面向企业的 ChatGPT 究极手册:第五章到第六章

154 阅读1小时+

原文:Ultimate ChatGPT Handbook for Enterprises

译者:飞龙

协议:CC BY-NC-SA 4.0

第五章:高级 GPT 提示工程技术

[介绍]

回顾我们之前的讨论,我们已经深入探讨了 ChatGPT 启用的人工智能能力,见于*第二章,CapabilityGPT – 一个 ChatGPT 的企业人工智能能力框架,并且在第三章,ChatGPT 对企业的影响中审视了它们对企业角色的变革性影响。我们还在第四章,GPT 模型赋能的架构模式*中看到了这些先进能力,当与正确的解决方案架构模式结合时,可以引领一个新一代的智能系统。掌握这些人工智能能力的核心是提示工程的实践,即有效地与 GPT 模型进行交流的技术。

无论在什么情境下,提示工程都是至关重要的——无论是与 ChatGPT 聊天机器人进行简单交互,开发以 GPT 为核心的专业应用程序,还是利用像 Microsoft Copilot 这样增强了 GPT 的企业解决方案。这个过程是制定精确、具有上下文相关性的提示,使我们能够从模型中产生期望的回应。

有三种主要技术,指令提示、查询提示和多智能体提示,每种技术都在与 GPT 模型交流时解决独特的挑战和场景。

我们从指令提示开始探索。这一技术牢固地基于在*第二章*中介绍的 CapabilityGPT 框架,它提出了一种结构化方法,用于向 GPT 模型传达特定的任务或行动。随后的深入剖析将通过其三种变体:单一指令、指令序列和伪代码指令来导航,它们的有效性将通过强调它们实际应用的现实世界例子得以展现。

接下来,我们转向查询提示,这是一种在探索和分析场景中有用的技术,也是在面对模糊和不完整信息时有用的技术。在本节中,我们区分各种查询类型,包括寻求信息、比较、预测和假设性查询,并为每种查询类型提供详细的示例。

最后,我们深入探讨多智能体提示。在其核心,这种技术在任务无法严格定义的情况下表现出色,需要多个人工智能代理的专业知识和有效协作。本节提供了潜在概念的定义,并在企业环境中提供了详细的实际示例。

需要注意的是,本章讨论的提示工程技术是特定于 ChatGPT 及其之后的 GPT 模型的,目前包括 ChatGPT 和 GPT-4。

结构

在本章中,将涵盖以下主题:

  • 指令提示

  • 查询提示

  • 多智能体提示

指令提示

在本节中,我们首先探讨指令提示模式,这是 GPT 模型交互的精确引导蓝图。然后,我们提供多个实际示例,说明其在企业场景中的应用。

指令提示模式

指令提示模式是在*第二章,CapabilityGPT – 一个 ChatGPT 的企业人工智能能力框架*中引入的人工智能能力框架的基础上构建的,它提出了一种系统的方法来引导 GPT 模型产生深入、具有上下文意识和精确的输出。让我们深入探讨每个模式组件:

  • 专家角色:这个基本要素勾勒了 GPT 模型在其回应中应展现的专业知识和角色。专家角色可以被构想为一个个体或一个团队,拥有多样但互补的技能:

  • 个人角色:重点是单一的专业技能集,比如“营销公司的业务分析师”或“专门从事数据分析的 AI 代理”。在这种情况下,模型将利用其预训练的知识,以满足专业背景和情境理解的要求,发挥专业知识和观点。

  • 团队角色:例如“教师、学生和家长的协作团队”或“由开发人员、设计师和项目经理组成的跨职能团队”,涵盖了多样化观点和经验的协同作用。在这里,GPT 模型试图促进协作方法,牢记每个角色贡献的独特见解。

  • 背景:这个组成部分包括引导 GPT 模型更准确和适当地回应的外部或用户提供的信息。它可能涉及背景信息或特定情景的细节;例如,“我们公司上季度推出了三个营销活动。”背景信息显著有助于定位 GPT 模型的理解和回应,并有助于减少幻觉的风险,即生成与提供的输入或其预训练数据不符的信息。

  • 任务规范:这个组成部分作为详细的指令,定义了 GPT 模型需要采取的行动或一系列行动。指令的性质和结构可能因任务复杂性、所需的精度以及任务是否涉及单个步骤或多个步骤而有所不同。这类指令有三种不同的格式:

  • 单一指令:这些指令符合 CapabilityGPT 框架中定义的 AI 能力,指导 GPT 模型利用其多样化的能力,如评估、分类或沟通。例如,一条指令可能是:“评估这些广告活动的表现,并找出改进的方向。”

  • 指令序列:这种格式涉及一系列指令,每个指令对应一个特定的 AI 能力。该序列指导 GPT 模型完成多个任务,旨在解决复杂问题或实现详细目标。每个指令都作为整体任务进展的一个阶段,其中一个指令的输出作为下一个指令的输入。一个例子是:“1. 从提供的财务报告中提取季度销售数据。2. 从提取的数据中识别任何销售趋势或模式。3. 根据识别的趋势,预测下一个季度的销售额。”

  • 伪代码指令:伪代码将自然语言和编程语言联系起来,提供了算法的高级描述,而不必遵循严格的编程语法。这确保了对 GPT 模型的清晰和精确的指令。通过伪代码,诸如“if-then-else”条件和“for”或“while”循环等结构可以无缝集成,使模型能够高效而明确地处理复杂的多步任务。一个相关的例子是:

对于文章中的每个段落

如果段落中包含“重要”一词

提取段落的主要思想

如果

结束对于

将提取的想法编译成简要摘要

返回摘要

  • 执行规则:执行规则提供潜在的指导,引导 GPT 模型在任务执行过程中进行思考和决策。这些规则包括问题解决方法、数据收集技术、道德考虑、协作实践和进化原则。它们可以适用于整个指令序列,也可以针对每个指令步骤有所不同。每个规则类别都包含具体的示例,以进一步澄清其意图和应用。以下是详细说明:

  • 问题解决和推理:

  • “让我们一步一步地思考”:确保 GPT 模型执行逐步的思考过程,并在生成最终输出之前记录每一步的上下文。

  • “让我们首先了解问题并制定解决方案的计划。然后,让我们执行计划,一步一步地解决问题”:指示 GPT 模型为任务生成行动计划,然后遵守该计划,依次执行每个动作。

  • “考虑所有潜在解决方案”:鼓励 GPT 模型探索多种解决方案,而不仅仅专注于最明显或首先识别到的解决方案。

  • “在决定之前权衡利弊”:指示 GPT 模型评估每种解决方案或方法的利弊,确保更加平衡的决策过程。

  • “从列举潜在结果开始”:指导 GPT 模型在深入分析之前,通过列举可能的结果或情景来开始其思考过程。

  • “系统地参考可用数据”:指示模型仔细核对其掌握的每一条信息,确保在推理过程中没有遗漏任何细节。

  • “用新的见解更新假设”:提示模型随着提供更多数据或背景,完善其最初的预测或结论,鼓励推理过程中的适应性。

  • 数据收集:

  • “仔细问我信息性问题,以最大化你对这一事件的信息,这样,当你得到所有答案时,你就可以做 X”:确保 GPT 模型提出最有效的问题,以最大化信息获取。

  • “每次只问一个问题,不给出答案”:限制 GPT 模型一次只能提出一个问题,允许后续问题建立在先前的回答基础上。

  • “在继续之前验证数据完整性”:鼓励模型确保其收集的信息准确、完整,没有被篡改或误导。

  • 遵守道德标准:

  • “消除特定偏见”:指示模型主动避免任何形式的偏见,无论是人口统计学、社会经济、文化、种族、性别等,在生成输出时。

  • “拒绝个人可识别信息(PII)”:确保 GPT 模型不接受提示中的任何 PII 数据。

  • “促进公平和包容”:指导模型产生公平和包容的输出,代表多元化的观点,避免边缘化。

  • “避免有害或冒犯性内容”:指示模型过滤任何可能对任何个人或群体有害、误导或冒犯的内容。

  • “认识并披露局限性”:鼓励模型承认其局限性,并在适当的情况下提供免责声明或建议用户寻求专家意见。

  • 合作规则:在由专家角色组成的团队执行的任务中,合作规则指导不同角色之间的互动和协同作用,以促进建设性和平衡的对话。在这里,我们详细介绍鼓励结构化合作的规则:

  • “进行协作综合”:鼓励专家角色团队共同合作,将他们各自的见解整合成一致的回应。例如,教师、学生和家长可以汇集他们独特的观点,构建基于人工智能学习的多方面解决方案。

  • “采取基于角色的视角”:鼓励专家角色团队的每个成员从其特定角度提供意见,促进对所讨论问题的更深入理解。

  • “建立共识”:指导专家角色团队努力寻找共同点,鼓励一种和谐的方法,尊重并整合所有团队成员的观点。

  • **‘解决冲突’:**指导团队高效地解决分歧,促进一个不同观点可以和谐共存的协作环境。

  • **应用进化原理:**指导 GPT 模型利用模拟自然选择过程的进化方法,以迭代地改进解决方案,生成或改进输出。在应用这些原理时,用户应指定:

  • **‘使用此初始解决方案:’:**指导 GPT 模型从指定的起点开始其演化过程。例如,当为新的跑车生成口号时,可以以“绿色和快速。不再矛盾”开始。

  • **‘执行次进化步骤’:**指示模型应进行的精确改进次数。举例来说,为了改进口号,模型可能被指示进行 20 次进化步骤。

  • **‘通过此适应度函数评估’:**命令模型根据设定的标准评估其输出。在口号创作领域,这个函数可以根据口号的朗朗上口程度或其在现代生态背景下的相关性来衡量。

  • **输出约束:**这些定义了 GPT 模型生成的输出必须满足的条件。它们可以涉及格式、顺序、包含或排除某些元素、输出的大小和/或其他因素。约束可以是这样的:“输出应该是一个结构化报告,每个活动的表现和建议改进都有明确的部分。总输出不应超过 500 字。”

  • **参考案例:**基于案例的推理(CBR)是一种方法论,其中通过将新挑战与先前遇到的情况及其结果进行类比来推导新的解决方法。它涉及选择相关的参考案例,并对其进行调整以解决上下文部分描述的当前挑战。它涵盖了不同领域的广泛实际场景,并分为三种主要类型:

  • **问题解决案例:**描述了实体面临的特定问题以及随后实施的解决方案或干预措施。

  • 示例 1(零售):

  • **问题:**MegaStore 注意到他们的电子商务网站在移动设备上的购物车放弃率很高。

  • **解决方案:**MegaStore 重新设计了他们的移动结账流程,简化了步骤,并整合了更高效和流行的移动支付方式。这导致购物车放弃率在两个月内减少了 25%。

  • 示例 2(人力资源):

  • **问题:**TechCorp 意识到其员工流失率逐年增加,特别是初级员工中。

  • **解决方案:**TechCorp 实施了一项导师计划,将初级员工与资深专业人士配对。他们还引入了灵活的工作时间和持续学习机会。一年内,流失率减少了 20%。

  • **输入输出案例:**具体输入及其对应的 GPT 生成的输出的配对

  • 示例 1(媒体监测):

  • 输入:“在年度会议上,CEO 约翰·史密斯宣布与 GlobalTech 合作,创新新的人工智能解决方案。”

  • **输出(事件数据提取):**事件:合作伙伴关系公告;参与者:CEO 约翰·史密斯,GlobalTech;背景:年度会议;目标:创新新的人工智能解决方案。

  • 示例 2(能源部门):

  • **输入:**冬季增加的消费趋势和新的监管政策。

  • **输出(事件预测):**基于增加的消费趋势和新的监管政策,预计在即将到来的冬季月份能源价格将上涨。

  • **思维链案例:**详细的序列,其中初始输入经历一系列逻辑或推理步骤以得出特定输出。

  • 示例 1(供应链管理-库存重新订购):

  • **输入:**本月数据:销售 500 个单位,退货 200 个单位,在运输中损坏 50 个单位,库存 1000 个单位,补货的交货时间为 3 周,平均每周销售 150 个单位。

  • 思路:

  1. 计算净销售额:从销售单位中减去退货单位:500 - 200 = 300 个单位。

  2. 评估当前库存:考虑净销售和库存中的损坏单位:1000(起始库存)- 300(净销售)- 50(损坏)= 650 个单位。

  3. 预测未来库存:考虑平均每周销售量和当前库存:650(当前库存)-(3 周×每周 150 个单位)= 3 周后预计剩余 200 个单位。

  4. 确定补货的紧急性:如果交货时间为 3 周,那么在库存补充之前,只剩下 200 个单位。因此,必须在一周内进行补货,以避免在补货期结束之前库存不足。

  5. 评估最佳重新订购数量:考虑销售趋势、退货率和潜在损坏,对意外损坏进行缓冲是明智的。重新订购(3 周×每周 150 个单位+100 个单位缓冲)= 550 个单位似乎是合适的。

  • **输出:**为了在接下来的一个月内保持健康的库存水平并考虑到不可预见的情况,建议在一周内重新订购 550 个单位。

  • 示例 2(银行-分类案例):

  • **输入:**具有以下详细信息的贷款申请:申请人年龄:29 岁,年收入:85,000 美元,就业状况:全职,信用评分:680,现有债务:20,000 美元。

  • 思路:

  1. 评估年龄及其对贷款风险的影响。

  2. 评估年收入与潜在贷款规模的关系。

  3. 检查就业状况以确定财务稳定性。

  4. 审查信用评分以确定信用价值。

  5. 分析现有债务与收入,以了解财务负担。

  • **输出:**申请人属于“中等风险”类别,可以获得贷款批准。

  • **外部能力:**GPT 模型可以进一步利用插件和外部工具的功能来增强其功能:

  • **插件:**这些是最初为 ChatGPT 生态系统引入的专业扩展。它们专注于推动业务效率,实现数据驱动的决策,并促进智能自动化。关键类别包括探索性数据分析、文档理解、人工智能和浏览。

  • **外部工具:**代表通过指定接口可用的功能目录,这些工具促进了 GPT 模型与其他人工智能平台、搜索引擎或后端系统之间的交互。每个工具都由详细的规范定义,包括执行任务类型、参数类型、结果类型和功能。

指令提示模式在以下情况下特别有用:

  • **需要复杂问题解决方案:**在任务多方面且需要复杂解决方案的情况下,该模式确保了系统化的方法,将复杂任务分解为可管理的步骤,以提高清晰度和效果。

  • **精度至关重要:**对于那些精度和准确性至关重要的任务,指令提示模式的详细任务规范和执行规则指导模型产生精确和具有上下文意识的响应。

  • **需要特殊专业知识:**如果情境需要多样的专业技能,选择个人或团队角色可以满足特定需求的专业知识,无论是来自单一专业人士还是协作团队。

  • **期望结构化输出:**当期望结果必须符合特定格式或结构时,输出约束组件可以确保人工智能生成的内容符合定义的要求。

  • **基于案例推理是有价值的:**在可以提供有价值见解的过去情景中,该模式的参考案例提供了一种方法来利用先前知识应对新挑战。

单一指令示例

以下展示了 ChatGPT-4 在处理单一指令提示时利用指令模式的组件,展现了其多样的能力。这些示例涉及项目回顾、利益相关者管理和销售预测的领域。每个提示展示了 ChatGPT-4 的不同 AI 能力⁴:

  • 项目回顾:评估一个已完成的项目,比较了两个评估提示,其中一个提供了简洁的总结,另一个则进行了详细分析,确定了改进的领域和建议。比较表明,对评估能力的指令提示模式的组件进行具体规定,如角色、执行规则和输出约束,可以产生更详细、具体和专业的结果。

  • 利益相关者管理:在这里,ChatGPT-4 充当产品经理,说服高管支持三种产品选项之一,使用论证框架⁵。它将产品特性与利益相关者的利益相一致,为所有产品提出分阶段的开发方法,并提倡平衡的产品开发策略。这是通过使用创造能力来发展几个论证推理链条来实现的。

  • 销售预测:最后,ChatGPT-4 展示了对有机护肤产品线未来销售的预测能力,考虑了历史销售数据、观察到的模式和未来市场预期。它利用其预测能力以自然语言生成未来几个月的基本销售预测,有助于库存管理和营销工作的战略规划。

项目回顾

让我们从评估一个已完成的项目开始,以其项目经理的报告作为评估能力的示例:

图 5.1: 项目回顾

以下是报告:

项目报告:XYZ 移动应用的开发

  • 项目范围:旨在为我们的客户 XYZ 公司设计和实施一个全功能移动应用,以增加客户互动和用户体验。关键功能包括用户友好界面、安全支付网关和客户支持功能。

  • 进度:项目计划为 12 个月,从 2022 年 8 月 1 日开始,到 2023 年 7 月 31 日结束。分为四个阶段:规划(2 个月)、开发(5 个月)、测试(3 个月)和部署(2 个月)。

  • 成本:预算为 50 万美元,但由于在开发和测试阶段出现了一些意外复杂性,项目超出了预估成本的 15%,最终成本为 57.5 万美元。

  • 质量:尽管时间和成本超支,但项目按协议达到了质量期望。用户测试平均得分为 4.5 分(满分 5 分),表明对应用的可用性和功能性感到满意。

  • 资源:项目团队由一个项目经理,两名软件开发人员,一个 UI/UX 设计师,一个质量保证专员和一个业务分析师组成。然而,在开发阶段出现了较高的人员流失率,导致项目交付出现了轻微延迟。

  • 风险:遇到了两个重大风险:

  • 预算超支是由于开发中的意外复杂性,通过从营销储备中重新分配预算来进行管理。

  • 资源流失造成的延迟得到了缓解,通过雇佣临时经验丰富的资源来保持进度。

参考报告,ChatGPT-4 的直观提示可能是:

‘根据上述项目报告进行端到端评估。’

回应如下:

项目评估摘要:XYZ 移动应用的开发

  • 目标和范围:项目有效地实现了其设计和实施一个具有用户友好界面、安全支付网关和客户支持功能的全功能移动应用的目标。

  • 时间表:尽管在开发阶段出现了人员流失导致的轻微延迟,但项目仍然遵循了规定的 12 个月时间表。考虑到所涉及任务的复杂性,项目阶段的分配似乎是合理的。

  • *预算:该项目的预算超出最初估计的 15%(75,000 美元),主要是由于开发和测试阶段出现了意想不到的复杂性。虽然通过重新分配营销储备来管理了这一超支,但这是未来项目中需要改进的明显领域。更好的应急计划和风险管理可以预见到一些额外成本。

  • 质量:质量措施显示出积极的结果。应用程序在测试中获得了高用户满意度评分,这表明尽管预算和资源存在挑战,最终产品的质量很高。

  • 资源:项目团队的组成基本上适合项目的需求。然而,高流失率表明项目管理、团队士气或其他组织挑战可能存在潜在问题。这种资源不稳定性产生了实质性影响,导致项目交付延迟。

  • 风险管理:风险已经被识别和管理,但识别过程可以更主动一些,特别是涉及预算和人力资源方面。虽然已经采取了缓解措施(重新分配预算、雇佣临时资源),但分析这些问题以防止未来项目中的再次发生将是有益的。

  • 未来项目的建议:

  1. 增强项目成本估算和应急计划,以防止预算超支。

  2. 加强团队管理和留任策略,以减少关键项目阶段的人员流失。

  3. 改进风险识别流程,考虑在规划阶段更全面地考虑内部和外部潜在风险。

总的来说,该项目可以被认为是成功的,因为它实现了其主要目标,并且产生了一个受用户欢迎的高质量产品。然而,时间和预算的超支,再加上资源不稳定性,表明有一些领域需要在未来项目中更加关注和完善。这些改进可以导致更可预测、更顺利的项目执行,并可能带来成本节约。

然而,使用指示提示模式,提示将被制定如下:

  • 专家角色:“您是一位擅长项目评估的高级项目经理”

  • 背景:“下面是一个关于开发移动应用的已完成项目的描述”

  • 指示:“对项目进行端到端的评估”

  • 执行规则:

  • “确保涵盖项目的范围、进度、成本、质量、资源、沟通、风险、采购和利益相关者管理。”

  • “确保采取非常批判性的中立立场,并挑战负责交付项目的项目经理创建的报告。”

  • 输出约束:“输出必须以结构化报告的形式呈现,每个评估因素都有清晰的标题”

ChatGPT-4 生成的输出如下:

项目评估报告:开发“XYZ”移动应用程序

  1. 项目范围:该项目旨在设计和实施一个具有用户友好界面、安全支付网关和客户支持功能的移动应用程序。然而,项目范围的描述似乎过于泛泛,缺乏对其复杂性的详细洞察。包括应用程序开发平台、预期用户互动水平和所需客户支持规模的具体细节将是有益的。还应明确说明功能数量、复杂性和任何限制,以避免范围蔓延。

  2. 进度:该项目遵守了 12 个月的时间框架,尽管由于资源流失而出现了轻微延迟。评估原始项目进度表中是否有足够的应急时间来容纳意外延迟是至关重要的。规划阶段似乎是相称的,然而,开发阶段几乎占据了项目时间的一半,这引发了对效率和方法的质疑。此外,部署的两个月时间可能有些长——事后评估应确定是否可以为未来项目简化这一过程。

  3. 成本:该项目经历了 15%的成本超支,主要是由于开发和测试阶段出现了意外复杂性。这引发了对项目最初成本估算和风险评估过程的担忧。项目预算是否包括了意外成本的应急基金?如果没有,应该纳入未来的项目中。此外,从营销储备中重新分配资金可能会对项目的可见性和客户接触产生影响。

  4. 质量:该项目似乎已经达到了其质量目标,用户测试得分证明了这一点。然而,平均得分并不能提供全面的图片。与应用程序特定方面相关的得分细分,如可用性、设计、功能和安全性,将提供更深入的理解。此外,在整个项目生命周期中是否有管理和监控质量的机制,还是仅在最后通过用户测试来衡量?

  5. 资源:团队构成对于这种性质的项目来说相当全面。然而,高流失率令人担忧。这背后的原因是什么?这些与项目管理、公司文化还是市场条件有关?调查这一点对于减轻未来类似事件至关重要。此外,雇佣临时资源可能会影响整体团队的协同和产出质量。

  6. 风险:报告提到了两个重大风险——预算超支和由于资源流失而导致的延迟。分析项目中采用的风险识别、评估和缓解策略将是值得的。这些风险是否在前期被识别出来?如果没有,为什么会被忽视?项目是否有风险管理计划?了解这些因素将加强未来项目的风险管理方法。

  7. 采购:关于该项目的采购没有提供任何信息。它是否涉及到分包或采购第三方服务、工具或技术?如果是,采购策略是什么,它的管理效果如何?在这方面的透明度将有助于更全面地评估项目。

  8. 利益相关者管理:报告没有提供任何关于利益相关者管理的见解。有关利益相关者识别、他们的角色、期望和沟通策略的信息对于从各个角度理解项目的成功至关重要。是否有一种结构化的方法来让利益相关者了解项目的进展和挑战?

