自然语言处理实战第二版(MEAP)(三)

116 阅读1小时+

自然语言处理实战第二版(MEAP)(三)

原文:zh.annas-archive.org/md5/fa38013bd1d506f70f24ea5385d06017

译者:飞龙

协议:CC BY-NC-SA 4.0

第五章:字脑(神经网络)

本章包括

  • 为你的神经网络构建一个基础层

  • 理解反向传播以训练神经网络

  • 在 Python 中实现一个基本的神经网络

  • 在 PyTorch 中实现一个可扩展的神经网络

  • 堆叠网络层以获得更好的数据表示

  • 调整你的神经网络以获得更好的性能

当你读到这一章的标题,“字脑”,你的大脑中的神经元开始激活,提醒你在哪里听过类似的东西。现在你读到“听到”这个词,你的神经元可能正在连接标题中的单词与处理单词声音的大脑部分。也许,你听觉皮层中的神经元开始将短语“字脑”连接到与之押韵的常见短语,比如“鸟脑”。

即使我的大脑没有很好地预测到你的大脑,你也将要建立一个小脑。你即将构建的“字脑”将比我们人类的大脑好得多,至少对于某些特别困难的自然语言处理任务来说是这样。你将建立一个可以处理单词并预测其意义的微小脑。当神经网络处理的单词是一个人的名字时,它似乎对人类来说没有意义

如果所有关于大脑、预测和单词的谈论让你感到困惑,不要担心。你将从简单开始,只用一个在 Python 中构建的人工神经元。你将使用 PyTorch 处理连接你的神经元到其他神经元并创建人工神经网络所需的所有复杂数学。一旦你理解了神经网络,你就会开始理解深度学习,并能够在现实世界中使用它进行有趣的、积极的社会影响,以及... 如果你坚持的话,利润。

5.1 为什么使用神经网络?

当你使用深度神经网络进行机器学习时,它被称为深度学习。在过去几年里,深度学习已经在许多困难的自然语言处理问题上突破了准确性和智能性的天花板:

  • 问答

  • 阅读理解

  • 总结

  • 自然语言推理(NLI)

最近,深度学习(深度神经网络)实现了以前难以想象的应用:

  • 长时间的、引人入胜的对话

  • 陪伴

  • 编写软件

最后一个,写软件,尤其有趣,因为 NLP 神经网络正在被用来编写软件……等等……用于 NLP。这意味着人工智能和自然语言处理算法正在接近一天,它们将能够自我复制和自我改进。这使得神经网络成为通向 人工通用智能(AGI)的路径,至少是普遍智能机器的一种。NLP 已经被用来直接生成正在推进那些 NLP 算法智能的软件。这种良性循环正在创造出如此复杂和强大的模型,以至于人类很难理解它们,解释它们的工作原理。一篇 OpenAI 文章显示了模型复杂性在 2012 年发生的明显拐点,当时 Geoffrey Hinton 对神经网络架构的改进开始流行起来。自 2012 年以来,用于最大 AI 训练运行的计算量呈指数增长,每 3.4 个月翻一倍。^([1]) 之所以所有这些成为可能,是因为神经网络:

  • 对于从少量示例中进行泛化更好

  • 可以自动从原始数据中提取特征

  • 可以很容易地在任何未标记的文本上进行训练

神经网络为你做特征工程,而且做得非常优秀。它们根据你在管道中设置的问题,提取通常有用的特征和数据的表示。现代神经网络在信息丰富的数据,比如自然语言文本方面尤其表现出色。

5.1.1 单词的神经网络

有了神经网络,你不需要猜测专有名词、平均词长或手工制作的词语情感分数是否是你的模型所需要的。你可以避免使用可读性分数,或情感分析器来降低数据的维度。你甚至不需要使用盲目(无监督)的降维方法,如停用词过滤、词干提取、词形还原、LDA、PCA、TSNE 或聚类。一个神经网络的 小型大脑 可以为你做到这一切,并且它会根据词与你的目标之间的关系统计学来进行优化。

警告

在你的深度学习管道中不要使用词干提取器、词形还原器或其他基于关键字的预处理,除非你确信它能够帮助你的模型在你的应用中表现更好。

如果你正在进行词干提取、词形还原或基于关键字的分析,你可能想要尝试在没有这些过滤器的情况下运行你的管道。无论你使用的是 NLTK,Stanford Core NLP,还是 SpaCy,手工制作的词汇算法,比如词形还原器,可能没有帮助。这些算法受到手工标记的词汇表和手工制作的正则表达式的限制。

这里有一些预处理算法可能会使你的神经网络遇到困难:

  • 波特词干提取器

  • 宾夕法尼亚树库词形还原器

  • Flesch-Kincaid 可读性分析器

  • VADER 情感分析器

在机器学习和深度学习的超连通现代世界中,自然语言也发展得太快,这些算法跟不上。词干提取器和词形提取器过度拟合于过去的时代。50 年前,"超连通"和 "过度拟合" 这样的词根本不存在。词形提取器、词干提取器和情感分析器常常对这些未预料到的词做出错误的处理。^([2])

深度学习是自然语言处理的游戏规则改变者。在过去,像朱莉·贝丝·洛文斯(Julie Beth Lovins)这样的杰出语言学家需要手工制作算法来从文本中提取词干、词形和关键词。^([3])(她的单遍词干提取器和词形提取器算法后来被马丁·波特等人所广为人知)^([4]) 深度神经网络现在使所有这些繁琐的工作都变得不必要。它们根据单词的统计信息直接访问单词的含义,而不需要像词干提取器和词形提取器那样脆弱的算法。

即使像第四章的潜在语义分析(LSA)这样的强大特征工程方法也无法匹敌神经网络的 NLU 能力。通过决策树、随机森林和提升树自动学习决策阈值并不提供神经网络的语言理解深度。传统的机器学习算法使全文检索和普遍可访问的知识成为现实。但是具有神经网络的深度学习使得人工智能和智能助手成为可能。你不再需要信息检索专家或图书馆员来找到你想要的东西,你有一个虚拟的图书管理员来协助你。深度学习现在以你之前无法想象的方式推动着你的思维。

深层神经元有什么特点,使得自然语言处理在我们的生活中如此突出?为什么我们现在如此依赖神经机器翻译(NMT)推荐引擎、中间按钮建议(有一个 Subreddit,人们在那里发布完全由他们智能手机的中间按钮建议组成的评论?^([5])), 和自动回复提醒?如果你尝试过数字排毒,你可能会感受到没有 NLP 在幕后帮助你,你就不能完全做自己的这种感觉。而 NLP 神经网络给了我们希望,认为通用人工智能(AGI)已在触手可及范围内。它们承诺允许机器以我们通常的方式学习,只需阅读大量文本。

你学习到的应用于 NLP 的强大力量即将变得更加强大。您需要了解深层次的人工神经元网络如何工作,以确保您的算法造福于社会而不是毁坏它(Stuart Russell 的“Human Compatible AI”阐释了人工智能(AI)和人工智能通用(AGI)的危险和承诺,具有一些有见地的 NLP 示例。)。为了运用这种力量造福于人类,您需要对单个神经元的工作有所了解。

您还需要了解为什么它们对许多 NLP 问题如此有效……以及为什么在其他问题上失败得惨不忍睹。

我们希望帮助您摆脱过去使研究人员感到沮丧的“人工智能冬天”。如果将神经网络使用不当,则可能会被一个过度拟合的 NLP(自然语言处理)流水线冻伤,该流水线在您的测试数据上表现良好,但在实际应用中会造成灾难性后果。随着您对神经网络如何工作的了解加深,您将会开始看到如何构建更强大的 NLP神经网络。 NLP 问题的神经网络因质量脆弱且容易受到敌意攻击,例如污染(可以从 Robin Jia 的博士学位论文中了解有关如何测量模型的稳健性并改进它的更多信息。^([6])) 但是,首先你必须对单个神经元的工作有所了解。

提示

下面列出了两本关于用神经网络处理自然语言文本的优秀自然语言文本。 您甚至可以使用这些文本来训练深度学习流水线以理解 NLP 的术语。

  • Yoav Goldberg 的 自然语言处理神经网络模型入门archive.is/BNEgK

  • Richard Socher 的 CS224d:自然语言处理的深度学习web.stanford.edu/class/cs224d/lectures/

您可能还想查看 Manning 的 Stephan Raaijmakers 所写的 深度学习自然语言处理www.manning.com/books/deep-learning-for-natural-language-processing

5.1.2 神经元作为特征工程师

线性回归、逻辑回归和朴素贝叶斯模型的主要限制之一是它们都需要逐个进行特征工程。你必须在所有可能的文本数字表示方法中找到最好的数字表示形式。然后,您必须参数化一个函数,该函数接受这些经过工程化的特征表示并输出您的预测。只有在此之后,优化器才能开始搜索最佳预测输出变量的参数值。

注意

在某些情况下,您可能希望为您的 NLP 流水线手动创建阈值特征。如果您需要一个可与团队讨论并与现实现象相关联的可解释模型,这将非常有用。要创建一个具有少量工程特征的简化模型,而不使用神经网络,您需要检查每个特征的残差图。当您在特征的特定值处看到残差中断或非线性时,那就是要添加到您的流水线中的好的阈值值。有时,您甚至可以找到您工程阈值和现实世界现象之间的关联。

例如,您在第三章中使用的 TF-IDF 向量表示对信息检索和全文搜索非常有效。但是,在现实世界中,TF-IDF 向量通常无法很好地泛化到语义搜索或 NLU,因为单词以模糊的方式使用或拼写错误。并且第四章中的 PCA 或 LSA 转换可能无法为您的特定问题找到正确的主题向量表示。它们适用于可视化,但对于 NLU 应用来说并非最佳选择。多层神经网络承诺为您进行特征工程,并以某种意义上的最佳方式执行此操作。神经网络搜索更广泛的可能特征工程函数空间。

处理多项式特征爆炸

另一个神经网络可以为您优化的一些特征工程的例子是多项式特征提取(回想一下您上次使用sklearn.preprocessing.PolynomialFeatures的情况)。在特征工程期间,您可能会猜想输入和输出之间的关系是二次的。在这种情况下,您会对这些输入特征进行平方,并使用这些新特征重新训练模型,以查看它是否改善了模型在测试集上的准确性。基本上,如果特定特征(预测值减去测试集标签)的残差看起来不像以零为中心的白噪声,那么这就是您利用一些非线性函数来从模型的预测中消除更多误差的机会,比如平方(*\*2),立方(\*\*3),sqrtlogexp。您能想到的任何函数都是公平竞争的。您将逐渐培养出一种直觉,帮助您猜测出最能提高准确性的正确函数。如果您不知道哪些相互作用可能对解决问题至关重要,那么您必须将所有特征互相乘起来。

您了解这个兔子洞的深度和广度。可能的四阶多项式特征的数量几乎是无限的。您可以尝试使用 PCA 或 LSA 将 TF-IDF 向量的维度从数万个减少到数百个。但是将四次多项式特征加入其中将会使您的维度远远超过 TF-IDF 向量的维度。

即使有数百万种可能的多项式特征,还有数百万个阈值特征。决策树的随机森林和提升决策树已经发展到一定程度,可以自动进行良好的特征工程。因此,找到合适的阈值特征基本上是一个已解决的问题。但是这些特征表示难以解释,有时在现实世界中的泛化效果不佳。这就是神经网络可以发挥作用的地方。

特征工程的圣杯是找到能够反映真实世界物理的表示。如果你的特征可以根据真实世界现象来解释,你就可以开始建立对其不仅仅是预测性的信心。它可能是一个真正的因果模型,它对于世界是普遍真实的,而不仅仅是对你的数据集。

Peter Woit 解释了现代物理学中可能模型的激增大部分都是甚至不错的。[7] 当你使用 sklearn.preprocessing.PolynomialFeatures 时,这些甚至不错的模型就是你所创建的。而这是一个真正的问题。这些提取的多项式特征中很少有数百万是物理上可能的。换句话说,绝大多数多项式特征只是噪音。[8] 因此,如果在预处理中使用 PolynomialFeatures,请将 degree 参数限制为 2 或更低。

重要提示

对于任何机器学习流水线,确保你的多项式特征永远不包括超过 2 个物理量的乘积。如果你决定尝试高于二次的多项式特征,可以通过滤除不可实现(幻想)的三路交互特征来减少困扰。例如,x1 * x2 \** 2 是一个合法的三次多项式特征,但 x1 * x2 * x3 不是。涉及超过两个特征之间交互(乘法)的多项式特征在物理上是不可实现的。移除这些“幻想特征”将提高你的 NLP 流水线的鲁棒性,并帮助你减少生成模型产生的任何幻觉。

我们希望到目前为止你已经受到了神经网络所提供的可能性的启发。让我们开始我们的神经网络之旅,构建类似逻辑回归的单个神经元。最终,你将能够组合和堆叠这些神经元,以优化特征工程。

5.1.3 生物神经元

弗兰克·罗森布拉特根据自己对大脑中生物神经元工作原理的理解提出了第一个基于人工神经网络的模型。他将其称为感知器,因为他使用它来帮助机器利用传感器数据感知其环境。[9] 他希望这些感知器通过消除手工设计的滤波器从数据中提取特征的需要来革新机器学习。他还希望自动化找到任何问题的正确功能组合的过程。

他希望使工程师能够构建 AI 系统,而无需为每个问题设计专门的模型。当时,工程师们使用线性回归、多项式回归、逻辑回归和决策树来帮助机器人做出决策。罗森布拉特的感知器是一种新型的机器学习算法,它可以近似任何函数,不仅仅是一条线、一个逻辑函数或一个多项式。[10]

图 5.1 生物神经元细胞

生物神经元细胞

罗森布拉特在成功的逻辑回归模型的漫长历史上进行了改进。他略微修改了优化算法,以更好地模拟神经科学家对生物神经元如何随着时间调整其对环境的响应的理解。

电信号通过树突(见图 5.1)流入你大脑中的生物神经元,然后进入细胞核。细胞核积累电荷并随着时间的推移逐渐增加。当细胞核中积累的电荷达到特定神经元的激活水平时,它通过轴突发出电信号。然而,神经元并非完全相同。你大脑中的神经元的树突对某些输入的神经元更“敏感”而对其他输入的神经元则不那么“敏感”。细胞核本身可能具有较高或较低的激活阈值,这取决于其在大脑中的功能。因此,对于一些更敏感的神经元,输入的信号量较少即可触发通过轴突发送输出信号。

因此,你可以想象神经科学家如何通过对真实神经元进行实验来测量单个树突和神经元的敏感性。这种敏感性可以被赋予数值。罗森布拉特的感知器将这种生物神经元抽象化,创建了一个与每个输入(树突)相关联的权重的人工神经元。对于人工神经元,例如罗森布拉特的感知器,我们将单个树突的敏感性表示为该特定路径的数值权重增益。生物细胞在决定何时触发时加权输入信号。更高的权重代表对输入的小变化更敏感。

生物神经元会在其生命周期中动态地改变这些权重,在决策过程中。您将使用称为反向传播的机器学习过程来模仿这种生物学习过程。

图 5.2 基本感知器

perceptron

AI 研究人员希望用更模糊、更泛化的神经网络逻辑来取代 logistic 回归、线性回归和多项式特征提取的严格数学 —— 小型大脑。Rosenblatt 的人工神经元甚至可以处理三角函数和其他高度非线性函数。每个神经元解决问题的一部分,并且可以与其他神经元结合来学习更加复杂的函数。(尽管并非所有的都行 - 即使是简单的函数,比如 XOR 门,也不能用单层感知器解决)。他把这些人工神经元的集合称为感知器。

Rosenblatt 当时并没有意识到,但他的人工神经元可以像生物神经元一样被层叠起来,连接成簇。在现代* 深度学习* 中,我们将一个组神经元的预测连接到另一个组神经元以细化预测。这使我们能够创建层叠网络,可以模拟任何函数。如果您有足够的时间和数据,它们现在可以解决任何机器学习问题……。

图 5.3 神经网络层

multilayer perceptron

5.1.4 感知器

神经元处理的最复杂的事情之一就是语言处理。想象一下感知器如何用于处理自然语言文本。图 5.2 中显示的数学内容让您想起了以前使用过的任何机器学习模型吗?您知道哪些机器学习模型将输入特征与权重或系数向量相乘吗?好吧,那将是一个线性回归。但是如果您在线性回归的输出上使用 sigmoid 激活函数或 logistic 函数呢?对我来说,它开始看起来很像* logistic 回归*。

在感知器中使用的 sigmoid 激活函数实际上与 logistic 回归中使用的逻辑函数相同。Sigmoid 只是表示 s 形状。逻辑函数正好具有我们用于创建软阈值或逻辑二进制输出的形状。因此,你的神经元在这里实际上相当于对输入进行 logistic 回归。

这是 Python 中实现的逻辑函数的公式。

>>> def logistic(x, w=1., phase=0, gain=1):
...    return gain / (1\. + np.exp(-w * (x - phase)))

这是逻辑函数的样子,以及系数(权重)和相位(截距)如何影响其形状。

>>> import pandas as pd
>>> import numpy as np
>>> import seaborn as sns
>>> sns.set_style()

>>> xy = pd.DataFrame(np.arange(-50, 50) / 10., columns=['x'])
>>> for w, phase in zip([1, 3, 1, 1, .5], [0, 0, 2, -1, 0]):
...    kwargs = dict(w=w, phase=phase)
...    xy[f'{kwargs}'] = logistic(xy['x'], **kwargs)
>>> xy.plot(grid="on", ylabel="y")

在前几章中,当你对自然语言句子进行逻辑回归时,你的输入是什么?你首先用关键词检测器、CountVectorizerTfidfVectorizer 处理文本。这些模型使用分词器,就像你在第二章中学到的那些,将文本分割成单个词,并对其进行计数。因此,对于自然语言处理,使用 BOW 计数或 TF-IDF 向量作为 NLP 模型的输入是很常见的,这对神经网络也是如此。

Rosenblatt 的每个输入权重(生物树突)都有一个用于该信号的权重或敏感性的可调值。Rosenblatt 使用电位计实现了这个权重,就像老式立体声接收机上的音量旋钮一样。这使得研究人员能够手动调整神经元对其每个输入的敏感性。通过调整这个敏感性旋钮,感知器可以对 BOW 或 TF-IDF 向量中每个词的计数更敏感或不太敏感。

一旦某个特定词的信号根据其敏感性或权重增加或减少,它就会传入生物神经元细胞的主体。就在这里,在感知器的主体部分,以及在真正的生物神经元中,输入信号被加在一起。然后,该信号通过类似于 S 型函数的软阈值函数传递,然后将信号发送到轴突。如果信号高于某个阈值,生物神经元只会 激活。感知器中的 S 型函数只是使得在最小-最大范围的 50% 处实现该阈值变得容易。如果对于给定的词组或输入信号,神经元不激活,这意味着它是一个负分类匹配。

5.1.5 一个 Python 感知器

因此,机器可以通过将数字特征与 "权重" 相乘,并将它们组合在一起来模拟一个非常简单的神经元,以创建预测或做出决策。这些数值特征代表你的对象作为机器可以 "理解" 的数值向量。对于 Zillow 的 zestimate 的房价预测问题,你认为他们可能如何构建一个仅基于 NLP 的模型来预测房价?但是,你如何将房屋的自然语言描述表示为数字向量,以便你可以预测它的价格呢?你可以采用房屋的口头描述,并将每个词的计数作为特征,就像你在第二章和第三章中所做的那样。或者,你可以像在第四章中使用 PCA 那样,将这些成千上万的维度压缩成主题向量。

但这些方法只是根据每个特征的可变性或方差猜测哪些特征是重要的。也许描述中的关键词是房屋面积和卧室数量的数值。你的词向量和主题向量会完全忽略这些数值。

在"正常"的机器学习问题中,比如预测房价,您可能会有结构化的数值数据。通常会有一张列出所有重要特征的表格,比如房屋面积、上次售价、卧室数量,甚至纬度和经度或邮政编码。但是对于自然语言问题,我们希望您的模型能够处理非结构化数据,即文本。您的模型必须准确地找出哪些单词以及以何种组合或顺序对目标变量具有预测能力。您的模型必须阅读房屋描述,并像人脑一样猜测房价。而神经网络是您能找到的最接近模仿人类直觉的机器。

深度学习的美妙之处在于您可以使用您可以想象到的每一个可能的特征作为输入。这意味着您可以输入整个文本描述,并且您的转换器可以生成一个高维的 TF-IDF 向量,而神经网络可以很好地处理它。您甚至可以更高维度地使用它。您可以将原始、未经过滤的文本作为单词的 1-hot 编码序列传递。您还记得我们在第二章谈到的钢琴卷吗?神经网络就是为这种原始的自然语言数据表示而生的。

浅层学习

对于您的第一个深度学习自然语言处理问题,您将保持表面。要理解深度学习的魔力,看看单个神经元如何工作会有所帮助。单个神经元将为输入模型的每个特征找到一个权重。您可以将这些权重视为输入神经元的信号的百分比。如果您熟悉线性回归,那么您可能会认出这些图表,并且可以看到权重只是线性回归的斜率。如果你加上了一个 logistic 函数,这些权重就是逻辑回归从您的数据集中学到的系数。换句话说,单个神经元的输入权重在数学上等同于多元线性回归或逻辑回归中的斜率。

提示

就像 Scikit-Learn 机器学习模型一样,各个特征被表示为x[i]或在 Python 中表示为x[i]i表示输入向量中的位置。给定示例的所有特征的集合都在向量x中。

x = x[1], x[2], …​, x[i], …​, x[n]

同样地,您将看到每个特征的关联权重为 w[i],其中i对应于 x 中的整数。权重通常表示为向量W

w = w[1], w[2], …​, w[i], …​, w[n]

有了特征之后,您只需将每个特征(x[i])与相应的权重(w[i])相乘,然后求和。

y = (x[1] * w[1]) + (x[2] * w[2]) + …​ + (x[i] * w[i])

这里有一个有趣的简单示例,以确保您理解这个数学。想象一个由短语"green egg egg ham ham ham spam spam spam spam"构成的 BOW 向量:

>>> from collections import Counter

>>> np.random.seed(451)
>>> tokens = "green egg egg ham ham ham spam spam spam spam".split()
>>> bow = Counter(tokens)
>>> x = pd.Series(bow)
>>> x
green    1
egg      2
ham      3
spam     4
>>> x1, x2, x3, x4 = x
>>> x1, x2, x3, x4
(1, 2, 3, 4)
>>> w0 = np.round(.1 * np.random.randn(), 2)
>>> w0
0.07
>>> w1, w2, w3, w4 = (.1 * np.random.randn(len(x))).round(2)
>>> w1, w2, w3, w4
(0.12, -0.16, 0.03, -0.18)
>>> x = np.array([1, x1, x2, x3, x4])  # #1
>>> w = np.array([w0, w1, w2, w3, w4])  # #2
>>> y = np.sum(w * x)  # #3
>>> y
-0.76

这个 4 输入、1 输出、单神经元网络在一个尚未经过训练的神经元中针对这些随机权重输出了一个值为 -0.76。

这里还有一件你错过的事情。你需要在输出(y)上运行一个非线性函数,以改变输出的形状,使其不仅仅是线性回归。通常使用阈值或截断函数来决定神经元是否应该触发。对于阈值函数,如果加权和超过某个阈值,感知器输出 1。否则,输出 0。你可以用一个简单的步骤函数(在图 5.2 中标记为"激活函数")来表示这个阈值。

这是将步骤函数或阈值函数应用于你的神经元输出的代码:

>>> threshold = 0.0
>>> y = int(y > threshold)

如果你希望你的模型输出连续的概率或可能性,而不是二进制的01,你可能希望使用我们在本章前面介绍的逻辑激活函数。^([11])

>>> y = logistic(x)

神经网络就像任何其他的机器学习模型一样——你向其提供输入(特征向量)和输出(预测)的数字示例来训练它。就像传统的逻辑回归一样,神经网络将使用试错法来找到在输入上的权重,从而产生最佳预测。你的损失函数将衡量模型的误差有多大。

确保你能理解这个神经元中的数学在 Python 实现中是否合理。请记住,我们编写的代码仅用于神经元的前向传播路径。这个数学在 Scikit-Learn 中的LogisticRegression.predict()函数中的逻辑回归的 4 输入、1 输出中是非常相似的。^([12])

注意

一个损失函数是一个输出评分的函数,用于衡量模型的糟糕程度,即其预测的总误差。一个目标函数仅根据误差的大小来衡量模型的好坏。损失函数就像学生在测试中答错的问题的百分比。目标函数就像那个测试的等级或百分比分数。你可以使用任何一个来帮助你学会正确答案,并在你的测试中变得越来越好。

为什么额外的权重?

