一起玩转 LeetCode 206.反转链表

104 阅读3分钟

206.反转链表

题目

力扣题目链接:206. 反转链表

给你单链表的头节点 head ,请你反转链表,并返回反转后的链表。

 

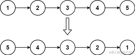
示例 1:

输入: head = [1,2,3,4,5]
输出: [5,4,3,2,1]

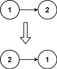
示例 2:

输入: head = [1,2]
输出: [2,1]

示例 3:

输入: head = []
输出: []

 

提示:

  • 链表中节点的数目范围是 [0, 5000]
  • -5000 <= Node.val <= 5000

 

进阶: 链表可以选用迭代或递归方式完成反转。你能否用两种方法解决这道题?

1、双指针法(从前往后翻转)

思路

首先需要两个指针,一个 curr 指针,指向头结点,一个 prev 指针,初始化为 nullptr 。

然后需要把 curr->next 的节点用 temp 指针保存一下,因为接下来要改变 curr->next 的指向了,将 curr->next 指向 prev,此时就反转了第一个节点了。接下来,继续移动 prev 和 curr 指针。

当 curr 指针指向 nullptr 时,循环结束,链表反转完毕。prev 指针就指向了新的头结点。

代码

/**
 * Definition for singly-linked list.
 * struct ListNode {
 *     int val;
 *     ListNode *next;
 *     ListNode() : val(0), next(nullptr) {}
 *     ListNode(int x) : val(x), next(nullptr) {}
 *     ListNode(int x, ListNode *next) : val(x), next(next) {}
 * };
 */
class Solution {
public:
    ListNode* reverseList(ListNode* head) {
        ListNode* temp = nullptr;  
        ListNode* prev = nullptr;  
        ListNode* curr = head;  
        
  
        while (curr != nullptr) {  
            // 保存curr的下一个节点到temp,因为接下来要改变cur->next
            temp = curr->next;  
            // 翻转操作  
            curr->next = prev;  
            // 更新pre 和 cur指针
            prev = curr;   
            curr = temp;  
        }  
          
        // 返回反转后的链表的头节点,即原链表的最后一个节点prev  
        return prev;  
    }
};

复杂度分析 

  • 时间复杂度:O(n),其中 n 是链表的长度。需要遍历链表一次。
  • 空间复杂度:O(1)。

2、递归法

代码

/**
 * Definition for singly-linked list.
 * struct ListNode {
 *     int val;
 *     ListNode *next;
 *     ListNode() : val(0), next(nullptr) {}
 *     ListNode(int x) : val(x), next(nullptr) {}
 *     ListNode(int x, ListNode *next) : val(x), next(next) {}
 * };
 */
class Solution {
public:
    ListNode* reverse(ListNode* prev,ListNode* curr){
        if (curr == nullptr) return prev;
        ListNode* temp = curr->next;
        curr->next = prev;
        // 相当于双指针法的下面两步
        // prev = curr;
        // curr = temp;
        return reverse(curr,temp);
    }
 
    ListNode* reverseList(ListNode* head) {
        // 和双指针法初始化是一样的逻辑
        // ListNode* curr = head;
        // ListNode* prev = nullptr;
        return reverse(nullptr, head);
    }
 
};

复杂度分析  

时间复杂度:O(n),其中 n 是链表的长度。需要对链表的每个节点进行反转操作。

空间复杂度:O(n),其中 n 是链表的长度。空间复杂度主要取决于递归调用的栈空间,最多为 n 层。

3、递归(从后往前翻转)

代码

/**
 * Definition for singly-linked list.
 * struct ListNode {
 *     int val;
 *     ListNode *next;
 *     ListNode() : val(0), next(nullptr) {}
 *     ListNode(int x) : val(x), next(nullptr) {}
 *     ListNode(int x, ListNode *next) : val(x), next(next) {}
 * };
 */
class Solution {
public:
    ListNode* reverseList(ListNode* head) {
        // 边缘条件判断
        if (head == nullptr) return nullptr;
        if (head->next == nullptr) return head;
        
        // 递归调用,翻转第二个节点开始往后的链表
        ListNode* last = reverseList(head->next);
        // 翻转头节点与第二个节点的指向
        head->next->next = head;
        // 此时的 head 节点为尾节点,next 需要指向 nullptr
        head->next = nullptr;
        return last;
    }
}; 

复杂度分析  

时间复杂度:O(n),其中 n 是链表的长度。需要对链表的每个节点进行反转操作。

空间复杂度:O(n),其中 n 是链表的长度。空间复杂度主要取决于递归调用的栈空间,最多为 n 层。