准确预测极端降水,哥伦比亚大学推出升级版神经网络 Org-NN

804 阅读9分钟

内容一览:随着环境变化加剧,近年来全球极端天气现象频频出现,准确预测降水强度对人类以及自然环境都十分重要。传统模型预测降水的方差较小,偏向小雨,对极端降水预测不足。

关键词:极端天气 内隐学习 神经网络

本文首发于 HyperAI 超神经微信公众平台~

受台风「杜苏芮」影响,北京市从 7 月 29 日开始了连续多日的强降雨,部分地区为特大暴雨。极端强降雨导致了海河流域发生流域性较大洪水,门头沟、涿州等地发生了严重的洪涝灾害。

据央视网 7 月 31 日报道,此次强降雨期间,北京已累计排蓄水超过 1000 万立方米,相当于排空了约 5 个颐和园昆明湖的水量,及时、准确、有效地预测极端降水,能最大程度上减轻人员伤亡,减少气象灾害带来的损失。

传统的气候模型参数化中缺少亚网格尺度的云结构与组织 (subgrid-scale cloud structure and organization) 信息,这会对粗粒度分辨率下降水强度和随机性产生影响,导致无法准确预测极端降水情况。哥伦比亚大学 LEAP 实验室使用全球风暴解析模拟与机器学习,创建了一种新的算法,解决了信息缺失的问题,提供了一种更精确的预测方法。

目前,该研究已发表于《PNAS》,文章标题为《Implicit learning of convective organization explains precipitation stochasticity》。

论文已发表于《PNAS》

论文地址:www.pnas.org/doi/10.1073…

准备工作:10 天气象数据+ 2 个神经网络

数据与处理

实验团队所用数据集是大气模式系统 (SAM) DYAMOND (DYnamics of the Atmospheric general circulation Modeled On Non-hydrostatic Domains) 第二阶段比较项目中模拟的大气环流动力学的一部分。这个项目对比模拟了北半球冬季的 40 天,实验人员将其中初始的 10 天作为模型的 spin-up,在后 30 天中随机抽取了 10 天作为训练集。

研究人员选择了合适的数据,并将这些数据粗粒度 (coarse-grain) 划分为子域,等同于或可与 GCM-size 的网格。

接下来,为了提供训练、验证和测试数据集,团队将 10 天分为 6 天、2 天、2 天,分别用于训练、验证和测试,且只保留了降水大于阙值 (0.05mm/h) 的样本,以便只专注于降水强度 (intensity) 而不是降水的起因 (trigger) 。最终,样本总数为 108 个。

神经网络架构

在实验中,研究人员使用了两个神经网络:传统模型 Baseline-NN(基准神经网络)与新提出的 Org-NN

Baseline-NN 是一个全连接前馈神经网络 (full connected feed-forward network),学习率按代进行调整。作为传统模型,Baseline-NN 只能访问大规模变量并预测降水。

Org-NN 含有一个自编码器,其编码器部分包括 3 个一维卷积层和两个全连接层。编码器的 input 是尺寸为 32 x 32 的高分辨率 PW (可降水,precipitable water)异常 (anomalie),output 为 org 变量,org 维度是该网络的超参数,研究人员将其设置为了 4。解码器接收 org 变量并对原始的高分辨率场进行重构,与编码器的结构恰好相反。Org-NN 的神经网络部分与 Baseline-NN 相似,只额外添加了组织潜在变量 (org) 作为其 input

两者都使用 TensorFlow 2.9 版本实现,并使用 Sherpa 优化库对超参数进行了调优。

实验结果

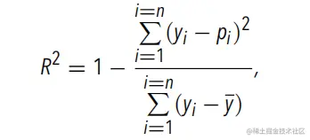
实验团队对两个模型进行了预训练。为了评估神经网络的预测性能,科研人员选择了 R2,这是一种常用于量化回归模型性能的指标。计算公式如下:

在这里插入图片描述

传统模型 Baseline-NN

实验团队首先使用 Baseline-NN。下图展示当使用粗粒度的 PW、SST、qv2m 和 T2m 作为 input 时的降水可预测性。其中,qv2m 与 T2m 用于向 Baseline-NN 提供边界层 (boundary-layer) 条件的信息。实验团队将粗粒度的 PW 分组,在每个组内对粗粒度降水的预测值与实际值进行平均,同时计算了落在每个分组内的粗粒度降水值方差

PW:可降水,precipitable water SST:海面温度,sea surface temperature qv2m:近地表 2m 的比湿,near-surface specific humidity T2m:近地表 2m 空气湿度,surface temperature

