上车WebGL——透视投影

857 阅读12分钟

透视投影封面.gif

哈喽大家好啊,我是广州小井。经过上一节的学习,我们已经了解并实战使用了投影之一的正交投影!那么本节,我们趁热打铁,把更贴近生活场景、更接近视觉效果,并且也是更难的透视投影也一探究竟吧!

因为要更好的学习 WebGL 就需要更多的上手敲代码,所以案例和演示代码就很显得重要了。为此,笔者打算将案例、源码都统一放到 github 仓库,并且搞了个在线文档供大家学习参考~大家可以给笔者点个 star!文章更新不迷路!

img.png

本文的同步地址:

了解透视投影

那么上一节也有提到透视投影,它更贴近生活,符合我们人的视觉效果,会有近大远小的现象。当然,这种投影的使用程度也是更加的广泛。跟上一节学习的正交投影的可视空间是长方体的不同,它的可视区域是一个类四棱锥,我们可以通过下图来回顾一下(左图):

6.1.png

由上图(左)可以发现,透视投影的可视区间是四棱锥中的远近裁剪面决定的,近裁剪面跟远裁剪面之间形成了一个四棱台(近裁剪面小于远裁剪面)。并且图像会投影到近裁剪面上,这也是最终呈现在显示器上的图像结果。

这里,我们跟上一节一样,通过图、描点的方式,把透视投影的可视区域表达出来!当然,因为它不再是长方体结构,所以我们要分别对远近裁剪面进行描点~如下图:

7.1.png

上图中,我们依然通过 left、right、top、bottom、near、far 点位对透视投影的可视区域进行描述。与正交投影的不同的是,远近裁剪面大小不相同,所以对于 top、bottom、left、right 值我们分别对两个面进行标注。

这里我们可以试想一下,如果我们将远裁剪面进行一定的压缩,变成跟近裁剪面等大的长方形,那可视空间不就又回到了我们熟悉的长方体了吗?如此一来,只要我们把这个长方体移动到世界坐标原点吗,再缩放到[-1, 1]区间范围,不就是我们刚学完的正交投影变换吗!

所以,我们应该如何构造出这个长方体?简单来说就要压缩远裁剪面,把它压成近裁剪面大小。

比如说现在空间中有一个点A(x, y, z),我们要做的就是把x压缩成xA,把y压缩成yA。我们先不着急想要怎么压缩,先找找透视投影可视区域有什么样的规律或者特性。比如现在我们从正侧面观察这个四棱台的特性:

7.2.png

上图中我描了绿色边的三角形在我们的九年义务教育中它叫啥?相似三角形有没有?那相似三角形的特性之一:三组对应边均成比例对此至关重要!为什么这么说?我们接着把案例(点A)代入进图中观察:

7.3.png

如图,当我们把A点进行压缩时,它最终压缩到的对应位置为A',那此时,它的Y轴坐标将由原来的y变为yA。由于A'A围成三角形为相似三角形,所以对于y轴的压缩值,我们可以通过以下等式来表示:

// z是A点的z坐标值,n是近裁剪面的z坐标值;
z / n === y / yA
// 变换为:
yA = y * (n / z)

也就是说,对于变换后的 yA 来说,它的值等于 yn/z 的结果。同理,我们以同样的方式对X轴的坐标值进行转换。比如现在我们从正上方观察四棱台:

7.4.png

没错,跟从正侧面的规律是一样的,依然是相似三角形,依然是有三组对应边均成比例这个重要特性。并且,我们通过推导可以发现,XY轴坐标的变换公式其实是一样的:

// z是A点的z坐标值,n是近裁剪面的z坐标值;
z / n === x / xA
// 变换为:
xA = x * (n / z)

因此,我们可以得出一个结论:对于可视空间四棱台中每一个坐标的x、y值都乘上 n/z,就可以把这个四棱台变换成一个长方体了

透视投影矩阵

根据前文做的推导,我们得知将透视投影的四棱台压缩成长方体其实就是将所有的x、y坐标值值都乘上 n/z,于是我们可以将值直接代入到矩阵当中:

