Python应用之计算阶乘

195 阅读1分钟

1.背景知识

阶乘是基斯顿·卡曼(Christian Kramp,1760~1826)于 1808 年发明的运算符号。一个正整数的阶乘(factorial)是所有小于及等于该数的正整数的积,通俗的讲也就是按顺序从1乘到n,所得的那个数就是n的阶乘。0的阶乘为1,自然数n的阶乘写作n!。即:0!= 11!= 12!= 2 × 1!= 2 × 13!= 3 × 2!= 3 × 2 × 1n!= n × (n - 1)!= n × (n - 1) × (n - 2) ×...× 2 × 1

输入一个整数n,求其阶乘n!

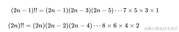
1.1双阶乘

双阶乘用“m!!”表示。

当 m 是自然数时,表示不超过 m 且与 m 有相同奇偶性的所有正整数的乘积。如:

当 m 是负奇数时,表示绝对值小于它的绝对值的所有负奇数的绝对值积的倒数。

当 m 是负偶数时,m!!不存在。

自然数双阶乘比的极限