基于扩散模型的 paired image translation 之BBDM cvpr2023

1,248 阅读1分钟

基于扩散模型的 paired image translation 之BBDM

BBDM: Image-to-image Translation with Brownian Bridge Diffusion Models (cvpr2023) arxiv.org/abs/2205.07… github.com/xuekt98/BBD…

Motivation

  • 以往基于扩散模型的图像翻译将目标域作为条件输入原始扩散模型中

Contribution

  • 首次提出基于Brownian Bridge diffusion的图像翻译方法
  • 采用双向扩散模型,将两个域解耦,避免两个域之间的conditional information leverage(影响、杠杆)
  • 定量和定性实验表明,所提出的BBDM方法在各种图像到图像的翻译任务中具有竞争性的性能

Method

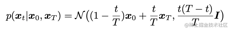
Brownian Bridge

  • 布朗桥是一种连续时间随机模型,其扩散过程的概率分布取决于起始(x0x_0)和结束状态(xTx_T),公式如下:

    image.png

Brownian Bridge Diffusion Model (BBDM)

image.png

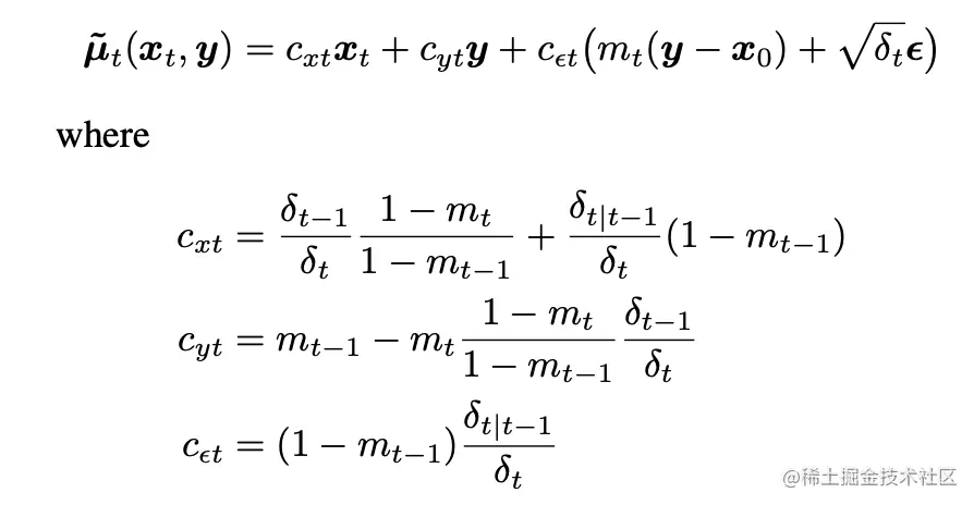
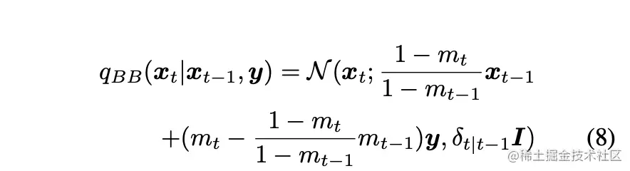
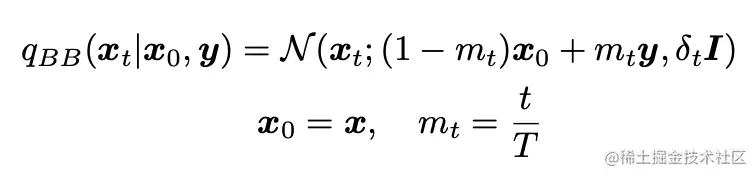
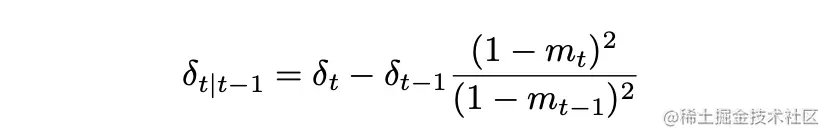
  • Forward Process

    x0x_0出发:其中x,y表示对应的latent特征 image.pngxt1x_{t-1}xtx_t

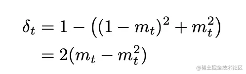
    image.png image.png image.png image.png s代表尺度系数可以调节采样多样性 image.png

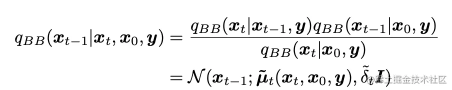
  • Reverse Process

根据均值方差采样 image.png

image.png

image.png

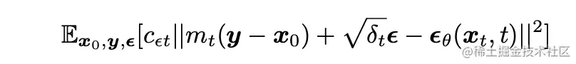
  • 损失函数

image.png

image.png

image.png

Experiments

image.png image.png

image.png image.png