非线性函数如何为神经网络引入了非线性

71 阅读1分钟

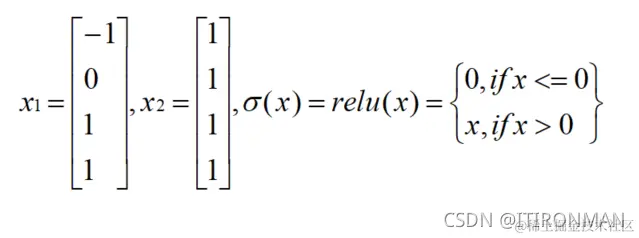
1、样本及激活函数

 2、不同网络下的输出

(1)全连接网络

 

 (2)非连接网络

 

  3、总结

       从上面可以看出,当使用全连接网络的时候,这个非线性函数经过多次变化后还是x1和x2的线性组合,本质上无论多少层都是线性变换,解决不了非线性问题,但是,如果dropout一些神经元反而相当于引入了非线性,从而最终输出无法表示为x1和x2的线性组合,也就是可以解决非线性问题,当然,如果激活函数是y=x,无论如何变换,或者是全连接、非全连接,最终都是线性的。