数据挖掘工具-weka代码解析之逻辑回归(极大似然估计)

102 阅读4分钟

1、公式推导

逻辑回归中,最重要的公式推导就是将该问题转化为极大似然估计,然后求解,接着后面几个过程都实现了一些目的性的推导:

极大似然估计函数:

L(\theta )=\prod_{i=1}^m(h_{\theta }(x^{(i)}))^{y^{(i)}}(1-h_{\theta }(x^{(i)}))^{1-y^{(i)}}

(1)这种连续相乘的表达式比较难求,可以两边取log,转化为相加的计算:

l(\theta)=log(L(\theta ))=\prod_{i=1}^m\left (y^{(i)}(h_{\theta }(x^{(i)}))}+({1-y^{(i)})(1-h_{\theta }(x^{(i)}))}} \right )

(2)依据定义,极大似然估计求得是最大的参数,习惯上,都是求最小值,所以可以给式子乘以-1,转化为求最小值(称为交叉熵损失函数):

J(w)=\prod_{i=1}^m\left (-y^{(i)}(h_{\theta }(x^{(i)}))}-({1-y^{(i)})(1-h_{\theta }(x^{(i)}))}} \right )

2、weka中对应代码及公式

理论和现实往往是有差距的,weka中代码的实现基本依据的是上述理论计算,但是同一个理论有多种实现办法,weka中代码的实现其实是较为复杂的,下面将详细介绍weka代码中极大似然估计这部分是如何实现计算的。

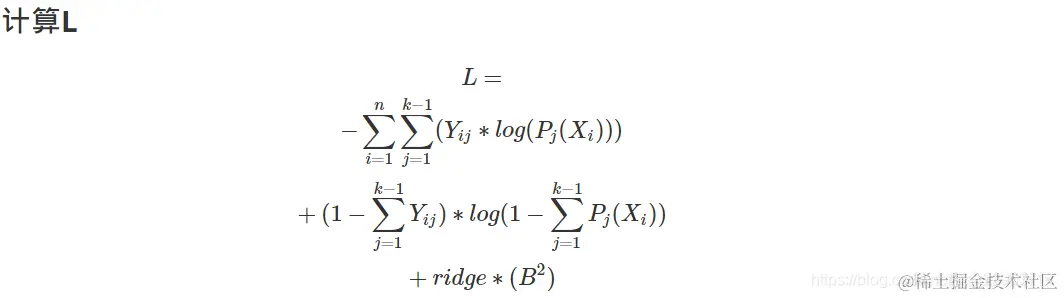
  • 计算公式
  • 实现代码
protected double objectiveFunction( double[] x )
{
	double	nll	= 0;                    /* -LogLikelihood */
	int	dim	= m_NumPredictors + 1;  /* Number of variables per class */

	for ( int i = 0; i < cls.length; i++ )  /* ith instance */

	{
		double[] exp = new double[m_NumClasses - 1];
		int index;
		for ( int offset = 0; offset < m_NumClasses - 1; offset++ )
		{
			index = offset * dim;
			for ( int j = 0; j < dim; j++ )
			{
				exp[offset] += m_Data[i][j] * x[index + j];
			}
		}
		double	max	= exp[Utils.maxIndex( exp )];
		double	denom	= Math.exp( -max );
		double	num;
		if ( cls[i] == m_NumClasses - 1 ) /* Class of this instance */
		{
			num = -max;
		} else {
			num = exp[cls[i]] - max;
		}
		for ( int offset = 0; offset < m_NumClasses - 1; offset++ )
		{
			denom += Math.exp( exp[offset] - max );
		}

		nll -= weights[i] * (num - Math.log( denom ) ); /* Weighted NLL */
	}

	/* Ridge: note that intercepts NOT included */
	for ( int offset = 0; offset < m_NumClasses - 1; offset++ )
	{
		for ( int r = 1; r < dim; r++ )
		{
			nll += m_Ridge * x[offset * dim + r] * x[offset * dim + r];
		}
	}

	return(nll);
}
  •  测试代码
public static void main(String[] args) throws Exception {
		//Lg
		Logistic lg =new Logistic();
		Logistic.runClassifier(lg, "-t C:\\Users\\Administrator\\Desktop\\weather.numeric.arff".split(" "));
	}
  •  训练样本