总之,虽然该项目成功交付了一个高质量的移动应用程序,但仍有重大改进空间。这些包括细化项目范围、改进成本估算和风险管理、解决资源流失问题,以及增强采购和利益相关者管理的透明度。

两份评估报告都对“XYZ”移动应用项目进行了审查,但它们在方法、分析深度和关注领域上存在差异,如下所示:

  1. 目标和范围:两份报告都赞扬该项目达到了其目标。第二份报告建议对范围描述进行细化,以提高具体性,并建议进行改进。

  2. 时间表: 评估一致认为时间表得以保持,只有轻微的问题。第二次评估建议进行事后评估,以进一步审查各阶段的持续时间。

  3. 预算: 两份审查都承认预算超支,并突出财务规划方面的改进空间,并在第二份报告中质疑应急和营销资金的分配。

  4. 质量: 第一份报告赞扬用户满意度得分,而第二份报告则寻求对这些得分进行更深入的分析,并质疑项目的质量管理策略。

  5. 资源: 报告指出高员工流失率,主张改进团队管理策略,并通过第二份报告对员工流失原因和影响进行调查。

  6. 风险管理: 第一份报告建议改进风险识别流程,第二份报告呼吁全面审查项目中使用的风险管理策略。

  7. 采购和利益相关者管理: 第二份报告引入了新的考虑因素,建议在采购方面增加透明度,并加强利益相关者管理。

总之,两份评估都一致认为项目取得了成功的结果。第一份报告提供了简洁全面的摘要,而第二份报告提供了更详细和批判性的分析,确定了额外的改进空间,并提供了更具体的建议(尽管两份提示都没有要求建议)。比较两者,可以明显看出,从指示提示模式中增加额外组件,如角色、执行规则和输出约束,会产生更详细、更具体,最终更专业的结果。

利益相关者管理

让我们以产品管理领域的一个例子来进行,这个领域必须处理多个利益相关者。

图 5.2: 利益相关者管理

随后的提示基于创作能力:

  • 专家角色: “您是产品经理和论证专家”

  • 背景: “您正面临推出新产品的压力。

  • 您有以下三个选项:

  • 产品 A 具有最多的功能,但需要最长的开发时间,价格也最高。”

  • 产品 B 具有所有基本功能,可替代不再符合市场标准的成功产品 C。

  • 产品 D 吸引了新一代客户,具有特殊的技术特点。

  • 您的利益相关者是以下高管:

  • CTO(首席技术官)对应用新技术有浓厚兴趣。

  • COO(首席运营官),几年前开发了产品 C。

  • CMO(首席营销官),希望拥有一个快速开发新产品的流水线,以跟上竞争。

  • 指示: 开发几条论证推理链(创作)”

  • 执行规则:

  • 尽量说服尽可能多的利益相关者,

  • 尽量减少潜在的不满,

  • 使用 AI 论证框架。

ChatGPT-4 生成的对此提示的响应如下:

当然,我可以帮助您。我们将使用基于三个主要组件的 AI 论证框架:主张、证据和保证。主张是我们想要提出的观点或断言,证据是支持主张的信息,保证连接证据与主张,解释为什么证据支持主张。

让我们逐个为每个产品进行论证:

产品 A(最多功能,开发时间长,价格高)

主张:产品 A 是最全面的解决方案,将吸引寻求功能丰富产品的客户,并在长期内增加价值。

证据:它具有最多的功能,可能比市场上的任何其他产品更好地满足客户需求。

保证:尽管开发时间较长且价格较高,产品 A 的广泛功能可以证明价格标签并吸引一个专注于质量的用户群体。这将帮助我们获得坚实的市场份额并建立我们的品牌声誉,这符合首席营销官对我们与竞争对手区分的兴趣。

产品 B(基本功能,产品 C 的替代品)

主张:产品 B 是先前成功产品 C 的直接继任者,确保连续性并迎合我们现有的用户群体。

证据:它旨在取代产品 C,后者已不再符合市场标准,这意味着它填补了我们产品阵容中的当前空白。

保证:更新我们的产品阵容以匹配市场标准至关重要。这将保持我们当前用户的信任,确保他们不会感到被抛弃,并保持我们的市场份额。首席运营官会欣赏这一策略,因为它最小化了风险并确保了稳定性。

产品 D(新技术,吸引新一代客户)

主张:产品 D 代表创新,迎合新一代客户,开拓了一个潜在的利润丰厚的市场细分。

证据:它的特殊技术功能使其吸引了一个重视创新并熟悉尖端技术的新一代客户。

保证:通过开发和推出产品 D,我们不仅能吸引首席技术官对应用新技术的兴趣,还能与首席营销官的目标保持竞争力相一致。尽管是一个新的尝试,但从吸引年轻、精通技术的人群中获得的潜在回报可能会超过风险。

总之,每个产品都有其自身的优势,并与不同利益相关者的利益相一致。然而,一个平衡的方法可能涉及制定一个包括所有三种产品的阶段性路线图,这可能解决所有利益相关者的关切。我们可以根据市场需求、技术准备情况和我们的战略目标来优先发展。

在这个利益相关者管理模拟中,ChatGPT-4 充当了一个擅长辩论的产品经理,任务是说服一组高管支持三种产品选项中的一种。遵循 AI 辩论框架,它为每种产品策略性地制定推理链,将产品的特点与涉及的利益相关者的具体利益相一致。

ChatGPT-4 熟练地在任务中导航,勾画出产品的优势和潜在市场影响,同时满足利益相关者的优先考虑。它建议制定一项路线图,支持分阶段开发所有产品,以潜在地满足所有利益相关者,从而在产品开发战略中推动和谐的前进道路。所提议的计划确保了一个全面的方法,努力平衡各种利益相关者的利益,同时倡导强大的产品开发轨迹。

销售预测

在这个例子中,我们深入探讨了 ChatGPT-4 的预测能力,重点关注销售预测。通过分析有机护肤产品线,ChatGPT-4 将展示其预测未来销售的能力。

图 5.3: 销售预测

利用历史销售数据、观察到的销售模式和未来市场预期,随后的提示将引导模型以自然语言生成基本的销售预测:

专家角色: 您是销售预测专家。

背景:

这是销售历史:该产品是一系列有机护肤产品,于 2021 年 1 月推向市场。当月销售缓慢,仅售出 50 个单位。为了提高销量,公司采用了激进的营销策略,包括社交媒体宣传和与意见领袖的合作。这导致销量逐渐增加,到 2021 年 4 月达到每月 200 个单位。2021 年夏季带来了意外的销售激增,7 月销量达到 600 个单位,得益于成功的夏季促销活动和产品适合暖季护肤的特点。秋季销量略有下降,降至每月 400 个单位,但在 11 月和 12 月的假期季节销量反弹,平均每月达到 550 个单位。2022 年 1 月由于假期过后市场饱和和预算限制,销量略有下滑至 350 个单位。然后销量在第一季度稳定在每月平均 400 个单位。2022 年 4 月推出新产品变种后,销量再次增长至 700 个单位,此后每月平均维持在 650 个单位。到 2023 年 7 月底,已售出 8000 多个单位,反映了产品的稳定需求和日益增长的受欢迎程度。2023 年 8 月标志着一个关键时刻,公司的返校季促销活动将销量推至历史最高的 800 个单位。这一成功得到了特别促销折扣、战略意见领袖合作以及今年早些时候推出的新产品变种的持续受欢迎的支持。

这是自市场推出以来观察到的历史模式:

  1. 初始阶段销售缓慢:在推出新产品或变种后,销售通常会初始缓慢,表明顾客需要时间来接受新产品的模式。

  2. 秋季销售下降:历史上,秋季销售通常会下降。这种模式可能与天气变化以及消费者护肤程序相应调整有关。

  3. 假期销售激增:销售在 11 月和 12 月的假期季节一直呈现出激增的趋势。这可能是由于礼品购买增加和顾客为冬季护肤需求备货。

  4. 假期后销量下滑:假期季过后,销量下滑,表明存在购买行为减少的模式,可能是由于市场饱和和假期后消费者预算限制所致。

这是今年余下时间的预期:

  1. 季节性促销活动:市场部门已经计划在假期季推出一项重大促销活动,预计将在该期间带来销售的显著增长。

  2. 新产品变种:全年推出新产品变种或扩展可能会促进销售增长,吸引既有客户尝试新产品,也吸引新客户。

  3. 市场扩张:公司计划将业务拓展到新市场。这一举措可能会激发销售增长,因为它将吸引新的客户群体。

  4. 日益普及:产品日益普及和品牌认知度的提高,得益于积极的客户评价和有效的营销,预计将在未来维持并可能加速销售增长。

  5. 经济因素:预期的经济复苏和全球事件后消费者支出的增加也可能导致销售增长。

指示: *基于销售历史、历史模式和未来预期,提供未来六个月的自然语言销售预测(预测)。

ChatGPT-4 对此提示的回应如下:

基于销售历史、观察到的模式和未来预期,我们可以为接下来的六个月提供以下销售预测:

2023 年 8 月:据报道,8 月销量已经达到历史最高的 800 个单位,得益于返校季活动的推动。

2023 年 9 月:我们通常观察到秋季销售下降。然而,从 8 月开始的高销售势头和新产品变体的持续受欢迎可能会减轻这种预期的下降。因此,我们可以预测轻微下降,可能在 700 个单位左右。

2023 年 10 月:根据历史模式,秋季销售下降应该会继续,但由于新产品变体的持续影响,预期的效果将不那么显著。让我们预测销售额大约在 650 个单位左右。

2023 年 11 月:随着节日季节的开始,我们历年来都看到销售额的激增,公司计划的促销活动预计将进一步增加这一激增。根据往年的趋势,销售额可能会跃升到大约 800 个单位。

2023 年 12 月:节日季节持续到 12 月,如果促销活动像预期的那样成功,销售额应该会继续保持高增长。考虑到产品日益增长的受欢迎程度和促销活动的影响,销售额可能会达到 850 个单位的高峰。

2024 年 1 月:节后销售低迷一直是一个持续的模式。消费者可能正在从节日支出中恢复过来,市场可能会因前几个月的高销售而出现一些饱和。然而,计划中的市场扩张的影响可能有助于减轻这种下降。因此,我们可以预测下降到大约 600 个单位。

请注意,这些数字是基于过去的趋势和计划活动的预测。其他因素,如竞争对手的活动、市场动态和意外事件可能会影响实际销售业绩。需要定期跟踪和调整预测,以保持其准确性和相关性

在这个销售预测的例子中,ChatGPT-4 扮演了一个具有预测能力的销售预测专家的角色。指令提示建立了上下文,展示了有机护肤产品线的销售历史,突出了观察到的模式,并设定了未来的期望。然后,ChatGPT-4 被要求根据给定的上下文预测接下来几个月的销售情况。

ChatGPT-4 熟练地处理指令,并通过考虑销售数据、历史模式和未来期望,为接下来的几个月制定了基本的预测。它概述了每个月的销售可能如何塑造,有助于制定管理库存和营销工作的战略计划。

另外三个单一指令示例在附录 A中呈现:

  • 资源管理:在这个例子中,我们展示了 ChatGPT-4 在资源管理领域的匹配能力。系统被提示根据其技能和项目需求为项目分配资源。

  • 基于场景的项目模拟:在项目管理领域中使用另一个例子,我们突出了 ChatGPT-4 的模拟能力。它被提示根据先前的项目结果执行项目阶段模拟。

  • 商业沟通:这个最后的单一指令示例探讨了新兴的碳会计行业中的商业沟通和总结能力。任务将由参考案例指导,这些案例向 ChatGPT-4 展示了预期摘要应该如何利用其总结能力。

指令序列示例

接下来的例子说明了使用 ChatGPT-4 进行员工辅导和产品评论情感分析的基于序列的指令提示。每个例子都突出了 ChatGPT-4 的一组独特的人工智能能力:

  • 新员工辅导:这个第一个例子展示了 ChatGPT-4 在人力资源领域的评估建议能力。系统被指示评估新员工的情况,并建议适当的措施以防止潜在的流失,所有这些都是由参考案例指导的。

  • 产品评论的情感分析: 然后我们涵盖产品评论的情感分析领域,以展示 ChatGPT-4 在信息提取和分析因果分析分类方面的能力。系统被要求在三个连续步骤中对产品评论进行情感分类。

新员工辅导

这个例子侧重于一个两步指令序列,指导时装零售业的人力资源经理评估新员工情况,并建议采取适当措施防止潜在的流失:

图 5.4: 新员工辅导

专家角色*:您是一家时装零售商的人力资源经理,专门负责员工流失问题。您在处理各种员工案例并找到解决方案方面拥有丰富的经验。*

背景: 您的新案例涉及詹姆斯,一名最近招聘的初级商品推销员。詹姆斯在公司工作了几周后已经显示出不满的迹象。尽管在入职期间有一个有希望的开端,但他的热情似乎迅速消退。他在团队会议上经常沉默,对团队活动不响应,他的工作缺乏新人应有的活力和彻底性。

指令序列:

  1. 根据以下参考案例评估新案例。始终在新案例和参考案例之间进行比较,并从中学到的东西。

  2. 根据评估结果,推荐采取具体的人力资源行动来防止流失

参考案例:

问题解决案例 1:

  • 问题: 新销售代表整合 索菲亚作为一名最近招聘的销售代表,最初充满活力,渴望为我们的时装零售商做出贡献。然而,进入角色几周后,索菲亚开始显示出不参与的迹象。她似乎对自己的责任不确定,并在与同事建立关系方面遇到困难。她的表现也不稳定,显示出对自己角色的理解不足。

  • 解决方案: 我们迅速意识到这些迹象,并实施了一个针对索菲亚角色的结构化入职培训计划。该计划包括培训课程,帮助她了解自己的责任和产品知识。除此之外,我们还为她介绍了一个来自她团队的导师,指导她了解日常流程并回答她的问题。导师还向她介绍了其他团队成员,帮助她建立联系。随着时间的推移,索菲亚与团队的信心和参与度增加,她的表现也显著提高。她对导师制度和结构化指导表示赞赏,这有助于她顺利过渡到自己的角色。

问题解决案例 2:

  • 问题: 新设计师的文化适应 马克是一位才华横溢的设计师,带着令人印象深刻的作品集加入了我们的公司。然而,一个月内,马克似乎变得疏远和不参与。他的设计缺乏热情,很少在团队讨论中做出贡献,表明他在适应公司文化方面存在困难。为了帮助马克,我们启动了一个文化适应计划。

  • 解决方案: 我们组织了定期的团队建设活动,鼓励马克分享他的想法并更加开放地与同事互动。我们还组织了讨论公司价值观和文化的会议,旨在创造一个包容的环境,让马克感到舒适地表达自己的创造力。马克慢慢地开始变得活跃起来,在团队会议上积极参与,他的设计开始反映出我们在招聘过程中看到的创造力。文化适应计划取得了成功,不仅对马克而且对团队内部的团结和包容性的培养也是如此。

问题解决案例 3:

  • 问题: 新的物流经理角色明晰。新招聘的物流经理丹尼斯在面试过程中表现出了很大的潜力。但在最初的几周后,她的贡献变得零星,她的工作缺乏细节注意,她在团队会议上的存在几乎可以忽略不计。很明显,丹尼斯对她的角色和对她的期望不清楚。

  • 解决方案: 作为回应,我们修改了她的工作描述,清楚地概述了她的职责、责任和绩效基准。我们在最初的两个月安排了每周一次的会议,以提供定期的反馈,讨论她的进展,并认可她的成就。结果,丹尼斯的表现显著提高,她承担起了自己的角色,并且她在团队会议上的贡献变得非常宝贵。她对清晰的沟通和持续的反馈表示感激,这使她顺利、无压力地过渡到新角色。

作为对给定提示的回应,ChatGPT-4 生成了以下输出:

评估:

詹姆斯的情况在某种程度上与参考案例相似。像索菲亚(参考案例 1)一样,他开始时充满热情,但他的动力迅速消退。然而,索菲亚的问题源于她对自己的角色的理解不足,而詹姆斯的问题似乎更多地与他与团队的参与和工作中的活力有关,这似乎更接近马克的情况(参考案例 2)。丹尼斯的情况(参考案例 3)也有些相似之处,因为她的贡献是不一致的,这也是詹姆斯所表现出的症状。然而,丹尼斯的问题是由于缺乏角色明晰,这似乎不是詹姆斯的问题。

建议:

  1. 启动个性化入职计划:詹姆斯可能会受益于一个类似索菲亚的结构化计划。尽管他有经验,但他可能需要更多在这家公司的角色特定任务和责任方面的明确性和实践经验。与导师合作可能有助于他增强信心,提高他工作的彻底性。

  2. 促进团队建设活动:詹姆斯对团队活动的不响应和在会议期间的沉默可能表明他在融入团队方面存在困难,类似于马克的问题。定期的团队建设活动可以鼓励他更多地与同事互动,提高他在工作中的热情和活力。

  3. 提供定期反馈和认可:对丹尼斯采取的方法也可以应用于詹姆斯的情况。定期的反馈会话可以帮助澄清绩效期望,并给他一个表达任何可能存在的担忧或不确定性的平台。承认他的成就,无论多么小,也可以帮助提高他的动力。

  4. 员工参与度调查:进行一项调查,以评估詹姆斯的参与度。这可以揭示他是否感到被低估、没有挑战或没有动力,这可能导致他的不参与。

  5. 一对一会议:与詹姆斯的个人互动可能会更深入地了解他的情况。可能有一些工作外的问题影响了他的表现。保持开放的沟通渠道,了解是什么导致了他的不满至关重要。

在这个员工辅导模拟中,ChatGPT-4 扮演了一名专门负责预防时尚零售公司员工流失的人力资源经理的角色。通过一个两步指导过程,任务是分析最近一名新员工逐渐减少的参与度,通过比较新情况和参考案例来找到潜在的解决方案。

利用参考案例中的过去经验,ChatGPT-4 建议了一种细致的策略,以留住新员工詹姆斯。它指出了与团队的潜在脱节,并建议个性化的入职计划和团队建设活动,以促进更好的参与度并防止流失。该回应有效地勾勒出了一项策略,为詹姆斯在公司初期提供了支持。

情感分析

让我们继续以一个包括三个步骤的指令序列提示的示例来进行产品评论情感分析:

图 5.5: 情感分析

专家角色: 您是电影评论情感分类的专家。

背景: StreamSmith V35 蓝牙耳机是一个雄心勃勃的尝试,旨在创造一个易于获得的高质量音频体验。然而,尽管它们有许多积极的品质,但它们仅仅达到了标准,获得了坚实的 3 颗星。V35s 的制造质量令人钦佩,因为它们具有舒适的贴合感和高级的外观和手感。此外,长时间的电池寿命是一个突出的特点,可以在单次充电中提供数小时的不间断使用。StreamSmith 的手势控制系统也很直观,使操作变得轻松。此外,公司对可持续包装的承诺值得赞扬。另一方面,V35s 让人失望的地方在于它们的音质,明显不如同价位的竞争对手令人印象深刻。低频的深度明显不足,使低音听起来略显空洞。高音也似乎缺乏清晰度,造成整体平坦的音场。再加上偶尔的连接问题,这减弱了本可以成为真正出色的音频体验。总的来说,StreamSmith V35s 代表了一个有前途的进步,特别是在设计和用户界面方面。然而,对于发烧友来说,这些耳机可能不是首选。如果 StreamSmith 专注于改善他们的音质和连接稳定性,他们未来的产品可能会对市场上的老牌竞争对手构成严峻挑战。

指令序列: 在这三个步骤中对产品评论进行情感分类:

第一步, 提供支持输入情感确定的线索(例如关键词、短语、上下文信息、语义关系、语义含义、语气、引用)。

第二步, 从前提(例如线索、输入)中推断出支持情感确定的诊断推理过程。(因果分析)。

第三步, 确定电影评论的整体情感,即考虑第 1 步的线索,第 2 步的推理过程和电影评论(分类)。

对于给定的提示,ChatGPT-4 生成了以下输出:

“以下是请求的步骤:

  1. 信息提取与分析:
  • 积极线索:“舒适的贴合感”,“高级的外观和手感”,“长时间的电池寿命”,“直观的”手势控制,“值得赞扬的”可持续包装,“有前途的进步”,“对市场上的老牌竞争对手构成严峻挑战”。

  • 负面线索:“仅仅达到标准”,音质“不如同价位的竞争对手令人印象深刻”,低频“深度不足”,低音“略显空洞”,高音“缺乏清晰度”,“平坦的音场”,“偶尔的连接问题”。

  1. 因果分析:
  • 评论者提供了产品的几个积极方面,如舒适感和高级感、电池寿命、直观的控制和可持续包装。这表明公司在用户体验和产品设计的许多方面都考虑周到。

  • 然而,评论的负面方面集中在产品的核心功能上,即声音质量和连接。鉴于产品的性质是耳机,这可能被认为更为关键。

  • 尽管评论者承认该产品有挑战已建立的市场参与者的潜力,但他们也指出了它目前的缺点,特别是对于一个关键的目标受众 - 音响发烧友。

  1. 分类:
  • 总的来说,这篇评论的情感似乎是复杂的,但更偏向于负面,主要是由于批评的重量。尽管积极的线索比负面的要多,但负面的触及了耳机的核心功能 - 声音质量和稳定连接,这可能更具影响力。因此,这篇评论可以被分类为有些负面。

在这个任务中,ChatGPT-4 扮演了一个情感分析专家,评估了对 StreamSmith V35 蓝牙耳机的评论。在一个三步指令序列之后,它首先确定评论中的积极和消极情绪。接下来,它进行因果分析,审查评论中提到的优点和缺点,特别关注产品功能的关键点。最后,它将整体情感分类为有些负面,突出了对产品核心功能的重大批评。这个任务展示了 ChatGPT-4 对评论进行分析以进行明智决策的分析方法。

另外三个例子在附录 A中呈现:

  • 指令序列:保险理赔处理:系统被提示执行一系列涉及提问、总结答案和评估损失成本的步骤。

  • 指令序列:解决方案架构分析:ChatGPT-4 审查给定的 Azure OpenAI 架构,识别组件,找出瓶颈,提出建议,并制定实施计划。

  • 伪代码指令:房地产列表比较:ChatGPT-4 根据大小、价格、位置和便利设施等标准对办公空间列表进行排名。它应用一个评分系统,识别和优先考虑顶级空间,展示了它在房地产评估方面的熟练程度。

查询提示

在这一部分,我们将首先深入探讨查询提示模式⁶,这是与 GPT 模型进行交互的另一种独特方法。随后,我们将探索一系列实际示例,突出展示了这种模式在各种企业场景中的应用。

查询提示模式

查询提示模式是一种有效的方法,旨在指导 GPT 模型生成对各种类型问题的见解深刻和准确的回答。以下是每个组件的贡献方式:

  • 证据:这是向 GPT 模型提供的事实、情境或背景信息,用作准确解释和回应后续查询的参考,有助于防止生成无根据或无关的输出。例如,一家公司可能向 GPT 模型提供详细的季度财务报告,以便分析并从中提取有见地的信息。

  • 推理规则:这些是明确指导 GPT 模型从提供的证据中得出见解或结论的规则。在商业环境中,有各种规则可能会影响分析过程。例如,一个规则可能表明“季度收入增加表明积极增长”,这将通过突出公司收入在一定期间内的有利趋势来指导财务报告的分析。同时,另一个规则可能提出“市场份额增长是公司竞争力增强的潜在指标”,从而将调查重点放在市场研究数据上,以辨别公司相对于行业同行的表现。

  • 模糊逻辑规则:模糊逻辑规则用于处理模糊逻辑查询(见下文),因为它们允许模型处理不确定性和模糊性特征的情况。在商业场景中,规则“如果市场反馈主要是积极的,那么产品受到欢迎”可能被应用于解释一系列客户评论。

  • 理由要求:这强调了 GPT 模型解释其结论的必要性。这有助于验证 GPT 模型的见解,在复杂查询中可能至关重要,其中理解其推理过程是必不可少的。在商业场景中,这可能涉及根据现有季度报告中识别的模式来验证下一季度的预测。

  • 查询:一个或多个分类的查询被制定,以利用 GPT 模型在预训练期间获得的背景知识,以及提供的证据和推理规则,生成全面的响应。以下是每种查询类型的操作方式:

  • 信息查询:这种类型的查询指导 GPT 模型仔细分析和解释现有证据,以回答提出的问题,而不涉及投机或假设的情景。它旨在提供清晰直接的答案,基于提供的证据。例如,它可能涉及要求 GPT 模型从提供的销售数据中识别 Q1 中表现最好的产品,或者从竞争对手的财务报告中计算几个未公开的关键绩效指标。

  • 现状分析查询:这种查询类型指导 GPT 模型对现有证据进行深入、结构化的分析,通过详细探索各种角度来揭示关系、比较和相关性。

  • 因果分析:它涉及在提供的证据中识别数据点之间的因果关系。一个公司可能会询问:“根据过去两个季度的数据,我们能否找出产品退货增加背后的原因?”