7.5.png

没错,我们仅仅对x、y的值进行代入,毕竟我们还没有求跟Z轴变化有关的值,所以z值(矩阵第三行)相关的位置都是。那我们有没有办法从已知的信息中来推导这一行的未知数呢?这里我们回顾一下之前第二章学习过的WebGL绘制点中提到的齐次坐标,它的特性是: (x, y, z, w) 其实等价于三维坐标 (x/w, y/w, z/w)

因此,我们可以推导出齐次坐标(x, y, z, w)等于(xn, yn, zn, wn),四个分量同时乘上一个常量值n依然是等价的!所以,我们可以给前文求到的齐次坐标的每一个分量都乘上一个z值,可以得到:

7.6.png

这样有什么用呢?别急,我们接着往下看。当我们给齐次坐标得每个分量都乘上一个z值后,再将其代入到矩阵乘法中,我们可以把矩阵中的z消除!如下图:

7.7.png

由上图,我们可以看出跟首次推算出来的矩阵有所不同,矩阵中第一、第二行已经没有了z的值,并且矩阵的最后一行也变成了 0 0 1 0。由此,这个变化后的矩阵乘上其次坐标后正好满足 [xn, yn, ?, z] 的结果。接下来,我们需要想办法把第三行的?值求出即可,也就是要考虑z值的变化!

我们已知近裁剪面的z值为n,远裁剪面的为f,且他们为负数,满足 f < n < 0。并且,我们将四棱台变换成长方体的过程中,远近裁剪面的z值是不会发生变化的。现在假设有近裁剪面的一个点(x1,y1,n)和远裁剪面一个点(x2,y2,f),我们将他们代入上述推断的矩阵中,他们应该满足如下等式:

7.8.png

我们按照矩阵乘法单独把第三行的计算抽出来,可以得到如下的关系式:

7.9.png

其次,远近裁剪面的z值跟x、y是无关的,所以我们可以把 ?1、?2 设置成0,于是简化后我们可以得到一个相对简化的等式:

7.10.png

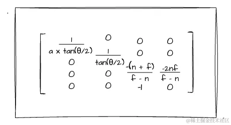
因此,我们可以推出:?3 = n + f?4 = -nf。我们将其代入到上述的矩阵当中,可以得到如下矩阵:

7.11.png

经过这个矩阵的变化,我们已经将四棱台变换成一个长方体了,那最后的透视投影矩阵还差一把就是把这个长方体给标准化了。这么说好像很抽象,其实不然,只要将其再乘上我们上一节所推导的正交投影矩阵就可以了!这里我就不展开了,直接给结果:

7.13.png

如何表示透视投影?

透视投影如何表示,或者说如何配置呢?回顾一下我们上一节是如何配置正交投影矩阵的?是不是直接通过 left、right、top、bottom、near、far 这些点位的相关值来配置的呢?但是透视投影并不是使用这些来表示和配置的,而是使用 fovaspectnearfar 这四个值。我们简单看看他们分别是什么。

  • fov:垂直方向视角,角度越大,视野越广,物体越小。具体可参考下图的绿色角

    7.12.png

  • aspect:近裁剪面的宽高比。width / height

  • near、far:指定近、远裁剪面的位置。值必须要大于0 ,因为它们都是相对于相机的距离。

再回到我们之前的一张图中:

7.1.png

如上图,对应 fov 的角为 T1-原点-B1。并且,根据图我们可以知道,我们把四棱台放到正中间的时候,远近裁剪面都满足 right等于-lefttop等于-bottom。所以,我们可以把r-l变为2rt-b变为2t。于是,我们可以把前文推导出来的透视投影矩阵再做进一步的简化如下:

7.14.png

还记得前面我们设 fov 为θ的这一值吗?我们通过三角函数可以得到如下等式:

7.16.png

根据换算出来的等式,我们将其代入上述的矩阵中,可以将其完全转化成通过 fov、aspect、near、far 这四个值来配置。具体换算过程我就不逐步演示了,有兴趣的同学可以自行推导。直接看结果:

