一起玩转LeetCode 142. 环形链表 II

53 阅读3分钟

142. 环形链表 II

题目

力扣题目链接:142. 环形链表 II

给定一个链表的头节点  head ,返回链表开始入环的第一个节点。 如果链表无环,则返回 null

如果链表中有某个节点,可以通过连续跟踪 next 指针再次到达,则链表中存在环。 为了表示给定链表中的环,评测系统内部使用整数 pos 来表示链表尾连接到链表中的位置(索引从 0 开始)。如果 pos 是 -1,则在该链表中没有环。注意:pos 不作为参数进行传递,仅仅是为了标识链表的实际情况。

不允许修改 链表。

 

示例 1:

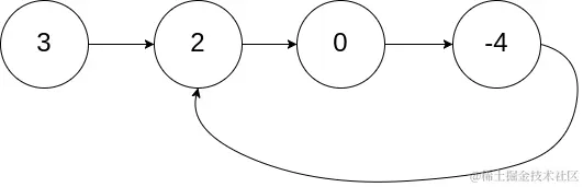
输入: head = [3,2,0,-4], pos = 1
输出: 返回索引为 1 的链表节点
解释: 链表中有一个环,其尾部连接到第二个节点。

示例 2:

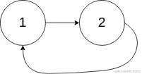
输入: head = [1,2], pos = 0
输出: 返回索引为 0 的链表节点
解释: 链表中有一个环,其尾部连接到第一个节点。

示例 3:

输入: head = [1], pos = -1
输出: 返回 null
解释: 链表中没有环。

 

提示:

  • 链表中节点的数目范围在范围 [0, 104] 内
  • -105 <= Node.val <= 105
  • pos 的值为 -1 或者链表中的一个有效索引

 

进阶: 你是否可以使用 O(1) 空间解决此题?

1、哈希表

思路

使用哈希表来存储已经遍历过的节点。遍历链表中的每个节点,如果当前节点已经在哈希表中出现过,说明链表中存在环。如果遍历完整个链表都没有找到重复的节点,则说明链表中不存在环。

代码

/**
 * Definition for singly-linked list.
 * struct ListNode {
 *     int val;
 *     ListNode *next;
 *     ListNode(int x) : val(x), next(NULL) {}
 * };
 */
class Solution {
public:
    ListNode *detectCycle(ListNode *head) {
        // 定义一个名为visited的无序集合,用于存储已经访问过的节点指针
        unordered_set<ListNode*> visited;
 
        while (head != nullptr) {
            // 检查当前节点是否已经访问过,如果已经访问过,说明链表中存在环
            if (visited.count(head)) {
                // 如果存在环,则返回当前节点,这个节点是环的起始节点 
                return head;
            }
            // 如果当前节点没有被访问过,则将其加入到visited集合中,表示已经访问过
            visited.insert(head);
            head = head->next;
        }
        // 如果遍历完整个链表都没有找到环,则返回空指针
        return nullptr;
    }
};

复杂度分析

  • 时间复杂度:O(N),其中 N 为链表中节点的数目。我们恰好需要访问链表中的每一个节点。
  • 空间复杂度:O(N),其中 N 为链表中节点的数目。我们需要将链表中的每个节点都保存在哈希表当中。

2、双指针法

代码

/**
 * Definition for singly-linked list.
 * struct ListNode {
 *     int val;
 *     ListNode *next;
 *     ListNode(int x) : val(x), next(NULL) {}
 * };
 */
class Solution {
public:
    ListNode *detectCycle(ListNode *head) {
        ListNode* slow = head;
        ListNode* fast = head;
 
        while (fast != nullptr && fast->next != nullptr) {
            fast = fast->next->next;
            slow = slow->next;
            if (slow == fast) { // 如果slow和fast在某一点相遇,说明链表中存在环 
                ListNode* ptr = head;
 
                while (ptr != slow) { 
                    ptr = ptr->next;
                    slow = slow->next;
                }
                return ptr; // 当ptr和slow在同一个位置时,说明找到了环的入口,返回该节点  
            }
        }
        return nullptr; // 如果链表中不存在环,则返回空指针 
    }
};

复杂度分析

  • 时间复杂度:O(N),其中 N 为链表中节点的数目。在最初判断快慢指针是否相遇时,slow 指针走过的距离不会超过链表的总长度;随后寻找入环点时,走过的距离也不会超过链表的总长度。因此,总的执行时间为 O(N)+O(N)=O(N)。
  • 空间复杂度:O(1)。