2023年9月15-18日,第二届全国动力学设计与反问题研讨会暨第一届全国动力学载荷与设计学术会议在南京顺利召开。会议由国家自然科学基金委员会数理科学部指导,中国力学学会动力学与控制专业委员会主办,中国振动工程学会动力学载荷与设计专业委员会、江苏省力学学会、江苏省振动工程学会协办,南京航空航天大学航空学院、航空航天结构力学及控制全国重点实验室承办。吸引了来自国家自然科学基金委员会、复旦大学、上海大学、同济大学、西北工业大学等高校以及中国运载火箭技术研究院、中国航天科技创新研究院、中国空气动力研究与发展中心等研究院所的300余位专家学者参会,共同探讨动力学设计领域的最新研究成果和实践经验。百度技术专家分享了飞桨AI for Science在该领域的最新应用。
主题分享:PaddleScience最新科研进展
作为百度飞桨科学计算团队的代表,百度工程师李佳琳介绍了飞桨科学计算套件 PaddleScience 以及“基于其实现的PINN(Physics-Informed Neural Network)的三维汽车底盘受力分析和拓扑优化”的报告。PINN 是一种基于物理信息的神经网络方法,可以用于求解偏微分方程,解决复杂的预测问题和反问题。针对三维汽车底盘部件,我们在不依赖任何先验数据(仿真和实验数据)的情况下,仅依赖结构力学中的线弹性和密度-刚度方程,进行正问题受力分析,反问题参数求解和拓扑优化的模拟。
我们选取汽车底盘中的汽车控制臂结构作为分析对象,汽车控制臂也称为悬挂臂或悬挂控制臂,是连接车轮和车辆底盘的重要零件,它作为汽车悬架系统的导向和传力元件,将作用在车轮上的各种力传递给车身,同时保证车轮按一定轨迹运动。我们根据汽车控制臂的几何形状生成 stl 文件,再在程序中使用 PaddleScience 套件解析该 stl 文件,从而将这个特殊的几何形状导入到程序当中。
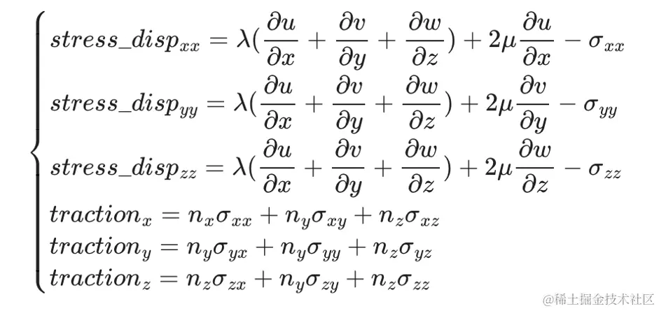
对于该结构的受力分析,我们参照汽车实际运行过程中该结构可能的受力情况和边界条件,设定了两种不同的情况。下图展示了其中一种边界条件,结构分叉圆环内表面固定,此时该表面应变为0,顶部圆环内表面受力,方向为垂直于结构中心轴方向(Z轴正方向)。另一种边界条件为顶部圆环受到平行于结构中心轴方向(Y轴负方向)的拉力。假设结构的应力与应变关系遵循线弹性方程,利用PINN可求解在给定载荷情况下的结构应力和应变。
在进行参数逆推研究时,我们根据上一步求出的应力应变结果,在同样的边界条件和受力条件下,逆向推理该结构的拉梅常数 λ 和 μ 。该方法利用受力分析模型生成数据,是不需要真实数据的无监督学习,同时由于与正问题使用同样的 PDE 公式,对于网络来说计算复杂度与正问题相似,不额外引入计算量。相比传统的有限元算法,在结构参数逆推问题上,PINN方法更为便捷。
与深度学习结合的拓扑优化研究属于当前较新的领域,目前结合方式大多为使用数据驱动进行训练,但考虑到问题的可解释性,我们采用 PINN 的方式实现拓扑优化。目前我们处于两者结合研究的初期阶段,主要通过 2D 悬臂梁结构验证了这种方法的可行性和有效性。在验证中我们设置悬臂梁左侧为固定边界,即应变为0,右下角点受到垂直于梁的拉力(Y轴负方向)。基于传统的 SIMP(Solid Isotropic Material with Penalization)优化方法,假设结构遵循 E(ρ)=ρpE1 规律,拓扑优化的目标为将材料体积优化到初始体积的50%,最终可以得到下图右侧所示的拓扑结构。
在该案例的研究中我们发现,使用 PINN 的方法可以在不必使用任何先验数据的前提下,得到受力分析和参数逆推的结果,且该结果基本符合数值解,对拓扑优化问题的研究也充分证实了 PINN 与拓扑优化结合的可行性。