7.15.png

上图即为 fov 为 θ,宽高比为a时的透视投影矩阵了。但是!这就完了吗?这里跟上一节一样,我们依然需要将NDC的Z轴做一次翻转。原因上一节也说过了,就是NDC是左手坐标系,而我们之前一直都在使用右手坐标系来绘制,所以这里依然要做一个转换。具体过程就不在这里展开了,感兴趣的朋友可以自己去试试,直接给出结果吧:

7.17.png

实战透视投影

经过前面几节的学习,相信实战部分应该是最简单的环节了,毕竟只要矩阵推导出来,我们只需要对位置计算就行了。所以这一小节,我不会再深入地介绍示例程序的源码实现了,只会提一下跟之前稍有不同的地方。

为了更加凸显"近大远小"的特点,这里我把三角形的位置做了一点改变,分别将他们相对的移动到左上方,并且把他们的深度从原来的[-0.2, -0.6]调整为[0, -2]。现在的三角形坐标如下(关注Z轴即可,依然省略了颜色值):

const vertices = new Float32Array([
  // 绿
  -.7, 0.8, -2,
  -1.2, -0.2, -2,
  -0.2, -0.2, -2,
  // 蓝
  -.1, 0.6, -1,
  -.6, -0.4, -1,
  .4, -0.4, -1,
  // 橙
  0.5, 0.4, 0,
  0, -0.6, 0,
  1, -0.6, 0,
])

上述三组三角形数据中,三角形是等大的且深度递增,为了方便观察,我让他们在x、y上进行了一定的偏移。又因为前文提到过 near、far 的值需要大于0,这里我把near设置为1far设置为5(这个看情况自己定义,本案例中设置5足够了)。

至于fov的设置,大于0即可,我随便设置个60吧(视角设置越大,图像呈现越小),于是乎,关于透视投影矩阵的配置参数也就出来了:

const fov = 60
const near = 1
const far = 5
const perspectiveMatrix = new PerspectiveMatrix()
perspectiveMatrix.setPerspective(fov, gl.canvas.clientWidth / gl.canvas.clientHeight, near, far)

在定义好透视投影矩阵的相关配置后,我们还需要考虑一个问题,那就是相机的设置。前文提到,near值的配置指的是近裁剪面距离相机的位置,这里我们的near设置为1,而又因为我们场景图形的z值是从0开始的,为了可以观测到"最靠前"的橙色三角形,我们需要把相机深度的位置设置为大于1(这跟裁剪空间的范围有关),这里我就设置为2了!这一点大家根据自己的场景自己调整即可,这里方便理解,我画了张图:

7.18.png

于是乎,我们就可以基于上述的配置,将我们的三个三角形渲染出来,并且可以观察一下透视投影下的他们是怎么展示的。为了做对比,我还添加了正交投影的效果,大家可以切换的来看。这里的正交投影大家可以自己改一下参数试试效果,不同的参数情况下图形会有不同的伸缩效果。

由上示例程序可以看出,在正交投影下我们看到的是三个等大的三角形,只是互相之前存在一定的偏移值;而透视投影下则是三个三角形大小呈递减趋势,呈现明显的近大远小的效果!这里我建议大家手动调整一下示例程序里面的参数,再观察一下效果是不是跟自己的预期一样,以此来验证一下学习的成果。当然,如果你自己动手写一个效果会更好~

总结

本文的最后,跟大家一起回顾本文的主要内容:

  1. 透视投影中,图形呈现近大远小的效果,近裁剪面为最终的屏幕呈现效果
  2. 透视投影的核心变换即将四棱台转压缩长方体(以近裁剪面为基准),然后再进行正交投影变换即为透视投影变换
  3. 透视投影推导过程中,巧妙利用 齐次坐标的第四个参数w 来消除矩阵中的未知z
  4. 通过 fov、aspect、near、far 四个参数值来表达一个透视投影的裁剪空间,且 near、far值均大于0