Logistic回归

105 阅读2分钟

Logistic回归

回归是对一些数据点进行拟合,该拟合过程称为回归,这样的思想是用来做预测的。为什么能用来分类呢?假设有一个这样的函数,名称为Sigmoid f(z)=11+ezf(z) = {1 \over 1 + e^{-z}}

该函数显然随着z 增大f(z) f(z)的值逼于1; 随着z的减小,f(z)f(z)等于 0。 如果把自变量Z的值范围扩大到,如-20 到 20, f(z)就是一条突变的0到1的很陡曲线。

logistics1.png

假设现在有如下数据集(含特征和类别)

特征1 x0    特征2 x1        类别
-0.017612	14.053064	     0
-1.395634	4.662541	     1
-0.752157	6.538620	     0
-1.322371	7.152853	     0
0.423363	11.054677	     0          

假设 f(z) 的自变量 z=w0x0+w1x1z = w_0x_0 + w_1x_1,将 z 代入 f(z),该z使得f(z)产生突变, 即可得到在0 < f(z) < 1

  • 规定 f(z) < 0.5, 该数据归为第一类
  • 规定 0.5 < f(z), 该数据归为第二类

所以求 w0w_0,w1w_1 就是实现这一思想核心!

梯度

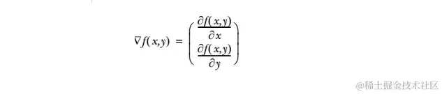
假设z=f(x,y)z=f(x, y)三维图像类似一座山峰的表面图形,像一顶帽子的图像。假设取山峰上一点A(x0,y0,z0)A(x_0, y_0, z_0),接下你想朝一个最陡峭的方向往上爬。该最陡峭的方向即为 A 点的梯度,所以梯度是个向量

梯度求法举例,假设有函数z=f(x,y)z=f(x,y),梯度公式为

logistics2.png

假设z=2x2+y2z = 2x^2 + y^2,则f(x,y)=(4x,2y)\nabla f(x,y) = (4x, 2y),求在 A(x0,y0,z0)A(x_0, y_0, z_0)的梯度为,将x0x_0y0y_0 带入梯度向量。A的 梯度为 (4x0,2y0)(4x_0, 2y_0)

还有另外一个移动步长k的概念,从A点沿着梯度方向f(x,y)\nabla f(x,y)(最陡峭方向) 爬一定的长度,就到了新的一个点A1,A1(x,y)=(x0,y0)+k(4x0,2y0)A_1(x, y)=(x_0, y_0)+k(4x_0, 2y_0)。再按照该方法就可以到新的点A2,这样一直爬下去A3, A4.....An就爬到了最高点An

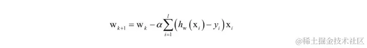
梯度法得W

关于用梯度法求解系数w 的推导,请看这篇理解 logistic 回归。文中最后得出W和数据特征X,和类别Y(0或者1)的迭代关系式。

logistics3.png

欢迎大家给我留言,提建议,指出错误,一起讨论学习技术的感受!