一起玩转LeetCode 19. 删除链表的倒数第 N 个结点

89 阅读1分钟

19. 删除链表的倒数第 N 个结点

题目

力扣题目链接:19. 删除链表的倒数第 N 个结点

给你一个链表,删除链表的倒数第 n **个结点,并且返回链表的头结点。

 

示例 1:

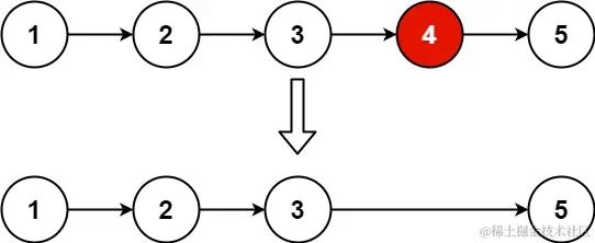
输入: head = [1,2,3,4,5], n = 2
输出: [1,2,3,5]

示例 2:

输入: head = [1], n = 1
输出: []

示例 3:

输入: head = [1,2], n = 1
输出: [1]

 

提示:

  • 链表中结点的数目为 sz
  • 1 <= sz <= 30
  • 0 <= Node.val <= 100
  • 1 <= n <= sz

 

进阶: 你能尝试使用一趟扫描实现吗?

1、双指针法

代码

/**
 * Definition for singly-linked list.
 * struct ListNode {
 *     int val;
 *     ListNode *next;
 *     ListNode() : val(0), next(nullptr) {}
 *     ListNode(int x) : val(x), next(nullptr) {}
 *     ListNode(int x, ListNode *next) : val(x), next(next) {}
 * };
 */
class Solution {
public:
    ListNode* removeNthFromEnd(ListNode* head, int n) {
        ListNode* dummyHead = new ListNode(0); //创建虚拟头结点
        dummyHead->next = head;
        ListNode* slow = dummyHead; // 定义慢指针,初始指向虚拟头节点
        ListNode* fast = head; // 定义快指针,初始指向原链表的头节点
 
        // 快指针先走n步,同时检查快指针是否为空,防止n大于链表长度的情况
        while (n-- && fast != nullptr) {
            fast = fast->next;
        }
 
        // 当快指针走到链表末尾时,慢指针所在位置就是需要删除的节点的前一个节点
        while (fast != nullptr) {
            fast = fast->next;
            slow = slow->next;
        }
 
        ListNode* tmp = slow->next; // 临时存储需要删除的节点
        slow->next = slow->next->next;
        delete tmp; // 释放需要删除的节点的内存
        tmp = nullptr; // 将tmp设置为nullptr,防止出现野指针的情况
 
        head = dummyHead->next; // 由于我们修改了链表头,因此需要更新head的值
        delete dummyHead; // 释放虚拟头节点的内存
        dummyHead = nullptr;
 
        return head;
    }
};

 复杂度分析

  • 时间复杂度:O(n)。
  • 空间复杂度:O(1)。