基于Python+DenseNet121算法模型实现一个图像分类识别系统案例

260 阅读4分钟

目录

  • 介绍
  • 在TensorFlow中的应用
  • 实战案例
  • 最后

一、介绍

DenseNet(Densely Connected Convolutional Networks)是一种卷积神经网络(CNN)架构,2017年由Gao Huang等人提出。该网络的核心思想是密集连接,即每一层都接收其前面所有层的输出作为输入。DenseNet121是该家族中的一个特定模型,其中121表示网络的总层数。 DenseNet121的主要特点如下:

  1. 密集连接(Dense Connection):在一个Dense Block内,第 i 层的输入不仅仅是第 i−1 层的输出,还包括第 i−2 层、第 i−3 层等所有之前层的输出。这种密集连接方式促进了特征的重用。
  2. 参数效率:由于特征在网络中得以重复使用,DenseNet相较于其他深度网络模型(如VGG或ResNet)通常需要更少的参数来达到相同(或更好)的性能。
  3. 特征复用与强化:密集连接方式也促进了梯度的反向传播,使得网络更容易训练。同时,低层特征能被直接传播到输出层,因此被更好地强化和利用。
  4. 过拟合抑制:由于有更少的参数和更好的参数复用,DenseNet很适合用于数据集较小的场合,能在一定程度上抑制过拟合。
  5. 增加网络深度:由于密集连接具有利于梯度反向传播的特性,DenseNet允许构建非常深的网络。
  6. 计算效率:虽然有很多连接,但由于各层之间传递的是特征图(而不是参数或梯度),因此在计算和内存效率方面表现得相对较好。
  7. 易于修改和适应:DenseNet架构很容易进行各种修改,以适应不同的任务和应用需求。

DenseNet121在很多计算机视觉任务中都表现出色,例如图像分类、目标检测和语义分割等。因其出色的性能和高效的参数使用,DenseNet121常被用作多种视觉应用的基础模型。以下DeseNet算法与ResNet算法的区别。

特性/算法DenseNetResNet
连接方式每一层都与其前面的所有层密集连接每一层仅与其前一层进行残差连接
参数效率更高,由于特征复用相对较低
特征复用高度的特征复用,所有前面层的输出都用作每一层的输入仅前一层的输出被用于下一层
梯度流动由于密集连接,梯度流动更容易通过残差连接改善梯度流动,但相对于DenseNet可能较弱
过拟合抑制更强,尤其在数据集小的情况下相对较弱
计算复杂度一般来说更低,尽管有更多的连接一般来说更高,尤其是在深层网络中
网络深度可以更深,且更容易训练可以很深,但通常需要更仔细的设计
可适应性架构灵活,易于修改相对灵活,但大多数改动集中在残差块的设计
创新点密集连接残差连接
主要应用图像分类、目标检测、语义分割等图像分类、目标检测、人脸识别等

这两种网络架构都在多种计算机视觉任务中表现出色,但根据具体应用的需求和限制,你可能会选择其中一种作为基础模型。

二、在TensorFlow中的应用

在TensorFlow(特别是TensorFlow 2.x版本)中使用DenseNet121模型非常方便,因为该模型已经作为预训练模型的一部分集成在TensorFlow库中。以下是一些常见用法的示例。

导入库和模型

首先,确保您已经安装了TensorFlow库。然后,导入所需的库和模型。

import tensorflow as tf
from tensorflow.keras.applications import DenseNet121

实例化模型

您可以通过以下方式实例化一个DenseNet121模型:

# 预训练权重和全连接层
model = DenseNet121(weights='imagenet', include_top=True)

# 预训练权重但无全连接层(用于特征提取)
model = DenseNet121(weights='imagenet', include_top=False)

数据预处理

DenseNet121需要特定格式的输入数据。通常,您需要将输入图像缩放到224x224像素,并进行一些额外的预处理。

from tensorflow.keras.preprocessing import image
from tensorflow.keras.applications.densenet import preprocess_input
import numpy as np

img_path = 'your_image_path.jpg'
img = image.load_img(img_path, target_size=(224, 224))
x = image.img_to_array(img)
x = np.expand_dims(x, axis=0)
x = preprocess_input(x)

模型预测

使用预处理过的图像进行预测:

preds = model.predict(x)

三、实战案例

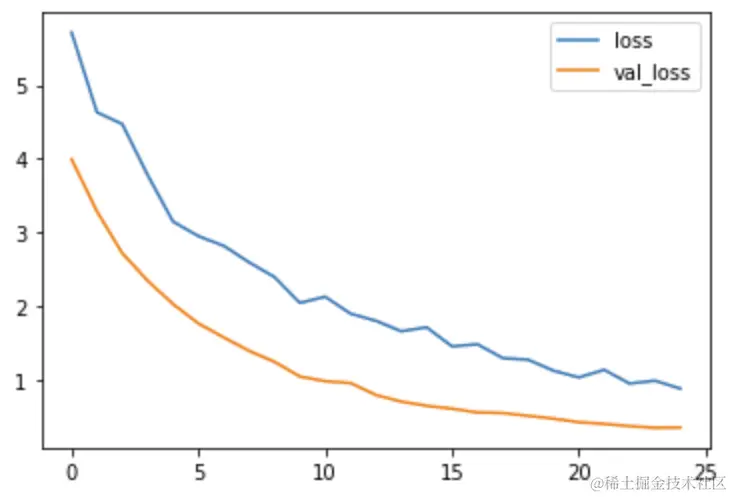
如下图所示,通过对几种常见的水果数据集进行训练,最后得到模型。下面是其经过25轮迭代训练的训练过程图、ACC曲线图、LOSS曲线图、可视化界面等 image-20230830204342058 image-20230830204354416 image-20230830204404260 img_05_12_17_39_35

四、最后

大家可以尝试通过DenseNet121算法训练自己的数据集,然后封装成可视化界面部署等。(提供包括数据集、训练预测代码、训练好的模型、WEB网页端界面、包远程安装调试部署)。如需要请或类似项目订制开发请访问:www.yuque.com/ziwu/yygu3z…