    @relation weather
    
    @attribute outlook {sunny,overcast,rainy}
    @attribute temperature numeric
    @attribute humidity numeric
    @attribute windy {TRUE,FALSE}
    @attribute play {yes,no}
    
    @data
    sunny,85,85,FALSE,no
    sunny,80,90,TRUE,no
    overcast,83,86,FALSE,yes
    rainy,70,96,FALSE,yes
    rainy,68,80,FALSE,yes
    rainy,65,70,TRUE,no
    overcast,64,65,TRUE,yes
    sunny,72,95,FALSE,no
    sunny,69,70,FALSE,yes
    rainy,75,80,FALSE,yes
    sunny,75,70,TRUE,yes
    overcast,72,90,TRUE,yes
    overcast,81,75,FALSE,yes
    rainy,71,91,TRUE,no
    

    3、代码解析

  • objectiveFunction(double[] x)中传递的可以认为是一个初始化的w(具体过程不详解)

  • nll就是log(L(\theta))

  • dim就是每个类别的属性个数+1,可以看到,如下展示:

之所以 上面的值为7,可以看下,实际上,因为outlook为类别型数据,weka自动把他拆成三个属性了,所以该值为7:

  • 后面,接着是个大循环,for循环次数为14次,因为样本数为14

  •  double[] exp = new double[m_NumClasses - 1],这行代码,其实就是创建存储\sum_{j=1}^{k-1}Y_{ij}P_{j}(X_{i})的数值的数组

  • 下面这段代码比较重要,实际上这段代码实现了上面的多次相加,具体公式如下

    int index;
    for (int offset = 0; offset < m_NumClasses - 1; offset++) {
      index = offset * dim;
      for (int j = 0; j < dim; j++) {
          exp[offset] += m_Data[i][j] * x[index + j];
              }
    }
    

  • 下面这段代码实际上是计算公式中后面,后面那部分

    double max = exp[Utils.maxIndex(exp)];
    double denom = Math.exp(-max);
    double num;
    if (cls[i] == m_NumClasses - 1) { // Class of this instance
      num = -max;
    } else {
      num = exp[cls[i]] - max;
     }
    
    
    for (int offset = 0; offset < m_NumClasses - 1; offset++) {
      denom += Math.exp(exp[offset] - max);
    }
    

     这段代码看不懂的话,其实可以把计算公式L进行化简:

J(w)=-\sum_{i=1}^m(\sum_{j=1}^{k-1}Y_{ij}log(P_{ij})-Y_{ij}log(1-P_{ij})} \right+log(1-P_{ij}))

可以看到,内部那个多项式之和,前两项可以先计算,然后后面那个再加上去就行。

  • double max = exp[Utils.maxIndex(exp)],double denom = Math.exp(-max),先求出多个类别里面最大的那个值,denom其实计算的就是sigmoid函数里面分母的部分
  • if语句这段代码,其实计算的就是L的计算,其实默认max=Yij*log(Pij),显然的,当Yij=1,num=-max;当Yij=0,num=log(1-Pij)-Yij*log(1-Pij)
for (int offset = 0; offset < m_NumClasses - 1; offset++) {
   denom += Math.exp(exp[offset] - max);
}
  • 上面代码,则是计算sum(e^(wx+b))
  • nll -= weights[i] * (num - Math.log(denom)); // Weighted NLL,这段代码,weights[i] 是权重,可以先不看,后面的计算其实是内部和式的最终值,num等于前两项相减,后面一项直接计算:

(\sum_{j=1}^{k-1}Y_{ij}log(P_{ij})-Y_{ij}log(1-P_{ij})} \right+log(1-P_{ij}))

  •  最后这部分是公式计算最后一部分,比较简单,不再详解:
      // Ridge: note that intercepts NOT included
      for (int offset = 0; offset < m_NumClasses - 1; offset++) {
        for (int r = 1; r < dim; r++) {
          nll += m_Ridge * x[offset * dim + r] * x[offset * dim + r];
        }
      }

      return nll;