  • 比较分析:这种途径鼓励比较不同元素或时间框架,以发现趋势、相似之处或差异。一个企业可能会问:“在过去的财政年度里,产品 A 的表现与产品 B 相比如何?”

  • 相关性分析:它旨在建立证据中不同变量之间的统计关联。一个公司可能会查询:“我们的营销支出和过去一年新客户的数量之间是否存在明显的相关性?”

  • 预测性查询:这种查询类型促使 GPT 模型利用提供的证据预测潜在的未来事件,鼓励基于现实的预测,而抑制毫无根据的猜测。这种查询类型探索各种预测途径:

  • 无条件预测:这一类查询指导 GPT 模型基于现有证据直接进行预测,而不施加任何假设条件。例如,一个企业可能会问:“考虑到我们在证据中记录的月收入,我们可以预期本财政年度末的总收入会是多少?”

  • 条件预测:这些查询涉及根据条件语句或潜在行动对未来情景进行假设,指导模型探索特定战略或决策的影响。基本上,它使用“假设”情景来预测不同方法的潜在结果,促进积极规划和知情决策。这些情景可以涵盖从战略规划和风险管理到政策变化和技术进步。例如,一个企业可能会询问:“如果我们实施更强大的售后服务,这可能对我们的客户忠诚度产生什么影响?”

  • 指导查询:这种查询类型指导 GPT 模型构想可能的策略和建议,基于提供的证据,利用其分析能力来帮助企业制定改进策略。它通过两个详细的路径导航:

  • 咨询:在这里,查询旨在基于对证据的实际分析提供专家建议,旨在制定适合现有情况的潜在策略。这一类问题可能是:“根据我们最新产品的评论,我们应该专注于什么以提高用户满意度?”

  • 优化:这一部分制定了在给定约束条件下的最佳策略或解决方案,重点是通过对当前数据和趋势进行细致分析,提取最佳可能的结果。例如,一家公司可能会问:“考虑到我们目前的资源和市场地位,我们未来产品的最佳定价策略是什么?”

  • 反事实查询:这种查询类型鼓励 GPT 模型进入替代现实,策划“本可以是什么”的探索。通过这种方式,它制定了探索不同路径及其潜在影响的叙事,同时制定了既具有推测性又基于逻辑分析的回应。企业可能会询问:“如果去年我们将服务价格降低 10%,对我们的销售可能会有什么潜在影响?”

  • 模糊逻辑查询:在充满不确定性和模糊性的情景中使用,这种查询类型利用模糊逻辑规则和提供的背景来理解和应对复杂情况。例如,利用模糊逻辑规则“如果反馈主要是中性的,那么情绪可能是混合的”,企业可能寻求对新产品推出的客户反应进行深入了解,旨在在确定性结论难以得出时获得指示性智能。

查询提示模式是处理复杂分析和探索性问题的强大工具,在以下条件下最好实现:

  • 可靠的证据是可用的:事实和背景数据是所有应用推理的基础,以生成现实和相关的回应。

  • 推理规则可以明确制定:明确的规则可以透明地引导模型的思维链,从证据中得出见解。

  • 存在固有的模糊或不确定性:在这些情景下,标准的逻辑推理技术无法应用。

  • 正当理由至关重要:对回答背后的原因进行解释与回答本身一样重要。

  • 需要探索性查询类型:需要处理复杂业务问题的不同类别的查询,从寻求信息到预测和反事实等。

查询示例

即将进行的演示展示了在化妆品、供应商评估、业务预测和系统可用性改进等背景下,使用 ChatGPT-4 的各种查询提示的应用:

  • 关于化妆品的视觉查询:利用几个信息查询,ChatGPT-4 充当图像分析专家,检查化妆品的视觉提示。它解释了产品布局传达的艺术和情感印象,展示了其在视觉解释和对美容行业的理解方面的技能。

  • 新供应商评估:使用多个比较分析查询,ChatGPT-4 评估了 ABC 公司的五个供应商的质量、定价、交货及时性和客户满意度,展示了其对最佳供应商选择的支持。

  • 预测业务分析:利用两个预测性查询,ChatGPT-4 预测了基于技术的消费品的收入和市场份额增长。它还涵盖了增加投资的情景,探讨了财务和市场渗透的影响。

  • 改善医疗保健系统的可用性:ChatGPT-4 提出了根据医护人员反馈解决新电子病历系统挑战的策略。它提出了不同的建议,以提高用户满意度和患者护理效率。

关于化妆品的视觉查询

让我们来看一个在图像分析领域的例子。

图 5.6: 关于化妆品的视觉查询

这个例子使用了通过网页链接提供的图像作为证据,展示了各种化妆品,并提出了五个具体的信息查询问题:

证据*:*

展示各种化妆品的高分辨率图像:

图 5.7:化妆品图像[6]

推理规则:

  1. 图像中的每种产品都是独特的代表着不同的化妆品

  2. 如果产品的 50%以上可见,则认为产品“在图像上”。

  3. 使用 SceneExplain 插件。

理由要求: 解释你是如何确定特定的化妆品是否在图像上,并根据产品的可见性、放置位置或独特性提供任何相关的背景信息。

信息查询问题:

  1. 有指甲油瓶吗?它们是什么颜色?它们在反光吗?

  2. 梳妆镜是如何装饰的?它表达了什么?

  3. 有什么样的刷子,它们传达了什么?

  4. 有口红吗?它放在哪里?

  5. 图像的整体印象是什么?

以下是 ChatGPT 的答案:

基于 SceneXplain 提供的详细解释,这里是你寻求信息的问题的答案:

  1. 指甲油瓶:是的,图像中有指甲油瓶。它们主要是银色和黑色。这些瓶子靠近彼此摆放,并且反射光线,产生优雅的闪光,这表明它们在反光。

  2. 梳妆镜装饰:梳妆镜造型时尚,银色。它反射周围的美容物品,展示了口红、眼影和眼线笔等必备化妆品。镜子的倒影展示了变身和自我表达的可能性,强调了化妆品的转化力量。

  3. 刷子:整个构图中散落着化妆刷。这些刷子被描绘为艺术的工具。此外,一个棕色容器装着一支化妆刷,强调了它的实用性和功能性。刷子传达了一种准备好进行化妆和艺术创作的感觉。

  4. 口红:是的,图像中有口红。它展示在中央镜子上,是构图中突出的物品之一。

  5. 整体印象:图像的整体印象是美丽和优雅的。在一块洁白的表面上精心摆放的化妆品展示了一个精心策划的化妆品系列。从刷子到化妆品的每个元素都对和谐平衡做出了贡献,邀请观众探索美丽和自我表达的世界。

理由: 这些决定是基于 SceneXplain 提供的详细解释而做出的,该解释分析了图像并深入描述了其内容。解释中考虑了每种产品的可见性、放置位置和独特性,从而能够准确回答问题

在这个描绘中,ChatGPT-4 使用 SceneXplain 插件作为图像分析专家,专注于视觉提示中化妆品的细节。除了识别物品,它还解释了产品布局传达的艺术和情感印象。这突显了 ChatGPT-4 在视觉解释方面的技能,以及其提供关于美丽和自我表达的见解的能力。

新供应商评估

这个例子通过 ChatGPT-4 系统地评估和比较了 ABC 公司的各个供应商的绩效,包括质量、定价、交货及客户满意度,以确定最适合采购的候选供应商。

图 5.8: 新供应商评估

这是基于比较分析查询类型的提示:

证据*:这是 ABC 公司考虑采购的五家供应商的绩效报告:*

  1. 供应商 A:
  • 概述:供应商 A 以及时交货而闻名,拥有 98%的准时交货率。他们提供有竞争力的定价,但在过去六个月中遇到了三次质量问题。这些问题与材料缺陷有关,导致产品退货。

  • 客户满意度:获得了 85 分的客户满意度得分。反馈显示对交货满意,但对偶尔出现的质量不一致表示担忧。

  • 定价:价格具有竞争力,比市场平均价低 5%,吸引了注重预算的客户。

  • 缓解措施:供应商已经启动了增强的质量控制措施,以解决和预防未来的质量问题。

  1. 供应商 B:
  • 概述:供应商 B 提供了优质产品,没有报告过质量问题。然而,他们的价格高出市场平均价 15%。他们以质量著称,准时交货率为 95%。

  • 客户满意度:客户满意度得分为 92 分,特别赞扬产品质量和可靠性。

  • 定价:高端市场部分的优质和可靠产品支持了高昂的定价。

  • 缓解措施:供应商提供灵活的付款条件,以减轻对较高价格的担忧。

  1. 供应商 C:
  • 概述:供应商 C 提供了最经济的定价,比市场平均价低 10%,但准时交货率为 88%。过去一年报告了两起与包装故障有关的质量问题。

  • 客户满意度:客户满意度得分为 80 分,较低的分数归因于延迟和包装问题。

  • 定价:经济定价策略吸引了较小的企业和成本敏感的客户群体。

  • 缓解措施:供应商正在投资改进包装技术和物流合作伙伴关系,以提高交货及减少缺陷。

  1. 供应商 D:
  • 概述:供应商 D 保持高质量标准,过去一年只有一起与产品表面处理有关的质量问题。他们提供平均定价,并且有 90%的准时交货率。

  • 客户满意度:获得了 88 分的客户满意度得分。客户欣赏一贯的质量,但希望在交货时间上有所改进。

  • 定价:价格与市场平均水平相符,为广泛客户群体提供了平衡选择。

  • 缓解措施:供应商已解决了表面处理问题,并正在探索物流解决方案,以改善交货时间。

  1. 供应商 E:
  • 概述:供应商 E 在质量和价格之间取得了很好的平衡。他们过去六个月内有 96%的准时交货率,报告了两起质量问题,但都得到了及时解决。

  • 客户满意度:客户满意度得分为 89 分。质量、价格和交货之间的平衡受到了良好的反响,但一些客户建议进一步增强产品功能。

  • 定价:定价策略具有竞争力,对大宗订单有 3%的折扣,吸引了多样化的客户群体。

  • 缓解措施:供应商正在积极与客户合作,了解他们的需求,并正在投资产品开发,引入增强功能。

推理规则:

  • 平衡方法:一家平衡质量、定价和交货及时性的供应商通常更可取。

  • 质量优先:质量问题可能导致下游问题;因此,质量问题较少的供应商更受欢迎。

  • 交货及时性:准时交货对于保持供应链的效率至关重要,因此更青睐准时交货率更高的供应商。

  • 客户满意度:更高的客户满意度分数表明整体供应商表现更好。

理由要求:

你应该仔细解释对于选择供应商的任何推荐或见解背后的推理。它应该考虑所有可用的数据点,权衡每个因素的重要性,并清楚地阐明这些因素如何影响整体评估。

比较查询:

  1. 平衡方法分析:
  • 根据提供的证据,每个供应商如何平衡质量、定价和交货及时性?

  • 哪个供应商在这些因素中表现出最有效的平衡,为什么?

  1. 质量优先评估:
  • 你能否确定并比较每个供应商报告的质量问题的数量和严重程度?

  • 考虑到采购中质量的优先级,这些质量问题如何影响每个供应商的吸引力?

  1. 交货及时性评估:
  • 比较五个供应商的准时交货率。哪个供应商的准时交货率最高,这对其整体表现有多大影响?

  • 是否有任何供应商的较低的准时交货率可能会引起对维持供应链效率的担忧?

  1. 客户满意度比较:
  • 每个供应商的客户满意度分数如何比较?

  • 这些评分对供应商的整体表现有何指示,并且这些评分在最终决策中应该起多大的作用?

  1. 推荐和理由:
  • 根据上述评估,你会推荐 ABC 公司考虑采购哪个供应商,为什么?

  • 是否有任何特定的供应商的优势或劣势,对你的推荐产生重大影响?

  • 你能否提供详细的推荐理由,考虑到提供的所有证据和推理规则?

  1. 风险和减轻:
  • 你推荐的供应商是否存在潜在风险?

  • ABC 公司如何减轻这些风险,以确保与所选供应商的成功合作?

ChatGPT-4 的回答如下:

平衡方法分析:

  1. 供应商 A 平衡了有竞争力的定价(低于市场平均价 5%)和高的准时交货率(98%),但存在质量问题。

  2. 供应商 B 在质量方面表现出色,没有报告的问题,并且准时交货率良好(95%),但其定价高出市场平均价 15%。

  3. 供应商 C 提供最经济的定价(低于平均价 10%),但在交货率(88%)上有所妥协,并且存在质量问题。

  4. 供应商 D 采用了平衡的方法,定价平均,准时交货率 90%,质量问题很少。

  5. 供应商 E 也取得了良好的平衡,具有有竞争力的定价(包括批量折扣),96%的交货率,以及及时解决质量问题。

在质量、定价和交货方面,供应商 E 似乎取得了最有效的平衡,提供有竞争力的定价、高的交货率和及时解决问题的质量。

质量优先评估:

供应商 B 在没有报告的质量问题方面脱颖而出。供应商 D 和供应商 E 存在少量问题,并得到了解决,而供应商 A 和供应商 C 遇到了更严重的问题,供应商 A 存在导致退货的材料缺陷。

考虑到质量的优先级,供应商 B 是最理想的选择,但供应商 D 和供应商 E 也通过及时解决问题提出了强有力的案例。

交货及时性评估:

供应商 A 的准时交货率最高,达到 98%,显著影响了他们的整体表现。供应商 C 的交货率为 88%,可能在保持供应链效率方面存在问题,特别是当与他们的质量问题结合在一起时。

客户满意度比较:

供应商 B 的客户满意度得分最高(92/100),表明他们的整体表现优秀。这些得分至关重要,因为它们反映了现实世界的表现和客户体验,因此在最终决策中应该占据重要地位。

建议和理由:

考虑所有因素,供应商 E 将是 ABC 公司的推荐选择。他们展示了一种平衡的方式,具有有竞争力的定价、高交货率,以及及时解决的最小质量问题。他们的客户满意度得分也很高,显示了良好的市场反应。

虽然供应商 B 在质量和客户满意度方面表现优异,但他们显著更高的定价可能不会吸引市场的所有细分。供应商 E 的平衡方式将迎合更广泛的客户群体,他们愿意增强产品特性表明了适应性和客户导向,这是供应商的宝贵特质。

风险和缓解:

与供应商 E 相关的潜在风险是报告的质量问题。即使它们得到了及时解决,确保这类问题被最小化是至关重要的。ABC 公司可以通过定期进行质量审核和保持开放的沟通渠道来及时解决任何问题,从而减轻这些风险。此外,由于客户建议增强产品特性,ABC 公司应与供应商 E 密切合作,以有效满足客户需求。

总之,虽然所有供应商都有各自的优势和劣势,但供应商 E 提供了一种平衡、适应性和客户导向的方式,很可能适合 ABC 公司的采购需求。定期监督和合作开发将有助于减轻相关风险。

在这种情况下,ChatGPT-4 充当睿智的顾问,分析了 ABC 公司五个潜在供应商的概况。利用全面的方法,它根据质量、定价、交货及时性和客户满意度评估每个供应商,以确定最有利的合作伙伴,并提供了如何克服剩余挑战的建议。

预测性业务分析

这个例子展示了一个预测性业务分析的场景,ChatGPT-4 审查了 TechPioneer 最近推出的 SmartGadget 的潜在影响,探索了基于当前趋势和未来战略举措的预测收入和市场份额。

图 5.9: 预测性业务分析

这是使用预测性查询类型的提示:

证据:

领先的科技公司 TechPioneer 最近推出了新产品 SmartGadget。季度财务报告显示了以下细节:

  • 自产品发布以来,公司的收入增长了 15%,达到了总季度收入 115 万美元。

  • 市场份额增长了 5%,导致智能设备行业当前市场份额达到 20%。

  • SmartGadget 根据客户评价获得了平均 4.5 分的评分,突出了其创新特性和用户友好的界面。

  • 目前,智能设备行业的增长率稳定在每季度约 3%。

  • SmartGadget 的营销预算在上个季度为 10 万美元。

  • 竞争对手分析显示,竞争对手在市场表现上保持一致,未计划在接下来的两个季度推出重大产品。

  • 客户反馈调查显示,产品当前特性的满意度很高,有 70%的可能性会向他人推荐 SmartGadget。

推理规则:

  1. 持续增长的季度收入表明潜在的长期增长。

  2. 积极的产品评价与高消费者满意度相关,并可能导致销售增加。

  3. 市场份额的增加可能表明市场竞争力的增强。

理由要求:

模型应通过参考提供的证据中确定的具体数据点或趋势,并应用推理规则来证明其预测。它还应概述在预测过程中所做的任何假设。

查询:

无条件预测:

考虑到详细的季度财务报告,包括收入增长 15%,市场份额增长 5%,以及 SmartGadget 的积极产品评价,对我们在本财政年度末的总收入和市场份额可以做出什么定量预测?

预期的理由:模型应计算财政年度剩余季度的预计收入和市场份额,考虑当前增长率、行业增长和竞争对手格局。积极的产品评价和客户推荐可能会被纳入估计销售潜在额外增长。

有条件预测:

如果 TechPioneer 决定根据用户反馈,额外投资 SmartGadget 当前季度收入的 10%(即额外 115,000 美元)用于营销和增强产品特性,这可能对我们在下一个财政年度的总收入和市场份额产生的定量影响是什么?

预期的理由:模型应分析增加营销投资和改进产品特性的潜在回报,考虑现有市场条件、竞争对手活动和客户偏好。它应计算销售和市场份额的可能增加,考虑当前增长率和行业动态。

ChatGPT-4 的回答如下:

无条件预测:

计算预计收入:

鉴于当前季度收入为 115 万美元,增长 15%,为了预测财政年度剩余时间的收入,我们将计算接下来三个季度的收入。

Q2 收入=115 万美元*(1+0.15)=1.3225 百万美元

Q3 收入=1.3225 百万美元*(1+0.15)=1.520875 百万美元

Q4 收入=1.520875 百万美元*(1+0.15)=1.74900625 百万美元

财政年度的总预计收入:115 万美元+1.3225 百万美元+1.520875 百万美元+1.74900625 百万美元=5.74238125 百万美元

计算预计市场份额:

鉴于当前市场份额为 20%,增长 5%,我们预测未来三个季度的市场份额如下:

Q2 市场份额=20%+5%=25%

Q3 市场份额=25%+5%=30%

Q4 市场份额=30%+5%=35%

这些预测假设线性增长,这可能过于简单,考虑到市场动态、竞争和饱和点,但在没有额外数据的情况下,这是一个合理的近似。

有条件预测:

额外投资的影响:

假设在营销和产品增强上额外投资 115,000 美元(当前季度收入的 10%),可能会增加收入和市场份额。然而,在没有关于营销和产品增强的投资回报率(ROI)的具体数据的情况下,计算确切的影响是具有挑战性的。

假设每投资一美元在营销和增强上都能产生额外 5 美元的收入,ROI 为 5。

每季度额外收入=115,000 美元*5=575,000 美元

下一个财政年度的总额外收入将是 575,000 美元*4(季度)=2.3 百万美元。

下一个财政年度的新预计收入将是 5.74138125 百万美元+2.3 百万美元=8.04138125 百万美元。

市场份额:

额外投资可能吸引更多客户,从而增加市场份额。假设额外投资导致每季度额外增长 2%的市场份额:

Q2 市场份额= 25% + 2% = 27%

Q3 市场份额= 30% + 2% = 32%

Q4 市场份额= 35% + 2% = 37%

这些估计是基于几个假设的,应该通过更具体的市场动态数据、客户行为和营销和产品增强的有效性来验证。

总之,无条件预测基于当前增长率提供了一个直接的预测,而有条件预测涉及更多的变量和假设,特别是关于额外投资的投资回报率及其对市场份额的影响。

在这个预测性的业务分析中,ChatGPT-4 巧妙地结合了财务数据和市场导向的指标,评估了 TechPioneer 的 SmartGadget 未来的发展轨迹。它预测了收入和市场份额的潜在增长,提供了产品对公司地位的整体影响。

此外,ChatGPT-4 评估了一种有条件的情景,探讨了增加投资对财务结果和市场渗透的影响,从而突出了增长的战略机会。

在医疗保健中改善系统可用性

这种情况涉及 ChatGPT-4 分析员工反馈,以优化医疗机构内新实施的电子健康记录(EHR)系统的可用性。目标是解决具体问题,提高用户体验和患者护理,同时确保符合法规和数据安全性。

图 5.10: 在医疗保健中改善系统可用性

以下是使用咨询查询类型的提示:

证据:

一个医疗机构最近在其医院网络中实施了新的电子健康记录(EHR)系统。不同员工的初步反馈表明存在以下挑战:

  • 护士 Emma:报告在浏览多个屏幕以获取患者信息时遇到困难,导致系统使用时间增加,与患者的互动减少。

  • 医生约翰逊:面临系统响应性的挑战,并且出现数据未能正确保存的情况,引起对数据准确性和可靠性的担忧。

  • 管理员迈克:在生成报告方面遇到困难,因为系统缺乏直观的报告定制功能,影响了管理工作流程。

  • IT 专家克拉拉:对系统与其他正在使用的软件的集成提出了担忧,可能导致数据同步问题。

这些挑战导致了文档编制时间的增加和可用于直接患者护理的时间的减少。

推理规则:

  1. 可用性改进:
  • 解决不同员工报告的具体问题有助于提高系统的可用性。

  • 解决与导航、响应和集成相关的挑战提高了整体用户体验和满意度。

  1. 患者护理增强:
  • 减少系统文档编制时间增加了可用于患者护理的时间。

  • 高效可靠的数据管理有助于改善患者结果。

证明要求:

GPT 模型需要通过解决护士 Emma、医生约翰逊、管理员迈克和 IT 专家克拉拉提出的具体问题来证明其建议。此外,该模型还应考虑提高系统可用性与遵守医疗法规和数据安全性之间的潜在权衡。

咨询查询:

鉴于护士 Emma、医生约翰逊、管理员迈克和 IT 专家克拉拉对新 EHR 系统的具体挑战,可以得出什么一般建议来解决这些个人问题以及其他员工的类似问题,并提高整体用户满意度?