你有没有注意到你有一个额外的权重,w0?没有标记为x0的输入。那么为什么会有一个w0?你能猜到为什么我们总是给我们的神经元一个常数值为"1.0"的输入信号作为x0吗?回想一下你过去构建的线性回归和逻辑回归模型。你还记得单变量线性回归公式中的额外系数吗?

y = m * x + b

y变量是模型的输出或预测。x变量是这个模型中的单个独立特征变量。你可能还记得m代表斜率。但你还记得b是干什么的吗?

y = slope * x + intercept

现在你能猜到额外的权重w[0]是用来干什么的,为什么我们总是确保它不受输入的影响(将其乘以一个 1.0 的输入)吗?

w0 * 1.0 + w1 * x1 + ... + (x_n * w_n)

这是你线性回归的截距,只是作为神经网络这一层的偏差权重(w0)重新包装了一下。

图 5.2 和这个例子提到了偏差。这是什么?偏差是神经元的一个“始终存在”的输入。神经元有一个专门的权重与它相关联,就像输入的每个其他元素一样,并且该权重与其他权重一样被训练。这在围绕神经网络的各种文献中以两种方式表示。你可能会看到输入表示为基本输入向量,比如n个元素,其前面或后面附加了一个 1,从而给出一个n+1 维向量。其中一个的位置对网络来说是无关紧要的,只要它在所有样本中保持一致即可。其他时候,人们假设偏差项的存在并将其从图表中省略,但与之相关联的权重存在并且总是乘以 1 并添加到样本输入的值及其相关权重的点积中。两者实际上是一样的。

之所以要有偏差权重,是因为你需要神经元对所有零输入都具有弹性。也许网络需要学习在面对零输入时输出 0,但也可能不需要。如果没有偏差项,神经元将对任何你开始或尝试学习的权重都输出 0 * 权重 = 0。有了偏差项,你就不会遇到这个问题。并且如果神经元需要学会输出 0,那么神经元可以学会递减与偏差项相关联的权重,以使点积保持在阈值以下。

图 5.3 是对比较生物神经元内部信号与用于深度学习的人工神经元信号之间类比的一种相当简洁的可视化。如果你想深入理解,想一想你是如何使用生物神经元来阅读这本关于自然语言处理的书来学习深度学习。

图 5.4 感知器和生物神经元

人工神经元 vs 生物神经元

最简单的单个神经元的 Python 代码如下:

>>> def neuron(x, w):
...    z = sum(wi * xi for xi, wi in zip(x, w))  # #1
...    return z > 0  # #2

或许你更熟悉 numpy 和向量化的数学操作,就像你在线性代数课上学到的那样。

>>> def neuron(x, w):
...    z = np.array(wi).dot(w)
...    return z > 0
注意

任何 Python 条件表达式都会评估为一个TrueFalse布尔值。如果你在数学运算中使用bool类型,比如加法或乘法,Python 将会将True值强制转换为数值型intfloat值,即11.0。当你将布尔值与另一个数字相乘或相加时,False值会被强制转换为10

变量w包含模型的权重参数向量。这些值在训练期间,当神经元的输出与期望输出进行比较时,将会被学习。变量x包含进入神经元的信号值向量。这是特征向量,比如自然语言模型的 TF-IDF 向量。对于生物神经元,输入是通过树突传播的电脉冲的速率。一个神经元的输入通常是来自另一个神经元的输出。

提示

输入(x)和权重(w)的成对乘积之和恰好等于两个向量xy的点积。如果你使用 numpy,一个神经元可以用一个简短的 Python 表达式实现:w.dot(x) > 0。这就是为什么线性代数对于神经网络非常有用的原因。神经网络主要是参数和输入的点积。而 GPU 是专门设计用于并行执行所有这些点积的乘法和加法的计算处理芯片,每个 GPU 核心上执行一次操作。因此,一个 1 核心 GPU 通常比一个 4 核心 CPU 执行点积快 250 倍。

如果你熟悉数学的自然语言,你可能更喜欢使用总和符号表示:

方程 5.1:阈值激活函数

方程 5 1

你的感知器还没有学习任何东西。但你已经实现了一些非常重要的东西。你已经将数据传递到模型中并收到了一个输出。考虑到你没有提到权重值来自哪里,这个输出很可能是错误的。但这就是事情变得有趣的地方。

提示

任何神经网络的基本单位都是神经元。基本感知器是更广义的神经元的特殊情况。我们暂时将感知器称为神经元,并在不适用时再回到术语。

5.2 示例逻辑神经元

结果表明,你已经对一种非常常见的感知器或神经元很熟悉了。当你在神经元上使用逻辑函数作为激活函数时,你实际上创建了一个逻辑回归模型。一个使用逻辑函数作为其激活函数的单个神经元,在数学上等价于 Scikit-Learn 中的LogisticRegression模型。唯一的区别在于它们的训练方式。所以你首先要训练一个逻辑回归模型,并将其与在相同数据上训练的单个神经元神经网络进行比较。

5.2.1 点击诱饵的物流

软件(和人类)通常需要根据逻辑标准做出决定。例如,你可能每天都要决定是否点击特定的链接或标题。有时这些链接会引导你进入一篇虚假新闻文章。因此,你的大脑学会了一些逻辑规则,它在点击特定链接之前遵循这些规则。

  • 这是你感兴趣的话题吗?

  • 链接看起来是宣传性的还是垃圾邮件?

  • 它来自你喜欢的可靠来源吗?

  • 它看起来是真实的还是事实的?

这些决定中的每一个都可以在机器内的人工神经元中建模。你可以使用该模型创建电路板上的逻辑门或软件中的条件表达式(if语句)。如果你使用人工神经元进行这些操作,那么用来处理这 4 个决定的最小人工“大脑”将使用 4 个逻辑回归门。

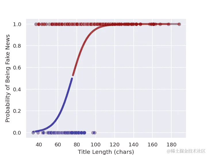
想要模仿你大脑中的点击率过滤器,你可能会决定对新闻标题的长度进行逻辑回归模型训练。也许你有一种直觉,认为更长的标题更有可能是耸人听闻和夸张的。下面是假新闻和真实新闻标题以及它们的字符长度的散点图。

在图 5.3 的逻辑回归图中,对于具有单个特征(标题长度)的假新闻分类器,神经元输入权重等于中间最大斜率。

图 5.5 逻辑回归 - 虚假与标题长度

假新闻标题长度逻辑回归

5.2.2 性教育

点击率怎么样?因为假新闻(点击率)数据集在 Kaggle 上已经充分利用,所以你将转而使用一个更有趣和有用的数据集。你将使用感知器(人工神经元)来预测一个名字的性别。

你要用这个简单的架构解决的问题是大脑的数百万神经元每天都试图解决的日常自然语言理解问题。你的大脑强烈地激励于识别你在社交媒体上与之互动的人的出生性别。(如果你对此感兴趣,理查德·麦克尔雷斯和罗伯特·博伊德有一本关于这个主题的引人入胜的书。^([13])) 一个单一的人工神经元可以使用一个人的名字中的字符来解决这个挑战,准确率约为 80%。你将使用来自美国各州和领土超过 100 年的 3.17 亿出生证明的数据库中的名字样本。

从生物学上讲,识别某人的性别对你的基因是有用的,因为只有通过找到性伴侣将你的基因与之融合,它们才能存活。与其他人类的社交互动对你的基因的存在和生存至关重要。而你的基因是你大脑的蓝图。因此,你的大脑很可能至少包含一些专门用于这一关键任务的神经元。你将找出预测与婴儿名字(名字)相关的性别需要多少人工神经元。

性别

这里的“性别”一词指的是医生在婴儿出生时分配的标签。在美国,根据法律规定,出生证明上记录了姓名、性别和出生日期。性别类别由填写和签署出生证明的人员进行解释和判断。在源自美国出生证明的数据集中,“出生时的性别”通常等同于一个人的遗传性别,但情况并非总是如此。可以根据 XX 染色体(女性)或 XY 染色体(男性)的存在创建一个相对明确的“遗传性别”类别。但是生物学和生活有一种模糊即使是这种看似精确的“遗传性别”定义的界限的方式。

男性和女性并不是“出生性别”分类的最后一句话。美国疾病控制中心(CDC)建议,美国核心数据互操作性(USCDI)标准包括几个非二元性别类别,用于临床或医学用途。除了“女性”和“男性”之外,“未知”和“未列出的其他内容(请具体说明)”是大多数西方医疗系统推荐的类别。

确保你的测试集名称在训练集中没有出现。你还要确保你的测试集中每个名称只有一个“正确”的标签。但这并不是你想象的那样。任何特定名称都没有一个正确的二元性别标签。事实上,根据出生证明上具有特定性别标识的名称计数的比率,存在一个关于名称的雌雄性别的正确概率分数(连续值)。但是,随着您向数据集添加新示例,该“正确”分数将发生变化。自然语言处理是混乱而流动的,因为自然界及其描述语言是动态的,不可能“固定不变”。

这将使您的模型从理论上讲可以达到 100%的准确率。显然,对于一个即使人类也无法达到 100%准确率的问题来说,这并不真实。但是,只有删除测试集中的重复名称,您才能了解您距离理想状态有多接近。

5.2.3 代词和性别与性别

美国的一些州允许在出生证明上指示他们的孩子的性别。性别通常是人们用来决定他们喜欢什么代词的依据。人们对待自己的性别有各种各样的方式。有他们展示给世界的显而易见的性别,也有他们在生活的不同阶段为自己分配的性别认同。识别这两种性别中的任何一种都是一个敏感的话题,因为它带有法律和社会的影响。在许多压抑的文化中,甚至可能是生死攸关的问题。而对于机器学习算法来说,性别是一个非常难以预测的东西。对于本章节,我们利用了一个简化的二进制性别数据集来准备你从零开始构建自然语言处理技能所需的脚手架。

即使对于不需要传播基因的机器来说,性别估计模型也有实际用途。性别估计模型可以用来解决自然语言处理中一个重要而困难的挑战,称为共指消解。^([16]) 共指消解是指当自然语言处理算法识别出与代词在自然语言文本中相关的对象或词语时。例如,请考虑以下句子中的代词:"玛丽亚出生在乌克兰。她的父亲是一位物理学家。15 年后她离开了那里去了以色列。"你可能没有意识到,但你在一眨眼的功夫就解决了三个共指。你的大脑对于"玛丽亚"是"她/她"和"乌克兰"是"那里"的概率进行了统计。

共指消解对于机器或人类来说并不总是那么容易。在没有性别的语言中,进行这个过程更加困难。在那些不区分人和无生命物体的代词语言中,这可能更加困难。即使是没有性别的英语有时也会随意给重要的事物分配性别,比如帆船。船只被称为"她"和"她的"。它们通常会被赋予女性的名字。

了解文本中人名(和船只名)所关联的性别,对于改善你的自然语言理解管道很有帮助。即使当这种性别辨识是一个贫乏的指示器来表明文本中提到的人的性别时,这也是有帮助的。文本的作者通常期望你根据名字来对性别和性别进行假设。在变性科幻小说中,像吉布森这样的有远见的作者利用这一点来让你警惕,并拓展你的思维。^([17])

重要

确保您的 NLP 流水线和聊天机器人对所有人类都是友好、包容和可访问的。为了确保您的算法是无偏的,您可以 规范化 处理的文本数据中的任何性别和性别信息。在下一章中,您将看到性别和性别如何影响您的算法做出的决策的所有令人惊讶的方式。您还将看到性别如何影响您每天处理的企业或雇主的决策。

5.2.4 性别信息学

首先,导入 Pandas 并设置 max_rows 以仅显示您的 DataFrame 的几行。

>>> import pandas as pd
>>> import numpy as np
>>> pd.options.display.max_rows = 7

现在从 nlpia2 存储库下载原始数据并仅采样 10000 行,以使任何计算机都可以快速运行。

>>> np.random.seed(451)
>>> df = pd.read_csv(  # #1
...     'https://proai.org/baby-names-us.csv.gz')
>>> df.to_csv(  # #2
...     'baby-names-us.csv.gz', compression='gzip')
>>> df = df.sample(10_000)  # #3
>>> df.shape
(10000, 6)

数据覆盖美国出生证书超过 100 年,但仅包括婴儿的名字:

地区性别年份名字数量频率
6139665WV1987Brittani100.000003
2565339MD1954Ida180.000005
22297AK1988Maxwell50.000001
…​…​…​…​…​…​…​
4475894OK1950Leah90.000003
5744351VA2007Carley110.000003
5583882TX2019Kartier100.000003

您现在可以忽略地区和出生年份信息。您只需要使用自然语言名称就可以以合理的准确性预测性别。如果您对名字感到好奇,您可以将这些变量探索为特征或目标。您的目标变量将是性别('M'或'F')。除男性和女性外,此数据集中没有提供其他性别分类。

您可能会喜欢探索数据集,以发现父母为他们的宝宝选择名字的频率。机器学习和 NLP 是消除成见和误解的好方法。

>>> df.groupby(['name', 'sex'])['count'].sum()[('Timothy',)]
sex
F       5
M    3538

这就是 NLP 和数据科学如此有趣的原因。它为我们提供了一个更广泛的世界视角,打破了我们生物大脑的有限视角。我从来没有见过一个叫“Timothy”的女人,但在美国出生证书上的至少 0.1%的婴儿名字为 Timothy 的是女性。

如果地区和年份不是名称的要素,不需要预测,可以在跨地区和年份聚合(组合)数据以加快模型训练。您可以使用 Pandas 的 DataFrame's .groupby() 方法来实现这一点。

>>> df = df.set_index(['name', 'sex'])
>>> groups = df.groupby(['name', 'sex'])
>>> counts = groups['count'].sum()
>>> counts
name    sex
Aaden   M      51
Aahana  F      26
Aahil   M       5
               ..
Zvi     M       5
Zya     F       8
Zylah   F       5

因为我们已经聚合了 "count" 列的数字数据,所以 counts 对象现在是 Pandas 的 Series 对象,而不是 DataFrame。它看起来有点奇怪,因为我们在名称和性别上创建了多级

现在数据集看起来像是训练逻辑回归的有效示例集。实际上,如果我们只想预测该数据库中的名称可能的性别,我们可以仅使用每个名称的最大计数(最常用法)。

但这是一本关于 NLP 和 NLU(自然语言理解)的书。你希望你的模型以某种方式理解姓名的文本。而且你希望它能够处理不在这个数据库中的奇怪姓名,比如"Carlana",一个由她的祖父母"Carl"和"Ana"组成的混合词,或者像"Cason"这样的独一无二的姓名。不在你的训练集或测试集中的示例被称为"分布外"。在现实世界中,你的模型几乎总是会遇到以前从未见过的词语和短语。当一个模型能够推广到这些分布外示例时,这被称为"泛化"。

但是你如何对一个单词像一个姓名进行标记化,以便你的模型可以泛化到完全新的虚构的从未见过的名字?你可以使用每个单词(或姓名)中的字符 n-gram 作为你的标记。你可以设置一个TfidfVectorizer来计算字符和字符 n-gram 而不是单词。你可以尝试更宽或更窄的ngram_range,但对于大多数基于 TF-IDF 的信息检索和 NLU 算法来说,3-gram 是一个不错的选择。例如,最先进的数据库 PostgreSQL 将其全文搜索索引默认设置为字符 3-gram。在后面的章节中,你甚至将使用词块和句子块标记化,它们可以选择最佳的字符序列作为你的标记。

>>> from sklearn.feature_extraction.text import TfidfVectorizer
>>> vectorizer = TfidfVectorizer(
...     use_idf=False,  # #1
...     analyzer='char',
...     ngram_range=(1, 3)  # #2
...     )
>>> vectorizer
TfidfVectorizer(analyzer='char', ngram_range=(1, 3), use_idf=False)

你应该按照文档频率来归一化标记计数,例如出生率。你将使用出生率来计算。对于姓名 TF-IDF 向量,你希望使用出生率或人口作为文档频率。这将帮助你的向量表示语料库之外的姓名频率。

现在你已经通过姓名性别对我们的names系列进行了索引,跨州和年份聚合计数,你的Series中将会有更少的唯一行。在计算 TF-IDF 字符 n-gram 术语频率之前,你可以去重姓名。不要忘记跟踪出生证明的数量,以便将其用作文档频率。

>>> df = pd.DataFrame([list(tup) for tup in counts.index.values],
...                   columns=['name', 'sex'])
>>> df['count'] = counts.values
>>> df
        name sex  counts
0      Aaden   M      51
1     Aahana   F      26
2      Aahil   M       5
...      ...  ..     ...
4235     Zvi   M       5
4236     Zya   F       8
4237   Zylah   F       5

[4238 rows x 3 columns]

你已经将 10,000 个姓名-性别对聚合成了只有 4238 个唯一的姓名-性别配对。现在你可以将数据分割成训练集和测试集了。

>>> df['istrain'] = np.random.rand(len(df)) < .9
>>> df
        name sex  counts  istrain
0      Aaden   M      51     True
1     Aahana   F      26     True
2      Aahil   M       5     True
...      ...  ..     ...      ...
4235     Zvi   M       5     True
4236     Zya   F       8     True
4237   Zylah   F       5     True

为了确保你不会意外地交换任何姓名的性别,重新创建name, sex的多索引:

>>> df.index = pd.MultiIndex.from_tuples(
...     zip(df['name'], df['sex']), names=['name_', 'sex_'])
>>> df
               name sex  count  istrain
name_  sex_
Aaden  M      Aaden   M     51     True
Aahana F     Aahana   F     26     True
Aahil  M      Aahil   M      5     True
...             ...  ..    ...      ...
Zvi    M        Zvi   M      5     True
Zya    F        Zya   F      8     True
Zylah  F      Zylah   F      5     True

正如你之前看到的,这个数据集对许多姓名包含冲突的标签。在现实生活中,许多姓名都被用于男性和女性婴儿(或其他人类性别类别)。像所有的机器学习分类问题一样,数学将其视为回归问题。模型实际上是在预测一个连续值,而不是离散的二进制类别。线性代数和现实生活只适用于实值。在机器学习中,所有的二分法都是错误的。^([18]) 机器不会将单词和概念视为严格的类别,因此你也不应该这样做。

>>> df_most_common = {}  # #1
>>> for name, group in df.groupby('name'):
...     row_dict = group.iloc[group['count'].argmax()].to_dict()  # #2
...     df_most_common[(name, row_dict['sex'])] = row_dict
>>> df_most_common = pd.DataFrame(df_most_common).T  # #3

由于重复,测试集标志可以从istrain的非运算中创建。

>>> df_most_common['istest'] = ~df_most_common['istrain'].astype(bool)
>>> df_most_common
            name sex count istrain  istest
Aaden  M   Aaden   M    51    True   False
Aahana F  Aahana   F    26    True   False
Aahil  M   Aahil   M     5    True   False
...          ...  ..   ...     ...     ...
Zvi    M     Zvi   M     5    True   False
Zya    F     Zya   F     8    True   False
Zylah  F   Zylah   F     5    True   False

[4025 rows x 5 columns]

现在你可以将istestistrain标志传递到原始数据框中,要小心,对于训练集和测试集,将NaNs填充为 False。

>>> df['istest'] = df_most_common['istest']
>>> df['istest'] = df['istest'].fillna(False)
>>> df['istrain'] = ~df['istest']
>>> istrain = df['istrain']
>>> df['istrain'].sum() / len(df)
0.9091...  # #1
>>> df['istest'].sum() / len(df)
0.0908...  # #2
>>> (df['istrain'].sum() + df['istest'].sum()) / len(df)
1.0

现在你可以使用训练集来适应TfidfVectorizer,而不会因为重复的名称而使 n-gram 计数偏差。

>>> unique_names = df['name'][istrain].unique()
>>> unique_names = df['name'][istrain].unique()
>>> vectorizer.fit(unique_names)
>>> vecs = vectorizer.transform(df['name'])
>>> vecs
<4238x2855 sparse matrix of type '<class 'numpy.float64'>'
    with 59959 stored elements in Compressed Sparse Row format>

当使用稀疏数据结构时,你需要小心。如果你用.todense()将它们转换为普通的稠密数组,可能会因为使用了所有的内存而导致计算机崩溃。但是这个稀疏矩阵只包含大约 1700 万个元素,所以它应该可以在大多数笔记本电脑上正常工作。你可以对稀疏矩阵使用toarray()来创建一个数据框,并为行和列提供有意义的标签。

>>> vecs = pd.DataFrame(vecs.toarray())
>>> vecs.columns = vectorizer.get_feature_names_out()
>>> vecs.index = df.index
>>> vecs.iloc[:,:7]
               a        aa  aac       aad       aah  aak  aal
Aaden   0.175188  0.392152  0.0  0.537563  0.000000  0.0  0.0
Aahana  0.316862  0.354641  0.0  0.000000  0.462986  0.0  0.0
Aahil   0.162303  0.363309  0.0  0.000000  0.474303  0.0  0.0
...          ...       ...  ...       ...       ...  ...  ...
Zvi     0.000000  0.000000  0.0  0.000000  0.000000  0.0  0.0
Zya     0.101476  0.000000  0.0  0.000000  0.000000  0.0  0.0
Zylah   0.078353  0.000000  0.0  0.000000  0.000000  0.0  0.0

注意到列标签(字符 n-grams)全部以小写字母开头。看起来TfidfVectorizer将大小写折叠了(将所有内容都转换为小写)。大写可能会帮助模型,所以让我们重新对名称进行向量化而不是转换为小写。

>>> vectorizer = TfidfVectorizer(analyzer='char',
...    ngram_range=(1, 3), use_idf=False, lowercase=False)
>>> vectorizer = vectorizer.fit(unique_names)
>>> vecs = vectorizer.transform(df['name'])
>>> vecs = pd.DataFrame(vecs.toarray())
>>> vecs.columns = vectorizer.get_feature_names_out()
>>> vecs.index = df.index
>>> vecs.iloc[:,:5]
                    A        Aa       Aad       Aah  Aal
name_  sex_
Aaden  M     0.193989  0.393903  0.505031  0.000000  0.0
Aahana F     0.183496  0.372597  0.000000  0.454943  0.0
Aahil  M     0.186079  0.377841  0.000000  0.461346  0.0
...               ...       ...       ...       ...  ...
Zvi    M     0.000000  0.000000  0.000000  0.000000  0.0
Zya    F     0.000000  0.000000  0.000000  0.000000  0.0
Zylah  F     0.000000  0.000000  0.000000  0.000000  0.0

好多了。这些字符 1、2 和 3 克就应该包含足够的信息来帮助神经网络猜测出这份出生证明数据库中姓名的性别。

选择神经网络框架

逻辑回归是任何高维特征向量(如 TF-IDF 向量)的完美机器学习模型。要将逻辑回归转换为神经元,你只需要一种方法将其连接到其他神经元。你需要一个能够学习预测其他神经元输出的神经元。并且你需要将学习分散开来,这样一个神经元就不会尝试做所有的工作。每当你的神经网络从数据集中获得一个显示正确答案的示例时,它就能计算出自己的错误程度,即损失或误差。但是如果有多个神经元共同贡献给该预测,它们每个都需要知道如何改变自己的权重,以使输出更接近正确答案。要知道这一点,你需要知道每个权重对输出的影响程度,即权重相对于误差的梯度(斜率)。计算梯度(斜率)并告诉所有神经元如何调整它们的权重以使损失降低的过程称为反向传播或反向传播。

像 PyTorch 这样的深度学习软件包可以自动处理所有这些。事实上,它可以处理您可以想象的任何计算图(网络)。PyTorch 可以处理任何数学操作之间的网络连接。正是因为这种灵活性,大多数研究人员使用它而不是 TensorFlow(Keras)来开发他们的突破性 NLP 算法。TensorFlow 设计了一种特定类型的计算图,可以在由大型技术公司制造的专用芯片上高效计算。深度学习对于大型技术公司来说是一个强大的赚钱方式,他们希望训练你的大脑只使用他们自己的工具来构建神经网络。我不知道大型技术公司会将 Keras 整合到 TensorFlow 中,否则我不会在第一版中推荐它。

Keras 的可移植性下降和 PyTorch 的快速增长的受欢迎程度是我们决定第二版书的原因。PyTorch 有什么好处呢?

