一文理解贝塞尔曲线

1,679 阅读3分钟

贝塞尔曲线的来源

贝塞尔曲线最早是由贝塞尔在1962年提出来的,目的是获取汽车的外形。贝塞尔曲线看上去非常复杂,其实想法非常简单,(如下图1所示)就是先用折线先绘制出大致的轮廓,然后用曲线来逼近。

image.png

图1

这个方式是不是有点熟悉,刚看到的时候,我就想到了计算圆的面积时,我们会使用多边形来逼近圆的曲线(如图2所示);贝塞尔曲线刚好相反,它是使用曲线来逼近多边形,刚好反着来了😂。

image.png

图2

构造贝塞尔曲线

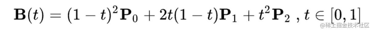
思路虽然简单,但是如何把这个曲线画出来,或者说如何用一个函数来表示这条曲线就很困难了。不过这个不需要我们关心,有大佬已经解决了。我们直接来看看贝塞尔曲线的定义式,如下图3:

image.png

图3

先别急着划走,这个公式不用记,因为它太复杂而且计算量大,因此在工程开发中我们不会用它。一般在工程中,我们使用德卡斯特里奥算法(de Casteljau) 来构造贝塞尔曲线。听起来更复杂了,别急让我们举个🌰。下面以2次贝塞尔曲线为例。

image.png

图4

image.gif

图5

看图4,德卡斯特里奥算法(de Casteljau) 的意义就是满足P0Q0P0P1=P1Q1P1P2=Q0BQ0Q1=t  \frac{P_0Q_0}{P_0P_1} = \frac{P_1Q_1}{P_1P_2} = \frac{Q_0B}{Q_0Q_1} = t 的情况下,随着 t 从 0 到 1 逐渐变大,B点经过的点组成的曲线就是我们需要的贝塞尔曲线了。图5是我们常见的动图,之前看的时候一直很懵逼,现在了解了贝塞尔曲线是如何画出来的,是不是清楚多了。

更高阶的贝塞尔曲线绘制方式和上面的一样,只是多了几条边,绘制的动图如下:

Bézier_3_big.gif

3次贝塞尔曲线

Bézier_4_big.gif

4次贝塞尔曲线

BezierCurve.gif

5次贝塞尔曲线

贝塞尔曲线的函数表示

看到这里,我们已经对贝塞尔曲线有了一个大概的了解。但是还是一个关键的问题,我们怎么画出贝塞尔曲线呢?或者说有什么函数可以让我们画出这个曲线吗?这个其实更简单,我们高中就学过了。还是以二次贝塞尔曲线为例,它的参数方程如下,其中 P0、P1、P2代表控制点。

image.png

我们假设三个控制点的坐标是 P0 (-1, 0)、 P1 (0, 1) 、P2 (1, 0),把值带入上面的参数方程,就可以得到如下结果:

(xy)=(1t)2(10)+2t(1t)(01)+t2(10)\left(\begin{array}{c}x\\ y\end{array}\right) = (1 - t)^{2} \left(\begin{array}{c}-1\\ 0\end{array}\right) + 2t(1 - t) \left(\begin{array}{c}0\\ 1\end{array}\right) + t^{2} \left(\begin{array}{c}1\\ 0\end{array}\right)
(xy)=((12t)2+t22t(1t))\left(\begin{array}{c}x\\ y\end{array}\right) = \left(\begin{array}{c}-(1 - 2t)^{2} + t ^ 2\\ 2t(1 - t)\end{array}\right)
{x=2t1y=2t2+2t\begin{cases} x = 2t - 1 \\ y = -2t^2 + 2t\end{cases}

最后化解可得到我们熟悉的 y = f(x) 函数y=12x2+12:y = -\frac{1}{2}x^2 + \frac{1}{2} 效果图如下图。可以看出二次贝塞尔曲线实际上就是我们高中学的抛物线。唯一不同的是,我们高中求的抛物线,会经过 P0、P1、P2三个点,而贝塞尔曲线只会经过 P0、P1两个端点。

9cc60254-7284-457f-a537-64b894c07519.png

类似的:

一次贝塞尔曲线就是一次函数y=a0x+a1:y = a_0x + a_1

三次贝塞尔曲线就是三次函数:y=a0x3+a1x2+a2x+a3y = a_0x^3 + a_1x^2 + a_2x + a_3

四次贝塞尔曲线就是四次函数:y=a0x4+a1x3+a2x2+a3x+a4y = a_0x^4 + a_1x^3 + a_2x^2 + a_3x + a_4

n次贝塞尔曲线就是n次函数:y=a0xn+a1xn1+...+an y = a_0x^n + a_1x^{n-1} + ... + a_{n}

总结

贝塞尔曲线实际上并不复杂,我们可以简单的把n次贝塞尔曲线看成对应的n次函数的曲线。因为贝塞尔曲线的这个特点,也造成了贝塞尔曲线的最大缺陷————不能局部修改,即改变其中一个参数时会改变整条曲线。后面为了解决贝塞尔曲线的这个问题,提出了B样条曲线,下篇文章我们就介绍B样条曲线。

最后这篇文章为了方便读者的理解,省略了很多贝塞尔曲线特性的介绍,如果对贝塞尔曲线感兴趣,可以在B站上看看它的完整课程。

参考