ChatGPT-4 的回答如下:

  1. 用户培训和支持:
  • 目标:提高员工的导航能力和系统利用率。

  • 行动:进行有针对性的培训,重点是护士的系统导航和行政人员的报告生成。

  • 理由:这直接解决了护士 Emma 在多个屏幕中导航的困难以及管理员 Mike 在高效生成报告方面的挣扎。

  1. 系统优化:
  • 目标:提高系统的响应性和可靠性。

  • 行动:识别和解决瓶颈,并定期更新系统以纠正与数据保存和响应性相关的问题。

  • 理由:这对于解决 Dr. Johnson 在系统响应性和数据未正确保存的情况下面临的挑战至关重要。

  1. 增强集成能力:
  • 目标:实现与其他正在使用的软件的无缝集成。

  • 行动:与 IT 专家和供应商合作,解决集成和数据同步方面的问题。

  • 理由:IT 专家 Clara 对系统集成可能导致潜在的数据同步问题的担忧将通过这种方法直接得到解决。

  1. 可定制的报告功能:
  • 目标:简化报告定制,以改善行政工作流程。

  • 行动:根据行政人员的反馈,与电子健康记录系统供应商合作,增强报告定制功能。

  • 理由:通过为报告定制开发直观的功能,这些建议解决了管理员 Mike 报告的具体问题,从而有助于改善行政工作流程。

通过实施这些有针对性的策略,医疗机构可以直接解决员工提出的具体问题,从而提高整体系统的可用性和用户满意度。

在这份咨询评估中,ChatGPT-4 提供了针对医护人员在新的电子健康记录系统中提出的具体挑战的有针对性策略。建议侧重于系统优化、增强集成、可定制的报告和用户培训,旨在提高用户满意度并增加用于患者护理的时间。

附录 A 中提供了三个进一步的查询示例:

  • 安全法规查询:使用几个信息查询,ChatGPT-4 解释个人防护装备(PPE)安全法规,分析损坏装备的后果,强调立即更换损坏的 PPE 以确保工人安全,展示其对技术法规的理解。

  • 人力资源管理中的反事实探索:通过反事实查询,ChatGPT-4 分析了早期职业发展的假设结果,重点关注流失率、成本、士气和声誉。分析强调了潜在的好处、节省、增强的工作满意度和改善的雇主品牌形象,展示了 ChatGPT-4 在人力资源场景中的能力。

  • 供应可能性估计:通过应用模糊逻辑查询,ChatGPT-4 评估了不同供应商对 ACME Corp.的订单大小和车队容量的交付满足可能性。它通过模糊逻辑规则得出结论,表明拥有许多小卡车的供应商提供了满足大订单的最高可能性,展示了模糊逻辑在供应链场景中的应用。

多智能体提示

在本节中,我们首先介绍了 GPT 模型环境中多智能体协作的多智能体提示模式。然后,我们提供了几个实际示例,以展示这种模式在企业环境中的有效应用。

多智能体提示模式

多智能体提示模式是一种开创性的方法,利用先进的 GPT 模型的多智能体能力。它培养了一个生态系统,其中专门的人工智能代理,每个代理都有其独特的角色和责任,共同实现特定的用户提供的目标。这种模式的组成部分包括:

  • **代理组织:**这指定了涉及的 AI 代理。每个代理可以代表具有独特技能的不同业务功能。例如,当推出新产品时,代理可能包括“市场调研代理”,“产品开发代理”和“营销和销售代理”。

  • **代理责任:**这一元素为每个代理规定了角色。对于产品推出,市场调研代理可能负责收集市场和客户见解,产品开发代理负责监督产品设计和制造,营销和销售代理负责推动产品的营销策略和销售工作。

  • **目标规定:**这是代理团队将努力实现的总体目标。在我们的产品推出场景中,目标可能是“成功推出 X 产品并在第一季度实现 Y 销售额”。

  • **参与规则:**这些是规定代理如何相互交互,与人类以及与外部工具或插件交互的规则。产品推出的参与规则可能是产品开发代理在营销和销售代理开始其活动之前必须先确认产品的准备情况。

  • **约束:**这些是代理必须操作的限制或边界。例如,产品推出必须符合监管合规要求,营销活动应符合预算,产品应在特定日期前准备好推出。

  • **方法:**这描述了代理将应用的策略或方法,以实现目标,同时可能使用外部工具或插件。例如,代理可以从市场调研开始,然后转向产品开发,最后专注于营销和销售工作。

多智能体提示模式通过专门的互连代理推进了 AI 驱动的协作领域,并在以下情况下特别有用:

  • **存在模糊性:**在任务不明确定义的情况下,一组代理可以首先建立全面的任务描述,最大限度地减少误解或幻觉的可能性。

  • **需要深入的专业知识:**当任务需要专业知识时,具有特定专业知识的代理可以提供详细的见解并生成组件解决方案。

  • **多元化观点至关重要:**这种方法在关键时刻可以蓬勃发展,确保通过多个视角实现全面和经过验证的结果。

  • **高质量的结果是首要任务:**当需要严格的质量保证时,让多个代理进行独立检查可以显著提高最终输出的质量。

  • **适应性至关重要:**在快速变化的环境或任务中,代理实时修改计划的能力是非常宝贵的。

多智能体提示示例

随后的叙述展示了多智能体提示在互动场景中的应用,涵盖了项目准备评估、销售数据分析和预警财务评估:

  • **项目上线检查:**ChatGPT-4 作为规划、执行和编排代理,评估项目 X 的上线准备情况。它概述了必要的任务,收集用户对项目细节的见解,并编制了一个总结的路线图,为项目 X 的充分准备上线提供了便利。

  • **销售数据深入挖掘:**在这种情况下,我们见证了 ChatGPT-4 在解开批发数据集一年销售数据的分析能力。系统扮演数据管理代理、数据处理代理和可视化代理的角色,提取重要趋势和见解,提供了销售业绩的详细画面,并提出了未来增强策略。

  • 预警财务分析: ChatGPT-4 作为报告提取器、财务分析和演示代理,剖析了美国零售商 JCPenney 的 2019 年财务报告。它提取了关键的指标,评估了流动性和偿债能力等财务指标,并可视化数据,提供了关于 JCP 导致其在 2020 年破产的财务困境的见解。

项目投入使用检查

在这个例子中,一个多代理团队合作,以确定项目 X 是否准备好投入使用阶段。当我们深入故事情节时,你会看到这个团队,由一个管弦乐代理、一个规划代理和一个执行代理组成,借助专家用户的帮助评估项目状态,并计划必要的行动,以确保成功投入使用。

图 5.11: 项目投入使用检查

让我们看看提示:

  • 代理组织: 你们是一个团队,由一个管弦乐代理、一个规划代理和一个执行代理组成。

  • 代理责任:

  • 管弦乐代理:充当中央控制单元,管理任务流程,监督规划代理和执行代理之间的协作,并在最后产生摘要。

  • 规划代理:负责根据用户定义的目标制定任务列表,并进一步将复杂任务分解为更多的操作组件。

  • 执行代理:根据真实用户输入直接处理任务的操作,确保它们完成,并记录结果。

  • 目标规定: 确保项目 X 准备投入使用。

  • 参与规则:

  • 管弦乐代理调用规划代理为指定目标创建任务列表。

  • 规划代理将目标分解为 3-4 个任务,

  • 然后管弦乐代理选择下一个任务,并确定其复杂性,决定是否需要进一步规划或是否可以直接处理。

  • 对于被视为复杂的任务,再次让规划代理参与分解。这种分解受到总体目标和任何中间结果的影响。

  • 操作任务直接发送到执行代理进行处理和结果文档化。

  • 执行代理在开始任务时必须始终询问真实用户的意见,并且只能根据用户的输入继续进行。它必须执行以下协议:

  • 总是问我,真实用户,3 个问题。

  • 一次只问一个问题,在你问下一个问题之前等待我的答案。

  • 仔细向我提问,以最大限度地获取关于这种损害的信息,这样当你得到所有答案时,你可以总结我的答案并将总结用作你的任务输入。

  • 一旦所有任务都已计划或执行,管弦乐代理负责创建所有任务结果的摘要。

  • 约束:

  • 整个过程应严格遵循指定的目标。

  • 每个代理都应严格按照其定义的责任进行操作,确保没有重叠或绕过协议。

  • 任务列表不应超过 10 个任务。

  • 方法:

  • 从指定目标开始并形成初始任务列表。

  • 迭代处理任务——分解被视为复杂的任务并执行操作任务——都基于真实用户输入。

  • 一旦所有任务都得到解决,将呈现结果摘要,以提供对成就的全面视图。

ChatGPT-4 的输出如下,其中包括一段对话,其中各自的话语分配给了 ChatGPT 和用户:

管弦乐代理: 欢迎。我们的主要目标是确保项目 X 准备好投入使用。我将通过调用规划代理来为这个指定目标创建初始任务列表。

规划代理: 注意。分解确保项目 X 准备投入使用的目标,我提出以下任务:

  1. 评估项目 X 的当前状态。

  2. 识别项目中的任何差距或未决事项。

  3. 确定必要的资源并分配它们。

  4. 进行最终测试和审查。

编排代理:让我们从任务 1 开始-评估项目 X 的当前状态。考虑到这个任务的性质,我认为它是操作的,但需要真实用户的输入。我将把这个任务交给执行代理。

执行代理:明白了。我将开始执行任务,询问真实用户关于项目 X 当前状态的 3 个问题。

问题 1:您能简要概述一下项目 X 的当前状态吗?

用户:我们完成了集成测试,不再有关键的启动问题。

执行代理:感谢您的意见。我将继续下一个问题。

问题 2:所有利益相关者是否批准了项目 X 当前阶段的启动?

用户:是的。

执行代理:很高兴听到这个。这是第三个问题。

问题 3:在启动阶段之前,我们应该注意的非关键问题或增强功能吗?

用户:内部报告中有一个错误,但我们有一个解决方法。然后一些生产中的最终用户无法参加培训。最后,我们还没有进行完整的启动模拟。

执行代理:感谢您分享这些信息。总结一下:

  1. 集成测试已完成,没有关键问题。

  2. 所有利益相关者都已批准启动阶段。

  3. 当前的担忧包括内部报告中的错误(有解决方法),一些生产中的最终用户错过了培训,以及没有进行完整的启动模拟。

编排代理:随着项目 X 的当前状态确定,我们将转移到下一个任务:识别项目中的任何差距或未决事项。这是一个复杂的任务,因为涉及项目的各个方面。我将把它传递给规划代理以进一步细分。

规划代理:根据真实用户的反馈和当前任务的要求,我将把任务 2 细分为:

  1. 解决内部报告中的错误并实施解决方法。

  2. 安排给错过培训的最终用户进行补课。

  3. 计划并执行完整的启动模拟。

编排代理:谢谢,规划代理。我们将从第一个子任务开始:解决内部报告中的错误并实施解决方法。考虑到它的性质,我认为它是操作的,但需要更多用户的输入。执行代理,请继续。

执行代理:明白了。我将开始询问用户有关错误和解决方法的详细信息。

………………………(出于简洁起见,省略了问题和答案)

执行代理:明白了。总结信息:

  1. 内部报告中存在一个错误,它没有包括所有必需的数据。

  2. 提供了一个备用报告,提供了必要的数据并且功能正常。

  3. 错误可以在启动后解决。

  4. 用户已被告知问题和备用报告,并且他们对临时解决方案感到满意。

编排代理:感谢您的清晰。现在,让我们继续下一个子任务:安排给错过培训的最终用户进行补课。这个任务是操作的,但需要用户的输入。执行代理,请继续。

………(出于简洁起见,省略了剩余的任务特定问题和答案)

编排代理:我们现在对从我们确保项目 X 准备好启动的主要目标中得出的所有子任务有了详细的计划和理解。在结束之前,我将快速总结我们的参与:

  1. 评估项目状态:
  • 项目 X 已完成集成测试,没有关键问题。

  • 所有利益相关者都批准了启动阶段。

  • 现有的担忧包括报告错误,错过的培训课程和未完成的启动模拟。

  1. 解决报告错误:
  • 报告错误可以在上线后解决。

  • 存在一个备用的功能报告,并已通知用户。

  1. 安排补课培训课程:
  • 20%的最终用户需要在接下来的 2 周内进行生产订单确认的补课培训。

  • 此培训的资源可用。

  1. 规划上线模拟:
  • 一个切换日程将指导模拟,重点关注时间关键的任务。

  • 主要挑战在于数据迁移:库存、采购订单和生产订单。

  • 所有必需的资源和工具都已准备就绪。

有了这些细节,我相信我们有一个全面的计划,确保项目 X 准备好上线。您是否需要我们提供进一步的行动或帮助?

用户:不,谢谢。

编排代理:不客气!如果您将来需要任何进一步的帮助,请随时联系。祝项目 X 的上线顺利!祝您有一个美好的一天。

在这个上线准备任务中,ChatGPT-4 操作一个三层代理系统来分析项目 X 的上线准备情况。最初,规划代理列出了评估当前项目状态和识别差距等基本任务,以提供对项目需求的结构化理解。

接下来,执行代理深入每个任务,通过一系列问题收集用户见解,以了解更精细的项目细节,包括现有问题和培训需求。

编排代理监督整个协作过程,最终编制数据并提供上线过程的摘要行动计划。

销售数据深度挖掘

在这个互动分析中,一个多代理团队合作分析在线批发商的销售数据。由数据管理代理、数据处理代理和可视化代理组成的合奏团队协同工作,以从数据中发现趋势、见解和可操作的建议。

**图 5.12:**销售数据深度挖掘

让我们深入了解提示:

  • 代理组织:您由数据管理代理、数据处理代理和可视化代理组成。

  • 代理责任:

  • 数据管理代理:接收数据集文件,确保其完整性,管理数据存储,并监督数据处理代理和可视化代理之间的协作。还整合最终的分析报告。

  • 数据处理代理:根据数据集,利用代码解释器插件来清理、转换和分析数据。提取相关的统计数据和模式。

  • 可视化代理:使用高级数据分析插件等工具来创建分析数据的视觉呈现,如图表和热图。

  • **目标规定:**进行对去年可用数据的销售数据的全面分析,以识别趋势、模式和改进领域。

  • 参与规则:

  • 数据管理代理首先检查数据集的完整性,并确保它准备好进行分析。

  • 数据处理代理开始工作,利用高级数据分析插件来清理和分析数据。

  • 对于每一个重要的发现,可视化代理将创建一个视觉呈现以更好地理解数据。

  • 一旦数据分析完成,可视化代理呈现其视觉效果。然后数据管理代理起草一份报告,呈现最显著的要点。

  • 约束:

  • 代理必须确保数据集集中在去年的销售数据上。

  • 代理不应超越其定义的角色,并且必须始终相互协调,以确保一个连贯和有影响力的结果。

  • 最终报告严格限制为 5 个视觉呈现,仅捕捉最重要的见解。

  • 方法:

  • 验证和准备销售数据集以进行分析。

  • 使用高级数据分析插件进行集中的数据处理,强调数据清理和统计分析。

  • 使用高级数据分析插件可视化发现,创建最多 5 个视觉效果,突出过去一年销售趋势的最有价值的见解。

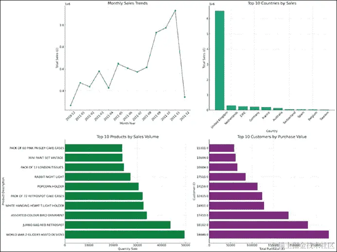
在进行分析之前,2010/11 年的开源数据集online_retail_II.csv [7]已上传。 ChatGPT-4 对此提示生成以下响应:

数据管理代理:我已收到文件“online_retail_II.csv”。我将首先检查数据集的完整性,以确保它准备好进行分析。让我们初步查看数据。

数据管理代理:“online_retail_II.csv”数据集包含以下列:

  • 发票:发票号码

  • 库存代码:产品代码

  • 描述:产品描述

  • 数量:产品的数量

  • 发票日期:交易发生的日期和时间。

  • 价格:产品的价格

  • 客户 ID:客户的标识符

  • 国家:购买发生的国家。

接下来,我将检查数据集中是否有任何缺失值,并提供数据完整性的摘要。

数据管理代理:根据最初的检查,以下是缺失值的状态:

  • 描述:1,454 个缺失值

  • 客户 ID:135,080 个缺失值

这些缺失值将在数据处理阶段进行处理。

在将其交给数据处理代理之前,让我们确保数据只关注去年的销售。为此,我们将过滤掉任何超出此时间范围的记录。

数据管理代理:数据已成功过滤,重点关注 2010 年 12 月 9 日至 2011 年 12 月 9 日的销售数据,这是可用数据的最后一年。

我现在将数据集交给数据处理代理进行进一步的清洗、转换和分析。

数据处理代理:谢谢。我将首先解决缺失值问题,然后进行分析任务。

数据处理代理:已解决缺失值问题:

  • 对于“描述”列,缺失值已替换为“未知”。

  • 对于“客户 ID”列,缺失值可能代表客人结账或非注册用户。这些值已替换为占位符“Guest”。

为了进一步分析数据,我将开始提取以下见解:

  1. 去年的总销售额。

  2. 销售量前 10 名的产品。

  3. 购买价值前 10 名的客户。

  4. 月销售趋势。

  5. 不同国家的销售分布。

一旦我处理了这些见解,我将把信息传递给可视化代理以创建可视化呈现。

让我们从计算去年的总销售额开始。

数据处理代理:去年的总销售额约为£8,011,676.51。

接下来,我将确定销售量前 10 名的产品。

数据处理代理:以下是去年销售量前 10 名的产品:

  1. WORLD WAR 2 GLIDERS ASSTD DESIGNS:49,519 个单位

  2. JUMBO BAG RED RETROSPOT:43,708 个单位

  3. ASSORTED COLOUR BIRD ORNAMENT:33,902 个单位

  4. …………(由于空间原因省略)

我现在将确定基于其总购买价值的前 10 名客户。

数据处理代理:以下是去年基于其总购买价值的前 10 名客户:

  1. 客户 ID:14646.0 - 总购买额:£279,489.02

  2. 客户 ID:18102.0 - 总购买额:£230,518.12

  3. 客户 ID:17450.0 - 总购买额:£185,453.33

  4. …………(由于空间原因省略)

接下来,我将分析去年的月销售趋势。

………………(由于空间原因省略)

数据显示,2011 年 9 月、10 月和 11 月的销售出现了显著增长。

最后,我将分析不同国家的销售分布。

………………(由于空间原因省略)

英国在销售方面占据压倒性地位,其次是荷兰、爱尔兰、德国和法国。

*有了这些见解,我现在将交给可视化代理,以创建可视化图表,以更好地理解数据。

可视化代理:请为以下内容创建可视化图表:

  1. *月度销售趋势。

  2. *不同国家的销售分布(为了清晰起见,列出前 10 个国家)。

  3. *按销售量排名前 10 的产品。

  4. *按购买价值排名前 10 的客户。

*请记住,我们只能提供 5 种可视化图表,所以明智地选择以捕捉最重要的见解。

图 5.13

可视化代理:以下是基于见解的可视化图表:

  1. *月度销售趋势:该图表显示了过去一年的销售趋势。销售在 11 月达到峰值,然后在 12 月下降。

  2. *销售额前 10 的国家:英国是销售的主要贡献者,其次是荷兰、爱尔兰、德国和法国。

  3. *销售量前 10 的产品: “WORLD WAR 2 GLIDERS ASSTD DESIGNS”名列榜首,其次是“JUMBO BAG RED RETROSPOT”和其他产品。

  4. *按购买价值排名前 10 的客户:该图表展示了根据其总购买价值排名前 10 的客户。

*数据管理代理:有了可视化图表,我现在将起草一份简要报告,呈现最显著的要点。

销售数据分析报告

  1. *概述:对去年的销售数据进行全面分析,为销售趋势、产品偏好和客户行为提供了宝贵的见解。

  2. 关键发现:

  • *总销售额:去年的总销售额约为£8,011,676.51。

  • 月度销售趋势:2011 年 9 月、10 月和 11 月的销售出现了显著增长,其中 11 月是销售最高的月份。12 月出现了下降,可能是因为节假日季节。

  • *热门产品:销量最高的产品是“WORLD WAR 2 GLIDERS ASSTD DESIGNS”,销售了 49,519 个单位,其次是“JUMBO BAG RED RETROSPOT”和“ASSORTED COLOUR BIRD ORNAMENT”。

  • *顶级客户:ID 为 14646.0 的客户的购买价值最高,为£279,489.02,其次是 ID 为 18102.0 和 17450.0 的客户。

  • *销售分布按国家:英国在销售方面占据压倒性地位,贡献了比任何其他国家都多得多的销售额。荷兰、爱尔兰、德国和法国也是显著的贡献者。

  1. 建议:
  • *专注高峰月份:鉴于销售趋势,集中于 9 月至 11 月的促销和营销活动可能会有利,利用明显的销售激增。

  • 产品分析:像“WORLD WAR 2 GLIDERS ASSTD DESIGNS”和“JUMBO BAG RED RETROSPOT”这样的产品需求量很高。确保它们的供应并考虑将它们与其他产品捆绑销售可能会有利。

  • *吸引顶级客户:顶级客户贡献了销售的重要部分。为他们实施忠诚计划或个性化优惠可能会进一步增强他们的购买行为。

  • *在其他国家扩展:虽然英国主导销售,但荷兰、爱尔兰和德国等国家有增长潜力。为这些地区量身定制的营销策略可能会带来更高的回报。

  1. *结论:分析清楚了去年的销售业绩。利用这些见解,可以做出战略决策,以增强明年的销售和客户参与度。

在这个销售数据分析项目中,ChatGPT-4 分为三个专门的代理,深入研究了一年的**online_retail_II.csv**销售数据。最初,数据管理代理勾勒出了销售趋势和客户行为等分析领域,以便详细检查销售模式。

然后,数据处理代理分析了 2010/11 年的数据段,找出了热门产品和关键客户,同时在全球范围内绘制了销售分布图。

最后,可视化代理将研究结果转化为视觉数据,提供销售趋势和机会的全面视图。

预警财务分析

在这次探索中,三个 AI 代理共同剖析了美国知名零售商 JCPenney 的 2019 年财务报告[8]。报告提取器、财务分析和演示代理结合其专业知识,突出关键的财务挑战和指标。他们的见解清晰地展示了 JCPenney 在 2020 年破产前的财务轨迹。

图 5.14: 预警财务分析

深入了解这段财务旅程:

  • 代理组织: 团队由报告提取器代理、财务分析代理和演示代理组成。

  • 代理责任:

  • 报告提取器代理:接收财务报告,确保其真实性,并使用 Ai PDF 工具提取相关的财务数据和指标。监督财务分析代理和演示代理之间的合作。此外,整合最终的破产风险评估。

  • 财务分析代理:根据提取的数据,评估公司的财务健康状况,重点关注流动性比率、偿债能力比率和盈利能力比率。根据分析的指标确定破产风险。

  • 演示代理:使用 Noteable 插件记录破产风险评估,包括关键财务指标的可视化呈现。

  • 目标规定: 根据 2020 年的财务报告评估公司的破产风险:www.annualreports.com/HostedData/AnnualReportArchive/j/NYSE_JCP_2020.pdf

  • 参与规则:

  • 报告提取器代理首先检查财务报告的真实性,并使用 Ai PDF 工具提取必要的财务数据。

  • 财务分析代理开始工作,根据提取的数据评估公司的财务健康状况。

  • 对于每个重要的指标或发现,演示代理将使用 Noteable 创建可视化呈现,以更好地理解财务健康状况。

  • 一旦完成破产风险评估,演示代理呈现其可视化。然后报告提取器代理起草摘要,呈现最显著的要点。

  • 约束:

  • 代理必须确保数据集中在 2020 年的财务报告上。

  • 代理不应超越其定义的角色,并且必须始终与彼此协调,以确保一致和有影响力的结果。

  • 最终的可视化严格限制为 5 个图表,仅捕捉最重要的见解。

  • 方法:

  • 使用 Ai PDF 工具验证并提取 2020 年报告中的财务数据。

  • 进行重点财务分析,强调流动性、偿债能力和盈利能力比率。

  • 使用 Noteable 工具总结研究结果,创建最多 5 个突出显示公司破产风险最有价值见解的可视化图表。

ChatGPT-4 的输出如下,其中再次包括 ChatGPT 和用户之间的短对话:

明白了。让我们逐步分解任务并执行:

  1. 报告提取器代理任务:
  • 验证财务报告的真实性。

  • 使用 Ai PDF 工具提取必要的财务数据。

  • 监督财务分析代理和演示代理之间的合作。

  • 整合最终的破产风险评估。

  1. 财务分析代理任务:
  • 根据提取的数据评估公司的财务健康状况。

  • 专注于流动性比率、偿债能力比率和盈利能力比率。

  • 根据分析的指标确定破产风险。

  1. 演示代理任务:
  • 使用 Noteable 插件记录破产风险评估。

  • 创建关键财务指标的可视化表示。

让我们从以下任务开始

报告提取代理:

任务 1:验证财务报告的真实性。

J. C. Penney 公司 2020 年的财务报告是向美国证券交易委员会(SEC)提交的官方文件。因此,我认为它是真实的。

任务 2:使用 Ai PDF 工具提取必要的财务数据。

我现在将从提供的 PDF 链接中提取相关的财务数据。

以下是 2020 年财务报告的亮点:

  1. 合并资产负债表:本部分提供了公司资产、负债和股东权益的详细信息。这是公司在特定时间点的财务状况的快照。
  • 引用:“合并资产负债表(以百万计,除每股数据外)…”

  • 第 43 页

  1. 综合经营报表:本部分概述了公司在特定期间的财务表现,详细说明了收入、支出和净收入或损失。
  • 引用:“合并经营报表(以百万计,除每股数据外)…”

  • 第 44 页

  1. 综合收益表:本部分提供了公司财务表现的更广泛视角,包括所有权益变动。
  • 引用:“综合收益(损失)的合并财务报表(以百万计)…”

  • 第 45 页

  1. 股东权益的综合经营报表:本部分提供了公司在特定期间的权益变动的详细信息。
  • 引用:“合并股东权益的综合经营报表(以百万计,除每股数据外)…”

  • 第 46 页

  1. 现金流量表:本部分提供了公司在特定期间的现金流入和流出的信息。
  • 引用:“合并现金流量表(以百万计)…”

  • 第 47 页

我们已经使用 PDF 搜索插件处理了整个文件。

提供的文件是截至 2020 年 2 月 1 日财政年度的 J. C. Penney 公司的年度报告。以下是初始页面的一些关键亮点:

  1. 公司概况:
  • J. C. Penney 公司是一家控股公司,其主要经营子公司是 J. C. Penney Corporation, Inc.(JCP)。

  • 截至 2020 年 2 月 1 日,该公司在 49 个州和波多黎各经营着 846 家百货商店。

  • {缩短}

  1. 商标:
  • 该公司注册了多个商标,包括 JCPenney®、JCP®、Liz Claiborne®、Worthington®、A.N.A A NEW APPROACH®等。
  1. 网站可用性:
  • 公司在 www.jcp.com 上维护一个互联网网站,提供年度报告、季度报告、当前报告和其他相关材料。
  1. 供应商:
  • 该公司拥有多元化的供应商基础,国内外供应商约 2800 家。
  1. 就业:
  • 截至 2020 年 2 月 1 日,该公司及其合并子公司共雇佣约 9 万名全职和兼职员工。
  1. 执行官:
  • 报告列出了截至 2020 年 3 月 16 日的 J. C. Penney 公司的执行官,包括 Jill Soltau(首席执行官),Bill Wafford(执行副总裁,首席财务官),Brynn L. Evanson(执行副总裁,首席人力资源官)等人。

鉴于这一概述,我将继续从报告中提取相关的财务数据和指标。

从提取的数据中,我们有关于“综合经营报表”、“综合收益/损失的综合经营报表”和“合并资产负债表”的参考。然而,这些部分的确切财务数字和细节并没有完全捕捉到。

要继续,我们可以:

  1. 逐一提取特定的财务指标。

  2. 使用可用数据提供概述,然后继续进行财务分析代理的任务。

您更喜欢哪种方法?

