 旁边的单元格链接来创建第一次迭代。

这是一张展示 FCFF 增长如何与我们的新表格相连的屏幕截图:

然后,以同样的方式链接 WACC。这是展示 WACC 如何与我们的新表格相连的屏幕截图:

我们现在将使用数据表FCFF 增长WACC填充我们的新表格。突出显示新表格中的所有单元格,然后转到数据功能区下的预测组,并选择假设分析,然后选择数据表。在打开的数据表对话框中,忽略行输入单元格

对于列输入单元格,选择表格之外的任何空单元格。以下屏幕截图显示了选择表格之外的空单元格作为列输入单元格

当您单击确定时,表格将填充为FCFF 增长WACC的 100 次迭代,如以下屏幕截图所示:

然后,我们根据我们的假设得出了FCFF 增长的最可能值,方法是取 FCFF 增长的 100 次迭代的平均值。这张屏幕截图说明了我们如何得出新的FCFF 增长

WACC的最可能值是WACC的 100 次迭代的平均值。以下屏幕截图说明了我们如何得出新的WACC

我们现在将采用新的FCFF 增长WACC值,并将它们替换为我们的估值模型中。以下屏幕截图显示了如何执行此操作:

我们然后在我们的Terminal Value公式中替换 WACC,如下所示:

我们重新计算了预测年份和终端值的FCFF的现值,净现值等,得出了企业价值为 N'(000)2,069,368股权价值,市值为 N'(000)1,942,675,最终的股价(NAIRA)194.27

摘要

在本章中,我们学习了如何将一些测试和程序纳入您的模型,以提高模型的准确性。我们学习了一些基本程序,以便在您的模型中揭示错误的位置。我们了解了敏感性分析的含义,并学会了使用直接和间接方法。我们还学会了如何在图表中显示我们的结果,并有意义地解释它们。最后,我们了解了场景分析,它与敏感性分析的区别以及如何使用它。

金融建模可能是一个复杂的主题,但我们希望我们已经能够将其解密到足以鼓励您从事这个非常有价值的主题。完全无法避免一些技术内容,但我们希望即使在这里,我们也能够让它不那么令人生畏。