在这里插入图片描述

图 1:PW bin 上粗粒度降水平均值

虚线:真实的降水平均值 橘线:预测的降水平均值 绿线:每个 PW bin 中计算出的 R2 阴影部分:每个分组内的方差

Baseline-NN 准确地恢复了降水平均值(即分组的平均值)在 PW 条件下的关键行为,以及在临界点附近出现的快速转变。但是,实验团队发现它无法解释全球暴风模拟中观察到的降水变异性,而且其性能(通过所有样本的 R2 值估量)约为 0.45。低 R2 值表示,尽管可以捕捉到一些降水变异性,但是无法找到 input 与降水之间的强关系,且每个 PW bin 计算的 R2 值也未超过 0.5。

与此同时,实验团队还将 Baseline-NN 所预测的降水的概率密度函数与实际降水做比较,显示该模型无法预测降水分布的尾部 (tail) ,即无法预测极端降水的情况

在这里插入图片描述

图 2:降水的概率密度函数示意图

蓝色部分:真实降水的概率密度函数 橙色部分:根据预测所得降水的概率密度函数

研究人员还将在粗粒度上的总云量作为神经网络的 input 之一,对 Baseline-NN 进一步测试。总云量在气候模型中为参数化变量,与降水无直接关系,所以将其作为神经网络的输入可能会提供有关凝结水的线索,而凝结水会直接用于降水的参数化。这其实对预测改进的作用很小,但是强调了平均云量并不能提供准确预测降水的相关信息。此外,实验团队通过进一步分析,证实了 CAPE 与 CIN 不能作为预测因子,且不能改善预测结果

在这里插入图片描述

图 3: 降水概率密度函数图

蓝色部分:真实降水概率密度函数 橘色部分:预测得出降水概率密度函数 a:input 为 [PW、SST、qv2m、T2m、感热通量(sensible heat flux)、潜热通量(latent heat flux)] b:input 为 [PW、SST、qv2m、T2m、总云量] c:input 为 [PW、SST、qv2m、T2m、CAPE、CIN]

结论是 Baseline-NN 在准确预测降水以及变异性方面能力较低

新模型 Org-NN

实验团队接下来颠覆了传统方法,即利用 Org-NN进行预测。因为 Org-NN 含有一个自编码器,它可以直接从神经网络的目标函数通过反向传播接受反馈。因此,自编码器将可以被动提取改善降水预测的相关信息

下图显示了以粗粒度变量和 org 作为输入的 Org-NN 的降水预测结果。相比于 Baseline-NN,Org-NN 的进步显著。当在所有数据点上进行计算时,预测的 R2 增加到 0.9。对于 PW 的每一个区间,除了降水较小的区间,计算得到的 R2 值几乎都接近 0.80。

在这里插入图片描述

图 5: Org-NN 预测结果图

D:PW bin 上粗粒度降水平均值 E:降水的概率密度函数示意图 F:图 D 中每个纬度和经度位置在时间步长上计算得出的 R2 值。图中的白色区域表示降水小于 0.05 毫米/小时,被排除在模型的输入之外。除未达到降水阈值的点的附近区域外,Org-NN 在大部分区域的 R2 值显著高于 0.8。

实验团队比较了 Org-NN 和高分辨率降水模型的真实降水的概率密度函数,对 Org-NN 的性能进一步量化。结果发现,Org-NN 完全捕捉到了概率密度函数,包括它分布的尾部,也就是对应着极端降水的部分。这说明 Org-NN 能够准确预测极端降水的情况

实验团队所得结果表明,通过将 org 纳入 input,降水预测得到了显著的改善。这表明了,在当前的气候模型中,亚网格尺度结构可能是对流和降水参数化缺失的重要信息

实验流程总结

在这里插入图片描述

图 6: 实验流程概览

A:数据处理过程:粗粒度化高分辨率数据 B:Baseline-NN:该网络接收粗尺度变量 (如 SST 和 PW) 作为 input,并预测粗尺度降水。 C:Org-NN : 左图显示了自动编码器,它接收高分辨率 PW 作为 input,并在通过瓶颈后对其进行重建。右图显示了预测粗尺度降水的神经网络。

传统气候模型变革在即

本次实验的团队来自 Learning the Earth with Artificial Intelligence and Physics (LEAP),这是哥伦比亚大学于 2021 年启动的 NSF 科学与技术中心,其主要研究策略就是结合物理建模与机器学习,利用气候科学、气候模拟的专业知识与尖端的机器学习算法,改进近期气候预测。这对气候科学与数据科学的发展都有所增益。

在这里插入图片描述

LEAP 实验室部分成员简介

|实验室官网:leap.columbia.edu

目前,研究人员正在将他们的机器学习方法应用于气候模型中,以改进降水强度和变异性的预测,并使科学家能够在全球变暖背景下,更准确地预测水循环和极端天气模式的变化

同时,这项研究还开辟了新的研究方向,例如探索降水具有记忆效应的可能性,即大气保留有关最近天气条件的信息,进而影响后续的大气条件。这种新方法可能在降水模拟之外具有广泛的应用,如对冰盖和海洋表面进行更好的模拟。

本文首发于 HyperAI 超神经微信公众平台~