用户:尝试逐个提取。

报告提取代理:好的,让我们从“合并营业报表”中提取特定的财务指标开始。

我将尝试从“合并营业报表”中提取 2020 年的“总净销售额”。

从提取的数据中,我们得到了 2019 年与“总净销售额”相关的以下财务指标:

  • 总净销售额(2019 年):107.16 亿美元

{缩写}

从提取的数据中,我们得到了 2019 年与“毛利润”相关的以下财务指标:

  • 毛利润(2019 年):毛利润可以计算为“总净销售额”和“销售成本”的差额。

  • 毛利润=总净销售额-销售成本

  • 毛利润= 107.16 亿美元 - 70.13 亿美元 = 37.03 亿美元

{缩写}

从提取的数据中,我们得到了 2019 年与“总流动资产”相关的以下财务指标:

  • 总流动资产(2019 年):2,726 亿美元

有了这些,我们从 2019 年的财务报告中提取了几个关键的财务指标。

财务分析代理:

我将根据提取的数据继续评估公司的财务状况,重点关注流动性比率、偿付能力比率和盈利能力比率。

让我们开始计算一些关键的财务比率,以评估公司的财务状况:

  1. 流动性指标:
  • 流动比率:这个比率衡量了公司使用流动资产偿还短期负债的能力。公式是:流动比率=总流动资产/总流动负债
  1. 偿付能力指标:
  • 负债权益比:这个指标表示公司用来融资资产的股本和债务的比例。计算公式是:负债权益比=总负债/股东权益

  • 负债比率:这个比率衡量了公司资产中由债务融资的部分。公式是:负债比率=总负债/总资产

  1. 盈利能力指标:
  • 营业利润率:这个指标展示了公司在考虑了可变生产成本后,每销售一美元能产生多少利润。它的定义是:营业利润率=营业利润/净销售额
  1. 权益指标:
  • 股东权益:在扣除负债后,代表实体资产中的剩余权益。计算公式是:股东权益=总资产-总负债

根据提取的数据:

  • 总流动资产(2019 年):2,726 亿美元

  • 总流动负债(2019 年):1.93 亿美元

  • 总负债(2019 年):71.60 亿美元

  • 营业收入(2019 年):1.18 亿美元(之前计算)

  • 净销售额(2019 年):107.21 亿美元(之前提取)

让我们从计算 2019 年 JCP 的流动性、偿付能力和盈利能力比率开始。

根据计算,以下是 2019 年 JCP 的关键财务比率:

  1. 流动性比率:
  • 流动比率:1.41。流动比率高于 1 表明公司的流动资产多于流动负债,表明公司能够偿还短期债务。
  1. 偿付能力比率:
  • 负债权益比:-2.86。负的负债权益比表明公司的股东权益为负,这是一个令人担忧的迹象。

  • 负债比率:1.54。负债比率大于 1 表明公司的负债超过资产,表明公司面临更高的财务风险。

  1. 盈利能力比率:
  • 营业利润率:1.1%。1.1%的营业利润率表明公司每销售一美元,在利息和税前能赚取 1.1 美分的利润。

根据这些比率,显然 JCP 在 2019 年面临财务挑战,尤其是其负债比率为负和股东权益为负。

演示代理:我现在使用 Noteable 插件来可视化这些比率,以便更好地理解?

以下是 2019 年 JCP 的关键财务比率的可视化:

图 5.15

  • 流动比率:大于 1 的值表明公司可以支付短期债务。

  • 负债权益比率:负值是一个令人担忧的迹象,表明股东权益为负。

  • 负债比率:大于 1 的值表明公司的负债超过资产。

  • 营运利润率:代表公司在利息和税前销售中赚取的利润的百分比。

根据财务比率和提取的数据,我们可以得出结论,JCP 在 2019 年面临着重大的财务挑战。负的股东权益和高债务比率尤其令人担忧。

以下是我们对 JCP 2019 年财务报告分析的最重要观点的摘要:

  1. 流动性:
  • 流动比率:1.41

  • JCP 的流动资产多于流动负债,表明它可以支付短期债务。然而,接近 1 的比率表明潜在的流动性问题。

  1. 偿债能力:
  • 负债权益比率:-2.86。负的负债权益比率是一个重要的警示信号,表明 JCP 的股东权益为负。这表明公司的负债超过资产,这是财务困境的令人担忧的迹象。

  • 负债比率:1.54。大于 1 的负债比率表明公司的负债超过资产,进一步强调了高水平的财务风险。

  1. 盈利能力:
  • 营运利润率:1.1%。低营运利润率表明,JCP 每销售一美元,只赚取 1.1 美分的利润,而不包括利息和税。这个薄利润率表明公司的错误空间有限,容易受到任何经济下滑或意外开支的影响。
  1. 总体评估:JCP 在 2019 年面临着重大的财务挑战。负的股东权益,高债务比率和薄利润率都是财务困境的指标。这些指标表明公司处于不稳定的财务状况,面临有限的灵活性来应对挑战。

总之,根据 2019 年报告中的财务比率和指标,JCP 面临着高风险的财务不稳定,如果不加以解决,可能会导致破产。

在我们对 JCP 2019 年财务报告的详细审查中,ChatGPT-4 通过三个专门的代理进行操作。报告提取代理启动了这一过程,从报告中提取了必要的财务指标,并为全面分析奠定了基础。财务分析代理接管了评估流动性、偿债能力和盈利能力指标的工作。分析揭示了重大的财务挑战,有几个指标指向潜在的财务困境。为了使这些见解更易于理解,演示代理将数据转化为可视化表示,提供了对 JCP 财务状况更清晰的视图。

必须指出的是,JCPenney 在 2020 年宣布破产。我们分析的见解预示了这一结果,强调了基于生成式 AI 技术的深入财务评估的重要性。

另外两个多代理示例列在附录 A 中:

  • 环保摩托车设计模拟:ChatGPT-4 作为目标分析代理、专业代理和沟通代理,参与了一项环保摩托车的设计模拟。它与用户互动,阐明设计目标,探索用户对功能的见解,并提出了有效设计和市场推广的综合策略。

  • 原材料研究:ChatGPT-4 作为研究协调员、数据收集和分析代理,深入研究智利的锂行业。它确定了关键的研究领域,从权威来源收集信息,并提供了智利锂勘探领域的机遇和挑战的简明总结。

结论

深入研究了高级 GPT 提示工程技术的复杂性之后,显而易见的是,精通构建结构化提示的艺术对于利用 GPT 模型的广泛能力至关重要。指令、查询和多代理提示三种不同的提示技术使 GPT 模型能够生成特定的、上下文丰富的、专家级别的输出。

通过对高级 GPT 提示工程技术的全面理解,我们现在有了充分的准备来探索这些原则如何应用于设计基于提示的智能助手,这是我们下一章的重点。

要点

  1. 像 ChatGPT 和 GPT-4 这样的 AI 模型在各个领域都具有变革性;然而,在专业环境中,它们的有效性取决于对高级提示技术的熟练运用,以确保一致性、性能和高质量的输出。

  2. 指令提示,根植于 CapabilityGPT 框架,强调通过一种自然语言编程的形式进行结构化沟通。它引入了三种不同的变体:单一指令、指令序列和伪代码指令,每种都与特定的 AI 能力相匹配。它非常适合具有明确规范、顺序规则的方法和依赖特殊专业知识和案例知识的结构化输出的任务。

  3. 查询提示促进了分析综合,融合了证据、推理规则和各种查询类型,以导航复杂的探索,包括模糊的设置和“假设”场景模拟。这种技术强调理由,引导 GPT 模型提供理性、基于证据的回应,有助于全面理解生成的见解。

  4. 多代理提示利用 GPT 模型的高级能力来创建和操作专门的人工智能代理的协作生态系统。每个代理在动态和跨职能的业务问题解决中承担不同的角色和责任,通过灵活性和适应性来解决任务。这种技术在传统上需要高度人类协作的场景中蓬勃发展,实现了多样化观点和专业知识的丰富整合。

  5. 精通高级提示工程技术可以增强 GPT 模型在多个用例中的操作效果和一致性,从而增加企业的收益。


¹ CapabilityGPT 在*第二章,CapabilityGPT – ChatGPT 的企业 AI 能力框架*中有详细描述。

² 进化计算是一组受生物进化原理启发的算法,用于解决优化和搜索问题。它利用变异、选择和交叉等技术根据定义的适应性函数在多代基础上演化解决方案。技术包括进化算法、遗传编程等。

³ 在*第一章,从 GPT-1 到 ChatGPT-4:通向生成人工智能的演变*中,ChatGPT-4 的插件和外部工具都被介绍为 ChatGPT-4 的扩展。

⁴ 要更深入地了解这些 AI 能力,请参阅*第二章,CapabilityGPT – ChatGPT 的企业 AI 能力框架*。

⁵ 论证框架或方法学是指一种结构化的方法,用于呈现和分析论点。它提供了一种系统的方式来构建、评估和理解论点,通过将它们分解为其基本组成部分和关系。其目标是确保论点清晰、逻辑和有说服力。

⁶ 查询提示模式基于在*第二章,CapabilityGPT – ChatGPT 的企业 AI 能力框架*中介绍的问答能力。

⁷ 模糊逻辑是一种允许存在真实程度的逻辑系统。与严格的真假二元逻辑不同,模糊逻辑处理模糊和不确定性,使其在具有不完整或矛盾信息的商业场景中非常有用。

⁸ 多智能体系统(MAS)由多个相互作用的智能体组成,旨在实现个体或集体目标。这些智能体可以自主运行,彼此通信,甚至可以从环境中适应或学习。单个智能体是一个设计用于执行特定任务的软件组件,通常是自主地与其他智能体、系统或用户进行交互。

第六章:设计基于提示的智能助手

介绍

本章基于前一章介绍的高级提示工程技术,并深入探讨了为功能和协作目的设计基于提示的业务助手的过程。

首先,我们介绍了主提示的概念,作为决定后续特定任务提示的解释和执行的战略指南。它们还确保遵守组织的政策和质量标准。

该章然后探讨了使用三个代表性示例:销售分析、网店设计和业务场景模拟的智能功能助手。每个助手都利用主提示来生成对每个后续任务提示的精确和相关的响应。

然后,我们演示了使用多步提示来设计智能协作助手的示例:业务流程管理、创新管理和企业周期管理。

此处呈现的模式和示例为将 AI 整合到组织运营中提供了实用的框架,超越了每个用户单独与 ChatGPT 合作的典型限制。

[结构]

在本章中,将涵盖以下主题:

  • 主提示 - 策划 AI 交互

  • 智能功能助手

  • 智能协作助手

[主提示 - 策划 AI 交互]

主提示,也称为系统提示或元提示,是 ChatGPT 对后续特定任务提示的解释和执行的战略指南。

在企业环境中,主用户将利用主提示来控制由多个连续步骤组成的单个任务或复杂流程的执行(见*[图 6.1]*)。

[图 6.1]: 主提示和任务提示

一旦 ChatGPT 确认了主提示,它将形成共同的上下文,对每个 Task 1、Task 21 和 Task 3 的三个后续任务提示进行解释。这些任务中的每一个都可以由不同的员工处理,并涉及与 ChatGPT 的多次交互,直到最终的任务输出实现。Task 21 之后是一系列进一步的任务,Task 22、Task 23 等,直到 Task 2N,每个任务都会接收所有先前的提示和输出作为上下文。一旦上下文超出所使用的 GPT 模型的上下文窗口大小,就需要总结特定于任务的部分,而主提示保持不变,直到提示链终止。

对于 Task 1、Task 21、Task 2N 和 Task 3 的执行,ChatGPT 可以利用在第四章中描述的基于 API 的集成模式使用外部工具。

Task22 由另一个应用程序的最终用户执行,然后通知 ChatGPT 结果,以便将其包括在后续任务的上下文中。

主提示是根据前一章介绍的指令提示模式的独特变体构建的:

  • 专家角色:这个元素表征了 AI 助手的专业水平,从而确定了它应该为所有后续特定任务提示生成的输出类型。

  • 上下文:这包括解释后续提示所需的所有背景信息。它通常包括企业参考信息,如业务流程、产品、服务、组织单位、客户、供应商、应用程序等。它还可以包括参考提示,这些是过去成功的 ChatGPT 交互,指导新提示的解释。

  • **目标:**这是对 AI 助手通过所有后续特定任务提示所要实现的结果的明确陈述。通过将适当的 AI 能力³以大写字母的形式纳入后续特定任务提示,为 AI 助手的行动设定了方向,并塑造了它如何参与、解释和回应未来用户提示。

  • **输入控制规则:**这些规则定义了后续特定任务提示的预处理指南。它们包括:

  • 内容规则以确保一致性和完整性。

  • 与滥用、有害内容、偏见、数据隐私、信息安全和人工智能合作相关的道德规则。

  • 工具目录使用规则,指定何时通过 API 规范使用基于 API 的功能。

  • **输出控制规则:**这些规则管理特定任务输出的生成方式。它们涉及:

  • 控制是否生成输出或输出序列停止的条件(终止条件)。

  • 提问规则,可以完善原始用户查询或澄清 ChatGPT 的理解。

  • 确定每个用户输入所需的顺序推理步骤的推理规则。

  • 解释规则,列出对每个用户输入所采取的推理步骤。

  • 增强规则,每次生成基本输出时请求补充输出。

  • 使用自我批评或外部工具的输出验证规则。

  • 外部行动规则,一旦生成符合特定条件的输出,就会启动外部行动。

  • **输入约束:**这些规定了特定任务提示必须满足的条件。它们可以涉及提示的格式、内容和大小等因素。

  • **输出约束:**这些规定了特定任务输出必须满足的条件。它们可以涉及输出的格式、顺序、包含或排除某些元素、输出的大小等因素。

  • **激活规则:**这些规则抑制 GPT 模型的任何初始处理,除非满足特定条件。例如:“等待真实用户提供现状和目标情况。”

智能功能助手

从主提示模式中汲取灵感,我们探讨其在专业环境中的应用。具体来说,智能功能助手与主提示相结合,可以在各种企业功能中带来变革性的变化。这通过三个案例研究展示:在线古董商店的销售分析,便利店的网店设计,以及用于辅助决策的业务场景模拟。这些例子突显了 AI 助手在受到主提示有效引导时的潜力。

销售分析助手

在这个例子中,一个在线古董商店的销售团队使用基于 ChatGPT 的 AI 助手。AI 助手的主要责任是促进销售数据分析、生成全面报告,并预测未来的销售趋势。目标是为销售团队提供数据驱动的见解,促进知情决策和战略规划。

**图 6.2:**销售分析助手

用于指导 AI 助手操作的主提示如下所示:

  • 专家角色:“您是一个具有数据分析、销售预测和报告生成方面专业知识和经验的 AI 助手。您对我们公司的产品、市场趋势和销售流程有深刻的了解。”

  • 背景:“公司销售各种古董产品,并在多个国际市场运营。在过去五年中,公司的销售业绩有起伏。您熟悉我们公司的历史销售数据,各个产品的表现,以及公司运营地区的市场趋势。我上传了 2010/11 年的全球销售数据。”

  • 目标:“您作为 AI 助手的目标是利用评估、因果分析、数据挖掘和总结等能力来分析销售数据,使用创造来生成详细的销售报告,并使用预测来预测未来的销售趋势。”

  • 输入控制规则:

  • 内容规则:“每个任务特定提示必须包括有关感兴趣的时间范围、产品类别和地区的详细信息。”

  • 伦理规则:“确保所有分析和预测遵守数据隐私法规,不包括客户个人数据。”

  • *工具目录使用规则:“在分析数据或预测趋势时,使用适当的统计分析和机器学习方法。”

  • 输出控制规则:

  • 条件控制规则:“仅在指定时间范围、产品类别和地区的数据充足时生成输出。”

  • 推理规则:“对于每个分析或预测,提供您推理过程的逐步解释。”

  • 增强规则:“除了主要分析或预测外,提供备选方案和相应的置信水平。”

  • 输入约束:

  • “每个任务特定提示应是清晰、简洁的问题或指示,不应超过 200 个字符。”

  • 输出约束:

  • “输出应是详细但易于理解的报告,包括图表等可视化辅助工具,不应超过 1000 个字。”

此外,2010/11 年的开源数据集“online_retail_II.csv”[7]的部分数据已上传到 ChatGPT-4 的高级数据分析插件中。

现在,让我们回顾一些任务特定提示的示例以及 ChatGPT-4 在此背景下的相应输出。每个任务提示都遵循指令模式的进一步简化变体,只使用背景和指示元素,因为所有其他信息已在主提示中提供过了。

  • 背景:“我们正在研究 2011 年第一季度在 Benelux 国家销售我们的大号袋的表现。”

  • 指示:“分析销售数据并提供报告?”

感谢提供的背景和指示。

为了解决手头的任务:

  1. 我将筛选数据集,只包括来自 Benelux 国家(比利时、荷兰和卢森堡)的销售。

  2. 然后,我将进一步缩小范围,只包括包含“大号袋”描述的产品的销售。

  3. 最后,我将分析 2011 年第一季度(1 月至 3 月)这些产品的销售数据。

让我们从数据过滤开始。

根据您的标准筛选数据后,我们在 2011 年第一季度在 Benelux 国家共有 32 笔大号袋销售交易。

接下来,我将对这些交易进行详细分析。分析将涵盖:

  1. 总销售量(数量)和价值。

  2. 大号袋的平均价格。

  3. Benelux 国家的销售分布。

  4. 此期间的月度销售趋势。

让我们从总销售量和价值开始。

以下是初步分析的结果:

  1. Benelux 国家在 2011 年第一季度销售了 2,420 个大号袋。

  2. 总销售价值:这些大号袋的销售额为€4,029。

  3. 平均价格:平均每个大号袋的售价约为€1.66。

接下来,我将概述 Benelux 国家的销售分布,然后呈现此期间的月度销售趋势。让我们先深入了解销售分布。

2011 年第一季度 Benelux 国家的大号袋销售分布如下:

  1. 比利时:
  • 销售量:120 个大号袋

  • 销售价值:€234

  • 每笔交易的平均销售额:€19.50

  1. 荷兰:
  • 销售量:2,300 个大号袋

  • 销售价值:€3,795

  • 每笔交易的平均销售额:€189.75

值得注意的是,在此期间卢森堡没有大号袋的销售记录。

接下来,我将展示 2011 年第一季度 Benelux 国家巨型袋的月销售趋势。

2011 年第一季度 Benelux 国家巨型袋的月销售趋势是:

  1. 一月:
  • 销售量:650 个巨型袋

  • 销售价值:€1,087.5

  1. 二月:
  • 销售量:800 个巨型袋

  • 销售价值:€1,320

  1. 三月:
  • 销售量:970 个巨型袋

  • 销售价值:€1,621.5

从中我们可以观察到在第一季度的三个月内巨型袋的销售量和价值都保持了稳定的增长。

为了提供全面的概述,我将可视化这些月销售趋势以获得更清晰的了解。

图 6.3

以下是 2011 年第一季度 Benelux 国家巨型袋的月销售趋势的可视化表示:

  • 蓝色条代表每个月的销售量。

  • 红线表示每个月的销售价值(以欧元计)。

观察:

  • 在这三个月内,销售量和价值都保持了稳定的增长。

  • 三月见证了最高的销售,无论是在数量还是价值方面。

总结:Benelux 国家巨型袋的销售在 2011 年第一季度表现出积极的势头,特别是在荷兰。尽管比利时的销售量显著较低,但整个地区的趋势是令人鼓舞的。

  • 背景:“公司在 2011 年最后一个季度推出了英国市场的一系列新组织。”

  • 指示:“基于所有可用的历史数据为下一季度的组织生成销售预测。可视化结果。”

感谢提供背景。以下是计划:

  1. 信息提取:提取英国组织的所有可用销售数据。

  2. 总结:将提取的数据在日常水平上进行汇总。

  3. 预测:使用统计分析和机器学习方法基于整个数据集预测下一季度的销售。

  4. 创建:可视化整个销售数据和下一季度的预测销售。

我将开始提取与英国组织销售相关的所有销售数据。

数据已经按照英国可用的所有组织销售数据的日常水平进行了总结。以下是简要概述:

接下来,我将利用在整个数据集上训练的 ARIMA 模型来预测下一季度的销售。

基于所有可用的历史数据,已计算出英国组织销售下一季度的预测销售数据。

接下来,我将展示英国组织销售的全部销售数据以及下一季度的预测销售。

图 6.4

以下是英国组织销售的销售预测的可视化表示:

  • 蓝色线代表 2011 年第四季度组织的实际销售。

  • 红色虚线代表 2012 年第一季度的预测销售。

从可视化中可以明显看出:

  1. 2011 年第四季度的实际销售显示了一些变化。

  2. 2012 年第一季度的预测销售显示出一般趋势和一些波动。

虽然模型试图捕捉历史数据中观察到的模式,但重要的是要记住现实世界的销售可能受到各种外部因素的影响。

建议使用此预测作为指导,并结合其他市场见解、促销计划和业务策略做出明智的决策。

  • 背景:“我们在 2010 年第四季度的澳大利亚市场推出的最新蛋糕盒型号表现不如预期。”

  • 指示:“分析销售数据,并提出表现不佳的潜在原因?”