维基百科上有一个公正和详细的所有深度学习框架的比较。而 Pandas 可以让您直接从网络加载它并放入一个DataFrame中:

>>> import pandas as pd
>>> import re

>>> dfs = pd.read_html('https://en.wikipedia.org/wiki/'
...     + 'Comparison_of_deep-learning_software')
>>> tabl = dfs[0]

这是如何使用基本的自然语言处理(NLP)通过维基百科的文章对前十个深度学习框架进行评分的方法,该文章列出了它们的优点和缺点。每当您想将半结构化自然语言转化为 NLP 管道中的数据时,您会发现这种代码非常有用。

>>> bincols = list(tabl.loc[:, 'OpenMP support':].columns)
>>> bincols += ['Open source', 'Platform', 'Interface']
>>> dfd = {}
>>> for i, row in tabl.iterrows():
...    rowd = row.fillna('No').to_dict()
...    for c in bincols:
...        text = str(rowd[c]).strip().lower()
...        tokens = re.split(r'\W+', text)
...        tokens += '\*'
...        rowd[c] = 0
...        for kw, score in zip(
...                'yes via roadmap no linux android python \*'.split(),
...                [1, .9, .2, 0, 2, 2, 2, .1]):
...            if kw in tokens:
...                rowd[c] = score
...                break
...    dfd[i] = rowd

现在维基百科的表格都整理好了,你可以为每个深度学习框架计算某种"总分"。

>>> tabl = pd.DataFrame(dfd).T
>>> scores = tabl[bincols].T.sum()  # #1
>>> tabl['Portability'] = scores
>>> tabl = tabl.sort_values('Portability', ascending=False)
>>> tabl = tabl.reset_index()
>>> tabl[['Software', 'Portability']][:10]
              Software Portability
0              PyTorch        14.9
1         Apache MXNet        14.2
2           TensorFlow        13.2
3       Deeplearning4j        13.1
4                Keras        12.2
5                Caffe        11.2
6              PlaidML        11.2
7         Apache SINGA        11.2
8  Wolfram Mathematica        11.1
9              Chainer          11

PyTorch 几乎得到了满分,因为它支持 Linux、Android 和所有流行的深度学习应用程序。

另一个值得注意的是 ONNX。它实际上是一个元框架和一个允许在其他框架上进行网络转换的开放标准。ONNX 还具有一些优化和剪枝功能,可以使您的模型在非常有限的硬件上(例如便携设备)运行推理速度更快。

为了比较一下,使用 SciKit Learn 构建神经网络模型与使用 PyTorch 相比如何?

表 5.1 Scikit-Learn 与 PyTorch
Scikit-LearnPyTorch
用于机器学习用于深度学习
不适合 GPU适用于 GPU(并行处理)
model.predict()model.forward()
model.fit()通过自定义for循环训练
简单熟悉的 API灵活强大的 API

足够讨论框架了,你在这里是为了学习神经元。PyTorch 正是你所需要的。而且还有很多东西等着你去探索,以熟悉你的新的 PyTorch 工具箱。

5.2.5 一个时尚性感的 PyTorch 神经元

最后,是时候使用 PyTorch 框架构建一个神经元了。让我们通过预测您在本章前面清理过的姓名的性别来将所有这些付诸实践中。

你可以通过使用 PyTorch 来实现一个具有逻辑激活函数的单个神经元来开始 - 就像你在本章开头用来学习玩具示例的那个一样。

>>> import torch
>>> class LogisticRegressionNN(torch.nn.Module):

...    def __init__(self, num_features, num_outputs=1):
...         super().__init__()
...         self.linear = torch.nn.Linear(num_features, num_outputs)

...    def forward(self, X):
...        return torch.sigmoid(self.linear(X))

>>> model = LogisticRegressionNN(num_features=vecs.shape[1], num_outputs=1)
>>> model
LogisticRegressionNN(
  (linear): Linear(in_features=3663, out_features=1, bias=True)
)

让我们看看这里发生了什么。我们的模型是一个,它扩展了用于定义神经网络的 PyTorch 类torch.nn.Module。与每个 Python 类一样,它有一个称为*init*构造函数方法。构造函数是你可以定义神经网络的所有属性的地方 - 最重要的是,模型的层。在我们的情况下,我们有一个极其简单的架构 - 一个具有单个神经元的层,这意味着只会有一个输出。输入的数量,或特征,将等于您的 TF-IDF 向量的长度,即您的特征的维度。我们的名字数据集中有 3663 个唯一的 1 元组,2 元组和 3 元组,所以这就是你在这个单个神经元网络中将拥有的输入数量。

你需要为你的神经网络实现的第二个关键方法是forward()方法。这个方法定义了输入如何通过模型的层传播 - 前向传播。如果你在想反向传播(backprop)在哪里,你很快就会看到,但它不在构造函数中。我们决定使用逻辑或 S 型激活函数作为我们的神经元 - 所以我们的forward()方法将使用 PyTorch 的内置函数sigmoid

这些就是训练我们的模型所需的全部吗?还不够。你的神经元还需要学习另外两个至关重要的部分。一个是损失函数,或者你在本章前面看到的成本函数。如果这是一个回归问题,那么你在第四章学到的均方误差(MSE)会是一个很好的候选作为错误度量标准。对于这个问题,你正在做的是二元分类,所以二元交叉熵是一个更常见的错误(损失)度量标准。

这就是单个分类概率p的二元交叉熵的样子:

方程式 5.2:二元交叉熵

BCE = -(_y_ log _p_ + (1 - _y_) log1 - _p_)

函数的对数性质使其能够惩罚"自信地错误"的示例,当你的模型以高概率预测某个名字的性别是男性时,而实际上它更常被标记为女性。我们可以通过使用我们可用的另一个信息片段来帮助它使惩罚更与现实相关 - 我们数据集中特定性别的名字的频率。

>>> loss_func_train = torch.nn.BCELoss(
...     weight=torch.Tensor(df[['count']][istrain].values))
>>> loss_func_test = torch.nn.BCELoss(  # #1
...     weight=torch.Tensor(df[['count']][~istrain].values))
>>> loss_func_train
BCELoss()

我们需要选择的最后一件事是根据损失调整权重的方式 - 优化器算法。还记得我们关于沿着损失函数的梯度"滑行"的讨论吗?实现向下滑行的最常见方式称为随机梯度下降(SGD)。与您的 Python 感知器所做的一样,它不是考虑您的整个数据集,而是仅根据一个样本或者可能是一小批样本计算梯度。

你的优化器需要两个参数来知道沿着损失斜率滑行的速度有多快或如何滑行 - 学习速率动量。学习速率决定了在出现错误时,你的权重发生多大的变化 - 可以将其视为你的“滑行速度”。增加它可以帮助你的模型更快地收敛到局部最小值,但如果太大,每次接近最小值时都可能超过。在 PyTorch 中使用的任何优化器都会有一个学习速率。

动量是我们梯度下降算法的一个属性,它可以在朝正确方向移动时进行加速,并在远离目标时减速。我们如何决定这两个属性的值?和本书中看到的其他超参数一样,你需要优化它们以找出对你的问题最有效的值。现在,你可以选择一些任意的值作为超参数momentumlr(学习率)。

>>> from torch.optim import SGD
>>> hyperparams = {'momentum': 0.001, 'lr': 0.02}  # #1
>>> optimizer = SGD(
...     model.parameters(), **hyperparams)  # #2
>>> optimizer
SGD (
Parameter Group 0
    dampening: 0
    differentiable: False
    foreach: None
    lr: 0.02
    maximize: False
    momentum: 0.001
    nesterov: False
    weight_decay: 0
)

在运行我们的模型训练之前,最后一步是将测试和训练数据集转换为 PyTorch 模型可以处理的格式。

>>> X = vecs.values
>>> y = (df[['sex']] == 'F').values
>>> X_train = torch.Tensor(X[istrain])
>>> X_test = torch.Tensor(X[~istrain])
>>> y_train = torch.Tensor(y[istrain])
>>> y_test = torch.Tensor(y[~istrain])

最后,你准备好了这一章最重要的部分——性别学习!让我们来看一看,了解每一步发生了什么。

>>> from tqdm import tqdm
>>> num_epochs = 200
>>> pbar_epochs = tqdm(range(num_epochs), desc='Epoch:', total=num_epochs)

>>> for epoch in pbar_epochs:
...      optimizer.zero_grad()  # #1
...      outputs = model(X_train)
...      loss_train = loss_func_train(outputs, y_train)  # #2
...      loss_train.backward()  # #3
...      optimizer.step()  # #4

...      Epoch:: 100%|█████████████████████████| 200/200 [00:02<00:00,
 96.26it/s]

真快!训练这个单一神经元大约需要几秒钟,大约 200 个纪元和每个纪元数以千计的例子。

看起来很简单,对吧?我们尽可能将步骤简化,让你能清楚地看到。但我们甚至不知道我们的模型表现如何!让我们添加一些实用函数,帮助我们观察神经元是否随着时间的推移而改进。这被称为仪器化。当然,我们可以看损失,但也可以用更直观的分数来评估我们的模型表现,比如准确性。

首先,你需要一个函数将我们从模块中获得的 PyTorch 张量转换回numpy数组:

>>> def make_array(x):
...     if hasattr(x, 'detach'):
...         return torch.squeeze(x).detach().numpy()
...     return x

现在你可以使用这个实用程序函数来测量每次迭代在输出(预测)的张量上的准确性:

>>> def measure_binary_accuracy(y_pred, y):
...     y_pred = make_array(y_pred).round()
...     y = make_array(y).round()
...     num_correct = (y_pred == y).sum()
...     return num_correct / len(y)

现在你可以使用这个实用程序函数重新运行训练,以查看模型在每个纪元中损失和准确度的进展:

for epoch in range(num_epochs):
    optimizer.zero_grad()  # #1
    outputs = model(X_train)
    loss_train = loss_func_train(outputs, y_train)
    loss_train.backward()
    epoch_loss_train = loss_train.item()
    optimizer.step()
    outputs_test = model(X_test)
    loss_test = loss_func_test(outputs_test, y_test).item()
    accuracy_test = measure_binary_accuracy(outputs_test, y_test)
    if epoch % 20 == 19:  # #2
        print(f'Epoch {epoch}:'
            f' loss_train/test: {loss_train.item():.4f}/{loss_test:.4f},'
            f' accuracy_test: {accuracy_test:.4f}')
Epoch 19: loss_train/test: 80.1816/75.3989, accuracy_test: 0.4275
Epoch 39: loss_train/test: 75.0748/74.4430, accuracy_test: 0.5933
Epoch 59: loss_train/test: 71.0529/73.7784, accuracy_test: 0.6503
Epoch 79: loss_train/test: 67.7637/73.2873, accuracy_test: 0.6839
Epoch 99: loss_train/test: 64.9957/72.9028, accuracy_test: 0.6891
Epoch 119: loss_train/test: 62.6145/72.5862, accuracy_test: 0.6995
Epoch 139: loss_train/test: 60.5302/72.3139, accuracy_test: 0.7073
Epoch 159: loss_train/test: 58.6803/72.0716, accuracy_test: 0.7073
Epoch 179: loss_train/test: 57.0198/71.8502, accuracy_test: 0.7202
Epoch 199: loss_train/test: 55.5152/71.6437, accuracy_test: 0.7280

只需使用一个神经元的一组权重,你的简单模型就能在我们混乱、不确定、真实世界的数据集上达到超过 70%的准确率。现在你可以添加一些真实世界中的有形人工智能的例子以及一些我们的贡献者。

>>> X = vectorizer.transform(
...     ['John', 'Greg', 'Vishvesh',  # #1

...         ...      'Ruby', 'Carlana', 'Sarah'])  # #2
>>> model(torch.Tensor(X.todense()))
tensor([[0.0196],
        [0.1808],
        [0.3729],
        [0.4964],
        [0.8062],
        [0.8199]], grad_fn=<SigmoidBackward0>)

早些时候,我们选择使用值 1 来表示“女性”,使用值 0 来表示“男性”。前三个例子的名字,“John”,“Greg”和“Vishvesh”,是男人的名字,他们慷慨地为对我重要的开源项目做出了贡献,包括本书中的代码。看起来 Vish 的名字在美国男婴的出生证明上出现的次数不如 John 或 Greg 多。对于“John”而言,模型对于“Vishvesh”的字符 n-gram 中的男性意味更加确定。

接下来三个名字,“Sarah”,“Carlana” 和 'Ruby',是我在写这本书时脑海中首先想到的女性名字。^([19]) ^([20]) 名字“Ruby”在其字符 n-grams 中可能带有一些男性特征,因为一个类似的名字“Rudy”(通常用于男婴)与“Ruby”之间只有一个编辑距离。奇怪的是,“Carlana”这个名字中包含一个常见的男性名字“Carl”,被自信地预测为一个女性名字。

5.3 沿着误差斜坡滑行

在神经网络中训练的目标是通过找到最佳参数(权重)来最小化损失函数。在优化循环的每一步,你的算法都会找到最陡的下坡方式。请记住,这个误差斜率不是你的数据集中一个特定示例的误差。它是在一批数据中所有点的所有误差的平均值上最小化成本(损失)。

创建这一问题的可视化图表可以帮助建立你在调整网络权重时所做的事情的心理模型。

在第四章中,你学习了关于均方根误差(RMSE)的知识,它是回归问题中最常见的成本函数。如果你想象一下将误差作为可能的权重的函数绘制出来,给定特定的输入和特定的预期输出,存在一个使该函数最接近零的点;这就是你的最小值—你的模型误差最小的位置。

这个最小值将是给定训练示例的最佳输出的一组权重。你经常会看到这被表示为一个三维碗,其中两个轴是二维权重向量,第三个是误差(见图 5.8)。这个描述是一个非常简化的,但是在高维空间中概念是相同的(对于具有两个以上权重的情况)。

图 5.6 凸误差曲线

平滑错误

同样地,你可以将误差表面作为训练集中所有输入的所有可能权重的函数进行图表化。但是你需要稍微调整一下误差函数。你需要找到一些能够代表给定一组权重的所有输入的聚合误差的东西。在这个例子中,你将使用均方误差作为z轴。同样,在这里,你会找到一个误差表面上的位置,在该位置的坐标是最小化你的预测和训练集中的分类标签之间的平均误差的权重向量。这组权重将配置你的模型以尽可能地适合整个训练集。

5.3.1 离开缆车,进入斜坡——梯度下降和局部最小值

这个可视化代表了什么?在每个时期,算法都在进行梯度下降,试图最小化误差。每次你调整权重的方向都希望下次能减少你的误差。一个凸错误曲面会很棒。站在滑雪坡上,四处看看,找出哪个方向是下坡,然后朝那个方向走!

但是你并不总是有这样一个光滑的碗形;它可能有一些分散的凹陷和坑洞。这种情况被称为非凸误差曲线。而且,就像滑雪一样,如果这些坑洞足够大,它们会吸引你,你可能就无法到达斜坡底部了。

再次强调,这些图表代表了二维输入的权重。但是如果你有一个 10 维、50 维或 1000 维的输入,概念是一样的。在那些更高维的空间中,再也无法将其可视化,所以你要相信数学。一旦你开始使用神经网络,可视化错误曲面就变得不那么重要了。你可以通过观察(或绘制)训练时间内的错误或相关指标,看它是否趋向于零来获取相同的信息。这将告诉你你的网络是否在正确的轨道上。但是这些 3D 表示法对于创建过程的心理模型是一个有用的工具。

但是非凸错误空间呢?那些凹陷和坑洞是个问题吗?是的,是的。取决于你随机开始权重的位置,你可能会以截然不同的权重结束,训练会停止,因为从这个局部最小值往下走别无选择(见图 5.9)。

图 5.7 非凸误差曲线

凹凸错误

随着你进入更高维的空间,局部最小值也会跟随你到那里。

5.3.2 改变方式:随机梯度下降

到目前为止,你已经在尽力快速地聚合所有训练样本的错误,并且尽可能快地滑向最陡峭的路线。但是一次处理整个训练集一个样本有点短视。这就像选择雪地公园的下坡路段,忽略了所有的跳跃。有时,一个好的滑雪跳台可以帮助你跳过一些崎岖的地形。

如果你试图一次性训练整个数据集,你可能会耗尽内存,导致你的训练在 SWAP 中陷入困境 —— 在 RAM 和你的更慢的持久性磁盘存储之间来回交换数据。而这个单一静态的错误曲面可能会有陷阱。因为你是从一个随机起点开始的(初始模型权重),你可能会盲目地滑下山坡进入一些局部最小值(凹陷、坑洞或洞穴)。你可能不知道存在更好的权重值选项。而且你的错误曲面是静态的。一旦你在错误曲面上达到一个局部最小值,就没有下坡的斜度来帮助你的模型滑出去,然后滑下山去。

因此,为了让事情更有变化,您希望向这个过程添加一些随机性。您希望周期性地对模型学习的训练样本的顺序进行洗牌。通常在每次通过训练数据集后重新洗牌训练样本的顺序。洗牌您的数据会改变模型考虑每个样本的预测误差的顺序。因此,它将改变其寻找全局最小值(该数据集的最小模型误差)的路径。这种洗牌是随机梯度下降的"随机"部分。

"梯度下降"方法的"梯度"估计部分仍然有改进的余地。您可以向优化器添加一些谦卑,这样它就不会过于自信,盲目地跟随每一个新的猜测,一直到它认为全局最小值应该在哪里。在您所在的滑雪道很少会直接指向山底滑雪小屋的直线方向。因此,你的模型沿着向下坡的方向(梯度)行进了一小段距离,而不是一直走到底。这样,每个独立样本的梯度就不会使您的模型偏离太远,您的模型也不会迷失在树林中。您可以调整 SGD 优化器(随机梯度下降)的学习率超参数,以控制您的模型对每个独立样本的梯度有多自信。

另一种训练方法是批量学习。一个批次是训练数据的一个子集,比如,0.1%、1%、10%或 20%的数据集。每个批次都会创建一个新的错误表面,让你在搜索未知的"全局"错误表面最小值时进行实验。你的训练数据只是真实世界中会发生的例子的样本。因此,您的模型不应假设"全局"真实世界的错误表面形状与训练数据的任何部分的错误表面相同。

这导致了大多数 NLP 问题的最佳策略:小批量学习。^([21]) Geoffrey Hinton 发现,对于大多数神经网络训练问题,大约 16 到 64 个样本的批次大小是最佳的。^([22]) 这是平衡了随机梯度下降的不稳定性和您希望朝向全局最小值正确方向取得显著进展的正确大小。当您朝着这个变化的局部最小值前进,并且使用正确的数据和正确的超参数时,您可以更容易地朝全局最小值迈进。小批量学习是完整批次学习和单个样本训练之间的一种折衷。小批量学习使您既能享受随机学习(随机徘徊)的好处,又能享受梯度下降学习(直接加速下坡)的好处。

尽管反向传播的工作细节非常吸引人 ^([23]), 但它们并不是微不足道的,我们不会在这里解释细节。一个可以帮助你训练模型的好的心理形象是,想象一下你问题的误差曲面就像某个外星行星上的未知地形。你的优化器只能看到你脚下地面的坡度。它利用这些信息向下走了几步,然后再次检查坡度(梯度)。用这种方式探索行星可能需要很长时间。但是一个好的优化算法可以帮助你的神经网络记住地图上的所有好位置,并用它们猜测地图上的一个新位置,以便在寻找全局最小值时探索。在地球上,这个行星表面上的最低点是南极地区丹曼冰川下面的峡谷底部,比海平面低 3.5 公里。^([24]) 一个好的小批量学习策略将帮助你找到最陡的滑雪道或冰川(如果你怕高不是一个愉快的形象)到全局最小值。希望你很快会发现自己在山脚下的滑雪小屋旁或丹曼冰川下的冰洞里的篝火旁。

看看你是否可以在本章中创建的感知器上添加额外的层。看看随着网络复杂性的增加,你所得到的结果是否会改善。对于小问题来说,更大不一定就更好。

5.4 自我测试

  1. 罗森布拉特的人工神经元无法解决的简单 AI 逻辑 "问题" 是什么?

  2. 对罗森布拉特架构进行了什么小改变,"修复"了感知器并结束了第一次 "AI 冬天"?

