piece-wise linearhard analog,分段式非线性激活函数的优点

133 阅读1分钟

1、起源

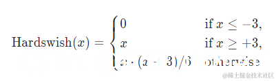
       如果你经常留意api,你会发现一些这样的激活函数:

   

 

   

 

2、优点

       从上面的激活函数可以看出,这些函数都加了一个hard,他和原来的soft的区别就是soft函数比如softmax,softtanh都是平滑函数,而加了hard之后,这些函数都会变成分段的直线函数,那么究竟这样做有什么好处呢?

       参考论文: MobileNetV3icon-default.png?t=L9C2http://extension://bfdogplmndidlpjfhoijckpakkdjkkil/pdf/viewer.html?file=https%3A%2F%2Farxiv.org%2Fpdf%2F1905.02244.pdf

     段落:

      剖析:

**** 从上面论文描述可以看出,这些函数和soft函数,也就是非分段函数,非直线函数在准确率上没有明显的区别,但是呢,在部署方面有很大的优势:

(1)减少了内存的访问次数,从而降低了时间延迟成本