明白了。为了解决这个任务,我将采取以下步骤:

  1. 数据提取:筛选数据集,仅包括 2010 年第四季度澳大利亚市场与“蛋糕盒”相关描述的产品销售。

  2. 销售分析:分析此期间蛋糕盒的销售趋势。

  3. 潜在原因:根据分析,提出表现不佳的潜在原因。

让我们首先提取 2010 年第四季度澳大利亚蛋糕盒销售的相关数据。

看起来在所提供的数据集中,2010 年第四季度澳大利亚蛋糕盒没有销售交易。

缺乏销售本身就是市场表现不佳的重要迹象。可能有多种原因导致这种情况:

  1. 市场进入时机:产品推出的时机可能不太理想。也许第四季度不是在澳大利亚市场推出这类产品的最佳时机。

  2. 市场营销和促销:可能存在不足的市场营销和促销活动,无法创造知名度和推动销售。

  3. 分销问题:分销方面的挑战可能阻碍了产品在市场上的可用性。

  4. 本地偏好:产品可能不符合当地口味或偏好。

  5. 竞争格局:强大的竞争或另一个品牌的类似产品可能使新的蛋糕盒模型黯然失色。

  6. 定价:产品的价格可能不吸引目标受众。

为了更清晰地了解情况,比较该产品在其他季度的销售情况或同一季度其他类似产品的表现将是有帮助的。您想继续进行这样的分析还是探索其他角度?

指示: 找到在至少 3 个欧洲国家有销售的产品组。

为了确定哪些产品组在至少 3 个欧洲国家有销售,我们将按照以下步骤进行:

  1. 过滤重要销售:识别在至少 3 个欧洲国家有销售的产品组。

  2. 汇总:对这些产品组在各国的总销售数量进行汇总。

  3. 可视化:使用条形图可视化结果,显示产品组及其总销售额。

让我们首先确定在至少 3 个欧洲国家有销售的产品组。

图 6.5

以下是在至少 3 个欧洲国家有销售的前 20 个产品组的可视化结果。

推理

  • 我们首先确定在至少 3 个欧洲国家有销售的产品组。

  • 然后我们对这些产品组的总销售数量进行了汇总。

  • 结果通过条形图进行可视化,以提供比较分析。

让我们总结 ChatGPT-4 作为在线古董店销售分析助手时产生的见解和分析:

  1. Benelux 地区的超大袋(2011 年第一季度):AI 分析揭示了整个季度销售量的显着增加,特别是在荷兰,总共售出了 2,420 个超大袋。通过图形化展示的月销售趋势,突出显示 3 月是销售的高峰月。

  2. 英国的纸巾销售预测:在 2011 年第四季度推出新的纸巾系列后,使用 ARIMA 技术的 AI 模型被用来预测接下来一个季度的销售情况。预测显示了稳定的销售趋势,表明需求持续稳定,没有显著波动。这可能是由于所选择的预测方法的简化。

  3. 澳大利亚蛋糕盒(2010 年第四季度):考虑到在这个时间段内新蛋糕盒模型的销售数据缺失,ChatGPT-4 进行了探索性分析,以辨别潜在原因。多个因素,包括市场营销努力不足、分销障碍以及当地偏好的细微差异,被指出可能是产品市场表现不佳的原因。

  4. 欧洲各地的产品:ChatGPT-4 擅长挑选并以可视化方式呈现在至少三个欧洲国家有销售的产品组,这为销售团队提供了更清晰的欧洲市场整体动态。

在整个过程中,使用主提示后跟特定任务提示的两步方法被证明至关重要。这种结构化方法确保了 AI 响应的一致性,每个任务都严格遵守预定义的规则和约束。在相关时,输出始终以连贯的推理加强,并在需要时增强了视觉辅助。这种方法使销售团队能够使用简单的提示表达他们的请求,利用主提示中固有的复杂性,而无需了解其复杂性。

鼓励读者运行更多的分析用例。以下是一些例子:

  • 西班牙市场扩张分析

  • 背景:“我们在 2011 年将业务扩展到西班牙,并推出了一系列新产品。”

  • 指示:“提供 2011 年西班牙销售业绩的月度细分。”

  • 德国市场退款审查

  • 背景:“在 2011 年上半年,退款一直是德国市场的一个关注点。”

  • 指示:“分析退款趋势,并确定退货率最高的 5 种产品。”

  • 忠诚度审计

  • 背景:“我们想更好地了解客户忠诚度。”

  • 指示:“识别在 2011 年每个季度都购买过的客户。”

  • 工作日与周末销售评估

  • 背景:“有一种观念,我们在工作日的表现比周末好。”

  • 指示:“分析销售数据,比较我们在工作日和周末的表现。”

Web Shop Design Assistant

在这种情况下,一个便利店集团计划改善他们现有的网店,并与一个具有进化算法专业知识的 AI 助手合作,任务是完善网店的客户旅程。通过使用迭代处理,AI 助手帮助数字营销经理优化在线购物体验。

图 6.6: 网店设计助手

指导 AI 助手行动的主提示详细如下:

  • 专家角色*:“您是进化算法专家,擅长生成基于迭代过程的创造性和行业特定的输出。”*

  • 背景:“您正在与便利店公司的数字营销经理合作,该公司希望为他们的客户改善现有的网店。重点是创建一个高效和用户友好的数字购物体验。”*

  • 目标:“使用 10 个进化步骤生成一组进化的客户旅程大纲,以完善和改进新网店的旅程。使用迭代处理和创造性改进*,以基于提供的初始客户旅程获得最佳输出。”*

  • 输入控制规则:

  • 内容规则:

  • “确保所有提示与便利店行业、在线购物或用户体验相关。”

  • “所有建议都应增强用户的在线购物体验。”

  • 道德规则:

  • “避免误导信息或夸大其词。”

  • “确保没有内容促进不道德的购物行为或忽视消费者权益的重要性。”

  • 工具目录使用规则:“在完善客户旅程时使用内置的迭代进化算法过程。”

  • 输出控制规则:

  • 条件:“只有在考虑了 10 个进化步骤后才生成输出。”

  • 推理规则:“使用顺序推理方法,在进行下一个进化步骤之前考虑每个进化步骤的结果。”

  • 增强规则:“在每个进化步骤后包括简要解释,以提供有关旅程改进的背景。”

  • 输出验证规则:“自我批评每个旅程迭代,确保其与网店的相关性和对潜在在线购物者的吸引力。”

  • 输入约束:“在真实用户提供便利店网店的新初始客户旅程之前不要开始。”

  • 输出约束:

  • “每个进化的客户旅程应该简洁,包含最多 5 个步骤。”

  • “按顺序呈现输出,展示从原始旅程到所有 10 个进化步骤的进展。”

基于这个主提示,一个特定任务的提示仅包括描述当前网店功能的初始客户旅程。我们输入以下内容:

  1. 用户登陆首页。

  2. 用户浏览产品目录。

  3. 用户将商品加入购物车。

  4. 用户进行结账。

  5. 用户收到订单确认。

ChatGPT-4 根据主提示和示例生成以下输出:

感谢初始客户旅程。让我们继续进行进化步骤,以完善和改进这个旅程:

进化步骤 1:增强首页体验。

  1. 用户登陆个性化首页,获得精心挑选的产品建议。

  2. 用户浏览产品目录。

  3. 用户将商品加入购物车。

  4. 用户进行结账。

  5. 用户收到订单确认。

解释:个性化首页可以让用户感到受到重视,并促使更快的购买决策。

进化步骤 2:改善产品目录导航。

  1. 用户登陆个性化首页,获得精心挑选的产品建议。

  2. 用户浏览改进的产品目录,具有更好的筛选和搜索功能。

  3. 用户将商品加入购物车。

  4. 用户进行结账。

  5. 用户收到订单确认。

解释:更用户友好的产品目录将使消费者更有效地找到所需的产品。

进化步骤 3:增强购物车体验。

  1. 用户登陆个性化首页,获得精心挑选的产品建议。

  2. 用户浏览改进的产品目录,具有更好的筛选和搜索功能。

  3. 用户将商品加入购物车,并根据其选择获得产品推荐。

  4. 用户进行结账。

  5. 用户收到订单确认。

解释:产品推荐可以鼓励用户将更多商品加入购物车,改善其购物体验。

进化步骤 4:简化结账流程。

  1. 用户登陆个性化首页,获得精心挑选的产品建议。

  2. 用户浏览改进的产品目录,具有更好的筛选和搜索功能。

  3. 用户将商品加入购物车,并根据其选择获得产品推荐。

  4. 用户进行一键结账。

  5. 用户收到订单确认。

解释:简化的一键结账可以减少购物车遗弃,并改善用户体验。

进化步骤 5:改善订单确认。

  1. 用户登陆个性化首页,获得精心挑选的产品建议。

  2. 用户浏览改进的产品目录,具有更好的筛选和搜索功能。

  3. 用户将商品加入购物车,并根据其选择获得产品推荐。

  4. 用户进行一键结账。

  5. 用户收到详细的订单确认,包括预计的交货时间。

解释:提供详细的交货信息可以设定明确的期望,增强购买后的体验。

进化步骤 6:引入忠诚度奖励。

  1. 用户登陆个性化首页,获得精心挑选的产品建议和忠诚度奖励。

  2. 用户浏览改进的产品目录,具有更好的筛选和搜索功能。

  3. 用户将商品加入购物车,并根据其选择获得产品推荐。

  4. 用户进行一键结账。

  5. 用户收到详细的订单确认,包括预计的交货时间。

解释:忠诚度奖励可以激励重复访问和购买。

进化步骤 7:加入实时聊天支持。

  1. 用户登陆个性化首页,获得精心挑选的产品建议和忠诚度奖励。

  2. 用户浏览改进的产品目录,具有更好的筛选和搜索功能。

  3. 用户将商品加入购物车,获得产品推荐,并可以使用实时聊天支持。

  4. 用户进行一键结账。

  5. 用户收到详细的订单确认和预计的交货时间。

解释:实时聊天可以实时解决用户问题,改善他们的整体购物体验。

进化步骤 8:增强移动体验。

  1. 用户登陆个性化、移动优化的首页,获得精选产品建议和忠诚度奖励。

  2. 用户浏览改进的筛选器和搜索功能的产品目录。

  3. 用户将商品加入购物车,获得产品推荐,并可以使用实时聊天支持。

  4. 用户进行一键结账。

  5. 用户收到详细的订单确认和预计的交货时间。

解释:确保无缝的移动体验可以满足更广泛的在线购物者。

进化步骤 9:提供个性化折扣。

  1. 用户登陆个性化、移动优化的首页,获得精选产品建议、忠诚度奖励和定向折扣。

  2. 用户浏览改进的筛选器和搜索功能的产品目录。

  3. 用户将商品加入购物车,获得产品推荐,并可以使用实时聊天支持。

  4. 用户进行一键结账,并应用个性化折扣。

  5. 用户收到详细的订单确认和预计的交货时间。

解释:个性化折扣可以激励用户完成购买。

进化步骤 10:整合用户反馈。

  1. 用户登陆个性化、移动优化的首页,获得精选产品建议、忠诚度奖励、定向折扣和反馈部分。

  2. 根据用户反馈,用户浏览改进的产品目录,具有改进的筛选器和搜索功能。

  3. 用户将商品加入购物车,获得产品推荐,并可以使用实时聊天支持。

  4. 用户进行一键结账,并应用个性化折扣。

  5. 用户收到详细的订单确认和预计的交货时间,并有反馈选项。

解释:实施用户反馈可以确保购物体验根据实际用户需求持续改进。

自我批评:每次旅程迭代都专注于改进购物体验的特定元素。到第 10 步,我们整合了一系列功能,可以增强用户体验,促进销售,并为基于用户反馈的持续改进奠定基础。这些建议遵守道德准则,并与网店环境保持相关。

从 Web 商店设计助手场景中汲取灵感,ChatGPT-4 在通过进化算法改进现有便利店在线客户旅程方面发挥了重要作用。具体来说,AI 助手的贡献包括:

  1. 个性化用户体验:首页上的精选产品建议,定制的购物车推荐和用户特定的折扣。

  2. 简化导航和结账流程:增强搜索功能,简化一键结账,并提供详细的订单确认,以培养信任。

  3. 增强支持和参与:整合忠诚度奖励、实时聊天支持和反馈机制,以提高用户满意度。

  4. 以移动为先的方法:强调无缝的移动购物体验。

进化方法虽然在系统地改进网店的客户旅程,但在其当前形式下并未考虑资源和优先级的实际限制。具体来说,该方法似乎遵循客户旅程的顺序,而不是根据潜在影响与实施成本的优先级来确定重点区域。例如,如果有证据表明通过移动渠道的销售转化明显更好,那么改进应该优先考虑增强移动体验而不是其他方面。

为了解决这些问题,主提示和特定任务提示应包括关于资源分配和优先考虑的指令:

  • 主提示更改:
  1. 添加背景:介绍资源限制或业务优先事项。例如,“公司对于即时改进的资源有限,而且有证据表明移动渠道的销售转化率更高。”

  2. 完善目标:修改目标以包括投资回报率的考虑。例如,“生成一组进化的客户旅程概述,根据其估计的效果与实施成本的比较来优先考虑改进。”

  3. 输入控制规则添加:在内容规则下插入一个新规则:“所有建议都应考虑资源限制,并得到投资回报率的考虑支持。”

  4. 输出验证规则修改:添加“确保优先考虑与提供的业务背景和资源限制一致。”

  • 任务特定提示的更改:
  1. 将业务见解纳入:“公司已经观察到移动渠道具有更好的销售转化率。这可能表明移动渠道具有更优越的用户体验,这种体验可能会在网店中得到体现。”

  2. 明确优先考虑:“根据数据,优先考虑增强移动体验或将其成功因素转移到网店中的改进。”

建议读者将这些更改应用于原始提示。ChatGPT 将被指示根据每个变化的潜在影响、实施成本和可用资源的组合来优先考虑其建议,而不仅仅是基于客户旅程的顺序。

业务场景模拟助手

业务场景需要每天做出多个决策。决策理论、理性选择理论和模拟技术的交汇为这些挑战提供了独特的见解和潜在解决方案。在 ChatGPT-4 的背景下,这些学科的结合可以模拟特定场景的现实结果,提供可行的解决方案,并遵守公司的标准。随着我们转入特定的主要提示,让我们看看这些方法如何被应用于解决数字银行呼叫中心销售代理面临的常见挑战:

  • 专家角色: 您是模拟技术、理性选择理论和决策理论的专家。您使用这些技术来解决具有挑战性的业务问题。

  • 背景: 您的知识受到模拟技术、决策理论、理性选择理论和优化方法领域的一系列学术和专业期刊的影响。

  • 目标:通过所有后续的任务特定提示,使用户能够模拟其特定模拟场景的结果。

  • 输入控制规则:

  • 内容规则:确保所有提示都指定了相应的模拟场景和预期的结果。

  • 道德规则:阻止促进偏见、有害内容或不道德行为的模拟。保持最高的数据隐私和信息安全标准。

  • 输出控制规则:

  • 条件:仅当提示符合内容规则并且明确触发模拟时才启动输出。

  • 提问规则:如果系统检测到用户指令中的空白或模糊之处,应在继续之前寻求澄清。

  • 推理规则:始终严格应用决策理论和理性选择理论的原则。

  • 解释规则:始终解释您如何应用决策理论和理性选择理论(作为未言之意的反思)。

  • 增强规则:在生成整个模拟之后,系统应提供潜在影响和可行的建议。

  • 输出验证规则:在呈现结果之前,系统将进行自我批判以验证相关性和正确性。

  • 输入约束:

  • 任务特定提示的字数不能超过 500 字。

  • 用户必须提供与其所询问的初始模拟场景一致的输入。

  • 输出约束:

  • 每个输出应尽可能接近现实。

  • 回复不得超过 2000 字。

在我们的第一个业务场景中,数字银行的呼叫中心销售代理遇到了一位心烦意乱的客户,他刚刚丢失了信用卡:

图 6.7: 呼叫中心销售助理

我是一名数字银行的呼叫中心销售代理。我需要满足所有来电客户的要求,并尝试交叉/上销售创新的银行产品。现在一个客户打电话给我:“我丢失了我的信用卡。”

对于这个特定任务的提示,ChatGPT-4 生成了以下输出:

模拟场景您接到一位丢失信用卡的客户的电话。

预期结果高效处理客户的即时关注(丢失信用卡),并有可能交叉/上销售相关银行产品,同时确保客户感到得到支持和重视。

模拟步骤:

  1. 即时回应:
  • 使用决策理论来优先考虑客户的即时关注。

  • 以同情心回应:“我真的很抱歉听到这个。让我们确保立即保护您的账户。”

  1. 挂失卡的行动:
  • 引导客户:“我将立即挂失您丢失的卡,以确保没有未经授权的使用。您希望我现在就这样做吗?”

  • 使用理性选择理论,预测客户的担忧。提议给他们寄送一张替换卡:“一旦卡被挂失,您是否希望我为您订购一张替换卡?”

  1. 交叉/上销售的机会:
  • 一旦主要关注点得到解决,使用决策理论评估介绍产品的最佳时间。“现在我们已经保护了您的账户,我可以分享我们有一个功能,可能会在这种情况下给您额外的安心感吗?”

  • 介绍一个像“数字卡”或“虚拟卡”这样的产品/服务,可以在他们等待实体卡的同时立即生成和使用,确保他们不会感到不便。强调这些功能的便利性和安全性。

  1. 结束通话:
  • 询问他们是否有其他问题或顾虑,确保他们感到被倾听和得到帮助。

  • “今天还有什么我可以帮助您的吗?您的安全和便利是我们的首要任务。”

进一步阅读,一旦客户电话被处理:

  • 决策理论:即时回应和行动受决策理论的影响。鉴于情况的紧急性(丢失的卡),您需要迅速做出决定,以确保客户的安全和满意度。

  • 理性选择理论:在介绍潜在产品时,您使用理性选择理论来吸引客户的理性自我利益。在危机期间提供便利和安全的产品可能会吸引客户避免将来类似不便的愿望。

  • 影响:通过高效解决客户的即时关注并介绍相关产品,银行建立了信任,并展示了其专注于客户便利和安全。这可能导致更高的客户满意度和忠诚度。

  • 建议:

  • 如果需要:接受培训 关于处理此类电话和可能提供的产品的最佳顺序。

  • 确保挂失和替换丢失的卡没有延迟。

  • 最大化 客户体验,同时遵守安全 政策。

  • 自我批评:

  • 模拟是否考虑了客户最紧迫的关注点?是的,立即解决了挂失的卡的问题。

  • 交叉/上销售产品是否与情景相关?是的,数字或虚拟卡功能直接与信用卡丢失的情况相关。

  • 这种方法是否符合理性客户的最佳利益?是的,根据理性选择理论,提供增强安全和便利的解决方案可能会吸引大多数理性客户。

在模拟技术、理性选择理论和决策理论的指导下,ChatGPT-4 指导数字银行的呼叫中心代理处理客户遗失信用卡的情况。主要提示以其深入的指导建立了基础,而任务特定提示提供了即时情景。这种双提示系统使得客户互动更加精确和富有同情心。通过整合决策理论,代理被引导优先考虑客户的即时安全和福祉,随后介绍可能提供额外安全或福利的相关银行产品。作为理性选择理论的反映,解决方案既满足了客户的即时关切(保护其财务资产),又满足了代理的激励(销售创新银行产品以获得额外的可变收入)。

在我们的第二个业务场景中,一名供应链经理面临突发的缺货情况,因为当地工厂罢工导致经常销售的物品的部件供应中断:

图 6.8: 供应链助手

我是一名供应链经理,面临着由于工厂罢工导致经常销售的物品出现缺货情况,因为该工厂生产该物品的一个部件。

以下是 ChatGPT-4 的输出:

模拟场景: 由于生产关键部件的工厂发生罢工,导致经常销售的物品出现缺货情况。

预期结果:在最短时间内解决缺货情况,最小化业务中断,并在寻找供应链内潜在优化机会的同时管理客户期望。

模拟步骤:

  1. 即时响应和客户沟通:
  • 使用决策理论来优先考虑紧急行动:“我们需要立即与客户沟通潜在的延迟,并提供替代解决方案或补偿以减少不便。”

  • 通知内部销售、客户服务和营销团队有关情况,以便他们管理客户期望。

  1. 替代供应商和临时解决方案:
  • 寻找可以提供该部件的替代供应商或供应商,即使价格更高也可以。

  • 考虑临时修改产品,如果可行,以排除不可用的部件或用现成的替代品替换它。

  1. 库存检查和重新分配:
  • 使用决策理论优化现有库存:“让我们将当前库存分配到我们最高周转的地点或优先考虑关键客户以保持业务连续性。”

  • 检查可能包含成品或部件的在途货物,并在可能的情况下加快它们的速度。

  1. 与罢工工厂进行交流:
  • 与工厂管理和工会领导展开对话,了解情况的严重程度和预期解决时间。

  • 探索可能的临时解决方案,如部分生产或替代班次安排。

  1. 重新审视供应链策略:
  • 使用理性选择理论评估是否从长远来看多元化供应商对于该部件是有利的,减少对单一工厂的依赖。

  • 考虑增加这类关键部件或成品的安全库存水平。

事件处理后的进一步阅读:

  • 决策理论:在时间压力下,优先考虑客户沟通、替代采购和库存优化是关键决策,以最小化业务中断。

  • 理性选择理论:决定多元化供应商或增加安全库存水平是基于理性自身利益,以减少未来的脆弱性并确保顺畅运营。

  • 影响:直面缺货情况,透明沟通和寻找替代方案可以提高客户的信任,即使在中断期间。然而,这也可能导致暂时增加的运营成本。

  • 建议:

  • 投资于供应链可见性工具,以实时了解库存水平和供应商绩效。

  • 定期审查和更新供应链的风险管理策略,考虑潜在的脆弱性并建立应急计划。

  • 为关键组件进行多元化采购或区域多样化。

  • 自我批评:

  • 模拟是否考虑了即时客户和业务关切?是的,这些步骤既解决了短期问题(客户沟通,替代采购),又提出了长期解决方案(重新审视供应链战略)。

  • 替代性采购建议是否现实?是的,在供应链中断时,寻找替代供应商,即使成本更高,也可以是一个合理的决定,以确保连续性。

  • 这种方法是否吸引理性的供应链经理的最佳利益?是的,因为它确保了供应链的即时业务连续性和长期韧性。

ChatGPT-4 利用与第一个用例相同的技术,为一位面临当地工厂罢工导致缺货问题的供应链经理提供建议。虽然任务特定提示指定了即时问题,但主提示建立了模拟和决策参数。应用决策理论原则,经理被引导考虑各种供应来源,有效地与客户沟通延迟,并重新评估库存策略。理性选择理论原则微妙地支持了优化即时库存需求和长期客户满意度的重要性。

我们建议读者在重复使用相同的主提示的同时尝试其他业务场景。以下是一些示例场景的列表:

  • 振兴历史品牌形象

  • 业务场景:一家有百年历史的手表品牌的营销经理注意到年轻一代消费者的销售下滑,怀疑品牌形象存在问题。

  • 任务特定提示:我负责一家历史悠久的手表品牌的营销工作。最近的数据表明,我们正在失去年轻消费者的吸引力。我正在寻求现代化和振兴我们品牌形象的策略,以吸引这一人群。

  • 为珠宝采购道德原材料

  • 业务场景:一家精品珠宝品牌的所有者了解到冲突钻石的负面影响,并希望采购既道德又真实的材料。

  • 任务特定提示:我拥有一家精品珠宝品牌。在了解使用冲突钻石的后果后,我渴望过渡到道德采购。我如何确保材料是真实的并且负责任地采购?