  3. PyTorch 的 model.forward() 函数在 Scikit-Learn 模型中的等价物是什么?

  4. 如果你跨年份和地区聚合名称,用于性别预测的 LogisticRegression 模型的测试集准确率会是多少?不要忘记分层你的测试集以避免作弊。

5.5 总结

  • 通过最小化成本函数,机器逐渐学习更多关于词语的知识。

  • 反向传播算法是网络学习的手段。

  • 权重对模型误差的贡献量与它需要更新的量直接相关。

  • 神经网络本质上是优化引擎。

  • 监控误差逐渐降低,注意训练过程中的陷阱(局部极小值)。

[1] 在这里查看 Dario Amodei 和 Danny Hernandez 的分析( openai.com/blog/ai-and-compute/

[2] 查看第三章关于 "过拟合" 问题的词形还原 FAQ 聊天机器人示例失败的情况。

[3] 有关 Julie Beth Lovins 的维基百科文章:en.wikipedia.org/wiki/Julie_Beth_Lovins

[4] nlp.stanford.edu/IR-book/html/htmledition/stemming-and-lemmatization-1.html

[5] proai.org/middle-button-subreddit

[6] Robin Jia, Building Robust NLP Systems ( robinjia.GitHub.io/assets/pdf/robinjia_thesis.pdf)

[7] Not Even Wrong: The Failure of String Theory and the Search for Unity in Physical Law by Peter Woit

[8] Lex Fridman interview with Peter Woit ( lexfridman.com/peter-woit/)

[9] Rosenblatt, Frank (1957), The perceptron—​a perceiving and recognizing automaton. Report 85-460-1, Cornell Aeronautical Laboratory.

[10] en.wikipedia.org/wiki/Universal_approximation_theorem

[11] The logistic activation function can be used to turn a linear regression into a logistic regression: ( scikit-learn.org/stable/auto_examples/linear_model/plot_logistic.html)

[12] scikit-learn.org/stable/modules/linear_model.html#logistic-regression

[13] McElreath, Richard, and Robert Boyd, Mathematical Models of Social Evolution: A guide for the perplexed, University of Chicago Press, 2008.

[14] USCDI (US Core Data Interoperability) ISA (Interoperability Standards Advisory) article on "Sex (Assigned at Birth)" ( www.healthit.gov/isa/uscdi-data/sex-assigned-birth)

[15] from "When I am pinned and wriggling on the wall" in "The Love Song of J. Alfred Prufrock" by T. S. Eliot ( www.poetryfoundation.org/poetrymagazine/poems/44212/the-love-song-of-j-alfred-prufrock)

[16] Overview of Coreference Resolution at The Stanford Natural Language Processing Group: ( nlp.stanford.edu/projects/coref.shtml)

[17] The Perifpheral by William Gibson on wikipedia ( en.wikipedia.org/wiki/The_Peripheral)

[18] False dichotomy article on wikipedia ( en.wikipedia.org/wiki/False_dilemma)

[19] Sarah Goode Wikipedia article ( en.wikipedia.org/wiki/Sarah_E._Goode)

[20] Ruby Bridges Wikipedia article ( en.wikipedia.org/wiki/Ruby_Bridges)

[21] "Faster SGD training by minibatch persistency", by Fischetti et al ( arxiv.org/pdf/1806.07353.pdf)

[22] Neural Networks for Machine Learning - Overview of mini-batch gradient descent by Geoffrey Hinton ( www.cs.toronto.edu/~hinton/coursera/lecture6/lec6.pdf)

[23] Wikpedia, en.wikipedia.org/wiki/Backpropagation

[24] Wikipedia list of places below sea level ( en.wikipedia.org/wiki/List_of_places_on_land_with_elevations_below_sea_level)

第六章:使用词嵌入(词向量)进行推理的 6 个原因

本章涵盖内容

  • 理解词嵌入或词向量

  • 用向量表示含义

  • 定制词嵌入以创建特定领域的向量

  • 使用词嵌入进行推理

  • 可视化单词的含义

词嵌入可能是你 NLP 工具箱中最易于接近和普遍有用的工具。它们可以让你的 NLP 流水线对单词有一个一般的理解。在本章中,你将学习如何将词嵌入应用到现实世界的应用中。同样重要的是,你将学会在哪里不要使用词嵌入。希望这些例子能帮助你在商业和个人生活中构想出新的有趣的应用。

你可以把单词向量想象成 Dota 2 英雄或角色扮演游戏(RPG)角色和怪物的属性列表。现在想象一下,这些角色表或简介上没有文字。你会希望保持所有数字的顺序一致,这样你就知道每个数字的含义。这就是词向量的工作方式。这些数字没有标记它们的含义。它们只是放在向量中的一个一致的位置或位置。这样,当你将两个单词向量相加、相减或相乘时,一个向量中的“力量”属性就与另一个向量中的力量属性相匹配。同样适用于 D&D(龙与地下城)中的“敏捷”、“智力”和阵营或哲学属性。

富有思想的角色扮演游戏经常鼓励对哲学和单词进行更深入的思考,例如"混乱善良"或"法律邪恶"等角色个性的微妙组合。我非常感激我的童年主持人开启了我的眼界,让我看到了像“善”和“恶”或“守法”和“混乱”这样的单词所暗示的错误二分法。[1] 在这里你将学习到的词向量有足够的空间来表达几乎任何文本和任何语言中的单词的每个可能的可量化属性。并且单词向量的属性或特征以复杂的方式相互交织在一起,可以轻松处理诸如“守法邪恶”,“善意的独裁者”和“利他的恶意”等概念。

学习词嵌入通常被归类为表示学习算法。[2] 任何词嵌入的目标都是构建一个单词“特征”的紧凑数值表示。这些数值表示使得机器能够以有意义的方式处理你的单词(或你的 Dota 2 角色表)。

6.1 这是你的单词大脑

词嵌入是我们用来表示含义的向量。而你的大脑是存储含义的地方。你的大脑受到单词的影响。就像化学物质影响大脑一样,单词也会影响大脑。“This is your brain on drugs”是 80 年代反毒品电视广告活动的一句流行口号,其中有一对鸡蛋在煎锅中煎炸。[3]

幸运的是,文字比化学物质更温和、更有益的影响者。图 6.1 中显示的文字在你大脑中的形象与鸡蛋在煎锅中滋滋作响有些不同。这张草图为你提供了一种想象的方式,当你阅读这些句子时,你的神经元会火花四溅,创造出你大脑内的思维。你的大脑通过向适当的邻近神经元发送信号将这些词的意义连接在一起。词嵌入是这些单词之间连接的矢量表示。因此,它们也是你大脑中神经元连接网络的节点嵌入的一种粗略表示。^([4])

图 6.1 你大脑中的词嵌入

word brain embedding drawio

当你思考一个单词时,你可以把词嵌入看作是你大脑中神经元触发模式的矢量表示。每当你想到一个词,这个思想就会在你的大脑中引发一波电荷和化学反应,在与该词或思想相关联的神经元开始。你的大脑内部的神经元像水池中扔下的圆形涟漪一样波动。但是,这些电信号只有从某些神经元流出,而不是其他神经元。

当你阅读这个句子中的词时,你会在你的神经元中引发一连串的活动,就像图 6.1 中的草图中那样。事实上,研究人员发现人工神经网络权重与词嵌入相似的模式和你思考词语时大脑内部活动的模式。^([5]) ^([6])

神经元中流出的电子就像学生在放学铃声响起时从学校门口跑出来一样。词语或思想就像学校的铃声。当然,你的思维和大脑中的电子比学生要快得多。你甚至不需要说出或听到这个词,就能在你的大脑中触发它的模式。你只需要想一想它。就像孩子们跑出去玩耍一样,电子永远不会沿着相同的路径流动。正如一个词的意义随着时间的推移而演变,你对一个词的嵌入也在不断演变。你的大脑是一个永不停止的语言学习者,与康奈尔大学的无止境语言学习者系统并没有太大的不同。^([7])

有些人对这个想法产生了过多的幻想,他们认为你可以用言辞实现一种形式的心灵控制。当我在 Reddit 上寻找关于 NLP 研究的信息时,我被 r/NLP 子论坛分散了注意力。这不是你想的那样。事实证明,一些励志演讲者在 Reddit 上为他们的 70 年代的"神经语言编程"赚钱计划占了" NLP"这个词。幸运的是,词向量能够很好地处理这种歧义和错误信息。

你甚至不需要告诉词向量算法你希望" NLP"这个词的含义是什么。它将根据你用于训练它的文本中它的用法找出这个缩写词最有用和最流行的含义。创建词向量的算法是一种自监督的机器学习算法。这意味着你不需要词典或同义词词典来喂养你的算法。你只需要很多文本。在本章的后面,你只需收集一堆维基百科文章来用作你的训练集。但任何语言的任何文本都可以,只要它包含了你感兴趣的很多单词。

还有一个需要考虑的"大脑上的文字"。文字不仅影响你的思维方式,还影响你的交流方式。而且你有点像是集体意识中的一个神经元,是社会的大脑。对我来说,"有点"这个词是一个特别强大的神经连接模式,因为我是从丹尼尔·丹尼特的《直觉泵》一书中学到了它的含义。它唤起了与复杂思想和词语相关联的联想,比如图灵用来解释 AI 和计算器背后机制完全相同的概念"渐进主义"。达尔文使用渐进主义这个概念来解释语言理解人类大脑如何通过简单机制从单细胞生物进化而来。

6.2 应用

哎呀,这些令人惊叹的词向量有什么用?词向量可以在需要机器理解单词或短 N-gram 的任何地方使用。以下是一些词向量在现实世界中已被证明有用的 N-gram 的示例:

  • 标签

  • 标签和关键词

  • 命名实体(人、地点、事物)

  • 标题(歌曲、诗歌、书籍、文章)

  • 职称和企业名称

  • 网页标题

  • 网页 URL 和文件路径

  • Wikipedia 文章标题

甚至有许多实际应用场景,您的 NLP 流水线可以利用词向量理解这些短语的能力:

  • 语义搜索工作、网页等等

  • 舌尖上的词查找器

  • 改写标题或句子

  • 情感塑造

  • 回答词类比问题

  • 用文字和名称推理

在学术界,研究人员使用词向量解决了 200 多个 NLP 问题:

  • 词性标注

  • 命名实体识别(NER)

  • 类比查询

  • 相似度查询

  • 音译

  • 依赖关系解析

6.2.1 寻求含义

在过去(20 年前),搜索引擎尝试根据网页中的 TF-IDF 分数找到您输入的所有单词。良好的搜索引擎尝试将您的搜索词与同义词一起增强。它们有时甚至会改变您的单词,以猜测您实际上在输入特定的单词组合时“意味着”什么。因此,如果您搜索“sailing cat”,它们会将“cat”更改为“catamaran”,以为您消除歧义。在幕后,在排名结果时,搜索引擎甚至可能将像“positive sum game”的查询更改为“nonzero sum game”,以将您发送到正确的维基百科页面。

信息检索研究人员随后发现了如何使潜在语义分析更加有效——词嵌入。事实上,GloVE 词嵌入算法只是从网页中提取的数百万句子上的潜在语义分析。[13] 这些新的词嵌入(向量)使得搜索引擎能够直接将你的查询的“含义”与网页匹配,而不需要猜测你的意图。你的搜索词的嵌入提供了你的搜索意图的直接数值表示,基于这些单词在互联网上的平均含义。

警告

词嵌入不代表对单词的预期解释。它们代表了用于训练词嵌入语言模型的文档和页面的所有人的单词的平均含义。这意味着词嵌入包含了用于训练模型的网页的所有人的偏见和刻板印象。

搜索引擎不再需要进行同义词替换、词干提取、词形还原、大小写转换和基于硬编码规则的消歧义。它们基于搜索索引中所有页面的文本创建词嵌入。不幸的是,主导性的搜索引擎决定利用这种新发现的力量,将词嵌入与产品和广告匹配,而不是真实的单词。AdWords 和 iAds 的单词嵌入根据营销人员支付的费用加权,以转移你的注意力,使你远离你的真实搜索意图。基本上,大型科技公司使企业能够贿赂搜索引擎,以操纵你并训练你成为他们的消费僵尸。

如果你使用一个更诚实的搜索引擎,如 Startpage,^([14]) DISROOT,^([15]) 或 Wolfram Alpha ^([16]),你会发现它们会给你真正想要的东西。如果你有一些黑网页或私人文件,你想将它们用作组织或个人生活的知识库,你可以自主托管一个具备尖端 NLP 技术的搜索引擎:Elastic Search,^([17]) Meilisearch,^([18]) SearX,^([19]) Apache Solr,^([20]) Apache Lucene,^([21]) Qwant,^([22]) 或 Sphinx。^([23])即使是 PostgreSQL 也能在全文搜索精度方面胜过主流搜索引擎。当你使用一个彻头彻尾诚实的搜索引擎时,你会惊讶地发现你对这个世界的看法变得更加清晰。

这些语义搜索引擎使用向量搜索来查询单词和文档嵌入(向量)数据库。

开源的 Python 工具,比如 NBOOST 或 PynnDescent,让你可以将单词嵌入与你喜欢的 TF-IDF 搜索算法集成起来。^([24])如果你想要一种可扩展的方法来搜索你精细调整过的嵌入和向量,你可以使用近似最近邻算法来索引你喜欢的向量。^([25])

这就是单词嵌入的优点。所有你所熟悉的向量代数数学知识,如计算距离,同样适用于单词嵌入。只不过这个距离现在代表的是单词在意义上的距离,而不是物理距离。而且这些新的嵌入比你熟悉的 TF-IDF 向量中的数千个维度更紧凑和更加有意义。

你可以使用“意义距离”在单词数据库中搜索所有与你心中想要的职业名称相近的职位名称,这可能会揭示出一些你没有想到的职业名称。或者你的搜索引擎可以被设计为在搜索查询中添加其他词语,以确保返回相关的职业标题。这就像是一个可以理解词义的自动完成搜索框,被称为语义搜索

>>> from nessvec.indexers import Index  # #1
>>> index = Index(num_vecs=100_000)  # #2
>>> index.get_nearest("Engineer").round(2)
Engineer       0.00
engineer       0.23
Engineers      0.27
Engineering    0.30
Architect      0.35
engineers      0.36
Technician     0.36
Programmer     0.39
Consultant     0.39
Scientist      0.39

您可以看到,查找词嵌入的最近邻居有点像在同义词词典中查找一个词。但这是一个比您当地书店或在线词典更模糊且完整的词典。您很快就会看到如何自定义此词典以适应您喜欢的任何领域。例如,您可以训练它只与英国的职位发布一起使用,或者甚至是印度或澳大利亚,具体取决于您的兴趣区域。或者您可以训练它更好地处理硅谷的技术工作而不是纽约的金融和银行工作。您甚至可以训练它处理 2 元组和 3 元组,如果您想要它处理更长的职位头衔,比如"软件开发人员"或"NLP 工程师"。

关于词嵌入的另一个好处是它们是模糊的。您可能已经注意到了“工程师”的几个附近邻居,这些邻居在同义词词典中可能找不到。而且您可以根据需要不断扩展列表。所以如果你在考虑一个软件工程师而不是一名建筑师,你可能会想要扫描get_nearest()列表以寻找另一个单词进行搜索,比如"程序员":

>>> index.get_nearest("Programmer").round(2)
Programmer    -0.00
programmer     0.28
Developer      0.33
Programmers    0.34
Programming    0.37
Engineer       0.39
Software       0.40
Consultant     0.42
programmers    0.42
Analyst        0.42
dtype: float64
>>> index.get_nearest("Developer").round(2)
Developer     -0.00
developer      0.25
Developers     0.25
Programmer     0.33
Software       0.35
developers     0.37
Designer       0.38
Architect      0.39
Publisher      0.39
Development    0.40

哇,这很奇怪。看起来"开发者"这个头衔经常也与"出版商"这个词联系在一起。在与 Manning 出版公司的开发编辑、开发经理甚至技术开发编辑一起工作之前,我从来没有想过为什么会这样。就在今天,这些"开发者"催促我加紧写这一章节。

6.2.2 合并词嵌入

关于词嵌入的另一个好处是您可以以任何您喜欢的方式将它们组合起来创建新单词!嗯,当然,您可以以传统的方式将多个单词组合在一起,只需将字符串附加在一起。在 Python 中,您可以使用加法或+运算符来实现这一点:

>>> "Chief" + "Engineer"
'ChiefEngineer'
>>> "Chief" + " " + "Engineer"
'Chief Engineer'

词嵌入数学运算的效果甚至比这更好。您可以将这些词的含义相加,试图找到一个单词来捕捉您所添加的两个单词的含义

>>> chief = (index.data[index.vocab["Chief"]]
...     + index.data[index.vocab["Engineer"]])
>>> index.get_nearest(chief)
Engineer     0.110178
Chief        0.128640
Officer      0.310105
Commander    0.315710
engineer     0.329355
Architect    0.350434
Scientist    0.356390
Assistant    0.356841
Deputy       0.363417
Engineers    0.363686

所以,如果你想有一天成为一名"首席工程师",看起来"科学家"、"建筑师"和"副手"也可能是你在路上会遇到的职位头衔。

那么在本章开头提到的那个尖端的词语查找应用程序呢?您是否曾经试图回忆起一个著名人士的名字,只是对他们有一个笼统的印象,比如说这样:

早在 20 世纪初,她在欧洲发明了与物理有关的东西。

如果您将该句输入 Google 或 Bing,您可能不会得到您正在寻找的直接答案,"玛丽·居里"。Google 搜索很可能只会给您一些著名物理学家的列表链接,包括男性和女性。

你需要浏览几页才能找到你要的答案。但是一旦你找到“Marie Curie”,Google 或 Bing 就会记住它。下次你寻找一个科学家的时候,它们可能会在提供你搜索结果方面变得更加优秀。(至少,在我们研究这本书时,它对我们提供的搜索结果做到了这一点。我们不得不使用私人浏览器窗口来确保您的搜索结果与我们的相似。)

通过词向量,你可以搜索结合了“woman”、“Europe”、“physics”、“scientist”和“famous”的词汇或名称,并且这会让你接近你寻找的“Marie Curie”这个词语的记号。而想要实现这一点,你只需将你想要组合的每个单词的向量相加即可:

>>> answer_vector = wv['woman'] + wv['Europe'] + wv['physics'] +
...     wv['scientist']

在这章节中,我们会向你展示确切的方法来做这个查询。你甚至可以看到如何使用词向量数学来消除一些单词中的性别偏见:

>>> answer_vector = wv['woman'] + wv['Europe'] + wv['physics'] +\
...     wv['scientist'] - wv['male'] - 2 * wv['man']

通过词向量,你可以从“女人”中去掉“男人”!

6.2.3 类比题

如果你把你的问题转化为一个类比题,会怎样?你的“查询”会变成这样:

谁与核物理学的关系,如同 Louis Pasteur 与细菌的关系?

再次强调,Google 搜索、Bing 甚至 Duck Duck Go 对这个问题并没有太大帮助^([26])。但是用词向量,解决方案就像是从“germs(细菌)”中减去“Louis Pasteur”,然后加入一些“physics(物理学)”:

>>> answer_vector = wv['Louis_Pasteur'] - wv['germs'] + wv['physics']

如果你对无关领域的人,比如音乐家和科学家的笼统类比题感兴趣,你也可以参与其中。

谁是音乐界的玛丽·居里?

或者

玛丽·居里与科学的关系,如同谁与音乐的关系?

你能搞清楚那个问题的向量空间数学会是什么吗?

你可能在英语类比题的标准化测试中见过这样的问题,比如 SAT、ACT 或 GRE 考试。有时它们是用正式的数学符号写成这样的:

MARIE CURIE : SCIENCE :: ? : MUSIC

这样做是否会更容易猜出这些单词的向量数学?一种可能性是这样的:

>>> wv['Marie_Curie'] - wv['science'] + wv['music']

而且你可以回答关于人和职业以外的事物的类似问题,比如体育队和城市:

The Timbers are to Portland as what is to Seattle?

在标准化测试形式中,如下所示:

TIMBERS : PORTLAND :: ? : SEATTLE

但是,更常见的是,标准化测试使用英语词汇词汇,并提问一些没有趣味性的问题,例如以下问题:

WALK : LEGS :: ? : MOUTH

或者

ANALOGY : WORDS :: ? : NUMBERS

所有这些“口头禅”式的问题对于词向量来说是小菜一碟,即使没有多个选项供你选择,回答类比题仍然很困难。自然语言处理会通过词向量来解救你。

词嵌入可以用来回答甚至这些模糊的问题和类比问题。 只要答案的向量存在于您的词汇表中,词嵌入就可以帮助您记住您舌尖上的任何单词或名称。(对于谷歌预先训练的 Word2Vec 模型,您的单词几乎肯定存在于谷歌训练的 100 亿字的新闻源中,除非您的单词是在 2013 年之后创建的。)并且嵌入甚至可以处理您甚至无法以搜索查询或类比形式提出的问题。

您可以在本章稍后的“类比推理”部分了解一些嵌入数学知识。

6.2.4 Word2Vec 创新

在我们的大脑神经元的连接中,彼此靠近使用的单词会堆积在一起,并最终定义这些单词在我们大脑中的含义。 作为一个幼儿,您会听到人们谈论“足球”,“消防车”,“计算机”和“书籍”之类的东西,您可以逐渐弄清楚它们的含义。 令人惊讶的是,您的机器不需要身体或大脑来理解单词,就像幼儿一样。

孩子可以在现实世界或图片书中指出几次物体后学会一个单词。 孩子永远不需要阅读字典或同义词词典。 就像一个孩子一样,机器“弄清楚”而不需要字典、同义词词典或任何其他受监督的机器学习数据集。 机器甚至不需要看到物体或图片。 该机器完全是由您解析文本和设置数据集的方式进行自我监督的。 您只需要大量的文本。

在之前的章节中,您可以忽略单词的附近上下文。 您所需做的只是计算在同一文档中使用单词的次数。 结果,如果您使您的文档非常非常短,这些共现次数就变得有用起来,用于表示单词本身的含义。 这是 Tomas Mikolov 及其 Word2vec NLP 算法的关键创新。 John Rubert Firth 推广了“一个单词由其周围的公司所特征化”的概念。[27])但要使词嵌入有用,则需要 Tomas Mikolov 专注于非常小的单词“公司”以及 21 世纪计算机的计算能力以及大量的机器可读文本语料库。 您不需要字典或同义词词典来训练您的词嵌入。 您只需要大量的文本。

这就是你在本章要做的事情。 你要教会机器成为一个海绵,就像一个幼儿一样。 您要帮助机器弄清楚单词的含义,而无需明确标记单词及其词典定义。 您只需要从任意随机书籍或网页中提取一堆随机句子。 一旦你对这些句子进行了分词和分段,这是您在前几章中学到的,您的 NLP 流水线将在每次读取新一批句子时变得越来越聪明。

在第二章和第三章中,你将词语与其邻居隔离开,并只关心每个 文档 中是否存在。你忽略了一个词的邻居对其意义的影响以及这些关系如何影响陈述的整体意义。我们的词袋概念将每个文档中的所有词混在一起形成一个统计性的袋子。在本章中,你将从只有少于十个标记的“邻域”中创建更小的词袋。你还将确保这些邻域有边界,以防止词语的意义溢出到相邻的句子中去。这个过程将有助于将你的词嵌入语言模型聚焦在彼此最相关的词上。

词嵌入可以帮助你识别同义词、反义词,或者只是属于同一类别的词,比如人、动物、地点、植物、名字或概念。在第四章的语义分析中我们以前也可以做到这一点,但是对词语邻近性的更严格的限制将体现在词嵌入的更严格的准确性上。词语的潜在语义分析(LSA)没有捕捉到词语的所有字面意义,更不用说暗示或隐藏的意义了。一些词语的内涵对于 LSA 过大的词袋来说更加模糊。

