数据结构图的基础概念

1,360 阅读3分钟

1、图的概念

图(Graph):是由顶点的有穷非空集合和顶点之间边的集合组成。
顶点(Vertex):图中的数据元素。
边(Edge):顶点之间的逻辑关系,边可以是有向的或无向的,也可以带有权重(可以表示距离,花费等)
无向边:若顶点之间的边没有方向,则称这条边为无向边
有向边:若从顶点 vi 到 νj的边有方向,则称这条边为有向边(一条无向边可以用两条有向边来表示)

无向图

图中任意两个顶点之间的边都是无向边,无向边表示从节点1可以到节点2,也可以从节点2到节点1
无向图.png

有向图

图中任意两个顶点之间的边都是有向边 图中的方向都是朝向一个方向的,并不是有向图都是朝向一个方向,只是为了方便,有向图可以理解为路径是有方向的,只能按着箭头的方向
有向图.png

2、图的存储

图的存储常用的邻接矩阵和邻接表
邻接矩阵存储查询简单方便,缺点当遇到的图是稀疏图时会浪费大量空间
邻接表相对邻接矩阵复杂点,优点节省空间,但当图时稠密图时它的优点就不明显了

邻接矩阵

数组(i,j)表示从i到j是否连通,0表示不联通,不为0表示联通

无向图存储

将一条有向边转化为两条有向边,比如 顶点1和顶点2这条无向边转化为顶点1到顶点2和顶点2到顶点1两条有向边 无向图二维数组.png

有向图存储

有向图二维数组.png

有向图二维数组.png

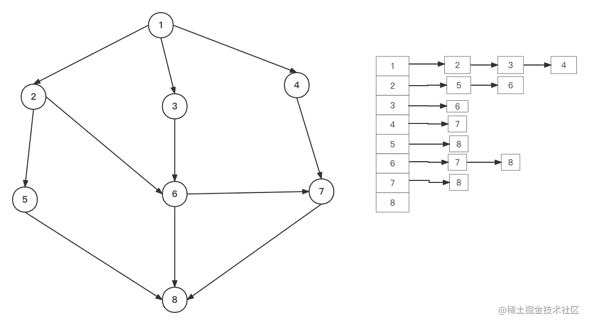
邻接表

有向图邻接表.png

有向图邻接表.png

//顶点 
 class POS{
        public POS(int head) {
            this.head = head;

        }
        public  int head;//这个值指向的是边
    }
//边
 class Edge{
        public int v;
        public  int next;
    }

//图的初始化
top =0;//用来记录边的位置
posList =new ArrayList<>();//顶点
edgeList =new ArrayList<>();//边的列表
for(int i = 0;i<=posSize;i++){
     posList.add(new POS(-1));//初始化
     hadVisted[i] =false;//初始化

 }
//添加边邻接表,添加一条从u到v的边
 public void Add_Edge(int u, int v) {
      //  1 -> 4->3->2
        Edge edge =new Edge();
        edge.v =v;
        edge.next =posList.get(u).head;
        posList.get(u).head =top;
        edgeList.add(edge);
        top++;
    }

3、图的搜索

深搜

深搜就是一个递归 1、从顶点1开始遍历,遍历到顶点2,然后从顶点2开始遍历 深度搜索01.png 2、由顶点2遍历到顶点5,顶点5遍历到顶点8

深度搜索02.png 3、到顶点8,没有路径回溯到顶点5,然后回溯到顶点2,遍历顶点6, 由顶点6遍历到顶点7 深度搜索03.png 4、顶点8已遍历,回溯6,然后回溯到2,然后回溯到1 深度搜索04.png 5、遍历顶点3,4 深度搜索05.png

//深搜
 public void dfsVist(int u){
        for(int i = posList.get(u).head;i!=-1;i=edgeList.get(i).next){
            Edge edge = edgeList.get(i);
            if(!hadVisted[edge.v]){
    System.out.println("访问节点:"+edge.v);
                hadVisted[edge.v] =true;
                vist(edge.v);
            }
        }

    }

广搜

广搜需要一个队列来辅助 从1开始 广度搜索1.png 将与1相连的 2,3,4加入队列,同时1出列 广度搜索2.png 从队列开头取出顶点2,将与2相连的5,6加入队列,2出列 广度搜索3.png 取出3,与3相连的都访问了,取出4,3,4出列,7进入队列 广度搜索4.png 取5,将与5相连的8加入队列,5出列 广度搜索5.png 接下来取出6,7,8,因为都访问过了,等列表为空,遍历结束


  public void bfsVist(int u){
        Queue queue = new LinkedList();
        queue.add(u);//加入队列
        System.out.println("访问节点="+u);
        while (!queue.isEmpty()){//直至列表为空
            Integer p = (Integer) queue.poll();//取出列表里元素
            for(int i = posList.get(p).head;i!=-1;i=edgeList.get(i).next){
                Edge edge = edgeList.get(i);
                if(!hadVisted[edge.v]){
                    hadVisted[edge.v] =true;
                    System.out.println("访问节点="+edge.v);
                    queue.add((Integer)edge.v);

                }
            }

        }


    }