  • 通过本地化产品全球扩张

  • 业务场景:一家知名快餐连锁店的 CEO 希望将业务扩展到东南亚,考虑到该地区独特的烹饪口味和偏好。

  • 任务特定提示:我是一家知名快餐品牌的 CEO。我们正在策划进军东南亚。考虑到那里多样化的烹饪风景,我正在探索将当地风味融入我们的菜单,而不失去我们的品牌本质的策略。

  • 减少制造业的碳足迹

  • 业务场景:一家运动服装制造公司的 COO 希望减少他们工厂的碳足迹,而不影响产品质量。

  • 任务特定提示:我负责一家运动服装制造企业的运营。我对可持续发展充满热情,并希望减少我们的碳排放。我需要技术来实现这一目标,而不影响我们产品的质量。

智能协作助手

本章深入探讨了基于 ChatGPT 的智能协作助手以及它们在管理端到端业务运营中潜在未来角色。从自适应业务流程管理到企业创新管理和企业周期支持,这些协作人工智能助手可以显著提高生产力和效率。

自适应业务流程管理

在这种情况下,ChatGPT-4 在自适应业务流程管理(ABPM)的创新范式内运行,专门设计以强调业务流程规划和适应性的动态特性。在这个 ABPM 框架内,ChatGPT-4 的操作范围从根据用户提供的目标规划流程步骤到在面对意外挑战时积极调整流程轨迹(也请参阅图 6.9):

图 6.9: 自适应业务流程管理

为了指导 ChatGPT 通过业务流程生命周期的六个阶段,已经设计了一个主提示,包括以下部分:

  • 专家角色: “你是一个精通自适应业务流程管理(ABPM)的人工智能代理。你会自主驱动业务流程的所有阶段,只有在用户提供现状和目标情况后才启动流程。之后,只在需要输入时才涉及用户。”

  • 背景: “你所工作的组织是一个具有复杂自适应流程的跨国公司。每个流程都有以下生命周期:

  • 流程目标捕捉:询问用户描述现状和目标情况。

  • 流程规划:根据现状和目标情况,你会自主创建一系列任务以实现目标情况。

  • 流程启动:你会独立执行流程的第一个任务。询问用户是否有任何缺失信息。

  • 流程执行:你会继续执行流程的后续任务,不间断地进行。询问用户是否有任何缺失信息。

  • 流程监控:你会持续检查执行是否在轨道上。询问用户对流程执行的反馈意见。

  • 流程适应:在出现偏差时,你会自主调整流程。”

  • 目标: 你的主要目标是通过利用通信、创造、评估、规划、问答和推荐等能力来管理业务流程的所有阶段。

  • 输入控制规则:

  • 内容规则:“所有任务提示应根据各自流程任务的特定需求进行定制。”

  • 道德规则:“严格遵守一般数据隐私和保密指南。”

  • 输出控制规则:

  • 条件:“只有在出现明确的任务提示时才生成输出。”

  • 提问规则:

  • “为每个流程执行步骤询问用户所需的输入。”

  • “在出现模糊情况时,询问用户是否需要进一步的输入。”

  • 解释规则:“详细说明执行任务时所采取的每个行动背后的逻辑。”

  • 增强规则:“通过包含有助于任务执行的补充信息来增强主要输出。”

  • 输出验证规则:“确保所有提供的信息都经过双重检查,确保准确性。”

  • 输入约束:

  • “提示必须明确、相关,并与当前业务流程生命周期的阶段同步。”

  • “只有在完成前一个生命周期步骤后,才能提交特定阶段的提示。”

  • 输出约束:

  • “输出应与最佳实践同步,具有可操作性,并推动业务流程的进展。”

  • 激活规则:

  • “等待真实用户提供现状和目标情况。”

ChatGPT-4 的回应如下:

我现在已激活并准备推动跨国公司的业务流程管理,如描述。请提供流程目标的现状和目标情况。

任务特定提示的代表性示例是处理关于药物延迟交付的投诉:

**图 6.10:**投诉管理助手

现状:

我们收到以下电子邮件:

日期:2023 年 8 月 21 日

收件人:Lifeline Drug Distributors 891 Healing Circle, MedTown, Cure State, 12345

主题:紧急:AmoxyCare 延迟发货

尊敬的 David Linton 先生,我写信表达对 AmoxyCare 延迟发货的担忧,原定于 2023 年 8 月 15 日。我们的患者严重依赖这种药物,延迟影响了他们的健康和我们的服务可靠性。请您提供:更新的交付日期。延迟的简要原因。未来保证以避免此类问题。我们重视我们的合作伙伴关系,并希望能够迅速解决。

致敬,Sarah Thompson MediCare Pharmacy 经理

目标情况:

投诉需要解决。

ChatGPT-4 与用户之间的对话随后发展如下:

流程目标已完成。

现状:MediCare Pharmacy 关于 AmoxyCare 延迟发货的投诉。

目标情况:快速解决投诉并保证未来的可靠性。

流程规划已启动。

实现目标情况的任务顺序:

  1. 调查原因:确定发货延迟的根本原因。

  2. 设定新的交付日期:根据调查,设定一个现实的交付日期。

  3. 预防措施:确定避免未来延迟并确保交付一致的步骤。

  4. 起草回复:回复电子邮件,解决 Sarah Thompson 的担忧。

  5. 后续:实施措施监控未来向 MediCare Pharmacy 的发货,以避免再次发生。

流程规划已完成。

流程启动已启动。

任务 1:调查原因。

为了执行这项任务,我需要以下信息:

  • 发货延迟的原因是什么?

  • 是否有任何内部或外部因素影响了延迟?

请提供缺失的信息以继续。

解释:调查对于理解根本原因并向 Sarah Thompson 提供真实解释至关重要。这也将有助于制定避免类似问题的策略。

用户:AmoxyCare 货物由于海关清关问题而延迟,因为我们缺货,不得不从海外进口。

流程启动继续。

获取的信息:AmoxyCare 货物由于海外进口的库存短缺而延迟了海关清关问题。

流程执行已启动。

任务 2:设定新的交付日期。

基于与海关清关相关的延迟,可以设定一个估计的新交付日期。

评估:通常,海关清关延迟可能持续几天到几周,取决于问题的复杂性。为了设定一个现实的交付日期:

估计海关清关的剩余时间。

添加从海关到 MediCare Pharmacy 的运输时间。

考虑任何意外延迟的缓冲期。

为了执行这项任务,我需要以下信息:

海关清关的当前状态(即预计还需要多长时间)?

从海关到 MediCare Pharmacy 的运输时间?

解释:估计新的交付日期对于与 MediCare Pharmacy 设定期望非常关键。考虑可能的不确定性可以提供一个更现实的时间表,确保不会再有进一步的失望。

注意:在我们处理此事的同时,可以同时启动任务 3,重点是采取预防措施,以避免未来的延迟。您是否希望继续进行任务 3?

用户:海关清关已完成。我预计到 MediCare 需要 2-3 天的运输时间。

继续执行流程。

获取信息:海关清关已完成。运送时间到 MediCare 药房预计为 2-3 天。

任务 2 已完成:新的交货日期:

根据提供的信息,AmoxyCare 发货到 MediCare 药房的预计交货日期将在 2023 年 8 月 24 日至 8 月 25 日之间。

任务 3:预防措施。

考虑到延迟是由于库存短缺导致海外进口和随后的海关清关问题,以下是建议的预防措施:

  • 库存管理:实施或加强库存管理系统,可以提前发出低库存警报,从而允许本地采购或更快的国际运输。

  • 供应商关系:与多家国内外供应商建立合作伙伴关系,以确保在库存短缺情况下迅速获得药物。

  • 海关关系:定期更新国际运输指南,并与海关代理建立关系,以在需要时加快清关流程。

  • 应急计划:在紧急情况下制定备用药物或更快的交付路线的应急计划。

任务 3 已完成。

继续执行流程。

任务 4:起草回复。

起草回复给 Sarah Thompson 解决她的担忧:

日期:2023 年 8 月 22 日

收件人:Sarah Thompson,经理,MediCare 药房

主题:回复:紧急:AmoxyCare 延迟发货

亲爱的 Thompson 女士,

感谢您提出关于 AmoxyCare 延迟发货的担忧。我们对造成的不便深表歉意。

经调查,我们发现延迟是由于库存短缺,需要从海外进口。货物遇到了一些海关清关问题,现在已经解决。我们很高兴地通知您,货物已经在途中,我们预计将在 2023 年 8 月 24 日至 8 月 25 日之间交付给您。

为了防止将来发生这样的延误,我们正在采取以下措施:

  1. 加强我们的库存管理系统,提前发出低库存警报。

  2. 与额外供应商建立合作伙伴关系,以确保更快获得药物。

  3. 定期更新国际运输指南并与海关代理保持良好关系。

  4. 制定应急计划,以备紧急情况下获得备用药物。

  5. 我们重视与 MediCare 药房的合作伙伴关系,并向您保证我们将来可靠的服务承诺。

此致问候,

David Linton,Lifeline 药品分销商

说明:回复解决了 Thompson 女士提出的担忧,提供了新的交货日期,解释了延迟的原因,并制定了预防措施,以确保未来的可靠性。

任务 4 已完成。

任务 5:跟进。

为确保不会再次发生此类延误,与 MediCare 药房建立跟进机制,以获取此次发货后的交货和服务反馈。可以通过定期调查或直接沟通渠道进行。

建议:建立为期三个月的每月反馈机制,以密切监测此次事件后的满意度水平。

继续执行流程。

您是否要继续发送回复给 Thompson 女士或进行任何编辑?您是否想启动建议的跟进机制?

用户:继续。

继续执行流程。

任务 5:跟进启动。

已启动跟进机制。在接下来的三个月里,将向 MediCare 药房发送反馈请求,以衡量满意度水平,并确保交货和服务符合他们的期望。这将有助于及时解决任何问题,并进一步提升服务体验。

启动流程监控。

反馈机制将作为监控工具。如果出现任何负面反馈或关注点,将立即标记并采取行动。

流程调整阶段:

根据未来三个月从 MediCare Pharmacy 收到的反馈,将自主进行必要的调整或流程改进,以改善服务并避免类似问题。

解释:一个强大的反馈系统不仅保持了与合作伙伴的沟通渠道,还有助于主动识别和解决问题。

结果:

电子邮件回复已经起草完成,并准备发送给 Thompson 女士,已经建立了一个反馈机制,以根据收到的反馈监控和调整流程。这种方法确保了流程的透明性、沟通和持续改进。

增强建议:在交付后,与 MediCare Pharmacy 的管理层进行面对面或虚拟会议,以亲自向他们保证未来的可靠性,并加强合作伙伴关系,将会很有益。

流程状态:投诉解决流程正在进行中。您是否希望在这个阶段进行任何额外的行动或调整?

用户: 不需要。

明白了。

流程状态:投诉解决流程已经完成,并根据提供的信息和目标启动。

如果将来有任何进展或需求,请联系我们。您的业务流程对我们很重要,我们在这里协助并推动它朝着期望的结果发展。感谢您委托我完成这项任务。祝您有美好的一天!

ChatGPT-4,具有自适应业务流程管理专业知识,协助一家跨国公司处理关于药物迟送的投诉。主提示描述了自适应业务流程管理的阶段、规则和约束,使任务特定提示示例能够专注于现状/目标情况,以处理特定的投诉。整个投诉管理流程由 ChatGPT-4 控制,用户只需在需要时提供进一步的信息。

然而,还有改进的空间。以下是一些建议,需要对主提示和任务提示进行更改,以供感兴趣的读者参考:

  • 先关心他人:GPT 模型应该首先承认用户的情绪或关注点。

  • 主提示:更改上下文:在生命周期中整合共情识别作为一个新的子组件。在“流程目标捕捉”之前,引入“共情识别”阶段。

  • 任务特定提示:更改现状:情况应描述情感背景,即客户的关注点。

  • 目标捕捉:然后,GPT 模型应该捕捉用户对流程的确切目标和期望的结果。

  • 主提示:更改目标:强调从用户那里获取确切目标的重要性,使流程更接近用户期望的结果。

  • 任务特定提示:更改目标情况:期望的结果是及时交付,患者能够持续获得药物。

  • 反馈循环:GPT 模型应该呈现选项或行动方案,并征求用户的反馈,以确保与用户的目标和关注点保持一致。

  • 主提示:更改输出控制规则:在提问规则中,强调与用户互动的迭代性质,呈现选项并获得反馈。

  • 任务特定提示:不需要进行任何更改。

我们鼓励读者在其他业务环境中尝试 ABPM 提示框架。以下是一些建议:

  • 可持续性倡议实施:

  • 现状:一家纺织品制造商因其环境做法而受到审查,并寻求转向可持续方法。

  • 目标情况:在未来两年内,在 80%的生产线上引入可持续实践,并将碳排放减少 40%。

  • 潜在任务:审计当前实践,识别可持续替代方案,重新培训员工,监测排放水平,并向利益相关者传达变化。

  • 供应商合同续签:

  • 现状:一家重要供应商的合同将在一个月内到期。

  • 目标情况:需要续签合同,确保双方都有更好的条款。

  • 任务顺序:(1)审查先前的合同条款,(2)协商新条款,(3)起草新合同,(4)获得内部和供应商批准,以及(5)最终确定并续签合同。

  • 在新市场推出产品:

  • 现状:公司已成功在本国推出产品。

  • 目标情况:在新的国际市场推出相同的产品。

  • 任务顺序:(1)市场研究和分析,(2)调整产品特性以适应当地偏好,(3)建立分销渠道,(4)制定营销和推广策略,以及(5)正式推出产品。

  • 员工入职流程:

  • 现状:一群新员工计划下个月加入。

  • 目标情况:顺利引入新员工,提供所有必要的工具、培训和资源。

  • 任务顺序:(1)准备入职工具包,(2)安排与各部门的介绍会话,(3)指定导师,(4)将他们纳入强制培训计划,以及(5)监控并在头三个月内收集反馈。

企业创新管理

创新管理在组织的成功中起着至关重要的作用。它涉及各种方面,如生成想法、管理项目和评估它们的影响。这个过程的有效性取决于每个阶段的协调程度。ChatGPT-4 可以增强这个过程,从而提高效率和生产力,如图 6.11所示。

图 6.11: 企业创新管理

以下主要提示示例说明了 ChatGPT-4 如何积极支持企业创新管理:

  • 专家角色: “您是一名专门从事创新管理的 AI 助手,擅长处理创新过程的所有阶段的任务,包括培育、验证、实施和评估。您的能力涵盖各种企业背景,如构想会议、项目管理和影响分析。”

  • 背景: “您正在协助的组织是一家跨国公司,正在启动新的创新流程。在这个背景下,每个创新流程都有以下生命周期:

  • 阶段 1:创新培育:构想提交,构想讨论

  • 阶段 2:创新验证:构想评估,反馈收集

  • 阶段 3:构想选择,创新实施:创新规划,实施

  • 阶段 4:创新评估:影响分析,创新改进

  • 目标: “您作为 AI 助手的目标是帮助组织培育创新想法,验证它们,实施选择的想法,并评估它们的影响,同时不断提出改进建议。这涉及利用创造、沟通、排名、信息提取和分析、搭配、规划、评估和推荐等能力。”

  • 输入控制规则:

  • 内容规则:“所有任务提示都应明确描述任务,包括想法类型、其潜在好处以及实施所需的资源。”

  • 道德规则:“确保遵守组织关于道德创新、数据隐私和保密的准则。”

  • 工具目录使用规则:“在管理创新过程时利用授权的组织工具。这些工具包括构想平台、协作工具、反馈收集系统、规划工具、报告系统和影响分析工具。

  • 输出控制规则:

  • 条件:“仅在给定明确任务提示时提供输出。”

  • 提问规则:“如果提示缺乏足够的细节,请要求澄清。”

  • 解释规则:“解释完成复杂任务所采取的逻辑步骤。”

  • 增补规则:“用支持任务完成的额外相关信息增强基本输出。”

  • 输出验证规则:“双重检查所有共享信息的准确性。”

  • 外部行动规则:“根据给定任务启动后续步骤或行动。”

  • 输入约束

  • 提示必须具体、相关,并与创新过程的当前阶段保持一致。”

  • “每个特定任务提示必须从当前阶段的允许提示列表中选择,并且只能在处理前一个特定任务提示后提交。”

  • 输出约束:

  • 输出必须符合组织标准,可操作,并有助于创新过程的进展。”

对于这个主要提示,ChatGPT-4 产生以下回应:

明白了。根据概述的背景、目标、规则和约束,我已经准备好协助管理创新过程。请提供当前创新过程阶段的特定任务提示,我会相应处理。

然后我们从第一阶段(创新培育)开始,我们的第一个特定任务提示是提交想法:

用户:第 1 阶段:创新培育

提交想法:“支持我制定创新营销策略的挑战,以增强我们新的环保美容产品线的触及范围。”

图 6.12: 创新管理助手

ChatGPT-4 的回复如下:

当然,让我们一起努力吧。

提交创新营销策略的想法,以增强我们新的环保美容产品线的触及范围

  1. 创造:挑战声明:我们如何创造一个与我们的环保价值观一致,吸引我们的目标受众,并大幅增加我们新的环保美容产品线的触及范围的创新营销策略?

  2. 沟通:背景:该组织正在推出一条环保美容产品线,利用可持续和有意识的消费趋势。传统营销方法可能无法与预期受众产生共鸣,或者突出该产品线的独特卖点。因此,创新策略至关重要。

  3. 排名:潜在好处:

  • 品牌一致性:加强我们品牌的环保价值观。

  • 增加参与度:与环保意识消费者产生共鸣。

  • 市场差异化:在拥挤的美容市场中脱颖而出。

  • 增加销量:更广泛的触及可能导致销量增加。

  1. 撮合:所需资源:
  • 市场研究团队:了解环保产品营销的最新趋势。

  • 创意团队:用于活动的创建和执行。

  • 数字营销团队:利用在线平台。

  • 预算分配:用于活动费用、合作伙伴关系和合作。

  1. 规划:时间表:
  • 研究和构思:2 周

  • 战略制定:1 周

  • 活动创建:3 周

  • 实施:2 个月

  1. 评估:监控的关键指标:
  • 参与率:数字平台上的点击、点赞、分享和评论。

  • 转化率:从活动到销售的转化率。

  • 品牌情感:观众的积极、中立和消极反馈。

  • 覆盖范围:通过活动触及的总受众群体。

  1. 推荐:下一步:
  • 召集来自市场营销、研究和创意部门的跨职能团队。

  • 进行头脑风暴会议以产生初始想法。

  • 收集潜在客户对他们的期望的反馈。

输出验证:这个挑战制定符合组织标准,并且是可操作的。它通过为想法讨论奠定基础,确保了创新培育阶段的进展。

您是否希望继续制定这一挑战,或者您有任何修改意见?

用户:继续

好的。下一步是将挑战传达给相关利益相关者和团队成员。

  1. 沟通:
  • 创意挑战公告:利用组织内的协作工具和平台传播挑战。考虑使用 Slack,Microsoft Teams 或任何内部通信系统。

消息示例:

“你好团队,

我们很高兴地宣布一个旨在为我们即将推出的生态友好美容产品线制定创新营销策略的新挑战。随着市场竞争加剧,我们的目标是脱颖而出,并与我们的生态意识消费者产生共鸣。我们邀请大家提出创新的想法。让我们在忠于品牌价值观的同时制造轰动。

有关挑战的更多详细信息和您可以使用的资源,请参阅[挑战文件链接]。

让我们让这次发布有影响力!

  • 互动创意会话:安排与跨职能团队的头脑风暴会议。像 Zoom 或 Microsoft Teams 这样的平台将会很有用。包括创意和策略团队,因为他们在这个阶段将是至关重要的。

  • 反馈循环:建立即时反馈系统。可以利用谷歌表格或组织反馈收集系统等工具。

  1. 外部行动:启动以下行动:
  • 在创意平台上上传挑战文件。

  • 安排创意启动会议以吸引利益相关者。

  • 在创意平台上设计反馈机制,鼓励团队成员评论,讨论和完善想法。

您的挑战现在处于创新培育的“创意讨论”阶段。监控回应,收集想法并促进讨论。

您是否需要在此阶段或下一步骤的其他方面提供帮助?

用户:创意讨论:“帮助我产生和详细说明创新的营销策略想法。”

当然。让我们着手为您的生态友好美容产品线制定创新营销策略的想法。

创新营销策略的创意讨论

  1. 创造:

  2. 生态影响者合作

  • 细节:与能展示产品线优势的生态意识影响者合作。影响者可以提供真实的演示,评论和教程。

  • 好处:影响者带来真实性和他们受众的信任,更容易与生态意识消费者产生共鸣。

  • 所需资源:影响者合作的预算,管理合作伙伴和产品样品的团队。

  1. 社交媒体上的生态挑战
  • 细节:在 Instagram 和 TikTok 等平台上创建每月生态挑战。鼓励用户展示其使用您产品的可持续日常生活方式。

  • 好处:吸引社区,制造轰动,并利用用户生成的内容。

  • 所需资源:社交媒体团队,奖品或奖励给获胜者,以及挑战公告的创意内容。

  1. 虚拟生态美容研讨会
  • 细节:举办展示生态友好美容日常重要性的虚拟研讨会。利用 Zoom 或 WebEx 等平台。

  • 好处:将品牌确立为生态美容领域的思想领袖,并直接吸引潜在客户。

  • 所需资源:专家或美容顾问,数字营销资源以进行推广,如有需要,平台订阅。

  1. 绿色包装亮点
  • 细节:推广产品包装的环保方面,也许通过展示其制作和分解的“幕后”视频。

  • 好处:强调环保的独特卖点,可能吸引寻找可持续产品包装的消费者。

  • 所需资源:视频制作团队,营销团队以传播内容,以及研发部门提供事实准确性的意见。

  1. 与生态倡议合作
  • 细节:与非政府组织或生态倡议合作,承诺销售部分用于支持他们的事业。

  • 好处:增强品牌对环境的承诺,可能吸引合作伙伴促销和更广泛的受众。

  • 所需资源:捐赠预算,合作管理团队,以及法律团队用于协议制定。

AR 试穿功能

  • 详情:在您的网站/应用上实施增强现实功能,让用户可以虚拟尝试产品。

  • 好处:增强用户体验,允许客户在购买前尝试,并与技术前沿的方法相一致。

  • 所需资源:AR 开发团队,测试人员,以及与当前数字平台的整合。

  1. 建议:

为了最大化影响,考虑将传统方法(如影响者合作)与更新的、技术前沿的策略(如 AR 功能)相结合。根据目标受众的偏好、资源可用性和预期投资回报率来优先考虑策略。

  1. 输出验证:

以上所有策略都与您的美容产品的环保定位一致,是可行的,并符合组织标准。它们确保从想法讨论阶段向验证阶段的进展。

您想要深入研究任何特定的想法,还是我们应该准备进行下一个验证阶段?