词嵌入

词嵌入(有时被称为 词向量)是词义的高维数值向量表示,包括其字面和隐含的含义。因此,词嵌入可以捕捉词语的 内涵。在一个嵌入的某个地方,有一个关于“人性”、“动物性”、“地方性”、“物品性”甚至“概念性”的分数。词嵌入将所有这些分数以及其他词性的分数组合成一个密集的浮点值向量(没有零)。

词嵌入的密度和高(但不要太高)维度既是它们的强大之处,也是它们的局限之所在。这就是为什么在你的管道中同时使用密集的、高维度的嵌入和稀疏的超高维 TFIDF 向量或离散的词袋向量时,密集的、高维度的嵌入最有价值。

6.3 人工智能依赖于嵌入

词嵌入不仅是自然语言理解准确性的一大飞跃,也是对人工通用智能(AGI)希望的一次突破。

你认为你能区分出机器智能和非智能信息的区别吗?这可能没有你想象的那么明显。即使是大科技公司的“深度思维”也被他们最新最伟大的聊天机器人——2023 年的 Bing 和 Bard 给愚弄了。更简单、更真实的对话式搜索工具,如 you.com 和 neeva.com 及其聊天界面,在大多数互联网研究任务中都胜过了大科技公司的搜索。

哲学家道格拉斯·霍夫斯塔特在衡量智能时指出了一些要注意的事项。脚注[道格拉斯·R·霍夫斯塔特,《哥德尔、艾舍尔、巴赫:永恒的金边》(GEB),第 26 页]

  • 灵活性

  • 处理模糊性

  • 忽略无关细节

  • 寻找相似性和类比

  • 生成新的想法

很快你就会看到词嵌入是如何在你的软件中实现这些智能方面的。例如,词嵌入通过赋予单词模糊性和细微差别,使得以前的表示(如 TF-IDF 向量)无法做到的灵活性得以实现。在你的聊天机器人的以前版本中,如果你想要你的机器人对常见的问候做出灵活的回应,你就必须列举出所有可能的说法。

但是使用词嵌入,你可以用一个嵌入向量识别单词"hi"、"hello"和"yo"的含义。你可以通过提供尽可能多的文本来为你的机器人创建所有可能遇到的概念的嵌入。不再需要手工制作你的词汇表。

谨慎

像词嵌入一样,智能本身是一个高维概念。这使得人工通用智能(AGI)成为一个难以捉摸的目标。要小心,不要让你的用户或老板认为你的聊天机器人是普遍具有智能的,即使它似乎实现了霍夫斯塔特的所有"基本要素"。

6.4 Word2Vec

2012 年,微软的实习生托马斯·米科洛夫找到了一种将单词的含义嵌入到向量空间中的方法。词嵌入或单词向量通常具有 100 到 500 个维度,取决于用于训练它们的语料库中的信息广度。米科洛夫训练了一个神经网络来预测每个目标单词附近的单词出现次数。米科洛夫使用了一个单隐藏层的网络,因此几乎任何线性机器学习模型都可以工作。逻辑回归、截断的奇异值分解、线性判别分析或朴素贝叶斯都可以很好地工作,并且已经成功地被其他人用来复制米科洛夫的结果。2013 年,在谷歌工作时,米科洛夫和他的队友发布了用于创建这些单词向量的软件,并将其称为"Word2Vec"。^([28])

Word2Vec 语言模型仅通过处理大量未标记的文本语料库来学习单词的含义。没有人需要为 Word2Vec 词汇表中的单词打标签。没有人需要告诉 Word2Vec 算法"玛丽·居里"是一位科学家,"Timbers" 是一支足球队,西雅图是一个城市,波特兰是俄勒冈州和缅因州的城市。也没有人需要告诉 Word2Vec 足球是一项运动,团队是一群人,城市既是"地方"也是"社区"。Word2Vec 可以自己学会这一切以及更多!你所需要的只是一个足够大的语料库,以便在与科学、足球或城市相关的其他单词附近提到"玛丽·居里"、"Timbers" 和"波特兰"。

Word2Vec 的这种无监督性质是使其如此强大的原因。世界充满了未标记、未分类和无结构的自然语言文本。

无监督学习和监督学习是机器学习的两种根本不同的方法。

监督学习

在监督学习中,人类或人类团队必须使用目标变量的正确值标记数据。标签的一个示例是第四章中短信消息的"垃圾邮件"分类标签。人类更难标记的标签可能是单词"红色"或"火"的热度内涵的百分比得分。当人们想到机器学习时,他们大多数时候想到的是监督学习。监督模型只有在它能够衡量期望输出(标签)与其预测之间的差异时才能变得更好。

相反,无监督学习使机器能够直接从数据中学习,而无需任何人类的协助。训练数据不必由人类组织、结构化或标记。因此,像 Word2Vec 这样的无监督学习算法非常适用于自然语言文本。

无监督学习

在无监督学习中,您训练模型执行一个任务,但没有任何标签,只有原始数据。像 k-means 或 DBSCAN 这样的聚类算法是无监督学习的例子。像主成分分析(PCA)和 t-分布随机邻居嵌入(t-SNE)这样的降维算法也是无监督机器学习技术。在无监督学习中,模型发现数据点之间的关系模式。无监督模型只需向其提供更多数据,就可以变得更加智能(更准确)。

不是尝试训练神经网络直接学习目标词义(基于该词义的标签),而是教会网络预测句子中目标词附近的词。所以在这个意义上,你确实有标签:你试图预测的附近单词。但是因为标签来自数据集本身,并且不需要手动标记,Word2Vec 训练算法绝对是一种无监督学习算法。

另一个领域是时间序列建模中使用这种无监督训练技术。时间序列模型通常是根据先前数值窗口来预测序列中的下一个值。在很多方面,时间序列问题与自然语言问题非常相似,因为它们处理有序数值(单词或数字)的序列。

预测本身并不是 Word2Vec 起作用的原因。预测只是达到目的的一种手段。你真正关心的是 Word2Vec 逐渐建立起来帮助它生成这些预测的内部表示,即向量。这种表示将比潜在语义分析(LSA)和潜在狄利克雷分配(LDiA)在第四章中产生的单词-主题向量更多地捕捉到目标单词的含义(其语义)。

注意

通过尝试使用较低维度的内部表示重新预测输入的模型被称为自动编码器。这可能对你来说有些奇怪。这就像要求机器回显你刚刚问过它的内容,只是它们不能在你说话时把问题写下来。机器必须将你的问题压缩成速记。它必须对你提出的所有问题使用相同的速记算法(函数)。机器学习了你的陈述的新速记(向量)表示。

如果你想了解更多关于无监督深度学习模型的信息,这些模型可以创建像单词这样的高维对象的压缩表示,请搜索术语“自动编码器”。^([29])它们也是开始使用神经网络的常见方式,因为它们几乎可以应用于任何数据集。

Word2Vec 将学习关于你可能不会想到与所有单词相关联的事物。你知道每个单词都有一些地理位置、情感(积极性)和性别吗?如果你的语料库中的任何单词具有某种质量,比如“地点性”、“人性”、“概念性”或“女性”,那么所有其他单词在你的单词向量中也会为这些质量得分。当 Word2Vec 学习单词向量时,单词的含义会传递给相邻的单词。

你语料库中的所有单词都将由数字向量表示,类似于第四章中讨论的单词-主题向量。只是这一次,“主题”意味着更具体、更精确的东西。在 LSA 中,单词只需出现在同一文档中,它们的含义就会互相“融合”,并被合并到它们的单词-主题向量中。对于 Word2Vec 单词向量,这些单词必须彼此靠近 — 通常在同一句子中的五个单词之内,并且在同一句子中。并且 Word2Vec 单词向量的“主题”权重可以相加和相减,以创建新的有意义的单词向量!

一个可能帮助你理解单词向量的心理模型是将单词向量视为一系列权重或分数的列表。每个权重或分数与该单词的特定含义维度相关联。

第 6.1 节 计算 nessvector
>>> from nessvec.examples.ch06.nessvectors import *  # #1
>>> nessvector('Marie_Curie').round(2)
placeness     -0.46
peopleness     0.35  # #2
animalness     0.17
conceptness   -0.32
femaleness     0.26

使用nlpia工具(gitlab.com/tangibleai/nessvec/-/blob/main/src/nessvec/examples/ch06/nessvectors.py)可以为 Word2Vec 词汇表中的任何单词或n-gram 计算“nessvectors”。这种方法适用于你能想到的任何“ness”组件。

Mikolov 在尝试想出用向量数值表示单词的方法时开发了 Word2Vec 算法。他对第四章中你在做的不太准确的词情感数学算法不满意。他希望使用类似于你刚刚在前一节中使用类比问题的类比推理。这个概念听起来可能很高级,但实际上它只是意味着你可以用词向量进行数学运算,并且当你将向量转换回单词时答案是有意义的。你可以对代表它们的单词进行词向量相加和相减来推理,并回答类似于你上面的例子的问题,比如以下问题。(对于不了解美国体育的人来说,波特兰伐木者队和西雅图声浪队是美国职业足球联赛的球队。)

wv['Timbers'] - wv['Portland'] + wv['Seattle'] = ?

理想情况下,你希望这个数学(词向量推理)可以给你这个:

wv['Seattle_Sounders']

类似地,你的类比问题“'玛丽·居里'与'物理学'相当于 __与'古典音乐'相当?”可以被看作是一个数学表达式,如下:

wv['Marie_Curie'] - wv['physics'] + wv['classical_music'] = ?

在这一章中,我们想要改进在第四章中介绍的 LSA 词向量表示。使用 LSA 构建的整个文档的主题向量非常适用于文档分类、语义搜索和聚类。但是,LSA 产生的主题-词向量并不足以用于语义推理、短语或复合词的分类和聚类。很快你将学会如何训练单层神经网络以产生这些更准确、更有趣的词向量。并且你将看到,它们已经取代了 LSA 词-主题向量,用于许多涉及短文档或陈述的应用中。

6.4.1 类比推理

Word2Vec 首次公开亮相是在 2013 年的 ACL 会议上。[^[30]] 这场以枯燥标题“在连续空间词表示中的语言规律性”为题的演讲描述了一个非常准确的语言模型。与相应的 LSA 模型(11%)相比,Word2Vec 嵌入更准确(45%),可以回答类似上面的类比问题。[^[31]] 然而,这种准确度的提高如此出乎意料,以至于 Mikolov 的最初论文被国际学习表示研讨会拒绝接受。[^[32]] 评审人员认为该模型的性能太好以至于不可信。Mikolov 的团队花了近一年的时间才发布源代码并被计算语言学协会接受。

突然之间,有了词向量,问题就变得像这样:

Portland Timbers + Seattle - Portland = ?

可以通过向量代数解决(见图 6.1)。

图 6.2 Word2Vec 数学的几何表示

向量相加

word2vec 语言模型“知道”术语“波特兰”和“波特兰木材人”之间的距离大致与“西雅图”和“西雅图音速”相同。并且每对词之间的向量位移大致在同一方向。因此,word2vec 模型可以用来回答您的体育队类比问题。您可以将“波特兰”与“西雅图”的差异添加到代表“波特兰木材人”的向量中。这应该会让您接近“西雅图音速”的向量。

方程 6.1 计算足球队问题的答案

equation 6 1

在添加和减去词向量后,你得到的结果向量几乎永远不会完全等于词向量词汇表中的某个向量。Word2Vec 词向量通常具有数百个维度,每个维度都有连续的实值。尽管如此,在您的词汇表中,与结果最接近的向量通常会成为您的 NLP 问题的答案。与该附近向量相关联的英文单词是您关于体育队和城市的问题的自然语言答案。

Word2Vec 允许您将自然语言标记发生计数和频率的向量转换为远低维度的 Word2Vec 向量的向量空间。在这个较低维度的空间中,您可以进行数学运算,然后将它们转换回自然语言空间。您可以想象这种能力对于聊天机器人、搜索引擎、问答系统或信息提取算法有多有用。

注意

2013 年的初始论文由 Mikolov 和他的同事发表,仅能够实现 40% 的答案准确率。但是在 2013 年,这种方法超过了任何其他语义推理方法。自其最初发表以来,Word2Vec 的性能进一步提高。这是通过在极大的语料库上进行训练来实现的。参考实现是在 Google 新闻语料库的 1000 亿个词上进行训练的。这是您在本书中经常看到的预训练模型。

研究小组还发现,单数词和复数词之间的差异往往具有大致相同的数量级和方向:

方程 6.2 单词的单数和复数版本之间的距离

equation 6 2

但是,他们的发现并没有止步于此。他们还发现,距离关系远不止简单的单数与复数关系。距离适用于其他语义关系。Word2Vec 研究人员很快发现他们可以回答涉及地理、文化和人口统计学的问题,例如:

"San Francisco is to California as what is to Colorado?"
San Francisco - California + Colorado = Denver

更多使用词向量的理由

单词的向量表示不仅对于推理和类比问题有用,还对于你在自然语言向量空间模型中使用的所有其他事情有用。从模式匹配到建模和可视化,如果你知道如何使用本章的词向量,你的 NLP 流程的准确性和实用性将会提高。

例如,在本章后面,我们将向你展示如何在 2D“语义地图”上可视化词向量,就像图 6.3 所示的那样。你可以将其视为受欢迎旅游目的地的卡通地图,或者是那些你在公交站海报上看到的印象派地图之一。在这些卡通地图中,语义上和地理上靠近的事物被紧密放在一起。在卡通地图中,艺术家调整了各个位置的图标的比例和位置,以符合地方的“感觉”。借助词向量,机器也可以对单词和地方有所了解,并决定它们之间应该有多远的距离。

因此,借助你在本章学习的词向量,你的机器就能够生成像图 6.3 中一样的印象派地图。^([33])

图 6.3 十个美国城市的词向量投影到 2D 地图上

us 10 city word vector pca map labeled

如果你熟悉这些美国城市,你可能会意识到这并不是一个准确的地理地图,但它却是一个相当不错的语义地图。我常常把两个德克萨斯州大城市休斯顿和达拉斯搞混,它们的词向量几乎一模一样。而加利福尼亚州的大城市的词向量在我脑海里形成了一个文化三角形。

词向量对于聊天机器人和搜索引擎也非常有用。对于这些应用,词向量可以帮助克服模式的僵硬、脆弱性或关键字匹配的一些问题。比如,你正在搜索关于得克萨斯州休斯顿的著名人物的信息,但你不知道他们搬到了达拉斯。从图 6.3 中,你可以看到,使用词向量进行语义搜索可以轻松处理包含丹佛和休斯顿等城市名称的搜索。即使基于字符的模式无法理解“给我介绍一个丹佛煎蛋”的不同于“给我介绍丹佛掘金队”,但基于词向量的模式可以。基于词向量的模式很可能能够区分食物项(煎蛋)和篮球队(掘金队),并据此恰当地回应用户的任何问题。

6.4.2 学习词向量

词嵌入是表示单词意义(语义)的向量。然而,单词的意义是一个难以捉摸的模糊事物。一个孤立的个体单词有一个非常模糊的意义。以下是一些可能影响单词意义的事情:

  • 被传达的思想是谁的

  • 该单词的理解对象

  • 单词被使用的上下文(何地和何时)

  • 假定的领域知识或背景知识

  • 所需表达的单词意义

你的大脑可能会以与我的大脑完全不同的方式理解一个词。随着时间的推移,你大脑中的一个词的含义也会发生变化。当你将一个词与其他概念建立新联系时,你会对这个词了解到新的东西。随着你学习新概念和新词汇,你会根据新词对你大脑的印象学习到这些新词的新联系。嵌入用于表示你大脑中由新词创建的神经元连接的演变模式。而这些新向量有数百个维度。

想象一个年轻的女孩说:“我妈妈是医生。”^([34]) 想象一下对她来说,“医生”这个词意味着什么。然后想象一下,随着她的成长,她对这个词的理解,她的自然语言理解处理算法是如何演变的。随着时间的推移,她将学会区分医生(M.D.)和哲学博士(Ph.D.)。想象一下,当她自己开始考虑申请医学院或博士项目的可能性时,这个词对她来说意味着什么。想象一下,这个词对她的父亲或母亲,即医生,意味着什么。想象一下,这个词对一个没有医疗保健资源的人来说意味着什么。

创建有用的单词数值表示是棘手的。你想要编码或嵌入向量中的含义不仅取决于你想要代表的含义,还取决于何时何地你希望你的机器处理和理解这个含义。在 GloVe、Word2Vec 和其他早期单词嵌入的情况下,目标是表示“平均”或最流行的含义。创建这些表示的研究人员关注的是类比问题和其他衡量人类和机器对单词理解的基准测试。例如,我们在本章前面的代码片段中使用了预训练的 fastText 单词嵌入。

提示

预训练的单词向量表示可用于诸如维基百科、DBPedia、Twitter 和 Freebase 等语料库。^([35]) 这些预训练模型是你的单词向量应用的绝佳起点。

  • 谷歌提供了基于英文 Google 新闻文章的预训练word2vec模型。^([36])

  • Facebook 发布了他们的词模型,称为fastText,涵盖了 294 种语言。^([37])

幸运的是,一旦你决定了词嵌入的“受众”或“用户”,你只需要收集这些单词的用法示例。Word2Vec、GloVe 和 fastText 都是无监督学习算法。你只需要一些来自你和你的用户感兴趣领域的原始文本。如果你主要关注医生,你可以训练你的嵌入在医学期刊的一系列文本上。或者,如果你想要最普遍的单词表示的理解,机器学习工程师通常使用维基百科和在线新闻文章来捕捉单词的含义。毕竟,维基百科代表了我们对世界上一切的集体理解。

现在,当你拥有你的语料库时,你如何为你的词嵌入语言模型创建训练集呢?在早期,主要有两种方法:

  1. 连续词袋模型(CBOW)

  2. 连续的skip-gram

连续的词袋模型(CBOW)方法从附近的上下文单词(输入单词)预测目标单词(输出或“目标”单词)。与第三章中学习的词袋(BOW)向量唯一的区别在于,CBOW 是针对每个文档内的连续滑动窗口的单词创建的。因此,你将有几乎与所有文档中的单词序列中的单词数量相同的 CBOW 向量。而对于 BOW 向量,你只有每个文档一个向量。这为你的词嵌入训练集提供了更多信息以使其生成更准确的嵌入向量。使用 CBOW 方法,你可以从原始文档中提取的每个可能短语创建大量的微小合成文档。

图 6.4 CBOW 神经网络架构

word2vec cbow whatever affects one drawio

对于 skip-gram 方法,在这种方法中,你也会创建大量合成文档。你只需反转预测目标,这样就可以使用 CBOW 目标来预测 CBOW 特征。它预测与感兴趣的单词(输入单词)相关的上下文单词(“目标”单词)。尽管这些看起来像是你的词对被颠倒了,但你很快就会发现结果几乎是数学上等价的。

图 6.5 Skip-gram 神经网络架构

word2vec skip gram whatever affects one drawio

你可以看到,两种神经网络方法产生相同数量的训练样本,并为 skip-gram 和 CBOW 方法创建相同数量的训练样本。

Skip-gram 方法

在 skip-gram 训练方法中,你预测上下文单词附近的单词。想象一下,你的语料库包含了 Bayard Rustin 和 Larry Dane Brimner 关于个人主义的明智拒绝。^([38])

我们都是一个整体。如果我们不知道这一点,那我们将会以艰难的方式发现它。

——Bayard Rustin

_《We Are One: The Story of Bayard Rustin》,2007,第 46 页 _,Larry Dane Brimner

定义

skip-gram 是一个 2-gram 或两个 gram,其中每个 gram 都在彼此的附近。通常情况下,这些 grams 可以是您的分词器设计为预测的文本块 - 通常是单词。

对于连续的 skip-gram 训练方法,skip-grams 是跳过零到四个单词以创建 skip-gram 对的单词对。使用 Word2Vec skip-gram 方法训练单词嵌入时,skip-gram 中的第一个单词称为“上下文”单词。上下文单词是输入到 Word2Vec 神经网络中的。skip-gram 对中的第二个单词通常被称为“目标”单词。目标单词是语言模型和嵌入向量被训练以预测的单词 - 输出。

图 6.6 跳过-gram 方法的训练输入和输出示例

we are all one drawio

在图 6.6 中,您可以看到 skip-gram 方法创建单词嵌入的神经网络架构是什么样子的。

softmax 是什么?

softmax 函数通常用作神经网络输出层的激活函数,当网络的目标是学习分类问题时。softmax 将输出结果压缩在 0 到 1 之间,所有输出节点的总和始终加起来为 1。因此,具有 softmax 函数的输出层的结果可以被视为概率。

对于每个K 输出节点,可以使用归一化指数函数计算 softmax 输出值:

equation 6 3

如果您的三神经元输出层的输出向量如下所示:

方程 6.3 例子 3D 向量

equation 6 4

softmax 激活后的“压缩”向量将如下所示:

方程 6.4 例子 3D 向量经过 softmax 后

equation 6 5

请注意,这些值的总和(四舍五入到 3 个有效数字)约为 1.0,就像概率分布一样。

图 6.4 显示了前两个周围单词的数字网络输入和输出。在这种情况下,输入单词是“Monet”,网络的预期输出是“Claude”或“painted”,这取决于训练对。

图 6.7 跳过-gram 训练的网络示例

skipgram

注意

当您查看单词嵌入的神经网络结构时,您会注意到实现看起来与您在第五章中发现的内容相似。

6.4.3 学习没有字典的含义

对于这个 Word2Vec 训练示例,您不需要使用字典,比如 wiktionary.org 来明确定义单词的含义。相反,您可以只让 Word2Vec 读取包含有意义的句子的文本。您将使用 PyTorch 中 torchtext 包中提供的 WikiText2 语料库。

>>> import torchtext

>>> dsets = torchtext.datasets.WikiText2()
>>> num_texts = 10000

>>> filepath = DATA_DIR / f'WikiText2-{num_texts}.txt'
>>> with open(filepath, 'wt') as fout:
...     fout.writelines(list(dsets[0])[:num_texts])

为了让它更不神秘,您可以查看您刚刚从WikiText2数据集中创建的包含约 10,000 个段落的文本文件:

>>> !tail -n 3 ~/nessvec-data/WikiText2-10000.txt

When Marge leaves Dr. Zweig 's office , she says ,
" Whenever the wind whistles through the leaves ,
I 'll think , Lowenstein , Lowenstein … " .
This is a reference to The Prince of Tides ; the <unk> is Dr. Lowenstein .