深度学习方法一旦训练完成即可反复推理,根据问题、采样点数量、任务规模、所使用的硬件等条件的不同,推理耗时约为几十到几百毫秒。不过虽然推理时间极短,但不可否认的是训练耗时较长,尤其是对于需要循环反复训练的拓扑优化问题,虽然仅需1-2个小时即可训练出大致结果,但若需要得到如上图所示边界清晰的结果,则大约需要1天时间。当然,作为深度学习方法,训练耗时即为问题优化到最优解的时间,这个时间显然与优化方案有关,不同的网络模型、参数、优化器、学习率等,都可能影响训练耗时的长短,如何在保证精度的条件下缩短 PINN 训练耗时,也是未来研究的方向之一。
与传统有限元分析法对比而言,除去画网格的时间,使用有限元分析法对相同结构进行受力分析的时间约0.5小时,拓扑优化约几小时;而 PINN 受力分析和拓扑优化训练耗时均为1天左右。从受力分析/拓扑优化的耗时比例来看, PINN 远大于有限元分析法。可见 PINN 方法的瓶颈主要来自于为了保证计算的准确性需要较大的计算时长。未来如果可以提升 PINN 的准确性,加速训练过程,则 PINN 能够加速拓扑优化,提高汽车设计和优化效率。
综上,我们可以得出结论,PINN在结构受力分析上能够取得与传统有限元分析方法同等的效果,对于受力分析、参数逆推和拓扑优化,均可以采用相同的代码架构,相比有限元方法在计算流程上更为简洁。
交流探讨:共建科研生态
本次会议为全国动力学设计与反问题及动力学载荷与设计领域的专家学者提供了一个交流与学习的平台。通过分享最新的研究成果和实践经验,参会者们共同探讨了动力学设计与反问题领域的最新进展、发展趋势和亟需关注的科学问题,推动了动力学设计领域的快速发展。同时,在本次会议中,部分专家学者展示了传统动力学问题与人工智能和深度学习技术相结合的最新研究成果,对深度学习领域和 PINN 方法展现出浓厚的兴趣,为推动领域结合研究助力。
飞桨作为百度自主研发的中国首个开源开放、功能丰富的产业级深度学习平台,致力于科技发展和创新,为数以百万计的开发者提供了各种深度学习和人工智能工具和资源。百度飞桨对此次大会及参会专家学者探讨和研究的各种互动技术和学术发展保持高度关注,希望与中国力学学会及各大高校和科研院所一起,共同夯实 AI for Science 的未来。
产品基石:飞桨 AI for Science
百度飞桨将 AI 方法应用于典型的科学与工程领域,促进数学、物理、化学、生物等多个学科的交叉融合。目前针对通用物理科学、生物计算、量子机器学习领域发布了赛桨 PaddleScience、螺旋桨 PaddleHelix、量桨 Paddle Quantum 工具,并全量适配深度学习科学计算工具 DeepXDE,提供数据驱动、数理融合、机理驱动等多种 AI for Science 方法模型,提供复杂外形障碍物绕流、结构应力应变分析、设备对流散热、材料分子模拟等丰富领域算例,广泛支持 AI+计算力学、生物计算、量子计算等前沿方向的科研和产业应用。其中 AI for Science 工具组件赛桨 PaddleScience,是国内首个基于 AI 框架的公开且可应用于计算流体力学(CFD)领域的工具,提供端到端的应用 API,重点围绕高水平科研活动场景,解决重大科研问题。百度飞桨提供的自研科学计算套件赛桨 PaddleScience 实现了对 PINN 方法的全量支持,PaddleScience 目前不仅支持自动(高阶)微分、数据并行、混合精度计算等,提供了构建案例代码的简单组件,还实现了多领域的多种正、逆问题案例,同时提供详尽文档供用户和开发者使用及二次开发。
未来,飞桨 AI for Science 将不断加大技术支持,为人工智能与力学科研发展赋能,汇聚科研成果、人才资源、产品创新,为 AI for Science 的发展提供坚实力量。
相关地址
-
AI Studio 项目链接:
-
AI Studio 用户注册:
-
飞桨 PaddleScience 工具组件 github 仓库
-
飞桨 PaddleScience 工具组件官方文档