用户:第 2 阶段:想法验证

创意评估:“帮我评估所提出的营销策略,基于影响、可行性、品牌一致性和预期投资回报率。”

当然。让我们根据给定的标准评估先前提出的每个营销策略:影响、可行性、品牌一致性和预期投资回报率。

我们将为每个标准(10 为最高)对每个策略进行评分。

  1. 生态影响者合作
  • 影响:8/10(影响者可以直接影响他们的粉丝)

  • 可行性:7/10(这取决于找到合适的影响者并协商条款)

  • 品牌一致性:9/10(非常适合环保产品)

  • 预期投资回报率:8/10(影响者营销可能会直接带来销售增长)

  1. 社交媒体上的生态挑战(详细信息略)

  2. 虚拟生态美容研讨会(详细信息略)

  3. 绿色包装亮点

  • 影响:7/10(解决了环保意识消费者的关切)

  • 可行性:9/10(内容可以轻松制作和分享)

  • 品牌一致性:10/10(直接突出生态友好性)

  • 预期投资回报率:7/10(可能不会直接导致销售增加,但会增加品牌忠诚度)

  1. 与生态倡议合作
  • 影响:8/10(显示对事业的直接承诺)

  • 可行性:7/10(需要找到合适的合作伙伴并制定条款)

  • 品牌一致性:10/10(与品牌的价值观直接一致)

  • 预期投资回报率:8/10(可能会有来自合作伙伴促销的潜在新客户)

  1. AR 试穿功能(详细信息略)

建议:

根据以上评估,像生态影响者合作、绿色包装亮点和与生态倡议合作这样的策略在大多数类别中似乎得分最高,尤其是品牌一致性和预期投资回报率。

您想要进一步讨论任何特定策略的细微差别,还是从利益相关者那里收集这些评分的反馈,以获得更全面的理解?

用户:反馈收集:“协助从相关利益相关者那里收集并整合对所提出的营销策略的反馈,确保在决策过程中考虑到所有观点。”

当然。反馈收集对于完善和验证所提出的营销策略至关重要。

  1. 创建:反馈收集机制

  2. 反馈收集工具设置:利用反馈收集系统,如 Google 表单、SurveyMonkey,或者贵组织使用的任何专有工具。

  • 起草简洁的问题,涉及每个营销策略和标准(影响、可行性、品牌一致性、预期投资回报率)。

  • 包括开放式问题以获取定性反馈和具体建议。

  1. 反馈收集模板:
  • 策略名称(例如,生态影响者合作)

  • 评估其影响(1-10):____

  • 评估其可行性(1-10):____

  • 评估其品牌一致性(1-10):____

  • 评估其预期投资回报率(1-10):____

  • 任何额外的评论或建议:__________

  • (对每个策略重复)

  1. 反馈收集沟通:起草一份清晰简洁的消息,通过协作工具或电子邮件与利益相关者分享。

示例消息:

“亲爱的[利益相关者姓名],

随着我们努力制定新的环保美容产品线营销策略,您的见解和专业知识是非常宝贵的。我们起草了潜在的营销策略,非常感谢您的反馈。这将确保我们做出明智的决定,利用多元化的观点和专业知识。

请查看[反馈表链接],并在[具体截止日期]前提交您的意见。您及时的回应对我们的下一步至关重要。

感谢您的合作和承诺。

  1. 信息提取和分析:

一旦收集到反馈:

  • 汇总数据,为每个策略的每个标准计算平均评分。

  • 分析定性反馈,了解评分系统未涵盖的见解、关注和建议。

  • 突出多个利益相关者的一致趋势或重复建议。

  1. 建议和评估:
  • 将反馈评分纳入先前的评估矩阵。

  • 根据更新的分数和反馈,优先考虑策略。解决利益相关者提出的任何重大关切。

  • 根据综合反馈和评分记录关键见解和建议。在向决策团队呈现时,这将是非常宝贵的。

  1. 沟通:

向利益相关者更新反馈结果和选择的方向。这有助于决策过程的透明和包容性。

  1. 输出验证:

确保已准确整合反馈,并修订策略评分和见解真正代表利益相关者的观点。

您是否愿意按照所述进行反馈收集,还是需要进行任何调整?

用户:继续进行模拟反馈收集。

明白了。让我们模拟反馈收集过程和结果。

模拟反馈收集过程:

  1. 确定反馈的利益相关者:
  • 营销团队

  • 销售团队

  • 产品开发团队

  • 外部顾问

  • 生态倡议合作伙伴

  • 技术团队(特别是 AR 功能)

  1. 通过工具进行反馈收集:反馈表已发送给上述利益相关者,并在一周内收到了回复。以下是模拟反馈数据:
  • 生态影响者合作伙伴

  • 平均影响:8.5/10

  • 平均可行性:7.2/10

  • 平均品牌一致性:9.3/10

  • 平均预期投资回报率:8.7/10

  • 定性反馈:“确保影响者真正与环保价值观 resonates。”

  • 社交媒体上的生态挑战(平均 7.95,详细信息略)

  • 虚拟生态美容研讨会(平均 7.83,详细信息略)

  • 绿色包装亮点

  • 平均影响:8.0/10

  • 平均可行性:9.2/10

  • 平均品牌一致性:10/10

  • 平均预期投资回报率:8.1/10

  • 定性反馈:“强调可回收性和降解时间。”

  • 与生态倡议合作

  • 平均影响:8.4/10

  • 平均可行性:7.5/10

  • 平均品牌一致性:10/10

  • 平均预期投资回报率:8.6/10

  • 定性反馈:“突出合作伙伴的故事和他们的倡议。”

  • AR 试穿功能(平均 7,详细信息略)

  • 生态影响者合作伙伴关系、绿色包装亮点和与生态倡议合作在各方面获得了最高的反馈评分。

  • AR 试穿功能虽然创新,但被技术团队评为可行性较低。

  • 定性反馈提供了改进每个策略的可行性见解。

基于模拟反馈,建议立即实施生态影响力合作伙伴关系、绿色包装亮点和与生态倡议合作的策略。还值得考虑根据技术反馈对增强现实功能进行改进,并将其作为中期策略。

您是否希望进一步讨论反馈,继续选择的策略,还是转移到创新过程的另一个阶段?

用户:选择了以下想法:绿色包装亮点

第三阶段:创新实施

创新规划:“协助概述两种选择的营销策略的详细实施计划,包括行动步骤、截止日期、资源分配、潜在风险和减轻策略。”

当然。以下是所选营销策略的详细实施计划:

绿色包装亮点

行动步骤:

  1. 内容创建:
  • 研究并整理绿色包装的生态效益数据。

  • 与设计团队合作,创建视觉吸引人的信息图表、视频和其他数字资产,突出这些优势。

  1. 数字化活动启动:
  • 使用创建的内容在所有主要社交媒体平台上推出活动。

  • 使用付费广告来扩大您的活动范围。

  1. 减轻策略:
  • 参与:

  • 建议:

  1. 数字化活动启动:内容创建后 1 周
  • 营销团队:活动策划、执行和参与

截止日期:

  1. 内容创建:3 周

  2. 收集客户接受和反馈数据,以便进行潜在改进。

  3. 参与:在整个活动期间持续进行。

  4. 反馈收集:活动启动后 2 周

资源分配:

  • 设计团队:信息图表和视频设计

  • 举办网络研讨会或直播会议,重点是教育客户包装及其环境效益。

  • 潜在风险:

  • 包装效益的误传导致误解

  • 如果竞争对手拥有更优越的生态包装,可能会引发潜在的强烈反对。

  • 预算:为内容创建和付费广告分配资金

  • 在发布之前通过验证所有数据来确保内容准确性。

  • 与竞争对手进行基准比较,了解包装的位置。

一旦上述计划启动,应定期进行审查以监控进展,解决任何挑战,并根据需要调整策略。您是否希望对这些计划进行进一步详细或完善,还是应该继续下一步?

用户:创新实施:“支持实施营销策略,提供必要的帮助,并确保与计划一致。”

当然。让我们逐步支持所述营销策略的执行:

  1. 内容创建:
  • 创建:与设计和内容团队协调,开始制作信息图表、视频和其他数字资产的过程。如有必要,我可以协助提供数据和生态效益。

  • 信息提取:定期监控进展,以确保与期望的信息和品牌一致。

  1. 数字化活动启动:
  • 规划:确保营销团队有一个明确的活动启动时间表,包括为各个平台制定分阶段发布计划。

  • 沟通:我可以为截止日期生成自动提醒或通知,确保所有步骤都及时采取。

  1. 积极参与客户查询和反馈。
  • 排名:使用分析工具监控客户参与度指标,如点赞、分享、评论和网站访问。提供见解和改进建议。

  • 沟通:为常见问题自动化响应模板,但始终建议对于独特或复杂的查询采取个性化方式。

  1. 反馈收集:
  • 信息提取和分析:分析反馈和情感,以确定改进领域或在必要时调整策略。

持续监控和报告:

在执行两种策略的过程中,我将提供:

  • 定期更新和进展报告。

  • 通知任何与计划偏离的情况。

  • 对潜在风险及其缓解的即时警报。

现在,为了启动这项支持,我需要与您正在使用的必要工具(例如营销平台、分析工具、协作工具等)进行集成,并制定一个明确的时间表。您是否希望继续,或者有任何需要进一步关注的地方?

用户:模拟营销策略的实施。

当然,让我们模拟在假设的 3 个月期间执行两种营销策略:

第 1 个月:设置和启动

  1. 内容创建:
  • 设计和内容团队成功合作。

  • 已创建两个信息图表、一个视频和四个社交媒体帖子,突出绿色包装的环保优势。

  • 对初稿的反馈已收集并进行了修改,导致在第三周结束时最终获得批准。

  1. 数字活动启动:
  • 该活动于月底在所有主要社交媒体平台上推出。初始反应是积极的。

第 2 个月:执行和参与

  1. 参与度:
  • 该活动产生了显著的影响。分享、评论和网站访问等参与度指标比以往活动增加了 25%。

  • 自动响应模板处理了 60%的查询。其余需要个人关注的查询由营销团队处理。

  1. 反馈收集:
  • 初始反馈是积极的,但也有一些建议,希望更清晰地传达可回收性的信息。

第 3 个月:监控和改进

  1. 反馈收集:
  • 对反馈进行了分析,并对活动进行了轻微调整,特别是为了更清晰地突出包装的降解时间。
  1. 监控:
  • 该活动的影响进一步扩大,视频达到了观众里程碑,表明了成功的策略。

模拟结束总结:绿色包装亮点活动成功强调了品牌的环保理念。

您是否需要进一步的分析、活动后的建议或见解,还是我们应该继续进行创新评估的下一阶段?

用户:第 4 阶段:创新评估

创新影响评估:“协助收集和分析实施营销策略的影响范围、参与度和投资回报率的数据,以评估其有效性。”

绝对。让我们通过收集和分析相关数据来评估实施的营销策略的有效性。

绿色包装亮点:

数据收集:

  1. 影响范围:
  • 在所有社交媒体平台上的观看次数和印象总数。

  • 与上个月相比,网站访问量增加。

  1. 参与度:
  • 点赞数、分享数、评论数和提及数。

  • 视频内容的平均观看时间和信息图表的点击率。

  1. 投资回报率:
  • 归因于该活动的增量销售。

  • 通过该活动产生的潜在客户转化率。

  • 活动支出与活动带来的收入。

分析:

  • 该活动总共获得了 150 万次印象,网站访问量增加了 20%。

  • 参与度指标显示与以往活动相比增长了 25%。

  • 投资回报率为 3:1,意味着每花费一美元在活动上,就能带来三美元的收入。

整体创新影响:绿色包装亮点活动在确立品牌的环保信誉方面起到了关键作用。

您是否想进一步探讨具体情况,还是我们应该讨论下一个周期的潜在改进?

用户:创新改进:“根据评估结果,提出改进营销策略的建议,并推荐未来创新努力的领域。”

当然。根据我们的创新影响评估结果,这里有关于改进营销策略和未来创新领域的建议:

对当前策略的改进:

  • 内容多样性:引入不同的内容格式,如博客文章、互动网络内容或播客,以满足更广泛的受众。

  • 用户参与:举办关于产品线和包装的生态效益的问答环节或网络研讨会。这加深了与观众的联系并进一步教育他们。

  • 本地化:定制活动以迎合当地口味和偏好,特别是在参与度高的地区。

未来创新努力的领域:

  • 先进的生态材料:

  • 研究并投资于下一代环保包装材料,如生物塑料、藻类材料或菌丝包装。

  • 探索使用由回收的海洋塑料制成的包装的可能性,以实现与事业营销角度的结合。

  • 包装可重复使用:

  • 设计包装以鼓励可重复使用。例如,可以重新填充或重新用于其他用途的容器。

  • 推出退货或回收计划,让客户可以退回空包装以获得下次购买的折扣。

  • 教育包装:

  • 利用房地产包装来教育消费者可持续实践的重要性。这可以是信息图表、QR 码链接到教育内容,甚至是详细介绍环保包装历程的增强现实体验。

  • 本地化可持续包装(进一步的细节被省略,也适用于以下项目)

  • 供应链整合

  • 消费者反馈循环

  • 零废弃目标

  • 合作与认证

在我们探索 AI 助手如何在创新管理领域发挥作用时,我们制定了全面的大纲。主提示定义了整个创新生命周期及其四个阶段:培育、验证、实施和评估。

在这种情况下,ChatGPT-4 的任务特定提示的顺序和相应的回应被描述出来,呈现了每个阶段的系统执行及其相应的任务:

  1. 阶段 1:创新培育:这里的重点是为营销环保美容产品制定挑战性声明,同时生成创新的营销策略思路。它通过定义挑战并探索创造性方法来解决挑战,奠定了基础。

  2. 阶段 2:创新验证:在这个阶段,营销策略根据其潜在影响、可行性、与品牌的一致性和预期投资回报进行评估。收集反馈并呈现模拟结果,以便对要实施的策略做出明智的决定。

  3. 阶段 3:创新实施:在这里,选择的营销策略被转化为详细的实施计划,包括行动步骤、时间表、资源分配和风险缓解。支持执行策略,确保计划有效实施。

  4. 阶段 4:创新评估:最后阶段涉及收集和分析已实施策略的覆盖范围、参与度和投资回报的数据。评估过程确定了品牌在建立生态认证方面的成功,并提出了改进策略和探索未来创新领域的建议。

总之,主提示与特定任务提示序列之间的协同作用突显了 ChatGPT 对协作企业环境的支持。各个任务提示可以来自各种员工,确保多样化的专业知识和观点得到利用。在*第四章*中概述的架构模式 D3 中,协作存储库在这一过程中发挥了关键作用。它通过在每个新提示后一致地存储整个上下文,并随后重新加载它来保留协作上下文。这确保了讨论线索和集体知识永远不会丢失,为凝聚和知情决策铺平了道路。

企业周期管理

企业周期管理(ECM)是企业采取的系统方法,用于定义、执行、评估和完善各种运营周期。它包括准备(设定目标、角色和指标)、执行(积极管理、协作和状态更新)和评估(审查绩效和建议改进)。示例包括共享服务中心运营、销售周期、经典项目管理或敏捷开发周期。

ECM 的成功取决于各阶段中每个步骤的有效执行,以及所有中间结果的无缝集成(也请参阅图 6.13)。

图 6.13: 企业周期管理

以下主提示展示了 ChatGPT-4 如何在企业周期管理的各个方面提供帮助:

  • 专家角色:“您是一名专门从事企业周期管理的 AI 助手,擅长管理企业周期的所有阶段的任务,包括准备、执行、评估和改进。您的能力涵盖了共享服务中心、销售和敏捷开发等各种企业背景。”

  • 背景:您正在协助的组织是一家设立新企业周期的跨国公司。在这一背景下,每个周期都有以下生命周期:

  • 第一阶段:周期准备:周期规范

  • 第二阶段:周期执行:个体周期执行,周期状态更新,协作

  • 第三阶段:周期评估:周期总结评估,周期改进建议”

  • 目标:“您作为 AI 助手的目标是帮助组织准备、执行和评估业务周期,并不断提出改进建议。这可以通过沟通、问答、创作、总结、建议和信息提取和分析⁹能力来实现。”

  • 输入控制规则

  • 内容规则:“所有任务提示都应明确描述任务,包括角色、责任、输入和输出。”

  • 道德规则:“确保遵守组织的数据隐私和保密指南。”

  • 工具目录使用规则:“在管理企业周期时,利用授权的组织工具。这些工具包括知识管理系统、协作工具、报告工具和改进建议平台。相应的 API 在这里定义:。”

  • 提示优化规则:“确保提示清晰简洁,以获得最佳结果。”

  • 输出控制规则

  • 条件:“只有在给出明确任务提示时才提供输出。”

  • 提问规则:“如果提示缺乏足够的细节,请要求澄清。”

  • 推理规则:“解释完成复杂任务所采取的逻辑步骤。”

  • 增强规则:“增强基本输出,提供支持任务完成的额外相关信息。”

  • 输出验证规则:“仔细检查所有共享信息的准确性。”

  • 外部行动规则:“根据给定任务启动后续步骤或行动。”

  • 输入约束

  • “提示必须具体、相关,并与企业周期的当前阶段保持一致。”

  • “每个特定任务的提示必须从当前周期阶段的允许提示列表中选择,并且只能在处理前一个特定任务的提示后提交。”

  • 输出约束

  • “产出必须符合组织标准,可操作,并有助于企业周期的进展。”

上述的主提示为 ChatGPT-4 在企业周期管理中的角色提供了一个一般的背景。它将其定位为一个人工智能助手,擅长于各种企业背景下的周期准备、执行、评估和改进。为了了解这个主提示如何适应特定任务,我们深入研究了四种常见的操作场景——共享服务中心运营、销售周期、经典项目管理周期和敏捷开发。对于每种情景,我们创建了特定任务的提示,指导 ChatGPT 如何有效地在每个阶段管理相应的周期。出于简洁起见,我们省略了 ChatGPT 的相应回应:

  • 共享服务中心周期

图 6.14: 共享服务中心周期助手

  • 阶段 1:周期准备

  • 周期规范提示:“帮助我定义即将到来的服务周期,考虑预期的服务请求、团队角色、SLA 和潜在的人工智能应用。”

  • 阶段 2:周期执行

  • 个人周期执行提示:“基于公司的知识库和过去的解决方案,就这个复杂的 IT 问题提供见解。”

  • 周期状态更新提示:“将服务请求状态更新为已解决。”

  • 合作提示:“就这个复杂的服务问题与团队成员进行咨询。”

  • 阶段 3:周期评估

  • 周期总结评估提示:“生成这个服务周期的全面总结,包括关键指标和挑战。”

  • 周期改进建议提示:“根据本周期总结的见解,为未来的服务周期提出改进建议。”

  • 销售周期管理

图 6.15: 销售周期助手

  • 阶段 1:周期准备

  • 周期规范提示:“协助我设置即将到来的销售周期,考虑目标市场、销售目标和销售策略。”

  • 阶段 2:周期执行

  • 个人周期执行提示:“在我们的会议之前,就这个潜在客户的行业趋势提供见解。”

  • 周期状态更新提示:“记录销售会议的结果,安排第二次会议。”

  • 合作提示:“与我的团队分享这次销售互动的细节并征求他们的建议。”

  • 阶段 3:周期评估

  • 周期总结评估提示:“准备这个销售周期的全面总结,包括关键绩效指标和挑战。”

  • 周期改进建议提示:“根据本周期总结的见解,为未来的销售周期提出改进建议。”

  • 经典项目管理周期

图 6.16: 项目管理周期助手

  • 阶段 1:周期准备

  • 周期规范提示:“指导我定义即将到来的项目阶段,考虑目标、交付物、时间表、角色和潜在的人工智能应用。”

  • 阶段 2:周期执行

  • 个人周期执行提示:“帮助我准备项目状态报告并有效地构建它。”

  • 周期状态更新提示:“在项目进展中标记任务为已完成。”

  • 合作提示:“与团队成员就这个项目问题进行讨论。”

  • 阶段 3:周期评估

  • 周期总结评估提示:“生成这个项目阶段的全面总结,包括关键成果和挑战。”

  • 循环改进建议提示:“根据本阶段总结的见解,推荐增强未来项目循环的方式。”

  • 敏捷冲刺管理

图 6.17: 敏捷循环助手

  • 第 1 阶段:循环准备

  • 循环规范提示:“协助我概述即将进行的敏捷冲刺,包括冲刺目标、用户故事、角色和潜在的人工智能应用。”

  • 第 2 阶段:循环执行

  • 个人循环执行提示:“帮助我理解这个用户故事的需求,并提出清晰简洁的代码注释。”

  • 循环状态更新提示:“更新冲刺状态,标记用户故事已完成。”

  • 协作提示:“协助总结我的进展和在站立会议中遇到的挑战。”

  • 第 3 阶段:循环评估

  • 循环总结评估提示:“创建本次冲刺的全面总结,包括已完成的用户故事、团队的速度和挑战。”

  • 循环改进建议提示:“根据本次冲刺总结的见解,提供改进未来冲刺的建议。”

以上探讨阐明了 ChatGPT-4 在企业循环管理领域的广泛潜力。通过将主提示定制为共享服务中心、销售、项目管理和敏捷循环中的特定任务,我们展示了 ChatGPT-4 如何提高不同企业环境下的运营效率。这些基于人工智能的干预措施,从循环规范和执行到评估和持续改进,展示了企业运营未来的一瞥。

结论

本章揭示了人工智能的转型能力,特别是像 ChatGPT 这样的语言模型,在重新定义和优化业务运营的各个方面。通过熟练使用主提示、智能功能助手和智能协作助手,组织可以简化其流程,增加基于数据的决策,并刺激创新。

在对人工智能的转型潜力有了基础理解之后,接下来的章节将指导读者了解在企业环境中管理基于 GPT 的项目的复杂性。我们将深入探讨对这类项目成功的重要元素,从项目准备到解决方案实施和变革管理。

要点

  1. 主提示的战略使用:这些提示在引导后续特定任务提示的解释和执行方面发挥着至关重要的作用,使 ChatGPT 的回应与组织政策、公司标准和质量基准保持一致。

  2. 利用人工智能助手增强数据驱动功能:各个领域的团队可以使用 ChatGPT-4 及其分析插件分析复杂数据集。凭借其分析数据、生成深入报告和预测趋势的能力,它成为了一个有用的决策工具。

  3. 决策和优化技术的使用:组织可以使用决策理论、模拟技术和进化算法来预测结果、做出明智选择或生成优化设计。

  4. 智能协作助手的熟练管理:通过利用主提示,这些助手能够有效地监督从业务流程管理到创新管理和企业循环管理等各种协作场景。

  5. 展示的多功能性和适用性:通过不同业务功能的多样化示例,突出了 ChatGPT 在多个专业环境中的适应性和多功能性,展示了它作为现代企业转型资产的潜力。


¹ 在*第四章,GPT 模型支持的架构模式*中,B1、B2 和 B3 架构模式描述了通过生成的 API 函数调用将 GPT 模型与外部工具集成的方式。

² 如果上下文窗口大小有限制,相关背景信息也可以从专门用于业务流程、产品、服务等的知识库动态检索。

³ 要了解全部 18 个人工智能能力的概况,请参阅* 第二章,CapabilityGPT – 企业 ChatGPT 的人工智能能力框架*。

⁴ 这些人工智能能力在* 第二章* 中作为 CapabilityGPT 的一部分进行了详细描述,这是一个人工智能能力框架。

⁵ 进化算法(EAs)是受自然进化启发的优化方法,利用选择、交叉和突变来演化解决方案。在这个例子中,我们只使用选择和突变。

⁶ 大写的动词是术语,有助于在进化算法的背景下制定目标。

⁷ 决策理论研究如何基于可用选项和预期结果做出最佳选择。它结合信念和偏好,系统地确定最有利的行动。

⁸ 理性选择理论认为,个体通过权衡每个选项的利益和成本来做出决策,以最大化个人利益。它假设人们会理性行事,选择他们认为会给他们带来最大利益的选项。

⁹ 所有列出的人工智能能力都在第二章中定义。