= = Reception = =

第 99,998 段碰巧包含缩写"Dr."。在这种情况下,缩写是为了单词"doctor"。您可以利用这个来练习您的"妈妈是一名医生"直觉泵。因此,您很快就会发现 Word2Vec 是否能学会什么是医生。或者它可能会因为使用"Dr."表示"drive"的街道地址而感到困惑。

方便的是,WikiText2 数据集已经将文本分词成单词。单词之间用单个空格(" ")字符分隔。因此,您的管道不必决定"Dr."是否是句子的结尾。如果文本没有被分词,您的 NLP 管道将需要删除所有句子末尾的句号。甚至标题分隔符文本"=="也已经被拆分为两个独立的标记"=""="。段落由换行("\n")字符分隔。对于维基百科标题如"== 接待 ==",将创建许多"段落",同时保留段落之间的所有空行。

您可以利用像 SpaCy 这样的句子边界检测器或句子分割器将段落分割成句子。这将防止您的 Word2Vec 训练对从一个句子溢出到另一个句子。尊重句子边界的 Word2Vec 可以提高词嵌入的准确性。但是我们将把这个决定留给您,看您是否需要额外的准确性提升。

这里的管道可以处理的一个关键基础设施是大型语料库的内存管理。如果您正在对数百万段落进行词嵌入的训练,您将需要使用一个管理磁盘上文本的数据集对象,只加载需要的部分到 RAM 或 GPU 中。Hugging Face Hub 的datasets包可以为您处理这个问题:

>>> import datasets
>>> dset = datasets.load_dataset('text', data_files=str(filepath))
>>> dset
DatasetDict({
    train: Dataset({
        features: ['text'],
        num_rows: 10000
    })
})

但是,您仍然需要告诉 Word2Vec 什么是单词。这是您需要担心的唯一"监督"Word2Vec 数据集。您可以使用第二章中最简单的分词器来实现良好的结果。对于这种空格分词的文本,您只需使用str.split()方法。您可以使用str.lower()进行大小写折叠,将您的词汇表大小减半。令人惊讶的是,这已经足够让 Word2Vec 学会单词的含义和内涵,以至于能够解决类似 SAT 测试中可能会看到的类比问题,并且甚至能够推理现实世界的对象和人。

def tokenize_row(row):
    row['all_tokens'] = row['text'].lower().split()
    return row

现在,您可以在包含数据行迭代序列的 torchtext 数据集上使用您的分词器,每行数据都有一个用于 WikiText2 数据的"text"键。

>>> dset = dset.map(tokenize_row)
>>> dset

DatasetDict({
    train: Dataset({
        features: ['text', 'tokens'],
        num_rows: 10000
    })
})

您需要为数据集计算词汇表,以处理神经网络的一热编码和解码。

>>> vocab = list(set(
...     [tok for row in dset['train']['tokens'] for tok in row]))
>>> vocab[:4]
['cast', 'kaifeng', 'recovered', 'doctorate']

>>> id2tok = dict(enumerate(vocab))
>>> list(id2tok.items())[:4]
[(0, 'cast'), (1, 'kaifeng'), (2, 'recovered'), (3, 'doctorate')]

>>> tok2id = {tok: i for (i, tok) in id2tok.items()}
>>> list(tok2id.items())[:4]
[('cast', 0), ('kaifeng', 1), ('recovered', 2), ('doctorate', 3)]

唯一剩下的特征工程步骤是通过对令牌序列进行窗口化,然后在这些窗口内配对跳字来创建跳字对。

WINDOW_WIDTH = 10

>>> def windowizer(row, wsize=WINDOW_WIDTH):
    """ Compute sentence (str) to sliding-window of skip-gram pairs. """
...    doc = row['tokens']
...    out = []
...    for i, wd in enumerate(doc):
...        target = tok2id[wd]
...        window = [
...            i + j for j in range(-wsize, wsize + 1, 1)
...            if (i + j >= 0) & (i + j < len(doc)) & (j != 0)
...        ]

...        out += [(target, tok2id[doc[w]]) for w in window]
...    row['moving_window'] = out
...    return row

一旦你将 windowizer 应用于你的数据集,它将有一个 'window' 键,其中将存储标记的窗口。

>>> dset = dset.map(windowizer)
>>> dset
DatasetDict({
    train: Dataset({
        features: ['text', 'tokens', 'window'],
        num_rows: 10000
    })
})

这是你的 skip_gram 生成函数:

>>> def skip_grams(tokens, window_width=WINDOW_WIDTH):
...    pairs = []
...    for i, wd in enumerate(tokens):
...        target = tok2id[wd]
...        window = [
...            i + j for j in
...            range(-window_width, window_width + 1, 1)
...            if (i + j >= 0)
...            & (i + j < len(tokens))
...            & (j != 0)
...        ]

...        pairs.extend([(target, tok2id[tokens[w]]) for w in window])
    # huggingface datasets are dictionaries for every text element
...    return pairs

你的神经网络只需要窗口化数据中的跳字对:

>>> from torch.utils.data import Dataset

>>> class Word2VecDataset(Dataset):
...    def __init__(self, dataset, vocab_size, wsize=WINDOW_WIDTH):
...        self.dataset = dataset
...        self.vocab_size = vocab_size
...        self.data = [i for s in dataset['moving_window'] for i in s]
...
...    def __len__(self):
...        return len(self.data)
...
...    def __getitem__(self, idx):
...        return self.data[idx]

而且你的 DataLoader 会为你处理内存管理。这将确保你的管道可重用于几乎任何大小的语料库,甚至是整个维基百科。

from torch.utils.data import DataLoader

dataloader = {}
for k in dset.keys():
    dataloader = {
        k: DataLoader(
            Word2VecDataset(
                dset[k],
                vocab_size=len(vocab)),
            batch_size=BATCH_SIZE,
            shuffle=True,
            num_workers=CPU_CORES - 1)
    }

你需要一个独热编码器将你的词对转换成独热向量对:

def one_hot_encode(input_id, size):
    vec = torch.zeros(size).float()
    vec[input_id] = 1.0
    return vec

为了揭示你之前看到的示例的一些魔力,你将从头开始训练网络,就像你在第五章中所做的一样。你可以看到,Word2Vec 神经网络几乎与你之前章节中的单层神经网络相同。

from torch import nn
EMBED_DIM = 100  # #1

class Word2Vec(nn.Module):
    def __init__(self, vocab_size=len(vocab), embedding_size=EMBED_DIM):
        super().__init__()
        self.embed = nn.Embedding(vocab_size, embedding_size)  # #2
        self.expand = nn.Linear(embedding_size, vocab_size, bias=False)

    def forward(self, input):
        hidden = self.embed(input)  # #3
        logits = self.expand(hidden)  # #4
        return logits

一旦实例化你的 Word2Vec 模型,你就可以为你词汇表中的 20000 多个词创建 100 维嵌入:

>>> model = Word2Vec()
>>> model

Word2Vec(
  (embed): Embedding(20641, 100)
  (expand): Linear(in_features=100, out_features=20641, bias=False)
)

如果你有 GPU,你可以将模型发送到 GPU 来加快训练速度:

>>> import torch
>>> if torch.cuda.is_available():
...     device = torch.device('cuda')
>>> else:
...     device = torch.device('cpu')
>>> device

device(type='cpu')

如果你没有 GPU,不用担心。在大多数现代 CPU 上,这个 Word2Vec 模型将在不到 15 分钟内训练完毕。

>>> model.to(device)

Word2Vec(
  (embed): Embedding(20641, 100)
  (expand): Linear(in_features=100, out_features=20641, bias=False)
)

现在是有趣的部分!你可以看到 Word2Vec 快速地学习了“Dr.”等成千上万个标记的含义,只是通过阅读大量的文本。你可以去泡杯茶或吃些巧克力,或者只是冥想 10 分钟,思考生命的意义,而你的笔记本电脑则在思考单词的意义。首先,让我们定义一些训练参数

>>> from tqdm import tqdm  # noqa
>>> EPOCHS = 10
>>> LEARNING_RATE = 5e-4
EPOCHS = 10
loss_fn = nn.CrossEntropyLoss()
optimizer = torch.optim.AdamW(model.parameters(), lr=LEARNING_RATE)
running_loss = []
pbar = tqdm(range(EPOCHS * len(dataloader['train'])))
for epoch in range(EPOCHS):
    epoch_loss = 0
    for sample_num, (center, context) in enumerate(dataloader['train']):
        if sample_num % len(dataloader['train']) == 2:
            print(center, context)
            # center: tensor([ 229,    0, 2379,  ...,  402,  553,  521])
            # context: tensor([ 112, 1734,  802,  ...,   28,  852,  363])
        center, context = center.to(device), context.to(device)
        optimizer.zero_grad()
        logits = model(input=context)
        loss = loss_fn(logits, center)
        if not sample_num % 10000:
            # print(center, context)
            pbar.set_description(f'loss[{sample_num}] = {loss.item()}')
        epoch_loss += loss.item()
        loss.backward()
        optimizer.step()
        pbar.update(1)
    epoch_loss /= len(dataloader['train'])
    running_loss.append(epoch_loss)

save_model(model, loss)

6.4.4 Word2Vec 的计算技巧

在最初的出版之后,通过各种计算技巧提高了 word2vec 模型的性能。在本节中,我们重点介绍了三个关键改进,这些改进有助于词嵌入在更少的计算资源或训练数据下实现更高的准确性:

  1. 将频繁的二元组添加到词汇表中

  2. 欠采样(子采样)频繁的标记

  3. 负例的欠采样

频繁的二元组

一些词经常与其他词组合在一起形成复合词。例如,“Aaron”经常跟在“Swartz”后面,“AI”经常跟在“Ethics”后面。由于单词“Swartz”跟在单词“Aaron”后面的概率高于平均水平,你可能想为“Aaron Swartz”创建一个单一的复合专有名词的单词向量。为了提高 Word2Vec 嵌入在涉及专有名词和复合词的应用中的准确性,Mikolov 的团队在他们的 Word2Vec 词汇表中包括了一些二元组和三元组。团队使用共现频率来识别应该被视为单个术语的二元组和三元组,使用以下评分函数:

方程 6.5 大二元组评分函数

方程 6 5 分数

Bigram 分数是两个单词一起出现的次数除以它们分别出现的次数。当单词在一起出现的次数足够多时,它们将作为一对标记包含在 Word2Vec 词汇中,通过用下划线替换空格,比如 "ice_cream"。你会注意到许多词嵌入模型的词汇,比如 Word2vec,包含诸如 "New_York" 或 "San_Francisco" 的术语。这样,这些术语将被表示为单个向量,而不是两个单独的向量,比如 "San" 和 "Francisco"。

单词对的另一个影响是,单词组合通常表示的意义与单个单词的向量之和不同。例如,MLS 足球队 "Portland Timbers" 与单词 "Portland" 或 "Timbers" 的单词具有不同的含义。但是通过将经常出现的二元组添加到 Word2vec 模型中,它们的嵌入可以包含在您的模型中使用的嵌入词汇中,而无需您为文本中的二元组训练自定义嵌入。

可视化词嵌入的一种好方法是使用诸如主成分分析(PCA)之类的算法将它们的维度降至二维。这样你就可以得到一个地图,展示词嵌入之间的关系。当你要绘制的词是地名,比如美国城市时,这可以揭示词语的有趣地理维度。词嵌入为你提供了词语的 "北部性"、"南部性"、"东部性" 和 "西部性" 特性。甚至在词语中还有一点高度可以通过词嵌入来衡量。

图 6.8 美国城市词图

美国城市词向量 PCA 地图

如果你在 2-D 图中绘制诸如 "New" 和 "York" 这样的词语,如 6.8,它们不会出现在 "New York" 一词的嵌入附近。

对频繁标记进行欠采样

对原始算法的另一个准确性改进是对频繁词语进行欠采样(子采样)。这也被称为“欠采样多数类”,以平衡类别权重。常见词语,如“the”和“a”,通常不包含大多数自然语言处理问题相关的信息和含义,因此被称为停用词。Mikolov 和其他人经常选择对这些词语进行子采样。子采样意味着在连续 skip-gram 或 CBOW 的语料抽样过程中随机忽略它们。许多博主会把这一做法发挥到极致,在预处理过程中完全删除它们。虽然进行子采样或过滤停用词可能有助于让您的词向量算法训练得更快,但有时可能产生反效果。而且,在现代计算机和应用中,训练时间提高 1% 不太可能抵消词向量精度的损失。而且停用词与语料库中其他“词语”的共现可能会导致词向量表示中出现含糊不清的词语之间的较不有意义的连接,从而通过错误的语义相似性训练来混淆 Word2Vec 表示。

重要提示

所有词语都有意义,包括停用词。因此,在训练词向量或组成词汇表时,不应完全忽略或跳过停用词。此外,由于词向量常用于生成模型(例如 Cole 在本书中用于组合句子的模型),停用词和其他常见词语必须包含在词汇表中,并允许其影响其相邻词语的词向量。

为了减少像停用词这样频繁出现的词语的强调,训练过程中对词语进行抽样,抽样概率与其频率成反比。这种影响类似于 IDF 对 TF-IDF 向量的影响。频繁出现的词语对向量的影响要小于罕见的词语。Tomas Mikolov 使用以下方程确定抽样给定词语的概率。该概率决定了在训练期间是否包含特定词语在特定 skip-gram 中:

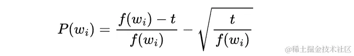
方程式 6.6 中 Mikolov 的 Word2Vec 论文中的子采样概率

方程式 6.7

word2vec 的 C++ 实现使用了与论文中提到的略有不同的抽样概率,但效果相同:

方程式 6.7 中 Mikolov 的 word2vec 代码中的子采样概率

方程式 6.8

在上述方程中,f(w[i]) 表示语料库中词语的频率,t 表示希望在其上应用子采样概率的频率阈值。阈值取决于语料库大小、平均文档长度以及这些文档中使用的词语种类。文献中通常使用 10^(-5)10^(-6) 之间的值。

如果一个词在整个语料库中出现了 10 次,而你的语料库有一百万个不同的单词,并且你将子采样阈值设为 10^(-6),那么在任何特定的 n-gram 中保留该单词的概率为 68%。在分词过程中,你将在 32% 的时间内跳过它们。

Mikolov 表明,子采样提高了词向量的准确性,例如回答类比问题。

负采样

Mikolov 提出的最后一个技巧是负采样的概念。如果向网络提供了一对词的单个训练示例,它将导致网络的所有权重被更新。这会改变词汇表中所有单词的所有向量的值。但是如果你的词汇表包含数千个或数百万个单词,更新大型的独热向量的所有权重是低效的。为了加速词向量模型的训练,Mikolov 使用了负采样。

Mikolov 提出,与其更新未包含在词窗口中的所有单词权重,不如只对几个负样本(在输出向量中)进行采样以更新它们的权重。不是更新所有权重,而是选择 n 个负例词对(不匹配该示例的目标输出的单词)并更新导致其特定输出的权重。这样,计算量可以大大减少,并且训练网络的性能不会显著下降。

注意

如果你用小语料库训练你的词模型,你可能想使用 5 到 20 个样本的负采样率。对于更大的语料库和词汇表,你可以将负采样率降低到两到五个样本,根据 Mikolov 及其团队的说法。

使用 gensim.word2vec 模块

如果前面的部分听起来太复杂,别担心。各种公司提供了预训练的词向量模型,而不同编程语言的流行 NLP 库允许你高效地使用这些预训练模型。在下一节中,我们将看看如何利用词向量的魔力。对于词向量,你将使用流行的 gensim 库,这是你在第四章中首次看到的。

如果你已经安装了 nlpia 包,你可以使用以下命令下载预训练的 word2vec 模型:

>>> from nlpia.data.loaders import get_data
>>> word_vectors = get_data('word2vec')

如果这对你不起作用,或者你喜欢自己动手,你可以搜索 word2vec 在 Google News 文档上预训练的模型。在找到并下载了 Google 的原始二进制格式模型并将其放在本地路径后,你可以像这样使用 gensim 包加载它:

>>> from gensim.models.keyedvectors import KeyedVectors
>>> word_vectors = KeyedVectors.load_word2vec_format(\
...     '/path/to/GoogleNews-vectors-negative300.bin.gz', binary=True)

使用单词向量可能会消耗大量内存。如果您的可用内存有限,或者如果您不想等待几分钟才能加载单词向量模型,您可以通过传递limit关键字参数来减少加载到内存中的单词数量。在以下示例中,您将从 Google 新闻语料库中加载前 20 万个最常见的单词:

>>> from gensim.models.keyedvectors import KeyedVectors
>>> from nlpia.loaders import get_data
>>> word_vectors = get_data('w2v', limit=200000)  # #1

但请记住,具有有限词汇量的单词向量模型会导致您的 NLP 流水线性能较低,如果您的文档包含尚未加载单词向量的单词。因此,在开发阶段,您可能只想限制单词向量模型的大小。对于本章中的其余示例,如果您想获得我们在此处展示的相同结果,则应使用完整的 Word2Vec 模型。

gensim.KeyedVectors.most_similar()方法提供了一种有效的方式来找到任何给定词向量的最近邻居。关键字参数positive接受一个要相加的向量列表,类似于本章开头的足球队示例。类似地,您可以使用negative参数进行减法操作并排除不相关的术语。参数topn确定应作为返回值提供多少相关术语。

与传统的同义词词典不同,Word2Vec 的同义词(相似性)是一个连续的分数,一个距离。这是因为 Word2Vec 本身是一个连续的向量空间模型。Word2Vec 高维度和每个维度的连续值使其能够捕捉任何给定单词的完整含义范围。这就是为什么类比甚至是 zeugma,同一个词内多个意义的奇怪的并列,都不成问题。处理类比和 zeugma 是一件很重要的事情。理解类比和 zeugma 需要对世界的人类水平的理解,包括常识知识和推理[⁴²]。词嵌入足以让机器至少能够对您可能在 SAT 测验中看到的类比有一定了解。

>>> word_vectors.most_similar(positive=['cooking', 'potatoes'], topn=5)
[('cook', 0.6973530650138855),
 ('oven_roasting', 0.6754530668258667),
 ('Slow_cooker', 0.6742032170295715),
 ('sweet_potatoes', 0.6600279808044434),
 ('stir_fry_vegetables', 0.6548759341239929)]
>>> word_vectors.most_similar(positive=['germany', 'france'], topn=1)
[('europe', 0.7222039699554443)]

单词向量模型还允许您确定不相关的术语。gensim库提供了一个名为doesnt_match的方法:

>>> word_vectors.doesnt_match("potatoes milk cake computer".split())
'computer'

为了确定列表中最不相关的术语,该方法返回与所有其他列表术语的距离最大的术语。

如果您想执行计算(例如著名的例子king + woman - man = queen,这是最初引起 Mikolov 和他的顾问兴奋的例子),您可以通过向most_similar方法调用添加negative参数来实现:

>>> word_vectors.most_similar(positive=['king', 'woman'],
...     negative=['man'], topn=2)
[('queen', 0.7118192315101624), ('monarch', 0.6189674139022827)]

gensim库还允许您计算两个术语之间的相似度。如果您想比较两个单词并确定它们的余弦相似度,请使用方法.similarity()

>>> word_vectors.similarity('princess', 'queen')
0.70705315983704509

如果您想要开发自己的函数并使用原始单词向量进行工作,您可以通过 Python 的方括号语法([])或KeyedVector实例上的get()方法访问它们。您可以将加载的模型对象视为字典,其中您感兴趣的单词是字典键。返回的数组中的每个浮点数代表一个向量维度。在谷歌的词模型中,您的 numpy 数组的形状将为 1x300。

>>> word_vectors['phone']
array([-0.01446533, -0.12792969, -0.11572266, -0.22167969, -0.07373047,
       -0.05981445, -0.10009766, -0.06884766,  0.14941406,  0.10107422,
       -0.03076172, -0.03271484, -0.03125   , -0.10791016,  0.12158203,
        0.16015625,  0.19335938,  0.0065918 , -0.15429688,  0.03710938,
        ...

如果您想知道所有这些数字意味着什么,您可以找到答案。但这需要大量的工作。您需要检查一些同义词,并查看它们在数组中共享的 300 个数字中的哪些。或者,您可以找到这些数字的线性组合,构成像“位置”和“女性”之类的维度,就像您在本章的开头所做的那样。

6.4.6 生成自己的词向量表示

在某些情况下,您可能希望创建自己的特定领域的单词向量模型。这样做可以提高您的模型准确性,如果您的 NLP 管道正在处理使用词汇方式与 Google News 中 2006 年以前 Mikolov 训练的参考word2vec模型不同的文档,则会更加如此。请记住,您需要大量的文档来做到这一点,就像 Google 和 Mikolov 一样。但是,如果您的词在 Google News 上特别罕见,或者您的文本在受限领域内以独特的方式使用它们,比如医学文本或转录文本,则特定于领域的单词模型可能会提高您的模型准确性。在接下来的部分中,我们将向您展示如何训练您自己的word2vec模型。

为了训练一个特定于领域的word2vec模型,您将再次转向gensim,但在您开始训练模型之前,您需要使用第二章中发现的工具对语料库进行预处理。

预处理步骤

首先,您需要将文档分成句子,然后将句子分成标记。gensimword2vec模型期望得到一个句子列表,其中每个句子被分成标记。这可以防止单词向量学习邻近句子中的无关单词出现。您的训练输入应该类似于以下结构:

>>> token_list
[
  ['to', 'provide', 'early', 'intervention/early', 'childhood', 'special',
   'education', 'services', 'to', 'eligible', 'children', 'and', 'their',
   'families'],
  ['essential', 'job', 'functions'],
  ['participate', 'as', 'a', 'transdisciplinary', 'team', 'member', 'to',
   'complete', 'educational', 'assessments', 'for']
  ...
]

要将句子分割成标记,然后将句子转换为标记,您可以应用第二章中学到的各种策略。让我们再增加一个:Detector Morse 是一个句子分段器,它改进了 NLTK 和gensim中提供的准确性分段器的某些应用场景。[43] 它已经在《华尔街日报》的多年文本中进行了预训练。因此,如果您的语料库包含与《华尔街日报》类似的语言,那么 Detector Morse 很可能会为您提供目前可能的最高准确性。如果您拥有来自您领域的大量句子集合,还可以在自己的数据集上重新训练 Detector Morse。一旦您将文档转换为标记列表(每个句子一个列表),您就可以开始进行word2vec训练了。

训练您的领域特定的word2vec模型

通过加载word2vec模块开始:

>>> from gensim.models.word2vec import Word2Vec

训练需要一些设置细节。

列表 6.2 控制 word2vec 模型训练的参数
>>> num_features = 300  # #1
>>> min_word_count = 3  # #2
>>> num_workers = 2  # #3
>>> window_size = 6  # #4
>>> subsampling = 1e-3  # #5

现在,您可以开始培训了。

列表 6.3 实例化 word2vec 模型
>>> model = Word2Vec(
...     token_list,
...     workers=num_workers,
...     size=num_features,
...     min_count=min_word_count,
...     window=window_size,
...     sample=subsampling)

根据您的语料库大小和 CPU 性能,训练将需要相当长的时间。对于较小的语料库,训练可以在几分钟内完成。但是对于一个全面的词模型,语料库将包含数百万句子。您需要有关语料库中所有不同单词的所有不同用法的几个示例。如果开始处理较大的语料库,例如维基百科语料库,预期训练时间会更长,并且内存消耗量会更大。

另外,Word2Vec 模型可能会消耗大量内存。但请记住,只有隐藏层的权重矩阵才感兴趣。一旦训练了您的词模型,如果您冻结模型并丢弃不必要的信息,您可以将内存占用减少约一半。以下命令将丢弃神经网络的不需要的输出权重:

>>> model.init_sims(replace=True)

init_sims方法将冻结模型,存储隐藏层的权重并丢弃预测单词共现的输出权重。输出权重不是大多数 Word2Vec 应用程序所使用的向量的一部分。但是一旦丢弃了输出层的权重,模型就无法再进一步训练。

您可以使用以下命令保存已训练的模型,并将其保留以供以后使用:

>>> model_name = "my_domain_specific_word2vec_model"
>>> model.save(model_name)

如果要测试您新训练的模型,可以使用与前一节学到的相同方法。

列表 6.4 加载已保存的word2vec模型
>>> from gensim.models.word2vec import Word2Vec
>>> model_name = "my_domain_specific_word2vec_model"
>>> model = Word2Vec.load(model_name)
>>> model.most_similar('radiology')

6.5 Word2Vec 替代方案

Word2Vec 是一项突破,但它依赖于必须使用反向传播进行训练的神经网络模型。自 Mikolov 首次推广词嵌入以来,研究人员提出了越来越准确和高效的方式来将单词的含义嵌入向量空间。

  1. Word2vec

  2. GloVE

  3. fastText

由杰弗里·彭宁顿(Jeffrey Pennington)领导的斯坦福自然语言处理研究人员^([44])开始研究 Word2Vec 为什么效果那么好,并找到正在优化的成本函数。他们首先统计单词共现次数并将其记录在一个方阵中。他们发现他们可以计算这个共现矩阵的奇异值分解(SVD)^([45]),将其拆分为 Word2Vec 生成的相同两个权重矩阵。^([46]) 关键是以相同方式对共现矩阵进行归一化。但在某些情况下,Word2Vec 模型无法收敛到斯坦福研究人员用 SVD 方法实现的相同全局最优解。正是对单词共现的全局向量(整个语料库中的共现)进行直接优化赋予了 GloVe 其名称。

GloVe 可以生成等效于 Word2Vec 输入权重矩阵和输出权重矩阵的矩阵,生成具有与 Word2Vec 相同准确性但时间大大缩短的语言模型。GloVe 通过更有效地利用文本数据来加快处理速度。GloVe 可以在较小的语料库上进行训练,仍然能够收敛。^([47]) SVD 算法已经被改进了几十年,因此 GloVe 在调试和算法优化方面有了一个优势。Word2Vec 依赖于反向传播来更新形成单词嵌入的权重。神经网络的反向传播比在 SVD 中使用的更成熟的优化算法效率低。

即使 Word2Vec 首先将通过单词向量进行语义推理的概念普及开来,你的得力助手应该是 GloVe 来训练新的单词向量模型。通过 GloVe,你更有可能找到这些向量表示的全局最优解,从而获得更准确的结果。而且 spaCy 将其作为默认的嵌入算法,因此当你运行:

>>> import spacy
>>>
>>> nlp = spacy.load("en_core_web_sm")
>>> text = "This is an example sentence."
>>> doc = nlp(text)
>>>
>>> for token in doc:
...    print(token.text, token.vector)

这些结果是使用 GloVe 计算得出的!

GloVe 的优点:

  • 训练速度更快

  • 更好的 RAM/CPU 效率(可以处理更大的文档)

  • 更有效地利用数据(有助于处理较小的语料库)

  • 在相同的训练量下更准确

6.5.1 fastText

来自 Facebook 的研究人员将 Word2Vec 的概念推进了一步^([48]),通过向模型训练添加了一个新的技巧。他们称之为 fastText 的新算法预测周围的n-字符 n-gram 而不仅仅是周围的单词,就像 Word2Vec 所做的那样。例如,单词"whisper"会生成以下 2 个和 3 个字符的 n-gram:

['wh', 'whi', 'hi', 'his', 'is', 'isp', 'sp', 'spe', 'pe', 'per', 'er']

fastText 然后对每个n字符 n-gram(称为“子词”)进行向量表示的训练,包括单词、拼写错误的单词、部分单词,甚至单个字符。这种方法的优势在于,它比原始的 Word2Vec 方法更好地处理罕见或新的单词。

fastText 分词器将为较长的单词的两半创建向量,如果该较长的单词的使用频率远低于构成它的子词。例如,如果您的语料库只提到 "Superwoman" 一两次,但却成千上万次使用 "super" 和 "woman",那么 fastText 可能会为 "super" 和 "woman" 创建向量。如果您的 fastText 语言模型在训练结束后在现实世界中遇到单词 "Superwoman",它将合并 "Super" 和 "woman" 的向量以创建单词 "Superwoman" 的向量。这减少了 fastText 需要分配通用的 Out of Vocabulary(OOV)向量的单词数量。在您的 NLU 流水线的 "思维" 中,OOV 单词向量看起来像 "未知单词"。它的效果与您在完全陌生的语言中听到一个外来单词的效果相同。虽然 Word2vec 只能 "知道" 如何嵌入它以前见过的单词,但 fastText 由于其子词方法而更加灵活。它还相对轻量且运行速度更快。

作为 fastText 发布的一部分,Facebook 发布了 294 种语言的预训练 fastText 模型。在 Facebook 研究的 Github 页面^([49])上,您可以找到从 阿布哈兹语祖鲁语 的模型。模型集合甚至包括罕见的语言,如 萨特兰弗里西亚语,该语言仅由少数德国人使用。Facebook 提供的预训练 fastText 模型仅在可用的维基百科语料库上进行了训练。因此,模型的词汇量和准确性会因语言而异。

我们在 nessvec 包中包含了用于为 OOV 单词创建新向量的 fastText 逻辑。我们还通过 Peter Norvig 的著名的优雅拼写纠正算法^([50])增强了 fastText 流水线,以处理拼写错误和错别字。这将为您提供最佳选择,即一个易于理解的训练算法和当您需要在现实世界中使用您训练过的向量时,一个强大的推断或预测模型。

使用预训练模型增强您的 NLP

通过利用来自地球上最强大的公司的开源预训练嵌入来提升您的 NLP 流水线的能力。预训练的 fastText 向量几乎可以在任何可想象的语言中找到。如果您想查看您的词嵌入的所有可用选项,请查看 fastText 模型存储库(github.com/facebookresearch/fastText/blob/main/docs/pretrained-vectors.md)。而对于多语言支持,您可以在 fastText 嵌入的 Common Crawl 版本中找到许多支持的 157 种语言的组合模型(fasttext.cc/docs/en/crawl-vectors.html)。如果您愿意,您可以使用 fastText 页面上的 bin+text 链接下载您语言的所有不同版本的嵌入。但如果您想节省一些时间,只需下载 100 万...

警告

bin+text wiki.en.zip 文件(dl.fbaipublicfiles.com/fasttext/vectors-wiki/wiki.en.zip)大小为 9.6 GB。仅文本 wiki.en.vec 文件大小为 6.1 GBdl.fbaipublicfiles.com/fasttext/vectors-wiki/wiki.en.vec)。如果您使用的是 nessvec 包而不是 gensim,它将仅下载大小为 600MB 的 wiki-news-300d-1M.vec.zip 文件(dl.fbaipublicfiles.com/fasttext/vectors-english/wiki-news-300d-1M.vec.zip)。该 wiki-news-300d-1M.vec.zip 包含来自维基百科和新闻网页中最受欢迎的 100 万个单词(不区分大小写)的 300-D 向量。

nessvec 包将创建一个内存映射的 DataFrame,其中包含所有预训练向量。内存映射文件(.hdf5)通过按需惰性加载你所需的向量,可以防止你的计算机内存(RAM)不足。

>>> from nessvec.files import load_fasttext
>>> df = load_fasttext()  # #1
>>> df.head().round(2)
      0     1     2    ...   297   298   299
,    0.11  0.01  0.00  ...  0.00  0.12 -0.04
the  0.09  0.02 -0.06  ...  0.16 -0.03 -0.03
.    0.00  0.00 -0.02  ...  0.21  0.07 -0.05
and -0.03  0.01 -0.02  ...  0.10  0.09  0.01
of  -0.01 -0.03 -0.03  ...  0.12  0.01  0.02
>>> df.loc['prosocial']  # #2
0      0.0004
1     -0.0328
2     -0.1185
        ...
297    0.1010
298   -0.1323
299    0.2874
Name: prosocial, Length: 300, dtype: float64
注意

为了加速您的词嵌入流程,您可以使用 Bloom 嵌入。Bloom 嵌入不是用于创建嵌入的新算法,而是用于存储和检索高维向量的更快、更精确的索引方法。Bloom 嵌入表中的向量每个都代表两个或更多单词的组合含义。诀窍是减去您不需要的单词,以便重新创建您正在寻找的原始嵌入。幸运的是,SpaCy 在其 v2.0 语言模型中已经实现了所有这些效率。这就是 SpaCy 如何能够为数百万个单词创建单词嵌入,同时仅存储 20k 个唯一的向量。

6.5.2 Word2Vec vs LSA

现在您可能想知道词嵌入与第四章的 LSA 主题-单词向量相比如何。这些是使用 PCA(主成分分析)在您的 TF-IDF 向量上创建的词嵌入。LSA 还为您提供了主题-文档向量,您可以将其用作整个文档的嵌入。LSA 主题-文档向量是您为任何文档创建嵌入的所有单词的主题-单词向量的总和。如果您想为整个文档获取一个与主题-文档向量类似的单词向量,您将为您的文档中的所有单词求和。这非常接近 Doc2vec 文档向量的工作原理。

如果您的主题向量的 LSA 矩阵的大小为 N[words] × N[topics],则 LSA 单词向量是该 LSA 矩阵的行。这些行向量捕捉了单词的含义,其中有大约 200 到 300 个实值,就像 Word2Vec 一样。而 LSA 主题-单词向量和 Word2Vec 向量一样有用,可以用于查找相关和不相关的术语。正如您在 GloVe 讨论中了解到的那样,Word2Vec 向量可以使用用于 LSA 的相同 SVD 算法来创建。但是,Word2Vec 通过创建一个从一个文档到下一个文档重叠的滑动窗口,从而更多地利用了文档中相同数量的单词。这样它可以在滑动之前重复使用相同的单词五次。

那么增量或在线训练呢?LSA 和 Word2Vec 算法都允许将新文档添加到你的语料库中,并调整现有的单词向量以考虑新文档中的共现。但只能更新你词汇表中的现有 "桶"。添加全新的词汇会改变你词汇表的总大小,因此你的独热向量也会改变。如果你想在模型中捕捉新词,那就需要重新开始训练。

LSA 比 Word2Vec 训练更快。对于长文档,它在区分和聚类这些文档方面表现更好。事实上,斯坦福的研究人员使用了这种更快的基于 PCA 的方法来训练 GloVE 向量。你可以使用 nessvec 包比较三种最流行的词嵌入。^([52])

Word2Vec 的 "杀手级应用" 是它可能的语义推理。LSA 主题-词向量也可以做到,但通常不够准确。如果你想要接近 Word2Vec 推理的准确性和 "哇" 因素,你需要将文档分成句子,然后只使用短语来训练你的 LSA 模型。使用 Word2Vec,你可以回答像 哈利·波特 + "大学" = 霍格沃茨 这样的问题。作为领域特定 word2vec 模型的绝佳示例,请查看哈利·波特、指环王的单词模型,参见 ^([53])。

LSA 的优势:

  • 更快的训练

  • 更好地区分长文档

Word2Vec 和 GloVe 的优势:

  • 更有效地利用大型语料库

  • 更准确的词语推理,比如回答类比问题

6.5.3 静态 vs 上下文化的嵌入

在现实世界中,你可能会遇到两种类型的词嵌入:静态和上下文化的。

静态词嵌入可以单独用于单词或独立的 N-Grams。一旦训练完成,向量就保持不变。这些是你用于类比和其他想解决的词向量推理问题的词嵌入类型。你将在这里训练一个语言模型来创建静态词嵌入。单词的上下文只会用来训练模型。一旦你的词嵌入训练完成,你将不会使用单词使用的上下文来调整你的词嵌入,因为你 使用 的是你训练好的词嵌入。这意味着一个词的不同含义或意思都被压缩成一个单一的静态向量。到目前为止我们见过的所有嵌入 - Word2Vec、GloVe 和 fasttext - 都是静态嵌入。Word2Vec 在 "World Bank" 这个名字和 "river bank" 这个表达中都会返回相同的嵌入。

相比之下,上下文化的词嵌入可以根据前后的嵌入和单词进行更新或细化。单词出现的顺序相对于其他单词的顺序对于上下文化的词嵌入很重要。这意味着对于“not happy”这个二元组的自然语言理解(NLU),在上下文化的词嵌入中,它的嵌入会比静态词嵌入更接近于“unhappy”的嵌入。

正如您所想象的那样,上下文化的嵌入对各种应用非常有用,例如语义搜索。在创建它们方面取得了巨大的突破,这是因为引入了双向变压器神经网络,例如 BERT(双向编码器变换器),我们将在第九章深入讨论。BERT 嵌入的性能优于旧的算法,例如 World2Vec 和 GloVe,因为它不仅考虑了嵌入的单词右侧和左侧的上下文,还考虑了句子中单词的顺序。因此,它成为了许多自然语言处理应用的热门选择。

6.5.4 可视化单词关系

语义单词关系可能非常强大,它们的可视化可以导致有趣的发现。在本节中,我们演示了将单词向量可视化为 2D 的步骤。

要开始,让我们从 Google 新闻语料库的 Google Word2Vec 模型中加载所有单词向量。您可以想象,这个语料库包含了大量关于“Portland”和“Oregon”的提及,以及许多其他城市和州的名称。您将使用 nlpia 包来保持简单,这样您就可以快速开始使用 Word2Vec 向量。

列表 6.5 使用 nlpia 加载预训练的 FastText 语言模型
>>> from nessvec.indexers import Index
>>> index = Index()  # #1
>>> vecs = index.vecs
>>> vecs.shape
(3000000, 300)
警告

Google 新闻的word2vec模型非常庞大:300 个向量维度的 300 万个单词。完整的单词向量模型需要 3 GB 的可用内存。如果您的可用内存有限,或者您想快速从单词模型中加载一些最常见的术语,请查看第十三章。

现在,在 gensim 中的这个 KeyedVectors 对象保存了一个包含 300 万个 Word2Vec 向量的表。我们从 Google 创建的文件中加载了这些向量,该文件用于存储他们在大量 Google 新闻文章上训练的 Word2Vec 模型。在所有这些新闻文章中,肯定有很多州和城市的单词。以下列表仅显示了词汇表中的一些单词,从第一百万个词开始:

列表 6.6 检查 word2vec 词汇频率
>>> import pandas as pd
>>> vocab = pd.Series(wv.vocab)
>>> vocab.iloc[1000000:100006]
Illington_Fund             Vocab(count:447860, index:2552140)
Illingworth                 Vocab(count:2905166, index:94834)
Illingworth_Halifax       Vocab(count:1984281, index:1015719)
Illini                      Vocab(count:2984391, index:15609)
IlliniBoard.com           Vocab(count:1481047, index:1518953)
Illini_Bluffs              Vocab(count:2636947, index:363053)

请注意,复合词和常见的 n-gram 用下划线字符("_")连接在一起。还请注意,键值映射中的“值”是一个包含词的索引位置的 gensim Vocab 对象,因此您可以检索 Word2Vec 向量,但还包括它在 Google 新闻语料库中出现的次数。

正如你之前所看到的,如果你想检索特定词的 300-D 向量,你可以在这个 KeyedVectors 对象上使用方括号 *getitem* 任何词或 n-gram:

>>> wv['Illini']
array([ 0.15625   ,  0.18652344,  0.33203125,  0.55859375,  0.03637695,
       -0.09375   , -0.05029297,  0.16796875, -0.0625    ,  0.09912109,
       -0.0291748 ,  0.39257812,  0.05395508,  0.35351562, -0.02270508,
       ...
       ])

我们选择第 100 万个词(按词典字母顺序)的原因是因为前几千个 "词" 是类似 "#####" 和其他符号的标点符号,在谷歌新闻语料库中经常出现。我们只是幸运地发现了 "Illini" 出现在你的列表中。单词 "Illini" 指的是一群人,通常是足球运动员和球迷,而不是像 "Illinois" 那样的单一地理区域 —— 大多数 "Fighting Illini" 的球迷生活在那里。让我们看看这个 "Illini" 向量跟 "Illinois" 向量有多接近:

清单 6.7 "Illinois" 和 "Illini" 之间的距离
>>> import numpy as np
>>> np.linalg.norm(wv['Illinois'] - wv['Illini'])  # #1
3.3653798
>>> cos_similarity = np.dot(wv['Illinois'], wv['Illini']) / (
...     np.linalg.norm(wv['Illinois']) *\
...     np.linalg.norm(wv['Illini']))  # #2
>>> cos_similarity
0.5501352
>>> 1 - cos_similarity # #3
0.4498648

这些距离意味着单词 "Illini" 和 "Illinois" 在含义上只是适度接近的。

现在让我们检索所有美国城市的 Word2Vec 向量,这样你就可以使用它们的距离将它们绘制到一个意义的二维地图上。你将如何在那个 KeyedVectors 对象中找到所有城市和州的词汇表?你可以像在上一个清单中一样使用余弦距离来找到所有接近 "state" 或 "city" 的词的向量。

但是,与其阅读全部 300 万个词和词向量,不如加载另一个数据集,其中包含来自世界各地的城市和州(地区)列表。

清单 6.8 一些美国城市数据
>>> from nlpia.data.loaders import get_data
>>> cities = get_data('cities')
>>> cities.head(1).T
geonameid                       3039154
name                          El Tarter
asciiname                     El Tarter
alternatenames     Ehl Tarter,Эл Тартер
latitude                        42.5795
longitude                       1.65362
feature_class                         P
feature_code                        PPL
country_code                         AD
cc2                                 NaN
admin1_code                          02
admin2_code                         NaN
admin3_code                         NaN
admin4_code                         NaN
population                         1052
elevation                           NaN
dem                                1721
timezone                 Europe/Andorra
modification_date            2012-11-03

来自 Geocities 的这个数据集包含大量信息,包括纬度、经度和人口。你可以用它进行一些有趣的可视化或地理距离与 Word2Vec 距离的比较。但是现在你只是尝试将 Word2Vec 距离映射到二维平面上,并看看它是什么样子的。现在让我们专注于美国:

清单 6.9 一些美国州数据
>>> us = cities[(cities.country_code == 'US') &\
...     (cities.admin1_code.notnull())].copy()
>>> states = pd.read_csv(\
...     'http://www.fonz.net/blog/wp-content/uploads/2008/04/states.csv')
>>> states = dict(zip(states.Abbreviation, states.State))
>>> us['city'] = us.name.copy()
>>> us['st'] = us.admin1_code.copy()
>>> us['state'] = us.st.map(states)
>>> us[us.columns[-3:]].head()
                     city  st    state
geonameid
4046255       Bay Minette  AL  Alabama
4046274              Edna  TX    Texas
4046319    Bayou La Batre  AL  Alabama
4046332         Henderson  TX    Texas
4046430           Natalia  TX    Texas

现在,除了缩写外,你还可以为每个城市提供完整的州名。让我们检查一下那些州名和城市名是否存在于你的 Word2Vec 词汇表中:

>>> vocab = pd.np.concatenate([us.city, us.st, us.state])
>>> vocab = np.array([word for word in vocab if word in wv.wv])
>>> vocab[:10]

即使你只看美国城市,你也会发现很多同名的大城市,比如俄勒冈州的波特兰和缅因州的波特兰。所以让我们将该城市所在州的本质合并到你的城市向量中。要结合 Word2Vec 中词的含义,你需要将向量相加。这就是 "类比推理" 的魔力。

这是将各州的 Word2Vec 向量添加到城市向量中并将所有这些新向量放入一个大的 DataFrame 的一种方法。我们使用州的全名或缩写(在你的 Word2Vec 词汇表中的任何一个)。

清单 6.10 用美国州词向量扩充城市词向量
>>> city_plus_state = []
>>> for c, state, st in zip(us.city, us.state, us.st):
...     if c not in vocab:
...         continue
...     row = []
...     if state in vocab:
...         row.extend(wv[c] + wv[state])
...     else:
...         row.extend(wv[c] + wv[st])
...     city_plus_state.append(row)
>>> us_300D = pd.DataFrame(city_plus_state)

根据你的语料库,你的词关系可以代表不同的属性,例如地理接近性或文化或经济相似性。但是这些关系在很大程度上取决于训练语料库,并且它们会反映出语料库。

词向量是有偏的!

词向量是根据训练语料库中的词关系进行学习的。如果你的语料库是关于金融的,那么你的"银行"词向量主要是关于进行存款的企业。如果你的语料库是关于地质学的,那么你的"银行"词向量将会与河流和溪流有关。如果你的语料库主要是关于母系社会,有女性银行家和男性在河边洗衣服,那么你的词向量会带有性别偏见。

下面的例子展示了在 Google 新闻文章上训练的词模型的性别偏见。如果你计算"男人"和"护士"之间的距离,并将其与"女人"和"护士"之间的距离进行比较,你将能够看到这种偏见。

>>> word_model.distance('man', 'nurse')
0.7453
>>> word_model.distance('woman', 'nurse')
0.5586

辨识和补偿这样的偏差对任何在偏见世界中训练模型的 NLP 从业者来说都是一个挑战。

作为训练语料库使用的新闻文章共享一个共同组件,那就是城市的语义相似性。文章中语义上相似的地点似乎是可以互换的,因此词模型学习到它们是相似的。如果你的训练语料库不同,你的词关系可能会有所不同。

在地理上相距很远的城市,却因为大小和文化相似而聚集在一起,比如圣地亚哥和圣荷塞,或者类似度假地点的火奴鲁鲁和里诺。

幸运的是,你可以使用传统的代数方法将城市的向量加到州和州的缩写的向量中。就像你在第四章中发现的那样,你可以使用主成分分析(PCA)等工具,将你的 300 维向量维度减少为人类可理解的 2D 表示。PCA 使你能够在 2D 图中看到这些 300D 向量的投影或"阴影"。最重要的是,PCA 算法确保了这个投影是你的数据的最佳视图,尽可能地保持向量相隔较远。PCA 就像一位优秀的摄影师,在构图之前从各个可能的角度查看某物。

在对城市+州+缩写向量求和之后,甚至都不需要对向量长度进行归一化,因为 PCA 会为你处理这一切。

我们将这些"增强的"城市词向量保存在nlpia软件包中,这样你就可以加载它们在你的应用程序中使用。在下面的代码中,你可以使用 PCA 将它们投影到一个 2D 图中。

列表 6.11 美国城市的泡泡图
>>> from sklearn.decomposition import PCA
>>> pca = PCA(n_components=2)  # #1
>>> us_300D = get_data('cities_us_wordvectors')
>>> us_2D = pca.fit_transform(us_300D.iloc[:, :300])  # #2

图 6.8 显示了所有这些美国城市的 300 维词向量的 2D 投影:

图 6.9 Google 新闻 Word2Vec 300-D 向量使用 PCA 投影到 2D 地图上

美国城市词向量 PCA 图

注意

低语义距离(接近零的距离值)表示单词之间的高相似性。语义距离,或"意义"距离,由在用于训练的文档中附近出现的单词决定。如果两个术语的 Word2Vec 向量在单词向量空间中接近,则它们通常在相似的上下文中使用(与附近的相似单词一起使用)。例如,"旧金山"与"加利福尼亚"之间接近,因为它们经常在句子中附近出现,并且它们附近使用的单词的分布是相似的。两个术语之间的大距离表达了共享上下文和共享意义的低可能性(它们在语义上不相似),例如"汽车"和"花生"。

如果你想要探索图 6.8 中显示的城市地图,或者尝试绘制一些自己的向量,列表 6.12 展示了如何操作。我们为 Plotly 的离线绘图 API 构建了一个包装器,应该可以帮助处理您已经将数据"去规范化"的 DataFrame。Plotly 包装器期望一个 DataFrame,其中每个样本都有一行,并且每个特征都有一列。这些特征可以是分类特征(如时区)和连续的实值特征(如城市人口)。由此产生的绘图是交互式的,对于探索许多类型的机器学习数据特别有用,尤其是复杂事物(如单词和文档的向量表示)的向量表示。

列表 6.12 美国城市单词向量的气泡图
>>> import seaborn
>>> from matplotlib import pyplot as plt
>>> from nlpia.plots import offline_plotly_scatter_bubble
>>> df = get_data('cities_us_wordvectors_pca2_meta')
>>> html = offline_plotly_scatter_bubble(
...     df.sort_values('population', ascending=False)[:350].copy()\
...         .sort_values('population'),
...     filename='plotly_scatter_bubble.html',
...     x='x', y='y',
...     size_col='population', text_col='name', category_col='timezone',
...     xscale=None, yscale=None,  # 'log' or None
...     layout={}, marker={'sizeref': 3000})
{'sizemode': 'area', 'sizeref': 3000}

要生成您的 300-D 单词向量的 2D 表示,您需要使用降维技术。我们使用了 PCA。为了减少从 300-D 到 2D 的压缩过程中丢失的信息量,减少输入向量中包含的信息范围是有帮助的。因此,您限制了您的单词向量与城市相关联。这就像在计算 TF-IDF(词频 - 逆文档频率)或 BOW(词袋模型)向量时,限制了语料库的领域或主题。

对于具有更大信息量的更多种类的向量混合,您可能需要一种非线性嵌入算法,例如 t-SNE(t-分布随机近邻嵌入)。我们将在后面的章节中讨论 t-SNE 和其他神经网络技术。一旦你掌握了这里的单词向量嵌入算法,t-SNE 就会更有意义。

6.5.5 建立联系

在这一部分,我们将构建所谓的图(graph)。图数据结构非常适合表示数据中的关系。从本质上讲,一个图可以被描述为具有通过关系(edges)连接在一起的实体(节点或顶点)。社交网络是最适合存储数据的图数据结构的典型例子。在本节中,我们将使用一种特定类型的图,即无向图。这种类型的图是指关系没有方向。一个非定向关系的例子可以是两个人之间在 Facebook 上的朋友关系,因为彼此之间没有互相认可的话,其中一个人不能成为另一个人的朋友。另一种类型的图是定向图。这种类型的图具有单向关系。在 Twitter 上的粉丝或关注者就是这种关系的一个例子。你可以关注某人而不被他们关注回来,因此你可以有粉丝而不必互相认可这种关系。

要在本章中可视化思想和思考之间的关系,您可以创建一个无向图,其中连句具有相似含义的句子之间有连接(边缘)。您将使用一个力导向布局引擎,将所有相似的概念节点推到一起形成簇。但首先,您需要为每个句子创建某种嵌入。句子旨在包含一个单一的思想,您将如何使用词嵌入为句子创建一个嵌入?

您可以将在前几节中学到的关于词嵌入的知识应用到创建句子嵌入。您只需对句子中的每个单词的嵌入求平均,就可以为每个句子创建一个单一的 300 维嵌入。

极端概括

句子嵌入或思维向量实际上包含了什么?这取决于您如何创建它。您已经知道如何使用 SpaCy 和 nessvec 创建词嵌入。您可以通过对句子中所有单词的嵌入求平均来创建句子嵌入;

from nessvec.files import load_glove

从 NLPiA 手稿中提取自然语言

您可以从 nlpia2 项目(gitlab.com/tangibleai/nlpia2/)的src/nlpia2/data/manuscript目录中以 adoc 格式下载本书的任何章节。这里的示例将使用第六章的 adoc 手稿。如果您自己编写一本书或软件文档,请不要这样做。在文本中嵌入代码并用该代码处理您正在处理的文本的递归循环会让您的大脑崩溃。但现在您可以享受所有这些头痛的成果,通过处理您现在正在阅读的文字。

示例 6.13 从nlpia2仓库下载 adoc 文本
>>> import requests
>>> repo = 'https://gitlab.com/tangibleai/nlpia2/-/raw/main'
>>> name = 'Chapter-06_Reasoning-with-word-embeddings-word-vectors.adoc'
>>> url = f'{repo}/src/nlpia2/data/{name}'
>>> adoc_text = requests.get(url)

现在您需要将该文本保存到一个.adoc 文件中,以便您可以使用命令行工具将其呈现为 html。

示例 6.14 将 adoc 字符串写入磁盘
>>> from pathlib import Path
>>> path = Path.cwd() / name
>>> with path.open('w') as fout:
...     fout.write(adoc_text)

现在,您希望将adoc文本转换为 HTML,以便更容易将自然语言文本与格式化字符和其他“不自然”文本分开。您可以使用名为Asciidoc3的 Python 软件包将任何AsciiDoc(.adoc)文本文件转换为 HTML。

列表 6.15 将 AsciiDoc 文件转换为 HTML
>>> import subprocess
>>> subprocess.run(args=[   # #1
...     'asciidoc3', '-a', '-n', '-a', 'icons', path.name])

现在,您已经有了一个 HTML 文本文件,可以使用BeautifulSoup软件包提取文本。

>>> if os.path.exists(chapt6_html) and os.path.getsize(chapt6_html) > 0:
...     chapter6_html = open(chapt6_html, 'r').read()
...     bsoup = BeautifulSoup(chapter6_html, 'html.parser')
...     text = bsoup.get_text()  # #1

现在,您已经有了本章的文本,可以运行spaCy的小型英语语言模型以获得句子嵌入向量。spaCy将在Doc对象内对token向量进行平均。^([55]) 除了获取句子向量外,您还希望获取每个句子的名词短语^([56])^([57]),这些短语将成为句子向量的标签。

列表 6.16 使用 spaCy 获取句子嵌入和名词短语
>>> import spacy
>>> nlp = spacy.load('en_core_web_md')
>>> config = {'punct_chars': None}
>>> nlp.add_pipe('sentencizer', config=config)
>>> doc = nlp(text)
>>> sentences = []
>>> noun_phrases = []
>>> for sent in doc.sents:
...     sent_noun_chunks = list(sent.noun_chunks)
...     if sent_noun_chunks:
...         sentences.append(sent)
...         noun_phrases.append(max(sent_noun_chunks))
>>> sent_vecs = []
>>> for sent in sentences:
...    sent_vecs.append(sent.vector)

现在,您已经有了句子向量和名词短语,您应该对句子向量进行标准化^([58]),以使所有向量的长度(或2-范数)为 1。计算 2-范数的方式与计算直角三角形对角线的长度相同,您将各个维度长度的平方相加,然后对这些平方和取平方根。

>>> import numpy as np
>>> vector = np.array([1, 2, 3, 4])  # #1
>>> np.sqrt(sum(vector**2))
5.47...
>>> np.linalg.norm(vector)  # #2
5.47...

对 300 维向量中的数据进行标准化可以将所有值调整到相同的尺度,同时保留它们之间的差异。^([59])

列表 6.17 使用 NumPy 对句子向量嵌入进行标准化
>>> import numpy as np
>>> for i, sent_vec in enumerate(sent_vecs):
...     sent_vecs[i] = sent_vec / np.linalg.norm(sent_vec)

在将句子向量进行标准化后,您可以计算所有这些向量之间以及与彼此的相似性。当您计算列表中所有可能的对象对之间的成对相似性时,会生成一个称为相似性矩阵关联矩阵的方阵。^([60]) 如果您使用每个向量与其他所有向量的点积进行计算,则计算的是您在之前章节中熟悉的余弦相似度。

列表 6.18 获取相似性/关联矩阵
>>> np_array_sent_vecs_norm = np.array(sent_vecs)
>>> similarity_matrix = np_array_sent_vecs_norm.dot(
...     np_array_sent_vecs_norm.T)  # #1

相似度矩阵通过将句子嵌入的标准化矩阵(N维,300 个维度)与其自身的转置进行点积计算得到。这样就得到了一个形状为 NN 的矩阵,矩阵的每一行和列都对应本章中的一个句子。矩阵的上半对角线和下半对角线的值完全相同。这是由于乘法的交换律。无论你如何进行乘法或相似度计算,一个向量与另一个的相似度是相同的。

使用相似度矩阵,您现在可以创建一个无向图,使用句子向量之间的相似性来创建那些相似的句子之间的图边。下面的代码使用一个名为NetworkX的库来创建无向图数据结构。在内部,数据存储在嵌套的字典中 - 一种字典的字典的字典... - "一直到底的字典"。就像链表一样,嵌套的字典允许快速查找稀疏数据。您使用点积计算了相似度矩阵作为密集矩阵,但需要将其变为稀疏矩阵,因为您不希望图中的每个句子都与其他句子相连接。您将会打破那些相距很远(相似度低)的句子对之间的连接。

列表 6.19 创建无向图
>>> import re
>>> import networkx as nx
>>> similarity_matrix = np.triu(similarity_matrix, k=1)  # #1
>>> iterator = np.nditer(similarity_matrix,
...     flags=['multi_index'], order='C')
>>> node_labels = dict()
>>> G = nx.Graph()
>>> pattern = re.compile(
...    r'[\w\s]*[\'\"]?[\w\s]+\-?[\w\s]*[\'\"]?[\w\s]*'
...    )  # #2
>>> for edge in iterator:
...     key = 0
...     value = ''
...     if edge > 0.95:  # #3
...         key = iterator.multi_index[0]
...         value = str(noun_phrases[iterator.multi_index[0]])
...         if (pattern.fullmatch(value)
...             and (value.lower().rstrip() != 'figure')):
...                 node_labels[key] = value
...         G.add_node(iterator.multi_index[0])
...         G.add_edge(iterator.multi_index[0],
...             iterator.multi_index[1], weight=edge)

有了全新的图(网络),您现在可以使用matplotlib.pyplot来可视化它。

列表 6.20 绘制无向图
>>> import matplotlib.pyplot as plt
>>> plt.subplot(1, 1, 1)  # #1
>>> pos = nx.spring_layout(G, k=0.15, seed=42)  # #2
>>> nx.draw_networkx(G,
...    pos=pos,  # #3
...    with_labels=True,
...    labels=node_labels,
...    font_weight='bold')
>>> plt.show()

最后,您可以看到您的无向图如何展示了本书自然语言中的概念集群!力导向图中的弹簧根据它们与其他概念的连接将相似的概念拉在一起。每个节点代表本章句子的平均词嵌入。而(或线)表示那些意思相似的句子之间的连接。从绘图中可以看出,中心的大集群节点(句子)连接得最多。而中心集群外还有其他更小的集群节点,如体育和城市等主题。

图 6.10 用词嵌入连接概念

带有加粗标签的第六章邻接图

中心密集的概念集群应包含关于本章主要思想及其关系的一些信息。放大后,您会看到这些段落大多关于用词和数字来表示词汇,因为这正是本章所讨论的内容。

图 6.11 第六章中心放大的无向图绘制

带有加粗标签的第六章中心放大邻接图

本章的结尾包括一些练习,供您练习本节所涵盖的内容。

6.5.6 不自然的词汇

诸如 Word2Vec 之类的词嵌入不仅对英语单词有用,而且对于任何表示符号序列的符号都有用,其中符号序列和符号的接近程度代表它们的含义。如果您的符号具有语义,那么嵌入可能会有用。正如您可能已经猜到的那样,词嵌入也适用于英语以外的其他语言。

嵌入还适用于象形文字,比如中国传统文字和日本汉字,以及埃及墓穴中神秘的象形文字。嵌入和基于向量的推理甚至适用于试图混淆词义的语言。您可以对一个大量收集而来的从“Pig Latin”转录的“秘密”消息或由儿童或罗马帝王发明的任何其他语言进行基于向量的推理。像 RO13 这样的凯撒密码^([63])或替换密码^([64]) 都容易受到 Word2Vec 的基于向量的推理的攻击。你甚至不需要一个解码器环(如图 6.9 所示)。您只需要一个可以处理的大量消息或n-grams 的 Word2Vec 嵌入器,以找到单词或符号的共现。

图 6.12 解码器环

解码器环

Word2Vec 甚至可以从非自然的词或 ID 号码(如大学课程号码(CS-101)、型号号码(Koala E7270 或 Galaga Pro)以及序列号、电话号码和邮政编码)中获取信息和关系。^([65]) 要获取关于此类 ID 号码间关系的最有用信息,您需要一系列包含这些 ID 号码的语句。如果 ID 号码经常包含具有意义的符号位置结构,将这些 ID 号码标记为最小的语义包(例如自然语言中的词或音节)可以提供帮助。

6.6 小结

  • 词向量和面向向量的推理可以解决一些令人惊讶的微妙问题,如类比问题和单词之间的非同位关系。

  • 要使您的词向量保持最新并提高其与您感兴趣的当前事件和概念的相关性,可以使用gensim或 PyTorch 重新训练和微调您的词嵌入。

  • nessvec软件包是一个有趣的新工具,可以帮助您找到舌尖上的词或可视化一个单词的“角色卡”。

  • 词嵌入可以揭示人名、地名、商号甚至职业名称中一些意外的隐藏含义。

  • 对城市和国家的词向量进行 PCA 投射,可以揭示地理上相距遥远的地方之间的文化亲近程度。

  • 将潜在语义分析向量转化为更强大的词向量的关键在于在创建n-grams 时尊重句子边界。

  • 机器只需使用预训练的词嵌入就能轻松通过标准化测试中的词类比部分。

6.7 自我测试

  1. 使用预训练的词嵌入,仅根据自然语言摘要,计算 Dota 2 英雄的力量、敏捷性和智力。^([66])

  2. 在本书的另一章节(或任何其他文本)中可视化概念之间的连接图,从而更好地理解它们。

  3. 尝试结合这本书所有章节的词嵌入图形可视化。

  4. 给出示例,说明词向量如何使得霍夫斯塔德的智能八要素中至少两个成为可能。

  5. Fork nessvec 存储库并创建您自己喜欢的词或著名人物的可视化或 nessvector“角色卡”。也许是您的英雄的“正念”、“道德”、“善意”或“影响力”?人类是复杂的,用来描述他们的词是多维的。

  6. 使用 PCA 和词嵌入创建一些城市或靠近您位置的物体的二维地图。尝试将二元词组合作为一个单独的点,然后分别作为每个词的两个单独的点。地理词的位置是否在某种程度上对应其地理位置?非地理词呢?

[1] 感谢马克·福斯特对我的混乱善意的影响以及对世界的影响!

[2] Papers With Code 上的表示学习方法( paperswithcode.com/area/methodology/representation-learning

[3] "This is your brain on drugs"( en.wikipedia.org/wiki/This_Is_Your_Brain_on_Drugs

[4] 请查看《Node Embeddings》作者泰德·凯为圣地亚哥机器学习读书会所做的总结( github.com/SanDiegoMachineLearning/bookclub/blob/master/graph/graphml-05-GNN1.pdf

[5] 由 Lisa Beinborn 编写的《语言-大脑编码实验的稳健评估》( arxiv.org/abs/1904.02547)( beinborn.eu/

[6] 脚注:“将人类认知模式与 NLP 模型联系起来”) 采访了 Lisa Beinborn( beinborn.eu/

[7] 康奈尔大学的 T.米切尔等人撰写的《永不止步的语言学习》( proai.org/NELL_aaai15.pdf

[8] 维基百科上关于“神经语言编程”的解释( en.wikipedia.org/wiki/Neuro-linguistic_programming

[9] 'r/NLP' subreddit( www.reddit.com/r/NLP

[10] 在'r/NaturalLanguage/'上有一个真正的 NLP subreddit( www.reddit.com/r/NaturalLanguage

[11] 丹尼尔·丹尼特的《直觉泵及其他思维工具》第 96 页

[12] Papers With Code 上有关“词嵌入”的主题( paperswithcode.com/task/word-embeddings

[13] 斯坦福开源的 GloVE 算法的 C 版本( github.com/stanfordnlp/GloVe)和 Python 版本( github.com/lapis-zero09/compare_word_embedding/blob/master/glove_train.py

[14] Startpage 隐私保护网络搜索(www.startpage.com/

[15] DISROOT 非营利搜索引擎(search.disroot.org

[16] Wolfram Alpha 采用最先进的自然语言处理技术(wolframalpha.com/

[17] ElasticSearch 后端源代码(github.com/elastic/elasticsearch)和前端 SearchKit 演示(demo.searchkit.co/type/all?query=prosocial%20AI

[18] Meilisearch 源代码和自托管 Docker 镜像(github.com/meilisearch/meilisearch)以及托管服务(www.meilisearch.com/

[19] SearX git 仓库(github.com/searx/searx

[20] Apache Solr 主页和 Java 源代码(solr.apache.org/

[21] Apache Lucene 主页(lucene.apache.org/

[22] Qwant 网络搜索引擎位于法规保护您免受操纵和欺骗的欧洲(www.qwant.com/

[23] Sphinx 主页和 C 源代码(sphinxsearch.com/

[24] Cole Thienes 和 Jack Pertschuk 的《如何在 3 分钟内构建语义搜索引擎》(mng.bz/yvjG

[25] PynnDescent Python 软件包(pypi.org/project/pynndescent/

[26] 如果你不相信我们,请尝试它们全部。

[27] 查看维基百科文章(en.wikipedia.org/wiki/John_Rupert_Firth

[28] “在向量空间中高效估计词表示”2013 年 9 月,Mikolov、Chen、Corrado 和 Dean(arxiv.org/pdf/1301.3781.pdf)。

[29] 查看名为“无监督特征学习和深度学习教程”的网页(ufldl.stanford.edu/tutorial/unsupervised/Autoencoders/)。

[30] 查看 Tomas Mikolov、Wen-tau Yih 和 Geoffrey Zweig 的《连续空间词表示中的语言学规律》PDF(www.aclweb.org/anthology/N13-1090)。

[31] 查看 Radim Řehůřek 对 Tomas Mikolov 的采访(rare-technologies.com/rrp#episode_1_tomas_mikolov_on_ai)。

[32] 查看“ICRL2013 开放评论”(openreview.net/forum?id=idpCdOWtqXd60&noteId=C8Vn84fqSG8qa)。

[33] 您可以在mng.bz/M5G7找到生成这些交互式二维词图的代码。

[34] 请参阅第三部分“思考意义或内容的工具”第 59 页和第十五章“爸爸是医生”第 p. 页,书名为《直觉泵和其他思维工具》,作者丹尼尔·丹尼特(Daniel C. Dennett)

[35] 请查看标题为 "GitHub - 3Top/word2vec-api: Simple web service providing a word embedding model" 的网页(github.com/3Top/word2vec-api#where-to-get-a-pretrained-model)。

[36] Google Drive 上的原始 Google 300D Word2Vec 模型(drive.google.com/file/d/0B7XkCwpI5KDYNlNUTTlSS21pQmM

[37] 请查看标题为 "GitHub - facebookresearch/fastText: Library for fast text representation and classification." 的网页(github.com/facebookresearch/fastText)。

[38] 维基百科关于 Bayard Rustin(en.wikipedia.org/wiki/Bayard_Rustin)和 Larry Dane Brimner(en.wikipedia.org/wiki/Larry_Dane_Brimner)的条目,Bayard Rustin 是一位民权领袖,Larry Dane Brimner 是 150 多本儿童书籍的作者。

[39] 由 Tomas Mikolov 团队撰写的论文提供了更多细节(arxiv.org/pdf/1310.4546.pdf)。

[40] 请参阅 gitlab.com/tangibleai/nlpia2 上的 README 文件以获取安装说明。

[41] Google 在此处托管了由 Mikolov 在 Google Drive 上训练的原始模型 here

[42] 《表面与本质:类比作为思维的燃料和火焰》,作者道格拉斯·霍夫斯塔德(Douglas Hoffstadter)和埃曼纽尔·桑德(Emmanuel Sander)。

[43] Morse 检测器,由凯尔·戈尔曼(Kyle Gorman)和俄勒冈卫生科学大学(OHSU)开发,可在 pypi 上找到,并在 github.com/cslu-nlp/DetectorMorse 查看。

[44] 斯坦福 GloVe 项目(nlp.stanford.edu/projects/glove/)。

[45] 有关奇异值分解的更多细节,请参阅第五章和附录 C。

[46] 《GloVe:全球词向量表示》,作者 Jeffrey Pennington、Richard Socher 和 Christopher D. Manning:nlp.stanford.edu/pubs/glove.pdf

[47] Gensim 对 Word2Vec 和 GloVe 性能的比较:rare-technologies.com/making-sense-of-Word2Vec/#glove_vs_word2vec

[48] 将子词信息与词向量丰富化,由 Bojanowski 等人撰写:arxiv.org/pdf/1607.04606.pdf

[49] 请查看标题为 "fastText/pretrained-vectors.md" 的网页(github.com/facebookresearch/fastText/blob/main/docs/pretrained-vectors.md)。

[50] 彼得·诺维格(Peter Norvig)提供的拼写纠正代码和解释(norvig.com/spell-correct.html

[51] SpaCy 中等语言模型文档(spacy.io/models/en#en_core_web_md

[52] Nessvec 源代码(gitlab.com/tangibleai/nessvec)和教程视频(proai.org/nessvec-videos

[53] Niel Chah 的 word2vec4everything 仓库(github.com/nchah/word2vec4everything

[54] 请查看标题为 '图(抽象数据类型)' 的 Wiki 页面:en.wikipedia.org/wiki/Graph_(abstract_data_type)

[55] spaCy 的 Span 对象的向量属性默认为标记向量的平均值(spacy.io/api/span#vector

[56] 请查看标题为 '名词短语' 的 Wiki 页面:en.wikipedia.org/wiki/Noun_phrase

[57] spaCy 的 Span.noun_chunks:spacy.io/api/span#noun_chunks

[58] 请查看标题为 '范数(数学)— 欧几里得范数' 的 Wiki 页面:en.wikipedia.org/wiki/Norm_(mathematics)#Euclidean_norm

[59] 请查看标题为 '为什么数据标准化对机器学习模型是必要的' 的网页:mng.bz/aJ2z

[60] 请查看标题为 '亲和矩阵' 的网页:deepai.org/machine-learning-glossary-and-terms/affinity-matrix

[61] 欲获取更多信息,请查看 NetworkX 网页:networkx.org/

[62] NetworkX 文档有更多细节(networkx.org/documentation/stable/reference/introduction.html#data-structure

[63] 欲查看标题为 "凯撒密码 - 维基百科" 的网页,请访问(en.wikipedia.org/wiki/Caesar_cipher

[64] 欲查看标题为 "替换密码 - 维基百科" 的网页,请访问(en.wikipedia.org/wiki/Substitution_cipher

[65] 请查看 Kwyk 撰写的文章 "Word2Vec 的非 NLP 应用 - Towards Data Science"(archive.ph/n5yw3)。

[66] nessvecnlpia2 包包含 FastText、GloVE 和 Word2vec 加载器(gitlab.com/tangibleai/nessvec),而 nlpia2 包含用于下载 Dota 2 角色卡的 ch06_dota2_wiki_heroes.hist.pygitlab.com/tangibleai/nlpia2/-/blob/main/src/nlpia2/etl/ch06_dota2_wiki_heroes.hist.py)。